Abstract
The increasing prevalence of heavy metals and antibiotic-resistant bacteria in wastewater (WW) raises serious environmental and public health concerns. This study investigates the efficiency of the microalgal strain Chlorella vulgaris EV-465 in treating wastewater and evaluates the antibiotic resistance profile of bacterial strains obtained from WW samples. Chlorella vulgaris EV-465 was used to treat four types of wastewater—domestic, municipal, hospital, and industrial wastewater—through 21 days of incubation. The findings demonstrated pH stabilization and significant decreases in nutrients (total nitrogen—TN, total phosphorus—TP), biological oxygen demand (BOD), chemical oxygen demand (COD), heavy metal (HM) concentrations, and bacterial count. Copper (Cu) showed the highest reduction, decreasing by 80% in industrial wastewater within 14 days, while lead (Pb) proved more resistant to removal, with only a 50% decrease by day 21. Additionally, the algae decreased bacterial counts, lowering colony-forming units (Log CFU/mL) from 9.04 to 4.65 in municipal wastewater over the 21-day period. Antibiotic susceptibility tests for isolated bacterial strains revealed high levels of resistance, with seven out of nine bacterial strains exhibiting multidrug resistance. Notably, Enterococcus faecium (PBI08), Acinetobacter baumannii (YBH19), and Pseudomonas aeruginosa (NBH16) displayed resistance to all nine antibiotics tested. Among the tested antibiotics, Ciprofloxacin showed the highest efficacy, with 66% susceptibility of tested bacterial strains. Cluster and phylogenetic analyses showed that the majority of the isolated bacterial strains belonged to the genera Pseudomonas and Escherichia, highlighting their genetic diversity and varied resistance mechanisms.
1. Introduction
Among dominant environmental concerns worldwide, water scarcity and contamination are serious issues affecting both developed and developing countries [1]. Wastewater, altered by human activities and containing agricultural, hospital, domestic, and industrial wastes, can still be reused after appropriate treatment. There are traditional methods of wastewater treatment [2], accompanied by limitations such as high cost (for ion exchange, membrane separation, and electrochemical removal), energy requirements (for activated sludge), and excessive sludge production (for adsorption and chemical precipitation) [3]. In this regard, the use of microalgae for wastewater treatment has been increasingly considered a favorable solution [4] to address the specified limitations, being effective for nutrients’ availability and contaminants’ removal [5]. Microalgae is also known for the capability to remove wastewater contaminants like heavy metals and organic matter [3,4,6]. Via photosynthetic processes, microalgae can naturally regulate pH levels—by consuming carbon dioxide—often resulting in a more alkaline environment [7]. This pH modulation not only creates favorable conditions for the precipitation and removal of heavy metals but also enhances the overall process of WW treatment [8]. Additionally, microalgae-associated pH fluctuations may impact the overall microbial activity within the treatment system, which in turn influences the efficiency of nutrient and pollutant removal [9].
Beyond pH regulation, the ability of microalgae to remove nutrient pollutants such as nitrogen and phosphorus is another significant aspect in wastewater treatment [10]. Excessive concentrations of these nutrients can lead to eutrophication, causing harmful algal blooms and deteriorating water quality [11]. By assimilating these nutrients during their growth, microalgae help to mitigate wastewater, converting the nutrient contaminants into valuable biomass [12]. Moreover, microalgae can effectively lower biochemical oxygen demand (BOD) and chemical oxygen demand (COD) by utilizing organic pollutants, which further contributes to improved water quality [13]. These capabilities underscore the versatility of microalgae in removing a broad range of pollutants [14]. In addition to nutrient pollutants, heavy metals (HMs) like lead, mercury, cadmium, and arsenic present in wastewater can be categorized as hazardous pollutants because of their toxicity, non-biodegradability, and ability to accumulate in living organisms [15]. The presence of these heavy metals poses significant toxic risks to aquatic ecosystems and to human health [16]. Heavy metals are prevalent in effluents of industries, mines, and in agricultural runoff that drain into the water bodies, generalizing the HMs’ presence in wastewater [17]. The role of microalgae in heavy metal removal is particularly enhanced by their ability to regulate pH as higher pH levels facilitate the precipitation of these metals, making them easier to remove [6]. Heavy metals are removed through biosorption and bioaccumulation, where the cellulose material of microalgae cell walls absorbs the metal ions, and intracellular mechanisms sequester these metal ions [18]. Hence, combating the accumulation of these elements is considered a critical task for preserving the environment [19] and ensuring the health of the associated human populations. Moreover, the biological pollutants found in wastewater, such as pathogens and antibiotic-resistant bacteria (ARB), also pose significant risks to public health [20]. The spread of antibiotic-resistant genes (ARGs) within wastewater is an emerging threat as these genes can be transferred to other bacteria, complicating the treatment of infectious diseases [21]. A few recent studies have highlighted the potential of microalgae to combat these biological pollutants. Certain microalgae species can uptake and degrade antibiotic residues, thereby decreasing their concentration in wastewater [22] but the role of microalgae in antibiotic resistance determinants has not been largely studied yet. Furthermore, microalgae may produce antimicrobial substances that inhibit the growth of heterotrophic bacteria that normally facilitate WW treatment through COD/BOD alleviation. In this regard, co-cultivation of microalgae with bacteria has shown promise in treating wastewater harboring antibiotic-resistant genes [23]. This multidimensional approach emphasizes the worth of microalgae in addressing a wide range of wastewater having varying types and concentrations of contaminants [24]. Therefore, the ongoing studies on microalgae-based systems for the treatment of wastewater present an ecological way of dealing with water sources’ contamination as well as curbing the development of antibiotic resistance at minimum costs [25]. In brief, the enhancement of efficient and scalable algal-based technologies would have implications for environmental protection and community health [26].
In this study, we therefore aimed to determine the efficiency of a native microalgae-based treatment of wastewater collected from various sources, i.e., industrial, domestic, municipal and hospital from Abbottabad. This study also aimed to evaluate the load of environmental contaminants like HMs and ARB present within wastewater samples treated or not with microalgae strains.
2. Material and Methods
2.1. Microalga Culturing
Microalga strain Chlorella vulgaris was examined microscopically and plated on semi-solid agar medium, i.e., BG11. The plates were incubated in a photo bioreactor at 25 °C under white, fluorescent light with a 12-h light/dark cycle [27]. Microalgae growth on BG11 plates was monitored on a regular basis. Microalgae colonies from solid medium were picked up and transferred into liquid BG11 medium [27]. Strains were also sub-cultured every two weeks and monitored for growth and purity. The optical density (OD750) of the freshly grown culture was measured by a spectrophotometer (model: DR 6000, Hach, Loveland, CO, USA), and biomass was harvested (via centrifugation), washed, and stored as per standard protocols [22,24]. Microalgal inoculation for varied experimental treatments was performed equally as OD 0.05.
2.2. Collection of Wastewater Samples
Wastewater samples were collected from different sewers of Abbottabad city for different types such as municipal wastewater (MW), industrial wastewater (IW), domestic wastewater (DW), and hospital wastewater (HW). The MW sample was collected from Kala Pul; the IW sample from a small industrial area; the DW sample from College Road, Mandian; and the HW sample from the main drain of Ayub Teaching Hospital. Samples were collected from three different points of the respective drain, i.e., each side of the channel and from the middle of the sewer. Samples were collected and carefully transported in ice-packed containers—to ensure the integrity of biological and chemical contents therein—to the laboratory for further analyses [28]. Initial evaluation of chemical and biological contaminants, present in wastewater samples, is summarized in Table 1. In addition, the prescribed permissible limits of heavy metals are listed in the Supplementary Materials, Table S1.
Table 1.
Amount of chemicals as well as biological contaminants present in different wastewater samples.
2.3. Experimental Setup for Wastewater Treatment
The experiment for microalgae-assisted wastewater treatment was conducted in a photobioreactor with a completely randomized design. In three replicates, 200 mL of wastewater was combined with 0.65 μg of Chlorella vulgaris (as OD750 0.05) in autoclaved 250 mL conical flasks. Wastewater provided all the necessary nutrients for the growth and activity of Chlorella vulgaris, eliminating the need for additional nutrient supplementation or media. A control setup consisting of wastewater without microalgae was also prepared. All samples were incubated at 25 °C for 21 days in batch cultures under laboratory conditions with 12 h of fluorescent tube light per day. The 21-day incubation period was selected to allow Chlorella vulgaris to progress through its growth phases, maximizing nutrient uptake and contaminant removal. This duration also ensured comprehensive monitoring and provided stable, consistent results throughout the treatment process. Monitoring was conducted at four intervals: Day 0 (initial characterization before inoculation), Day 7 (first monitoring), Day 14 (second monitoring), and Day 21 (final analyses at the end of the experiment). No nutrient adjustments were made throughout the experiment as the wastewater alone was sufficient to sustain the microalgae, ensuring the effectiveness of the treatment process [29]. During the experimental incubation period, aliquots of 10 mL were withdrawn from each flask at four specific intervals. Each aliquot was analyzed immediately to monitor the concentration changes in contaminants and microbial counts. A total of 2 mL of each aliquot was used for spectrophotometric readings to assess microalgae growth.
2.4. Wastewater Analyses
In this study, several characteristics of wastewater samples such as pH, nutrients (total nitrogen (TN), total phosphorus (TP)), and oxygen demand (COD, BOD) were determined as below via the standard methods.
2.4.1. pH Evaluation
The pH of the wastewater samples was determined using a calibrated pH meter (HI 2211, Hanna Instruments, Smithfield, VA, USA). Before all measurements, the instrument was standardized by comparing it to the pH of standard buffer solutions (pH 4.0, 7.0, and 10.0). The pH measurements were recorded initially and then periodically throughout the 21-day treatment period [30].
2.4.2. Total Nitrogen (TN)
Total nitrogen (TN) was assessed through the Kjeldahl method with distillation apparatus (DK 20, Velp Scientifica, Usmate, Italy). This method involved treating samples with sulfuric acid and using a catalyst (copper sulfate (CuSO4)) to convert organic nitrogen to ammonium sulfate, followed by neutralization and distillation to convert ammonium to ammonia. The ammonia produced was then titrated with an acid solution to obtain the concentration of total nitrogen present therein [31].
2.4.3. Total Phosphorus (TP)
Total phosphorus (TP) of the wastewater samples was analyzed by the acid digestion method. The samples were initially treated with sulfuric acid and potassium persulfate to digest all forms of phosphorus into the orthophosphate before it was treated with ammonium and molybdate to form a blue-colored complex, followed by colorimetric analysis with a spectrophotometer (model: DR 6000, Hach) [32].
2.4.4. Biological Oxygen Demand (BOD)
BOD was evaluated by the Winkler method, i.e., initial and final DO was determined using a DO meter (HQ40d, Hach) by titrating the sample with MnSO4 and sodium thiosulfate and 5% alkaline iodide–azide reagent followed by incubating them at 20 °C in a dark place for 5 days [33].
2.4.5. Chemical Oxygen Demand (COD)
The closed reflux colorimetric method was used for the detection of the COD in wastewater. It involves oxidizing the samples with potassium dichromate and concentrated sulfuric acid in sealed vials using a COD thermoreactor (ECO 6, Velp Scientifica). After digestion, the samples were analyzed by the colorimetric method with a spectrophotometer (model: DR 6000, Hach) to measure the extent of oxidation, determining the COD value [34].
2.5. Evaluation of Environmental Contaminants
2.5.1. Heavy Metal (HM) Assessment
Concentrations of metals were determined by following the ASTM (American Society for Testing and Material) standards [31], which included digestion with concentrated acids (up to 70%), filtration, and analysis by an atomic absorption spectrophotometer (AAnalyst 700, PerkinElmer, Shelton, CT, USA) with calibration. A mixture of (10 mL) 60–70% HNO3 and (5 mL) 35–40% HCl was used for acid digestion, followed by heating at 120 °C for 2 h. This ensured complete dissolution of metal particles for accurate measurement. After digestion, samples were filtered through 0.45 µm filters to remove particulates. To plot the calibration curve, standard solutions (for Cu, Fe, Ni, Pb, Cd, and Zn) were prepared in the concentration range of 0–100 mg L−1. Blanks were run to eliminate the interference caused by the extracting agents [35]. The concentration of heavy metals (C) in wastewater samples was calculated using the equation {C = (A × V)/m} where A is the absorbance from the atomic absorption spectrophotometer, V is the volume of the aliquot, and m is the mass of the sample in grams [31].
2.5.2. Analysis of Antibiotic-Resistant Bacteria (ARB)
The serial dilutions of each wastewater sample and the microalgae-treated wastewater sample were prepared. A total of 100 μL of the dilution was spread onto the nutrient agar (Sigma-Aldrich, Hamburg, Germany) to determine the bacterial counts. Isolated bacterial species were subjected to antibiotic susceptibility testing. The plates were incubated at 37 °C for 24 h for the growth of microorganisms. The abundance of viable bacteria was measured by counting the colony-forming units (CFU) to provide a quantitative measure of bacterial load and treatment outcome [36].
2.5.3. Characterization of Antibiotic-Resistant Bacteria (ARB)
Isolation of ARB
Colony morphology, color, size, and shape were examined to choose the colonies for the nutrient agar media. The selected bacterial strains were streaked onto nutrient agar media for both the purity and growth until monotonous colonies were obtained. Initially, 45 strains were selected for preliminary identification including Gram staining. To further categorize the bacterial species, biochemical tests such as the catalase test and oxidase test were performed; subsequently, 21 bacterial strains were selected, showing different patterns of results to these tests. These 21 purified bacterial strains were cultured in nutrient broth (Sigma-Aldrich, Germany) and stored at −80 °C as 35% glycerol stock for future use [37].
Antibiotic Susceptibility Testing
To estimate ARB, the antibiotic susceptibility test was performed for six frequently used classes of antibiotics such as β-Lactams (Ampicillin—AMP, Ceftriaxone—CEF), Aminoglycosides (Amikacin—AMI), Macrolides (Erythromycin—ERY, Azithromycin—AZI, Clarithromycin—CLA), Fluoroquinolone (Ciprofloxacin—CIP), Sulphonamides (Sulfadiazine—SUL), and Tetracycline—TET. Nutrient agar plates were prepared by mixing the sterilized aliquots of test antibiotics at 100 μg/mL of concentration in the autoclaved medium. The isolated pure bacterial strains were then inoculated onto each of the antibiotic contour plates as well as on the control plates, without any antibiotic. All of the petri dishes were then incubated at 30 °C, and after 24 h, the plates were examined to confirm the growth of bacteria. In this antibiotic susceptibility test, bacterial strains showing growth on antibiotic-assisted plates were considered resistant to the antibiotic and then subjected to further studies. Bacteria that failed to grow on the antibiotic plates (even after 3 days) while growing on non-antibiotic plates were considered susceptible to the antibiotic used [38].
DNA Extraction
The CTAB method was modified and used for DNA extraction from multidrug-resistant bacterial strains. Overnight cultures of bacteria were grown in nutrient broth at 30 °C, then centrifuged for 1 min at 3 × 103× g. The supernatant was removed, and the resulting cell pellet was lysed by incubating with CTAB buffer at 37 °C for 1–2 h in the presence of Proteinase K. Then, chloroform alcohol was added to lysate for phase separation, the solution was centrifuged at room temperature for 05 min at 6 × 103× g, and the aqueous phase was collected. DNA precipitation was achieved through the addition of equal volume of isopropanol followed by centrifugation (10 × 103× g for 20 min/4 °C). DNA was washed twice using 70% ethanol (2 mL), dried, and resuspended in 100 µL TE (Tris-Ethylenediaminetetraacetic acid) buffer. DNA was evaluated on agarose gel for concentration and purity and stored at −20 °C for further analysis [39].
Amplification by Polymerase Chain Reaction (PCR)
The 16S rRNA gene was amplified through PCR (PTC-100 Programmable Thermal Cycler MJ Research, Waltham, MA, USA) using universal primers 27F (5′ AGA GTT TGA TCC TGG CTC AG 3′) and 1492R (5′ GGT TAC CTT GTT ACG ACT T 3′). Each PCR reaction contained the following: extracted DNA—volume of 1.5 µL of DNA; 12.5 µL of Thermo Scientific PCR master mix (Thermo Fisher Scientific, Waltham, MA, USA); 1 µL of forward primer; 1 µL of reverse primer; and 5 µL of nuclease-free water; the final volume being 25 µL. The thermal cycling involved the following steps: initial denaturation at 94 °C for 3 min, thirty cycles at temperatures of denaturation at 94 °C for 1 min, annealing at 56 °C for 1 min, then extension at 72 °C for 1 min, and lastly, a final extension at 72 °C for 5 min. PCR product was analyzed using 1% agarose gel electrophoresis in TE buffer. The gel was stained with ethidium bromide and visualized under a UV transilluminator to confirm the presence of the amplified 16S rRNA gene. The PCR samples were sequenced using Sanger sequencing. The sequencing reactions employed DNA polymerase, the forward primer (27F), fluorescent tags, four deoxynucleoside trisphosphates (dNTPs, which included dATP, dTTP, dCTP, dGTP), and the DNA template [40].
Phylogenetic Analysis
Sequences obtained were manually validated using Chromas software (version 2.6.5). Validated sequences were compared to the National Center for Biotechnology Information (NCBI) database using the Basic Local Alignment Search Tool (BLAST) to identify bacterial species. Sequences with the highest coverage and percent identity were downloaded and used as reference sequences for phylogenetic analysis. Multiple sequence alignments were performed using MEGA 11 software (version 11.0.10). A phylogenetic tree was constructed using the neighbor-joining method with the Maximum Composite Likelihood model and 1000 bootstrap replicates. Bootstrap values equal to or greater than 50 were included to show the evolutionary relationships between the isolated bacterial strains and reference sequences [38,41]. Identified bacterial strains were deposited in the NCBI database (Table 2).
Table 2.
List of bacterial strains isolated from different wastewater sources, along with their antibiotic resistance profiles and 16S rRNA gene sequences.
2.6. Statistical Analyses
Statistical analyses were performed using R Studio (4.4.0). Descriptive statistics, including means and standard deviations, summarized the physiological parameters. Two-way ANOVA was conducted to assess significant differences between wastewater types and treatment days. Additionally, t-tests were performed to compare means between specific treatment days. Principal component analysis (PCA) and hierarchical cluster analysis were utilized to evaluate the antibiotic resistance profiles of the isolated bacterial species, following the methodology described earlier [42].
3. Results
Data obtained demonstrated that the treatment with Chlorella vulgaris EV-465 had a positive effect on wastewater treatment for parameters like pH, TN, TP, BOD, COD, and heavy metals. Furthermore, regarding the biological contaminants’ removal, results provided valuable information about microbiota present in the wastewater and influenced by the algal treatment, with a special focus on antibiotic-resistant bacteria. Details of the results are as follows:
3.1. pH
The pH level is an important parameter of wastewater because it describes the acidity or alkalinity of the water, which can affect microorganisms and the efficacy of the wastewater treatment process. Throughout our 21-day treatment, pH levels consistently increased across all wastewater sources, demonstrating the effectiveness of microalgae in neutralizing the acidity over time (Figure 1). Initially, domestic wastewater (DW) had a pH of 6.14, which gradually increased to 6.59 by Day 7, 6.92 by Day 14, and reached 7.20 by Day 21. Hospital wastewater (HW) followed a similar trend, starting at 6.09 and increasing to 6.73, 7.00, and 7.29 on Days 7, 14, and 21, respectively. Industrial wastewater (IW) exhibited the lowest starting pH of 5.99, which rose to 6.49 by Day 7, 6.76 by Day 14, and achieved 7.10 by Day 21. Municipal wastewater (MW), which initially had a pH of 6.13, showed the most significant change, rising to 6.79 by Day 7, 7.22 by Day 14, and reaching the highest final pH of 7.54 by Day 21 (Figure 1). The most substantial pH shifts were observed in industrial and municipal wastewater, signifying the effectiveness of this microalga in stabilizing pH over time. The absorbance of acidic compounds, such as CO2—by C. vulgaris—during photosynthesis, may justify the increase in pH in our observations.
Figure 1.
The pH of the wastewater samples incubated for 21 days with microalgal strain Chlorella vulgaris EV-465. DW: domestic wastewater, HW: hospital wastewater, IW: industrial wastewater, MW: municipal wastewater.
3.2. Removal of Nutrient Pollutants
3.2.1. Total Nitrogen
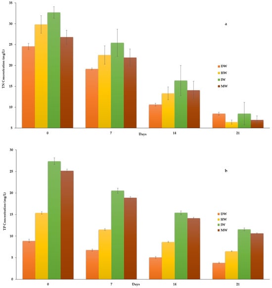
Total nitrogen levels in all wastewater samples decreased significantly over the 21-day treatment by Chlorella vulgaris (Figure 2a). The microalgae played a crucial role in decreasing nitrogen concentrations across all sources, with noticeable variations depending on the wastewater type. In domestic wastewater (DW), the initial nitrogen concentration was 24.59 mg/L, which decreased steadily to 19.17 mg/L by Day 7, 10.62 mg/L by Day 14, and finally to 8.43 mg/L by Day 21. Hospital wastewater (HW) exhibited a similar trend, starting with the highest initial nitrogen concentration of 29.83 mg/L, which dropped to 22.50 mg/L by Day 7 and further declined to 13.30 mg/L by Day 14, reaching a final concentration of 6.42 mg/L by Day 21. Industrial wastewater (IW), which was initially the most nitrogen-rich at 32.71 mg/L, showed a consistent decrease, with levels falling to 25.44 mg/L by Day 7, 16.40 mg/L by Day 14, and 8.45 mg/L by Day 21. Municipal wastewater (MW) also followed this decreasing trend, starting at 26.78 mg/L and decreasing to 21.92 mg/L by Day 7, 14.05 mg/L by Day 14, and ending at 6.91 mg/L by Day 21 (Figure 2a). The potential reasons for this nitrogen decrease may include the conversion of these chemicals by microalgae into biomass and associated bio-products.

Figure 2.
Evaluation of the wastewater quality indicators, i.e., total Nitrogen—TN (a), total phosphorus—TP (b), biological oxygen demand—BOD (c), and chemical oxygen demand—COD (d). Wastewater samples were incubated for 21 days with microalgal strain Chlorella vulgaris EV-465. DW: domestic wastewater, HW: hospital wastewater, IW: industrial wastewater, MW: municipal wastewater.
3.2.2. Total Phosphorus
At the start of the treatment (Day 0), total phosphorus (TP) concentrations differed across wastewater samples. Domestic wastewater (DW) experienced the most significant decrease, beginning at 8.88 mg/L TP and plummeting to just 3.80 mg/L by the end of the 21-day treatment (Figure 2b). Following this, hospital wastewater (HW), with an initial TP concentration of 15.36 mg/L, displayed a consistent decrease, reaching 6.48 mg/L by Day 21. This steady decline illustrated the effectiveness of the microalgae in mitigating nutrient pollution in potential medical effluents. In contrast, industrial wastewater (IW) presented a pronounced decrease from 27.37 mg/L at the start to 11.55 mg/L by the end of the treatment period. The initial drop was rapid, with TP levels falling to 20.53 mg/L within the first week, emphasizing the algae’s capacity to handle high concentrations of phosphorus. Lastly, municipal wastewater (MW) showed a more gradual decline, with TP concentrations decreasing from 25.16 mg/L to 10.62 mg/L over the treatment period (Figure 2b), indicating the potential of Chlorella vulgaris EV-465 in removing phosphorus across all wastewater types, with the most substantial decreases occurring in industrial and municipal wastewater. Photosynthetic bio-assimilation of phosphorus into microalgal biomass and related bio-products may represent potential factors for the TP decrease observed in this work.
3.3. Removal of Organic Pollutants
3.3.1. Biological Oxygen Demand—BOD
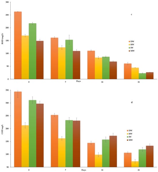
Biological oxygen demand (BOD) across different wastewater sources exhibited a discernible decrease over the 21-day treatment period, with distinct patterns linked to both time and the source of wastewater (Figure 2c). In domestic wastewater (DW), BOD levels showed a consistent decrease from an initial average of 262.80 mg/L to 161.51 mg/L by Day 7, further decreasing to 110.07 mg/L by Day 14, and reaching 60.51 mg/L by Day 21. This significant decrease highlights the efficacy of microalgae in breaking down organic matter in domestic effluents. Hospital wastewater (HW) demonstrated a similar downward trend, with BOD levels declining from an average of 169.48 mg/L on Day 0 to 123.33 mg/L by Day 7, 83.22 mg/L by Day 14, and 44.40 mg/L by Day 21. Although the initial BOD was lower in HW than in DW, the reduction pattern was comparable, indicating effective organic load reduction in medical effluents. In industrial wastewater (IW), BOD started higher at an average of 217.37 mg/L and showed a slower decline to 153.04 mg/L by Day 7 and 87.15 mg/L by Day 14, eventually dropping significantly to 22.84 mg/L by Day 21. Municipal wastewater (MW), with an initial average BOD of 148.04 mg/L, also followed a consistent decrease, reaching 109.62 mg/L by Day 7, 68.55 mg/L by Day 14, and decreasing to 26.62 mg/L by Day 21 (Figure 2c). Overall, the results demonstrated a significant decrease with variations in the rate of decrease depending on the wastewater type.
3.3.2. Chemical Oxygen Demand—COD
Over the 21-day treatment period, COD levels decreased significantly across all wastewater types, with varying rates of decrease observed. In domestic wastewater (DW), COD levels showed a notable decrease, at 344.82 mg/L on Day 0 and decreasing to 253.03 mg/L by Day 7, 144.96 mg/L by Day 14, and ultimately 105.92 mg/L by Day 21 (Figure 2d). This steady decline reflects the efficient degradation of organic pollutants in domestic effluents. Hospital wastewater (HW) exhibited a similar downward trend, with initial COD levels averaging 213.67 mg/L, dropping to 162.15 mg/L by Day 7, 98.88 mg/L by Day 14, and reaching 72.18 mg/L by Day 21. Industrial wastewater (IW) had a higher starting average COD of 310.92 mg/L, which decreased to 233.78 mg/L by Day 7, 157.88 mg/L by Day 14, and 118.18 mg/L by Day 21. Municipal wastewater (MW) showed a relatively high initial COD of 296.95 mg/L, which decreased to 231.84 mg/L by Day 7, 172.83 mg/L by Day 14, and 133.81 mg/L by Day 21 (Figure 2d).
3.4. Removal of Heavy Metal Pollutants
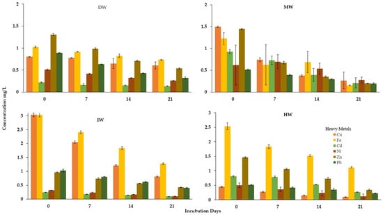
The removal of heavy metals during micro-algal treatment varied across wastewater sources, with each type displaying unique decrease patterns. In domestic wastewater (DW), copper (Cu) concentrations gradually declined, falling from 0.80 mg/L on Day 0 to 0.60 mg/L by Day 21 (Figure 3). Similar trends were seen in iron (Fe), which dropped from 1.02 mg/L to 0.73 mg/L. Interestingly, cadmium (Cd) and nickel (Ni), although present at lower initial concentrations, experienced a notable decrease, with Cd decreasing from 0.22 mg/L to 0.13 mg/L and Ni from 0.51 mg/L to 0.26 mg/L. Zinc (Zn) and lead (Pb), both known for their persistence, decreased by more than half over the 21-day period, i.e., from 1.30 mg/L and 0.89 mg/L to 0.54 mg/L and 0.32 mg/L, respectively.
Figure 3.
Heavy metal concentration (mg/L) evaluated from wastewater samples incubated with microalgal strain Chlorella vulgaris EV-465 for 21 days. DW: domestic wastewater, HW: hospital wastewater, IW: industrial wastewater, MW: municipal wastewater.
Hospital wastewater (HW) exhibited faster heavy metal removal, particularly in the first 7 days. Cu levels plummeted from 0.45 mg/L to 0.27 mg/L by Day 7, eventually reaching 0.10 mg/L, while Fe followed a similar trend, dropping from 2.53 mg/L to 1.11 mg/L by Day 21. The rapid decrease in Cd, from 0.81 mg/L to 0.26 mg/L, and Ni, from 0.50 mg/L to 0.12 mg/L, highlighted the accelerated efficiency in HW. Zinc and lead also displayed marked decreases, with Zn falling from 1.46 mg/L to 0.34 mg/L and Pb from 0.51 mg/L to 0.22 mg/L by the end of the treatment.
In industrial wastewater (IW), which initially contained the highest concentrations of metals (Figure 3), the microalgae treatment showed striking results. Cu, starting at 3.04 mg/L, rapidly decreased to 2.05 mg/L in just 7 days and reached 0.81 mg/L by Day 21. Similarly, Fe dropped from 3.03 mg/L to 1.28 mg/L, while Cd, Ni, Zn, and Pb followed comparable trends, all decreasing by more than half their initial concentrations. Cd, for instance, declined from 0.25 mg/L to 0.10 mg/L, while Pb, starting at 1.03 mg/L, dropped to 0.41 mg/L, highlighting the robustness of the treatment in handling high metal loads.
Municipal wastewater (MW) demonstrated a steady, if slower, decrease in heavy metals. Cu levels dropped from 1.50 mg/L to 0.27 mg/L, and Fe concentrations decreased from 1.23 mg/L to a mere 0.16 mg/L. Cd, Ni, Zn, and Pb followed similar trajectories, with Cd decreasing from 0.93 mg/L to 0.21 mg/L; Ni from 0.62 mg/L to 0.27 mg/L; Zn from 1.44 mg/L to 0.20 mg/L; and Pb from 0.51 mg/L to 0.20 mg/L.
Overall, industrial wastewater showed the most significant decrease, particularly for Cu and Fe, while hospital wastewater demonstrated the fastest early-stage removal. In contrast, municipal wastewater exhibited a more gradual decrease, and domestic wastewater showed consistent performance across all metals.
3.5. Removal of Biological Pollutants
3.5.1. Antibiotic Resistant Bacteria—ARB
The colony-forming units of bacteria per milliliter (CFU/mL) of wastewater for all samples showed a steady decline over the 21-day incubation with microalgae (Figure 4a). For domestic wastewater (DW), the Log CFU/mL was at 8.95 on Day 0, decreased to 6.84 by Day 7, further declined to 5.72 on Day 14, and finally reached 3.69 by Day 21. In hospital wastewater (HW), the initial Log CFU/mL was 9.00, which dropped to 7.24 on Day 7, then to 5.44 on Day 14, and ended at 4.34 by Day 21. For industrial wastewater (IW), the initial Log CFU/mL was 7.96, decreasing to 6.53 by Day 7, 5.09 by Day 14, and 3.98 on Day 21. Municipal wastewater (MW) had an initial Log CFU/mL of 9.04, which decreased to 6.89 by Day 7, 5.85 by Day 14, and 4.65 by Day 21 (Figure 4a).

Figure 4.
Enumeration of bacterial counts, i.e., Log CFU/mL of wastewater samples incubated with microalgal strain Chlorella vulgaris EV-465 (a), along with bacterial antibiotic resistance profiles (b). DW: domestic wastewater, HW: hospital wastewater, IW: industrial wastewater, MW: municipal wastewater.
3.5.2. Colony Morphology and Biochemical Tests of the Isolated Bacterial Strains
A total of 45 bacterial strains were isolated from four wastewater sources: domestic (DW), hospital (HW), industrial (IW), and municipal (MW). Biochemical tests, including Gram staining, catalase, and oxidase tests, were conducted to characterize these bacterial isolates (Supplementary Materials, Table S2). Most strains were Gram-negative, with 70% testing positive for oxidase, particularly in the DW and HW samples, suggesting the presence of Pseudomonas and similar species. Catalase activity was detected in over 85% of the isolates, indicating the predominance of aerobic bacteria. Isolated bacteria represented a variety of morphological characteristics depicting quite a diversity of these bacterial strains. Based on colony morphology and biochemical diversity, 21 representative strains were selected for further antibiotic susceptibility testing.
3.5.3. Antibiotic Susceptibility Profile of Isolated Bacterial Strains
The antibiotic susceptibility profile of the isolated bacterial strains revealed a concerning level of resistance, particularly against several commonly used antibiotics. Notably, 90% of the strains were resistant to both Ampicillin and Ceftriaxone (Figure 4b), indicating these antibiotics are largely ineffective against the tested isolates. Amikacin also faced significant resistance, with 85% of the strains unaffected by it. Erythromycin, Clarithromycin, and Tetracycline showed moderate resistance levels of 66%, 71%, and 42%, respectively, reflecting the strains’ reduced sensitivity to these treatments. While Ciprofloxacin and Azithromycin exhibited lower resistance rates, at 33% and 38%, respectively, Sulfadiazine mirrored Azithromycin with a 38% resistance rate. In contrast, Ciprofloxacin (66%), Azithromycin (61%), and Sulfadiazine (61%) (Figure 4b) had the highest susceptibility rates, suggesting these antibiotics may still be viable options for treating infections caused by such bacterial strains. The data highlighted the alarming prevalence of antibiotic resistance among bacteria prevailing within wastewater.
3.5.4. Identification of Antibiotic-Resistant Bacterial Strains
The analysis of bacterial strains isolated from various wastewater sources reveals a trend of multidrug resistance (Table 2), providing a view into the resistance profiles of wastewater-inhabiting bacteria. Hospital wastewater emerged as a critical hotspot for multidrug resistance. For instance, Pseudomonas aeruginosa (NBH16) and Acinetobacter baumannii (YBH19) displayed resistance to all nine antibiotics tested herein. The presence of these strains in hospital wastewater emphasizes the significant public health risk posed by wastewater effluent, which may serve as a reservoir for resistant pathogens. In the domestic wastewater samples, Enterobacter cloacae (KBD27) and Aeromonas caviae (EBH07) stood out for their multidrug-resistant profiles. Both of these bacterial strains resisted five antibiotics, including broad-spectrum Ampicillin and Ceftriaxone. These findings highlight the potential for domestic wastewater to contribute to the environmental spread of MDR bacteria, potentially impacting health and agriculture. Municipal wastewater also harbored resilient strains, with Mycobacterium sp. (VBM05) presenting the most concerning profile, i.e., resistant to eight out of nine antibiotics tested here, reflecting its ability to survive in harsh environments. The strain VBM05′s resistance profile, combined with its origin, raises red flags regarding the role of effluents in perpetuating and dispersing highly resistant bacteria. Additionally, the potential bacterial pathogenic strains like Escherichia coli (BBD02), Proteus mirabilis (OBM09), and Serratia marcescens (LBM32) sourced from our wastewater samples consistently showed resistance to multiple antibiotics. Their widespread resistance to commonly used antibiotics further emphasizes these strains as MDR bacteria.
3.5.5. Phylogenetic Tree and Molecular Analysis
Out of the 21 sequenced strains, distinct clusters were observed in relation to their wastewater source. Specifically, Pseudomonas strains were distributed across multiple wastewater types, with three originating from industrial wastewater (IW), two from domestic wastewater (DW), two from hospital wastewater (HW), and three from municipal wastewater (MW). Escherichia coli strains were more concentrated, with four strains isolated from hospital wastewater (HW) and one from municipal wastewater (MW). Klebsiella pneumoniae showed a strong presence in hospital wastewater, with three strains, while two strains were detected in domestic wastewater. Serratia marcescens isolates were predominantly found in industrial wastewater, with three strains, and two strains were detected in hospital wastewater.
The phylogenetic analysis, based on the 16S rRNA gene sequences, provided insights into the evolutionary relationships among these strains. The sequences of our bacterial isolates displayed a 99–100% homology with previously reported bacterial sequences, confirming their identification. The resultant phylogenetic tree organized the strains into several distinct clusters, highlighting their taxonomic affiliations and evolutionary linkages. Escherichia coli (BBD02) clustered closely with reference strains such as E. coli strain UPCC-7411 and E. coli strain FDAARGOS_1383, all of which share origins in clinical or environmental settings. This indicates that our isolated strain shares a significant evolutionary history with other E. coli strains known for their role in both human infections and environmental contamination. Klebsiella pneumoniae (GBM12) is grouped with strains like K. pneumoniae DSM 30,104 and K. pneumoniae BC-3, organisms frequently associated with hospital-acquired infections and antibiotic resistance. This suggests that the isolated strain might possess similar pathogenic traits and environmental adaptability. Streptococcus pneumoniae (UBM04) was found to be closely related to S. pneumoniae strain R6CB17 and S. pneumoniae ATCC 33400, both commonly implicated in respiratory infections. This evolutionary closeness reinforces the potential health risks associated with our strain. Interestingly, the strains Enterococcus faecium (PB108) and Enterococcus faecalis (SBH41) were grouped with well-known pathogenic strains of E. faecium and E. faecalis, isolated from clinical infections and wastewater. Serratia marcescens (LBM32) clustered with strains like S. marcescens WES1 and S. marcescens Go1, both isolated from wastewater and hospital environments, hinting at the possible nosocomial and environmental significance of our isolation. Acinetobacter baumannii (YBH19) exhibited close evolutionary ties with strains isolated from diverse sources such as hospital environments and environmental samples, indicating the resilience and broad ecological niche of this organism. Notably, Proteus mirabilis (OBM09) grouped with strains such as P. mirabilis MGH, which are well-known for causing urinary tract infections, reflecting its pathogenic potential. Our analysis also revealed that Yersinia enterocolitica (AAM43) shares close phylogenetic relationships with strains implicated in gastrointestinal infections, confirming its identification and pathogenic potential (Figure 5a,b).
Figure 5.
Hierarchical clustering of antibiotic resistance and susceptibility profiles of 21 bacterial strains (a) and their phylogenetic analysis based on 16S rRNA gene sequences (b). To construct the phylogenetic tree, neighbor-joining method was used along with Maximum Composite Likelihood model and 1000 bootstrap replicates. Green-color represents the strains reported in current work.
4. Discussion
This study underscores the remarkable versatility of Chlorella vulgaris EV-465 in treating wastewater from multiple sources. This microalga not only stabilized pH levels but also efficiently reduced nutrient loads, lowered BOD and COD levels, and played a crucial role in the removal of heavy metals and antibiotic-resistant bacteria (ARB). While C. vulgaris EV-465 demonstrated impressive bioremediation capabilities, the persistence of multidrug-resistant (MDR) strains highlighted the need for supplementary treatment strategies to fully address ARB-related challenges.
One of the most fundamental outcomes of this research was the consistent pH stabilization achieved across all wastewater types during the 21-day treatment period. Initially, the pH values were slightly acidic ranging from 5.99 to 6.14, as observed in previous studies [43]. However, C. vulgaris EV-465 effectively neutralized the wastewater, with pH levels rising to slightly alkaline conditions by Day 21, particularly in municipal wastewater, where it reached 7.54. This shift is substantial as it optimized the conditions for microbial degradation and promoted the removal of heavy metals from wastewater. The ability of C. vulgaris to absorb acidic compounds, such as CO2 during photosynthesis, has been highlighted earlier by [44] and was clearly evident in our study too.
As the pH levels stabilized, the microalgae C. vulgaris EV-465 demonstrated its strong capacity for nutrient removal. The decrease in total nitrogen (TN) and total phosphorus (TP) was particularly notable, with hospital wastewater experiencing an 80% decrease in TN and industrial wastewater showing a 57.87% decrease in TP. These findings are essential for mitigating eutrophication in receiving water bodies. Elevated pH conditions likely contributed to this enhanced nutrient uptake as alkalinity favors both phosphorus precipitation and nitrogen assimilation by microalgae [45]. The adaptability of C. vulgaris to different wastewater compositions, confirmed earlier [46], reaffirms its role in effectively addressing nutrient-related pollution challenges.
Beyond nutrient removal, C. vulgaris also proved highly effective in decreasing biological oxygen demand (BOD) and chemical oxygen demand (COD) across all wastewater samples. Industrial wastewater exhibited the most substantial decreases, illustrating the proficiency of the microalgae in breaking down complex organic pollutants. These findings align with earlier studies [47] that reported similar decreases in BOD and COD in algal-based treatment systems. However, the differences in COD removal between wastewater types suggest that the composition of organic pollutants may play a vital role in determining the overall efficiency of the treatment [48].
A key strength of C. vulgaris lies in its ability to effectively sequester heavy metals across diverse wastewater types. This microalga leverages functional groups on its cell wall such as carboxyl and hydroxyl groups to bind with metal ions, facilitating biosorption [49]. This process was further enhanced by the rise in pH, which created favorable conditions for the precipitation of metal hydroxides, particularly in municipal wastewater. The alignment of these findings with those of [50], who noted increased efficiency of microalgal treatment in alkaline conditions, underscores the significance of pH in optimizing metal removal.
The efficiency of our microalgae strain Chlorella vulgaris EV-465 was different for the pollutants (ARB, pH, TN, TP, COD, and HMs) across the various wastewater sources (IW, DW, HW, and MW). Such treatment variations may depend on the different abiotic conditions, as described in Supplementary Materials, Table S1. These wastewater properties, including the type of nutrients and their concentration, can affect the varying treatment efficiency as observed in this work. The chemical abiotic factors may interfere with CO2/O2 supply, light intensity to the microalgae cells, pH, and hydraulic retention time, all cumulatively contributing toward the varying effectiveness of microalgal systems in different wastewater sources.
Remarkably, our C. vulgaris strain EV-465 maintained its effectiveness across all wastewater types, including industrial, hospital, and domestic sources. The microalgal strain EV-465 adapted well to varying levels of contamination, demonstrating its potential for broad applications in wastewater treatment scenarios. The authors of [51] reported similar findings, observing the ability of microalgal treatments to function effectively in effluents with complex chemical compositions. These results are particularly striking due to the substantial removal of highly toxic metals like cadmium (Cd) and lead (Pb), which are widely recognized for their long-term persistence and harmful environmental effects. Observed differences in heavy metal removal efficiency from varied wastewater by microalgae can be attributed to several factors: (i) varying initial concentrations of heavy metals where high concentrations may inhibit the growth and performance of microalgae, affecting their removal efficiency [52]; (ii) the presence of additional substances (e.g., ions and pollutants) can either compete with heavy metals for binding sites on microalgae or alter the chemical environment, affecting metal uptake efficiency [53]; (iii) different wastewater sources have different pH levels and chemical compositions, impacting the bioavailability of heavy metals [15].
The decrease in antibiotic-resistant bacteria (ARB)—from a Log CFU/mL of 9.04 to 3.69—represents another benefit of using C. vulgaris EV-465 in wastewater treatment. A decrease in colony-forming units (CFU/mL) was observed across all wastewater sources, emphasizing the significant potential of C. vulgaris EV-465 to control ARB populations. Similar trends have previously been observed, with reports of a 50–60% decrease in ARB levels in wastewater treated with microalgae [45]. This decline is likely influenced by antimicrobial factors produced by C. vulgaris, which inhibit bacterial growth, as noted by [40]. The ability of C. vulgaris to mitigate ARB proliferation across different wastewater sources highlights its efficacy in decreasing the spread of antibiotic-resistant pathogens in various environmental settings [54].
However, the persistence of multidrug-resistant (MDR) strains, such as Pseudomonas aeruginosa and Acinetobacter baumannii, points to a significant challenge in the context of ARB reduction. These strains exhibited resistance to eight out of the nine antibiotics tested, reflecting the alarming global trends in antibiotic resistance [34]. The detection of Mycobacterium sp. (VBM05) in industrial effluents, which exhibited resistance to all tested antibiotics, suggests that industrial wastewater could serve as a reservoir for highly resistant bacteria. Moreover, the presence of Escherichia coli and Serratia marcescens strains with complex resistance patterns in hospital wastewater points to the influence of high antibiotic usage in healthcare settings. These findings illustrate that antibiotic resistance extends beyond clinical environments, posing a broader environmental threat that requires comprehensive monitoring and treatment strategies.
The evolutionary relationships of these strains, as revealed through phylogenetic analysis, further highlight their pathogenic potential. These environmental isolates share close genetic ties to known clinical pathogens, emphasizing the risks they pose if released untreated into the environment. Previous research [45] has similarly distinguished the adaptability of these bacteria in wastewater environments. A similar study highlights the need for enhanced treatment methods to decrease the burden of ARB before effluents are released into ecosystems [55], resonating with the conclusions of Kharel and colleagues [17]. Previous studies, such as those by [46], have demonstrated that wastewater systems are hotspots for the dissemination of antibiotic resistance factors, driven by dense microbial populations and the selective pressures imposed by pollutants.
The resilience of MDR strains like Pseudomonas aeruginosa, Acinetobacter baumannii, and Mycobacterium sp. in untreated wastewater systems calls for ongoing surveillance and the integration of more advanced treatment technologies. Studies such as [29] suggest that microalgal treatment could be enhanced by combining it with advanced oxidation processes or constructed wetlands to achieve a more comprehensive removal of both chemical pollutants and ARB. This combined approach holds potential for addressing the complex challenges posed by antibiotic resistance in wastewater treatment.
This study highlights two critical benefits of using Chlorella vulgaris EV-465 in wastewater treatment: its ability to significantly decrease microbial loads and its capacity to mitigate nutrient pollution. However, the persistence of antibiotic-resistant bacteria, particularly multidrug-resistant strains, underscores the importance of integrating microalgal treatment with more advanced technologies to better safeguard environmental and public health.
5. Conclusions
This study highlights the effectiveness of Chlorella vulgaris strain EV-465 in wastewater treatment by improving physicochemical parameters and decreasing pollutants across various sources. The pH increased up to 7.5, particularly in municipal wastewater, demonstrating the ability of this microalga to neutralize acidity. Nutrient removal was the key outcome, with the total nitrogen (TN) decreasing by 80% in hospital wastewater and total phosphorus (TP) showing a 57.8% decrease in industrial wastewater. This study further observed a substantial decrease in biological oxygen demand (BOD) and chemical oxygen demand (COD), respectively, with an 89.5% decrease (in industrial wastewater) and a 69.0% decrease (in domestic wastewater). Additionally, heavy metal removal was highly effective, with iron concentrations in municipal wastewater decreasing by over 90%. In terms of microbial reduction, Chlorella vulgaris EV-465 demonstrated a significant decrease in bacterial load (i.e., colony-forming units—CFU) and limiting the presence of antibiotic-resistant bacteria (ARB). However, the persistence of multidrug-resistant (MDR) strains such as Pseudomonas aeruginosa and Acinetobacter baumannii highlights the need for integrated treatment approaches to fully eliminate these threats.
Overall, this study underscores the potential of Chlorella vulgaris as a sustainable bioremediation agent capable of addressing multiple contaminants, including nutrients, organic pollutants, heavy metals, and antibiotic-resistant bacteria. Future research should focus on a variety of wastewaters particularly originating from different industries. Moreover, efforts should be employed to integrate microalgae-based treatments with advanced techniques to enhance efficiency and expand their application in large-scale wastewater management systems.
Supplementary Materials
The following supporting information can be downloaded at: https://www.mdpi.com/article/10.3390/w16223305/s1, Table S1: Guideline values for heavy metals in wastewater according to regulatory bodies, including the U.S. EPA and the World Health Organization (WHO). Table S2: Colony morphology and biochemical tests of the isolated bacterial strains.
Author Contributions
Conceptualization, R.N.; Methodology, R.R., S.F.K., F.H. and R.N.; Software, S.F.K. and F.H.; Validation, M.I., M.B., F.H. and R.N.; Formal analysis, R.R. and S.F.K.; Investigation, R.R., S.F.K., J.A. and R.N.; Resources, M.B., S.S. and R.N.; Data curation, M.I., F.H., J.A., S.S. and R.N.; Writing—original draft, R.R. and S.F.K.; Writing—review & editing, M.B., F.H., J.A. and R.N.; Visualization, M.I., J.A. and S.S.; Supervision, M.B. and R.N.; Project administration, R.N.; Funding acquisition, R.N. All authors have read and agreed to the published version of the manuscript.
Funding
This study was funded by TWAS-IsDB grant (No. 2021-Joint Research Grant RG-507175) awarded to the corresponding author, RN.
Data Availability Statement
Sequencing data is available in a publicly accessible repository of NCBI, accession numbers are provided in Table 2 of the manuscript. Other data (presented in this study) are available on request from the corresponding author.
Acknowledgments
This work was supported by The World Academy of Sciences (TWAS—as mentioned above). The authors thank Syed Abdul Moiz Kazmi for his assistance with sampling.
Conflicts of Interest
The authors declare no conflict of interest.
References
- Sukhesh, M.J.; Akula, U.K.; Oggu, P.; Mothe, S.; Korpe, S.; Kunnoth, B.; Venkatesh, N. Hydrogeochemical Investigation and Groundwater Quality Assessment in Patancheruvu Area Sangareddy District, South India. Ecol. Eng. Environ. Technol. 2023, 24, 70–81. [Google Scholar]
- Zhou, S.; Zhu, J.; Wang, Z.; Yang, Z.; Yang, W.; Yin, Z. Defective MOFs-based electrocatalytic self-cleaning membrane for wastewater reclamation: Enhanced antibiotics removal, membrane fouling control and mechanisms. Water Res. 2022, 220, 118635. [Google Scholar] [CrossRef] [PubMed]
- Mahlangu, D.; Mphahlele, K.; De Paola, F.; Mthombeni, N.H. Microalgae-mediated biosorption for effective heavy metals removal from wastewater: A review. Water 2024, 16, 718. [Google Scholar] [CrossRef]
- Liberti, D.; Pinheiro, F.; Simões, B.; Varela, J.; Barreira, L. Beyond Bioremediation: The Untapped Potential of Microalgae in Wastewater Treatment. Water 2024, 16, 2710. [Google Scholar] [CrossRef]
- Al-Jabri, H.; Das, P.; Khan, S.; Thaher, M.; Abdul Quadir, M. Treatment of wastewaters by microalgae and the potential applications of the produced biomass—A review. Water 2020, 13, 27. [Google Scholar] [CrossRef]
- Leong, Y.K.; Chang, J.S. Bioremediation of heavy metals using microalgae: Recent advances and mechanisms. Bioresour. Technol. 2020, 303, 122886. [Google Scholar] [CrossRef]
- Wang, S.; Zhao, Q.; Yu, H.; Du, X.; Zhang, T.; Sun, T.; Song, W. Assessing the potential of Chlorella sp. phycoremediation liquid digestates from brewery wastes mixture integrated with bioproduct production. Front. Bioeng. Biotechnol. 2023, 11, 1199472. [Google Scholar] [CrossRef]
- Kuznietsov, P.; Biedunkova, O. Study of Changes in Acid-Alkaline Balance of Cooling Water Circulating System of Power Plants during Water Treatment by Liming According to Stabilization Treatment Method. In Proceedings of the 4th International Scientific Conference «Chemical Technology and Engineering: Proceedings, Lviv, Ukraine, 26–29 June 2023; pp. 239–241. [Google Scholar]
- Poustie, A.; Yang, Y.; Verburg, P.; Pagilla, K.; Hanigan, D. Reclaimed wastewater as a viable water source for agricultural irrigation: A review of food crop growth inhibition and promotion in the context of environmental change. Sci. Total Environ. 2020, 739, 139756. [Google Scholar] [CrossRef]
- Moondra, N.; Jariwala, N.D.; Christian, R.A. Sustainable treatment of domestic wastewater through microalgae. Int. J. Phytoremediat. 2020, 22, 1480–1486. [Google Scholar] [CrossRef]
- Posadas, E.; Alcántara, C.; García-Encina, P.A.; Gouveia, L.; Guieysse, B.; Norvill, Z.; Muñoz, R. Microalgae cultivation in wastewater. In Microalgae-Based Biofuels and Bioproducts; Woodhead Publishing: Cambridge, UK, 2017; pp. 67–91. [Google Scholar]
- Nguyen, L.N.; Aditya, L.; Vu, H.P.; Johir, A.H.; Bennar, L.; Ralph, P.; Nghiem, L.D. Nutrient removal by algae-based wastewater treatment. Curr. Pollut. Rep. 2022, 8, 369–383. [Google Scholar] [CrossRef]
- Pavliukh, L.; Shamanskyi, S.; Boichenko, S.; Jaworski, A. Evaluation of the potential of commercial use of microalgae in the world and in Ukraine. Aircr. Eng. Aerosp. Technol. 2020, 93, 429. [Google Scholar] [CrossRef]
- Mantzorou, A.; Navakoudis, E.; Paschalidis, K.; Ververidis, F. Microalgae: A potential tool for remediating aquatic environments from toxic metals. Int. J. Environ. Sci. Technol. 2018, 15, 1815–1830. [Google Scholar] [CrossRef]
- Manzoor, F.; Karbassi, A.; Golzary, A. Removal of heavy metal contaminants from wastewater by using Chlorella vulgaris Beijerinck: A review. Curr. Environ. Manag. (Former. Curr. Environ. Eng.) 2019, 6, 174–187. [Google Scholar] [CrossRef]
- Aziz, K.H.H.; Mustafa, F.S.; Omer, K.M.; Hama, S.; Hamarawf, R.F.; Rahman, K.O. Heavy metal pollution in the aquatic environment: Efficient and low-cost removal approaches to eliminate their toxicity: A review. RSC Adv. 2023, 13, 17595–17610. [Google Scholar] [CrossRef]
- Kharel, H.L.; Shrestha, I.; Tan, M.; Nikookar, M.; Saraei, N.; Selvaratnam, T. Cyanidiales-Based Bioremediation of Heavy Metals. BioTech 2023, 12, 29. [Google Scholar] [CrossRef]
- Liu, Y.; Wang, H.; Cui, Y.; Chen, N. Removal of copper ions from wastewater: A review. Int. J. Environ. Res. Public Health 2023, 20, 3885. [Google Scholar] [CrossRef]
- Han, G.; Xu, J.; Zhang, X.; Pan, X. Efficiency and driving factors of Agricultural Carbon emissions: A study in Chinese state farms. Agriculture 2024, 14, 1454. [Google Scholar] [CrossRef]
- Adugna, C.; Sivalingam, K.M. Prevalence of Multiple Drug-Resistant Bacteria in the Main Campus Wastewater Treatment Plant of Wolaita Sodo University, Southern Ethiopia. Int. J. Microbiol. 2022, 2022, 1781518. [Google Scholar] [CrossRef] [PubMed]
- Zhang, M.; Ning, R.; Zheng, Q.; Gao, K. Microalgae-based biotechnology as a promising strategy for removing antibiotics from wastewater: Opportunities, challenges and future directions. Front. Bioeng. Biotechnol. 2023, 11, 1248765. [Google Scholar] [CrossRef]
- Leng, L.; Wei, L.; Xiong, Q.; Xu, S.; Li, W.; Lv, S.; Zhou, W. Use of microalgae-based technology for the removal of antibiotics from wastewater: A review. Chemosphere 2020, 238, 124680. [Google Scholar] [CrossRef]
- Shi, X.; Yeap, T.S.; Huang, S.; Chen, J.; Ng, H.Y. Pretreatment of saline antibiotic wastewater using marine microalga. Bioresour. Technol. 2018, 258, 240–246. [Google Scholar] [CrossRef] [PubMed]
- Plöhn, M.; Spain, O.; Sirin, S.; Silva, M.; Escudero-Oñate, C.; Ferrando-Climent, L.; Funk, C. Wastewater treatment by microalgae. Physiol. Plant. 2021, 173, 568–578. [Google Scholar] [CrossRef]
- Gu, J.D. On enrichment culturing and transferring technique. Appl. Environ. Biotechnol. 2021, 6, 1–5. [Google Scholar] [CrossRef]
- Delgado-Blas, J.F.; Ovejero, C.M.; David, S.; Montero, N.; Calero-Caceres, W.; Garcillan-Barcia, M.P.; Gonzalez-Zorn, B. Population genomics and antimicrobial resistance dynamics of Escherichia coli in wastewater and river environments. Commun. Biol. 2021, 4, 457. [Google Scholar] [CrossRef] [PubMed]
- Inuwa, A.B.; Mahmood, Q.; Iqbal, J.; Widemann, E.; Shafiq, S.; Irshad, M.; Irshad, U.; Iqbal, A.; Hafeez, F.; Nazir, R. Removal of antibiotic resistance genes, class 1 integrase gene and Escherichia coli indicator gene in a microalgae-based wastewater treatment system. Antibiotics 2022, 11, 1531. [Google Scholar] [CrossRef]
- Acurio, L.P.; Salazar, D.M.; Valencia, A.F.; Robalino, D.R.; Barona, A.C.; Alvarez, F.C.; Rodriguez, C.A. Antimicrobial potential of Chlorella algae isolated from stacked waters of the Andean Region of Ecuador. In IOP Conference Series: Earth and Environmental Science; IOP Publishing: Bristol, UK, 2018; Volume 151, p. 012040. [Google Scholar]
- Saratale, R.G.; Ponnusamy, V.K.; Jeyakumar, R.B.; Sirohi, R.; Piechota, G.; Shobana, S.; Ashokkumar, V. Microalgae cultivation strategies using cost–effective nutrient sources: Recent updates and progress towards biofuel production. Bioresour. Technol. 2022, 361, 127691. [Google Scholar]
- Abedi, E.; Hashemi, S.M.B. Lactic acid production–producing microorganisms and substrates sources-state of art. Heliyon 2020, 6, e04974. [Google Scholar] [CrossRef]
- Nakase, C.; Zurita, F.; Nani, G.; Reyes, G.; Fernández-Lambert, G.; Cabrera-Hernández, A.; Sandoval, L. Nitrogen removal from domestic wastewater and the development of tropical ornamental plants in partially saturated mesocosm-scale constructed wetlands. Int. J. Environ. Res. Public Health 2019, 16, 4800. [Google Scholar] [CrossRef]
- Packa, V.; Bostan, V.; Furdui, V.I. Analysis of phosphorus species in water. Encycl. Water Sci. Technol. Soc. 2019, 1–14. [Google Scholar] [CrossRef]
- Yu, D.; Ryu, K.; Zhi, S.; Otto, S.J.; Neumann, N.F. Naturalized Escherichia coli in wastewater and the co-evolution of bacterial resistance to water treatment and antibiotics. Front. Microbiol. 2022, 13, 810312. [Google Scholar] [CrossRef]
- da Silva, M.E.R.; Firmino, P.I.M.; de Sousa, M.R.; Dos Santos, A.B. Sequential anaerobic/aerobic treatment of dye-containing wastewaters: Colour and COD removals, and ecotoxicity tests. Appl. Biochem. Biotechnol. 2012, 166, 1057–1069. [Google Scholar] [CrossRef] [PubMed]
- Rice, E.W.; Bridgewater, L.; American Public Health Association (Eds.) Standard Methods for the Examination of Water and Wastewater; American Public Health Association: Washington, DC, USA, 2012; Volume 10. [Google Scholar]
- Alruwaili, N.K. Analytical quality by design approach of reverse-phase high-performance liquid chromatography of atorvastatin: Method development, optimization, validation, and the stability-indicated method. Int. J. Anal. Chem. 2021, 2021, 8833900. [Google Scholar] [CrossRef]
- Beal, J.; Farny, N.G.; Haddock-Angelli, T.; Selvarajah, V.; Baldwin, G.S.; Buckley-Taylor, R. Robust estimation of bacterial cell counts from optical density. Commun. Biol. 2020, 3, 512. [Google Scholar] [CrossRef] [PubMed]
- Ali, J.; Awan, M.O.U.; Akca, G.; Zeb, I.; Amin, B.A.; Ahmad, R.; Nazir, R. Prevalence of diversified antibiotic-resistant bacteria within sanitation related facilities of human populated workplaces in Abbottabad. PLoS ONE 2020, 15, e0233325. [Google Scholar] [CrossRef]
- El-Ashram, S.; Al Nasr, I.; Suo, X. Nucleic acid protocols: Extraction and optimization. Biotechnol. Rep. 2016, 12, 33–39. [Google Scholar] [CrossRef]
- Vu, L.P.; Diehl, C.J.; Casement, R.; Bond, A.G.; Steinebach, C.; Strasek, N.; Gutschow, M. Expanding the Structural Diversity at the Phenylene Core of Ligands for the von Hippel–Lindau E3 Ubiquitin Ligase: Development of Highly Potent Hypoxia-Inducible Factor-1α Stabilizers. J. Med. Chem. 2023, 66, 12776–12811. [Google Scholar] [CrossRef]
- Vlazaki, M.; Rossi, O.; Price, D.J.; McLean, C.; Grant, A.J.; Mastroeni, P.; Restif, O. A data-based mathematical modelling study to quantify the effects of ciprofloxacin and ampicillin on the within-host dynamics of Salmonella enterica during treatment and relapse. J. R. Soc. Interface 2020, 17, 20200299. [Google Scholar] [CrossRef] [PubMed]
- Penru, Y.; Guastalli, A.R.; Esplugas, S.; Baig, S. Application of UV and UV/H2O2 to seawater: Disinfection and natural organic matter removal. J. Photochem. Photobiol. A Chem. 2012, 233, 40–45. [Google Scholar] [CrossRef]
- Yang, R.; Mao, W.; Wang, X.; Zhang, Z.; Wu, J.; Chen, S. Response and adaptation of microbial community in a CANON reactor exposed to an extreme alkaline shock. Archaea 2020, 2020, 8888615. [Google Scholar] [CrossRef]
- Zhou, Z.; Wang, K.; Qiang, J.; Pang, H.; Yuan, Y.; An, Y.; Wu, Z. Mainstream nitrogen separation and side-stream removal to reduce discharge and footprint of wastewater treatment plants. Water Res. 2021, 188, 116527. [Google Scholar] [CrossRef]
- Effendi, A.J.; Baashen, M.S.; Hidayat, S. Nutrient Recovery from Organic-Rich Wastewater through Struvite Precipitation using Air Cathode Electrocoagulation Technology. Air Soil Water Res. 2022, 15, 11786221221087989. [Google Scholar] [CrossRef]
- Abdelfattah, A.; Ali, S.S.; Ramadan, H.; El-Aswar, E.I.; Eltawab, R.; Ho, S.H.; Sun, J. Microalgae-based wastewater treatment: Mechanisms, challenges, recent advances, and future prospects. Environ. Sci. Ecotechnol. 2023, 13, 100205. [Google Scholar] [CrossRef] [PubMed]
- Fontalvo, N.P.M.; Gamero, W.B.M.; Ardila, H.A.M.; Gonzalez, A.F.P.; Ramos, C.G.; Muñoz, A.E.P. Removal of nitrogenous compounds from municipal wastewater using a bacterial consortium: An opportunity for more sustainable water treatments. Water Air Soil Pollut. 2022, 233, 339. [Google Scholar] [CrossRef]
- Nseabasi-Maina, N.; Okpokwasili, G.C.; Agwa, O. Heavy metals tolerance in bacteria from industrial wastewater. GSC Biol. Pharm. Sci. 2021, 15, 307–316. [Google Scholar] [CrossRef]
- Lopes, T.R.; Periotto, F.; Pletsch, A.L. Bacterial resistance in sanitary sewage sludge in different treatment systems. Manag. Environ. Qual. Int. J. 2017, 28, 32–42. [Google Scholar] [CrossRef]
- Amsalu, A.; Sapula, S.A.; De Barros Lopes, M.; Hart, B.J.; Nguyen, A.H.; Drigo, B.; Venter, H. Efflux pump-driven antibiotic and biocide cross-resistance in Pseudomonas aeruginosa isolated from different ecological niches: A case study in the development of multidrug resistance in environmental hotspots. Microorganisms 2020, 8, 1647. [Google Scholar] [CrossRef]
- Pooja, K.; Priyanka, V.; Rao, B.C.S.; Raghavender, V. Cost-effective treatment of sewage wastewater using microalgae Chlorella vulgaris and its application as bio-fertilizer. Energy Nexus 2022, 7, 100122. [Google Scholar] [CrossRef]
- Carolin, C.F.; Kumar, P.S.; Saravanan, A.; Joshiba, G.J.; Naushad, M. Efficient techniques for the removal of toxic heavy metals from aquatic environment: A review. J. Environ. Chem. Eng. 2017, 5, 2782–2799. [Google Scholar] [CrossRef]
- Sattayawat, P.; Yunus, I.S.; Noirungsee, N.; Mukjang, N.; Pathom-Aree, W.; Pekkoh, J.; Pumas, C. Synthetic biology-based approaches for microalgal bio-removal of heavy metals from wastewater effluents. Front. Environ. Sci. 2021, 9, 778260. [Google Scholar] [CrossRef]
- Lu, Y.; Qin, L.; Mao, Y.; Lnong, X.; Wei, Q.; Su, J.; Chen, S.; Wei, Z.; Wang, L.; Liao, X.; et al. Antibacterial activity of a polysaccharide isolated from litchi (Litchi chinensis Sonn.) pericarp against Staphylococcus aureus and the mechanism investigation. Int. J. Biol. Macromol. 2024, 279, 134788. [Google Scholar] [CrossRef]
- Gong, W.; Bai, L.; Liang, H. Membrane-based technologies for removing emerging contaminants in urban water systems: Limitations, successes, and future improvements. Desalination 2024, 590, 117974. [Google Scholar] [CrossRef]
Disclaimer/Publisher’s Note: The statements, opinions and data contained in all publications are solely those of the individual author(s) and contributor(s) and not of MDPI and/or the editor(s). MDPI and/or the editor(s) disclaim responsibility for any injury to people or property resulting from any ideas, methods, instructions or products referred to in the content. |
© 2024 by the authors. Licensee MDPI, Basel, Switzerland. This article is an open access article distributed under the terms and conditions of the Creative Commons Attribution (CC BY) license (https://creativecommons.org/licenses/by/4.0/).