Quantifying the Impacts of Precipitation, Vegetation, and Soil Properties on Soil Moisture Dynamics in Desert Steppe Herbaceous Communities Under Extreme Drought
Abstract
1. Introduction
2. Materials and Methods
2.1. Study Area
2.2. Experimental Design and Sample Collection
2.3. Data Analysis
2.3.1. Precipitation Calculation
2.3.2. Division of Soil Moisture Periods
2.3.3. Evapotranspiration (ET) Calculation
2.3.4. Soil Particle Size Analysis
2.3.5. Spatiotemporal Dynamic Characteristics and Difference Analysis of Soil Moisture
2.3.6. Redundancy Analysis and Hierarchical Segmentation
3. Results
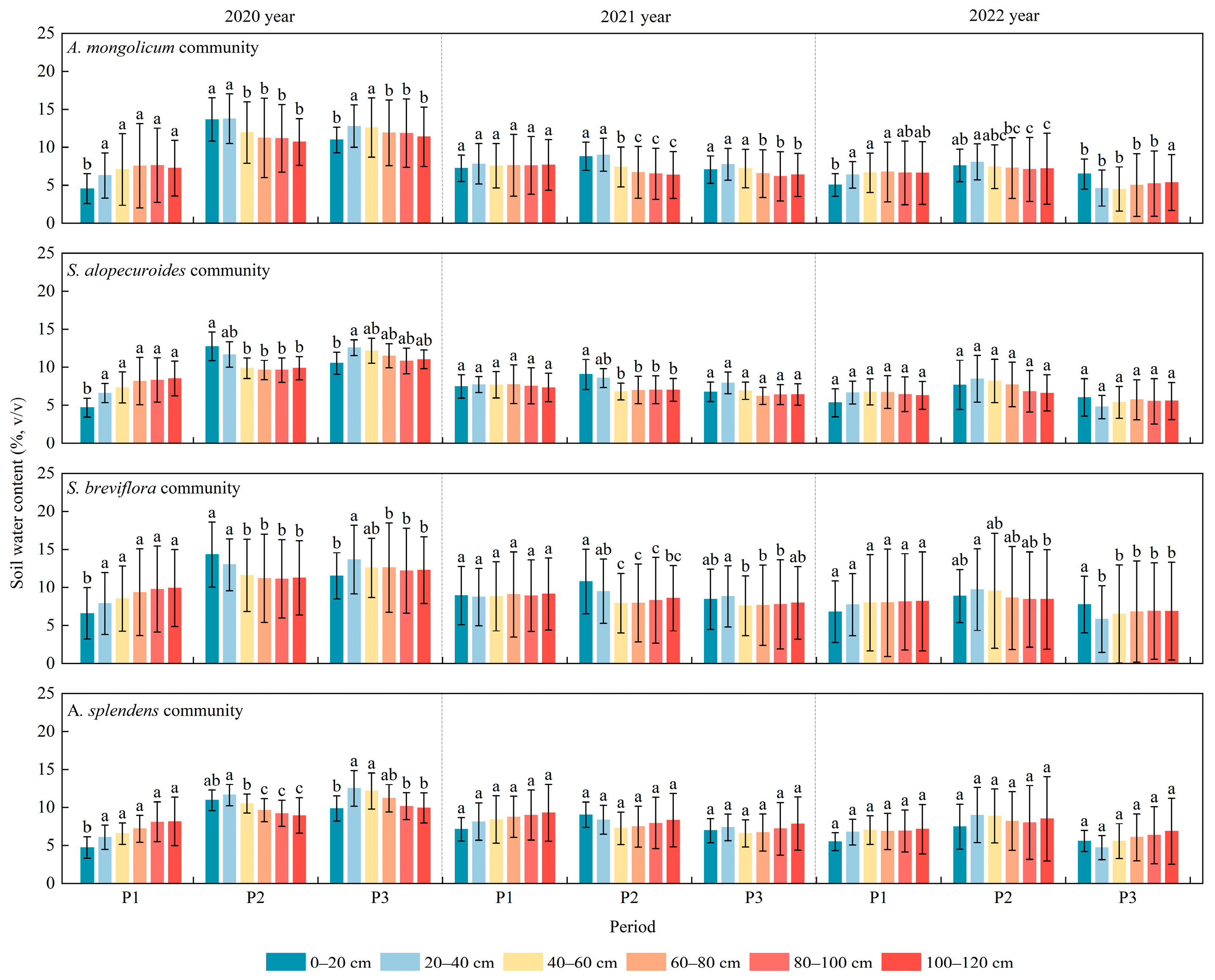
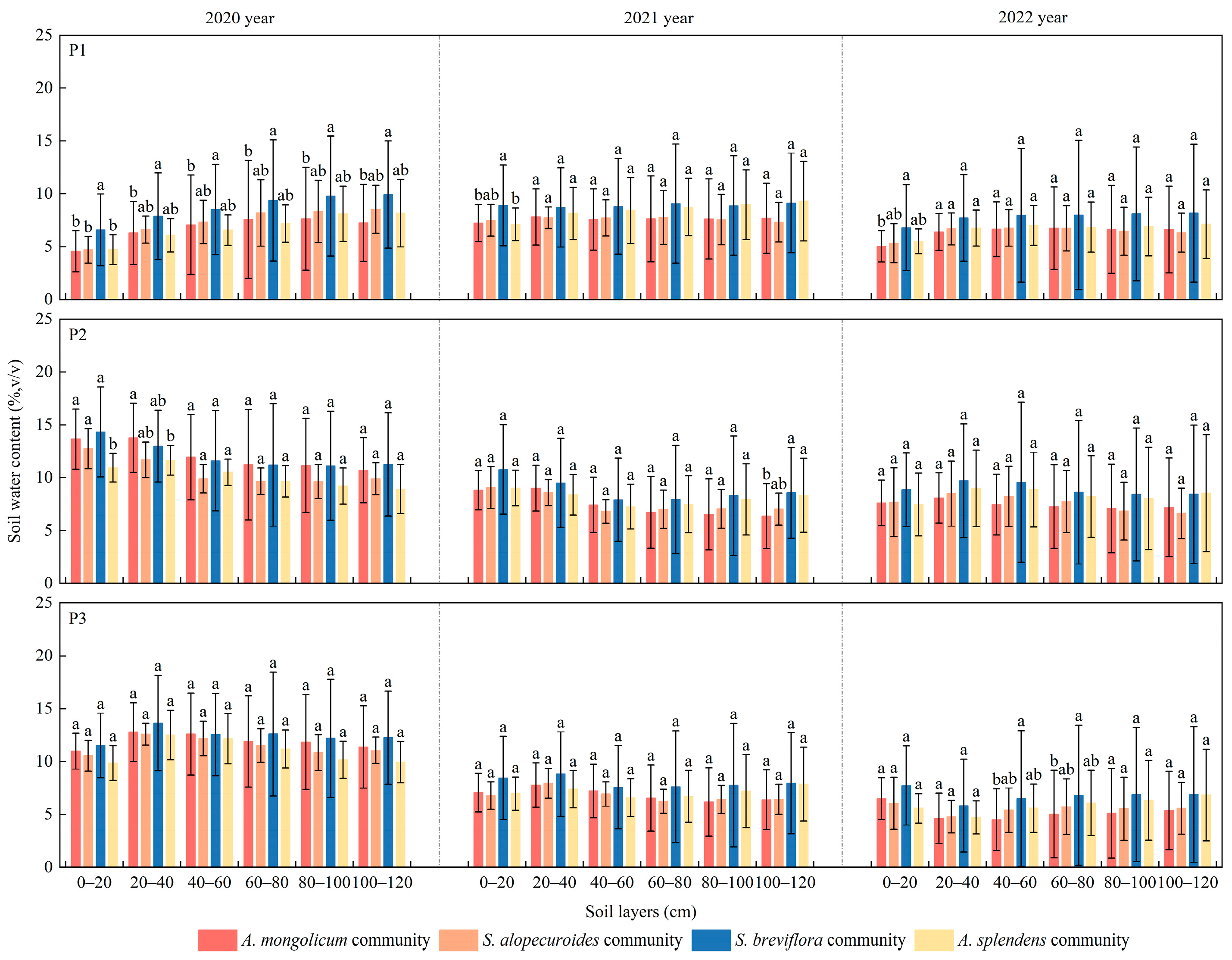
3.1. Spatiotemporal Dynamics of Soil Moisture
3.2. Factors Affecting the Spatiotemporal Dynamics of Soil Moisture
4. Discussion
5. Conclusions
Author Contributions
Funding
Institutional Review Board Statement
Informed Consent Statement
Data Availability Statement
Acknowledgments
Conflicts of Interest
Appendix A






| Factors | A. mongolicum Community | S. alopecuroides Community | S. breviflora Community | A. splendens Community | ||||
|---|---|---|---|---|---|---|---|---|
| Individual | P | Individual | P | Individual | P | Individual | P | |
| Precipitation | 0.1826 | 0.001 | 0.1658 | 0.004 | 0.1194 | 0.001 | 0.1778 | 0.001 |
| ET | 0.0927 | 0.001 | 0.1571 | 0.004 | 0.0575 | 0.001 | 0.1465 | 0.001 |
| Biomass | 0.0186 | 0.002 | −0.0149 | 0.574 | 0.0319 | 0.004 | 0.0368 | 0.041 |
| C/S.0–40 cm. | 0.0158 | 0.006 | −0.0142 | 0.564 | 0.0137 | 0.042 | −0.0102 | 0.669 |
| C/S.40–80 cm. | 0.0034 | 0.169 | 0.2026 | 0.001 | 0.012 | 0.049 | −0.0071 | 0.582 |
| C/S.80–120 cm. | 0.0112 | 0.023 | 0.1194 | 0.011 | 0.009 | 0.082 | 0.0146 | 0.168 |
References
- Gao, Z.; Han, C.; Huang, J.; Liu, Z.; Zhang, L.; Zhang, G.; Jia, M.; Li, X. Exploring the optimal grazing intensity in desert steppe based on soil nematode community and function. Land Degrad. Dev. 2022, 33, 2512–2527. [Google Scholar] [CrossRef]
- Wu, Q.; Ren, H.; Bisseling, T.; Chang, S.X.; Wang, Z.; Li, Y.; Pan, Z.; Liu, Y.; Cahill, J.F., Jr.; Cheng, X. Long-term warming and nitrogen addition have contrasting effects on ecosystem carbon exchange in a desert steppe. Environ. Sci. Technol. 2021, 55, 7256–7265. [Google Scholar] [CrossRef] [PubMed]
- Li, H.; Yang, X. Temperate dryland vegetation changes under a warming climate and strong human intervention—With a particular reference to the district Xilin Gol, Inner Mongolia, China. CATENA 2014, 119, 9–20. [Google Scholar] [CrossRef]
- Liu, C.; Li, H.; Liu, K.; Shao, X.; Huang, J.; Siri, M.; Feng, C.; Yang, X. Vegetation Characteristics of the Main Grassland Types in China Respond Differently to the Duration of Enclosure: A Meta-Analysis. Agronomy 2023, 13, 854. [Google Scholar] [CrossRef]
- Wang, J.; Wang, R. The physical and chemical properties of soil crust in straw checkerboards with different ages in the Mu Us sandland, northern China. Sustainability 2019, 11, 4755. [Google Scholar] [CrossRef]
- Yang, Y.; Liu, B. Effects of planting Caragana shrubs on soil nutrients and stoichiometries in desert steppe of Northwest China. CATENA 2019, 183, 104213. [Google Scholar] [CrossRef]
- Zhou, W.; Li, C.; Wang, S.; Ren, Z.; Stringer, L.C. Effects of vegetation restoration on soil properties and vegetation attributes in the arid and semi-arid regions of China. J. Environ. Manag. 2023, 343, 118186. [Google Scholar] [CrossRef]
- Zhang, C.; Wang, Y. Controlling gully-and revegetation-induced dried soil layers across a slope–Gully system. Sci. Total Environ. 2021, 755, 142444. [Google Scholar] [CrossRef]
- Pan, Q.; Xue, J.; Tao, J.; Xu, M.; Zhang, W. Current status of grassland degradation and measures for grassland restoration in northern China. Chin. Sci. Bull. 2018, 63, 1642–1650. [Google Scholar] [CrossRef]
- Wang, L.; Song, N.-P.; Chen, L.; Yang, X.-G.; Wang, X. Increase in soil coarse sand content and decrease in soil nutrient levels accompany the transformation of perennial communities to annual communities in desert grassland. Acta Prataculturae Sin. 2020, 19, 183–189. [Google Scholar]
- Si, M.; Guo, X.; Lan, Y.; Fan, B.; Cao, G. Effects of Climatic Variability on Soil Water Content in an Alpine Kobresia Meadow, Northern Qinghai–Tibetan Plateau, China. Water 2022, 14, 2754. [Google Scholar] [CrossRef]
- Chen, J.; Song, N.-P.; Chen, L.; Wang, X.; Wang, Q.-X. Soil moisture dynamics and its response to precipitation in different cover types of desert steppe. J. Soil Water Conserv. 2021, 35, 198–206. [Google Scholar]
- Chang, Y.; Yi, W.; Chen, J.; Liu, X.; Meng, W.; Fan, Z.; Zhang, R.; Hai, C. Quantifying the Coupled Effect between Soil Moisture and Climate in the Desert Steppe Environment of Inner Mongolia, China. Water 2023, 15, 1150. [Google Scholar] [CrossRef]
- Zuo, X.; Cheng, H.; Zhao, S.; Yue, P.; Liu, X.; Wang, S.; Liu, L.; Xu, C.; Luo, W.; Knops, J. Observational and experimental evidence for the effect of altered precipitation on desert and steppe communities. Glob. Ecol. Conserv. 2020, 21, e00864. [Google Scholar] [CrossRef]
- Hao, L.; Sun, G.; Liu, Y.; Zhou, G.; Wan, J.; Zhang, L.; Niu, J.; Sang, Y.; He, J. Evapotranspiration and soil moisture dynamics in a temperate grassland ecosystem in Inner Mongolia, China. Trans. ASABE 2016, 59, 577–590. [Google Scholar]
- Henn, B.; Painter, T.H.; Bormann, K.J.; McGurk, B.; Flint, A.L.; Flint, L.E.; White, V.; Lundquist, J.D. High-elevation evapotranspiration estimates during drought: Using streamflow and NASA Airborne Snow Observatory SWE observations to close the Upper Tuolumne River Basin water balance. Water Resour. Res. 2018, 54, 746–766. [Google Scholar] [CrossRef]
- Fu, C.-F.; Bian, Z.-H.; Xi, J.-J.; Zhao, J.-B. Spatial distribution characteristics of soil moisture in different types of sand dune in the Mu Us Sandy Land, adjacent to north of Chinese Loess Plateau. Environ. Earth Sci. 2018, 77, 151. [Google Scholar] [CrossRef]
- Dai, L.; Fu, R.; Guo, X.; Du, Y.; Zhang, F.; Cao, G. Soil moisture variations in response to precipitation across different vegetation types on the Northeastern Qinghai-Tibet Plateau. Front. Plant Sci. 2022, 13, 854152. [Google Scholar] [CrossRef]
- Mei, X.; Zhu, Q.; Ma, L.; Zhang, D.; Liu, H.; Xue, M. The spatial variability of soil water storage and its controlling factors during dry and wet periods on loess hillslopes. CATENA 2018, 162, 333–344. [Google Scholar] [CrossRef]
- Meng, T.; Sun, P. Variations of deep soil moisture under different vegetation restoration types in a watershed of the Loess Plateau, China. Sci. Rep. 2023, 13, 4957. [Google Scholar] [CrossRef]
- Chang, C.; Niu, J.; Wang, H.; Zhang, Q.; Dong, J.; Kang, S.; Han, F.; Na, R. Dynamic change of soil moisture and its response to rainfall in a Stipa klemenzii steppe. Arid. Zone Res. 2016, 33, 260–265. [Google Scholar]
- Chen, L.; Song, N.-P.; Yang, X.-G.; Li, X.-B. Responses of Soil Moisture to Precipitation Under Three Typical Land-Use Patterns in Desert Steppe. J. Soil Water Conserv. 2022, 36, 153–160. [Google Scholar]
- Yang, T.; Ala, M.; Zhang, Y.; Wu, J.; Wang, A.; Guan, D. Characteristics of soil moisture under different vegetation coverage in Horqin Sandy Land, northern China. PLoS ONE 2018, 13, e0198805. [Google Scholar] [CrossRef] [PubMed]
- Cavallaro, A.; Carbonell-Silletta, L.; Burek, A.; Goldstein, G.; Scholz, F.G.; Bucci, S.J. Leaf surface traits contributing to wettability, water interception and uptake of above-ground water sources in shrubs of Patagonian arid ecosystems. Ann. Bot. 2022, 130, 409–418. [Google Scholar] [CrossRef]
- Li, Y.; Cai, T.; Man, X.; Sheng, H.; Ju, C. Canopy interception loss in a Pinus sylvestris var. mongolica forest of Northeast China. J. Arid. Land 2015, 7, 831–840. [Google Scholar]
- Chen, X.-Y.; Chen, L.; Song, N.-P.; Li, M.-L.; Wu, T.; Yang, X.-G.; Wang, L.; Wang, X. Comparison on moisture dynamics of two different soil types in desert steppe. Ying Yong Sheng Tai Xue Bao = J. Appl. Ecol. 2020, 31, 1560–1570. [Google Scholar]
- Chen, J.; Chen, L.; Song, N.-P.; Li, Y.-F.; Su, Y.; Yang, D.-D. Soil infiltration characteristics of different soils types in desert steppe. J. Soil Water Conserv. 2018, 32, 18–23. [Google Scholar]
- Wang, B.; Liu, J.; Li, Z.; Morreale, S.J.; Schneider, R.L.; Xu, D.; Lin, X. The contributions of root morphological characteristics and soil property to soil infiltration in a reseeded desert steppe. CATENA 2023, 225, 107020. [Google Scholar] [CrossRef]
- Yu, H.-L.; Fan, J.; Niu, Y.-B.; Zhu, W.-W.; Huang, J.-Y. Review on the Influence of Bushwood Stem Flow and Root-Induced Preferential Flow on the “Soil Fertile Island Effect” of Nebkha. Acta Agrestia Sin. 2019, 27, 1–7. [Google Scholar]
- Du, L.-T.; Ma, L.-L.; Pan, H.-Z.; Qiao, C.-L.; Meng, C.; Wu, H.-Y.; Tian, J.; Yuan, H.-Y. Carbon–water coupling and its relationship with environmental and biological factors in a planted Caragana liouana shrub community in desert steppe, northwest China. J. Plant Ecol. 2022, 15, 947–960. [Google Scholar] [CrossRef]
- Ma, L.-L.; Du, L.-T.; Dan, Y.; Wang, L.; Qiao, C.-L.; Wu, H.-Y. Characteristics of evapotranspiration in planted shrub communities in desert steppe zone based on sap flow and lysimeter methods. Chin. J. Plant Ecol. 2022, 44, 807. [Google Scholar] [CrossRef]
- Li, X.; Liu, L.; Duan, Z.; Wang, N. Spatio-temporal variability in remotely sensed surface soil moisture and its relationship with precipitation and evapotranspiration during the growing season in the Loess Plateau, China. Environ. Earth Sci. 2014, 71, 1809–1820. [Google Scholar] [CrossRef]
- Wang, Y.; Zhang, Y.; Yu, X.; Jia, G.; Liu, Z.; Sun, L.; Zheng, P.; Zhu, X. Grassland soil moisture fluctuation and its relationship with evapotranspiration. Ecol. Indic. 2021, 131, 108196. [Google Scholar] [CrossRef]
- Thomas, A.; Yadav, B.K.; Šimůnek, J. Root water uptake under heterogeneous soil moisture conditions: An experimental study for unraveling compensatory root water uptake and hydraulic redistribution. Plant Soil 2020, 457, 421–435. [Google Scholar] [CrossRef]
- Wang, C.; Chen, J.; Gu, L.; Wu, G.; Tong, S.; Xiong, L.; Xu, C.-Y. A pathway analysis method for quantifying the contributions of precipitation and potential evapotranspiration anomalies to soil moisture drought. J. Hydrol. 2023, 621, 129570. [Google Scholar] [CrossRef]
- Wang, Q.; Wang, X.; Yu, X.; Chen, J.; Song, N.; Wu, X. Classification and ordination of a plant community in a desert wetland and its relationship with soil environmental factors. Pratacultural Sci. 2023, 40, 37–45. [Google Scholar] [CrossRef]
- Yang, L.; Wei, W.; Chen, L.; Jia, F.; Mo, B. Spatial variations of shallow and deep soil moisture in the semi-arid Loess Plateau, China. Hydrol. Earth Syst. Sci. 2012, 16, 3199–3217. [Google Scholar] [CrossRef]
- Yang, L.; Chen, L.; Wei, W. Effects of vegetation restoration on the spatial distribution of soil moisture at the hillslope scale in semi-arid regions. CATENA 2015, 124, 138–146. [Google Scholar] [CrossRef]
- Ru, J.; Wan, S.; Hui, D.; Song, J. Overcompensation of ecosystem productivity following sustained extreme drought in a semiarid grassland. Ecology 2023, 349, 528–532. [Google Scholar] [CrossRef]
- Lv, H.; Wang, X.; Song, N.-P.; Chen, J.; Zhang, Y.-F.; Wu, X.-D.; Yu, D.; Yang, X.-G.; Wang, L.; Chen, L. Response of Soil Moisture Dynamics in Four Typical Herbaceous Communities to Extreme Drought Precipitation in the Desert Steppe. J. Soil Water Conserv. 2023, 37, 145–152. [Google Scholar]
- Chen, J.; Wang, X.; Song, N.; Wang, Q.; Wu, X. Water utilization of typical plant communities in desert steppe, China. J. Arid. Land 2022, 14, 1038–1054. [Google Scholar] [CrossRef]
- Liu, J.-H.; Zhang, J.; Lv, S.-J.; Wang, Z.-W.; Han, G.-D. Response of interspecific relationships among main plant species to the change of precipitation years in desert steppe. Acta Bot. Boreal. Occident. Sin. 2019, 39, 1289–1297. [Google Scholar]
- Qu, Y.P.; Kang, S.Z.; Wang, S.F. Applicability analysis for measuring evapotranspiration of Populus alba var. by sap flow and micro-lysimeter method. Agric. Res. Arid. Areas 2014, 32, 88–94. [Google Scholar]
- Jiang, L.; Liu, H.; Peng, Z.; Dai, J.; Zhao, F.; Chen, Z. Root system plays an important role in responses of plant to drought in the steppe of China. Land Degrad. Dev. 2021, 32, 3498–3506. [Google Scholar] [CrossRef]
- Lai, J.; Zou, Y.; Zhang, J.; Peres-Neto, P.R. Generalizing hierarchical and variation partitioning in multiple regression and canonical analyses using the rdacca. hp R package. Methods Ecol. Evol. 2022, 13, 782–788. [Google Scholar] [CrossRef]
- Zhu, L.; Zhang, H.; Gao, X.; Qi, Y.; Xu, X. Seasonal patterns in water uptake for Medicago sativa grown along an elevation gradient with shallow groundwater table in Yanchi county of Ningxia, Northwest China. J. Arid. Land 2016, 8, 921–934. [Google Scholar] [CrossRef]
- Hu, H.; Zhu, L.; Li, H.; Xu, D.; Xie, Y. Seasonal changes in the water-use strategies of three herbaceous species in a native desert steppe of Ningxia, China. J. Arid. Land 2021, 13, 109–122. [Google Scholar] [CrossRef]
- Naiping, S.; Xing, W.; Lin, C.; Yi, X.; Juan, C.; Jinming, S.; Lei, W.; Xinguo, Y. Co-existence mechanisms of plant species within “soil islands” habitat of desert steppe. Biodivers. Sci. 2018, 26, 667. [Google Scholar]
- Wang, P.; Li, X.Y.; Wang, L.; Wu, X.; Hu, X.; Fan, Y.; Tong, Y. Divergent evapotranspiration partition dynamics between shrubs and grasses in a shrub-encroached steppe ecosystem. New Phytol. 2018, 219, 1325–1337. [Google Scholar] [CrossRef]
- Wang, T.; Stewart, C.E.; Sun, C.; Wang, Y.; Zheng, J. Effects of biochar addition on evaporation in the five typical Loess Plateau soils. CATENA 2018, 162, 29–39. [Google Scholar] [CrossRef]
- Zou, Y.; Zhang, S.; Shi, Z.; Zhou, H.; Zheng, H.; Hu, J.; Mei, J.; Bai, L.; Jia, J. Effects of mixed-based biochar on water infiltration and evaporation in aeolian sand soil. J. Arid. Land 2022, 14, 374–389. [Google Scholar] [CrossRef]
- Brümmer, C.; Black, T.A.; Jassal, R.S.; Grant, N.J.; Spittlehouse, D.L.; Chen, B.; Nesic, Z.; Amiro, B.D.; Arain, M.A.; Barr, A.G. How climate and vegetation type influence evapotranspiration and water use efficiency in Canadian forest, peatland and grassland ecosystems. Agric. For. Meteorol. 2012, 153, 14–30. [Google Scholar] [CrossRef]



Disclaimer/Publisher’s Note: The statements, opinions and data contained in all publications are solely those of the individual author(s) and contributor(s) and not of MDPI and/or the editor(s). MDPI and/or the editor(s) disclaim responsibility for any injury to people or property resulting from any ideas, methods, instructions or products referred to in the content. |
© 2024 by the authors. Licensee MDPI, Basel, Switzerland. This article is an open access article distributed under the terms and conditions of the Creative Commons Attribution (CC BY) license (https://creativecommons.org/licenses/by/4.0/).
Share and Cite
Zhang, Y.; Lv, H.; Fan, W.; Zhang, Y.; Song, N.; Wang, X.; Wu, X.; Zhang, H.; Tao, Q.; Wang, X. Quantifying the Impacts of Precipitation, Vegetation, and Soil Properties on Soil Moisture Dynamics in Desert Steppe Herbaceous Communities Under Extreme Drought. Water 2024, 16, 3490. https://doi.org/10.3390/w16233490
Zhang Y, Lv H, Fan W, Zhang Y, Song N, Wang X, Wu X, Zhang H, Tao Q, Wang X. Quantifying the Impacts of Precipitation, Vegetation, and Soil Properties on Soil Moisture Dynamics in Desert Steppe Herbaceous Communities Under Extreme Drought. Water. 2024; 16(23):3490. https://doi.org/10.3390/w16233490
Chicago/Turabian StyleZhang, Yifei, Hao Lv, Wenshuai Fan, Yi Zhang, Naiping Song, Xing Wang, Xudong Wu, Huwei Zhang, Qingrui Tao, and Xiao Wang. 2024. "Quantifying the Impacts of Precipitation, Vegetation, and Soil Properties on Soil Moisture Dynamics in Desert Steppe Herbaceous Communities Under Extreme Drought" Water 16, no. 23: 3490. https://doi.org/10.3390/w16233490
APA StyleZhang, Y., Lv, H., Fan, W., Zhang, Y., Song, N., Wang, X., Wu, X., Zhang, H., Tao, Q., & Wang, X. (2024). Quantifying the Impacts of Precipitation, Vegetation, and Soil Properties on Soil Moisture Dynamics in Desert Steppe Herbaceous Communities Under Extreme Drought. Water, 16(23), 3490. https://doi.org/10.3390/w16233490
