Evaluation of a Natural Superabsorbent Polymer on Water Retention Capacity in Coarse-Textured Soils
Abstract
1. Introduction
2. Materials and Methods
2.1. Soils
2.2. Granulometry
2.3. Superabsorbent Polymers (SAPs)
| Physical Properties | |||||
|---|---|---|---|---|---|
| Designation | S | LS | SL | SIL | |
| Bulk density (g ) | |||||
| 2.0–1.0 mm | 33.71 | 0.54 | 14.32 | 3.02 | |
| 1.0–0.5 mm | 34.18 | 4.22 | 16.62 | 2.65 | |
| Sand (%) | 0.5–0.25 mm | 15.69 | 24.69 | 14.68 | 3.83 |
| 0.25–0.10 mm | 6.05 | 44.85 | 11.50 | 9.19 | |
| 0.10–0.05 mm | 0.87 | 8.40 | 5.48 | 4.71 | |
| Silt (%) | 0.05–0.002 mm | 2.1 | 9 | 17.9 | 52.3 |
| Clay (%) | <0.002 mm | 7.4 | 8.3 | 19.5 | 24.3 |
| Organic Matter (%) | 1.55 | 2.32 | 4.12 | 5.10 | |
| USDA classification | Sand | Loamy Sand | Sandy Loam | Silt Loam | |
2.4. Obtaining the Soil Moisture Retention Curve Using the Pressure Chamber Method
2.5. Available Water Capacity (AWC)
2.6. Time Required to Reach PWP
3. Results and Discussion
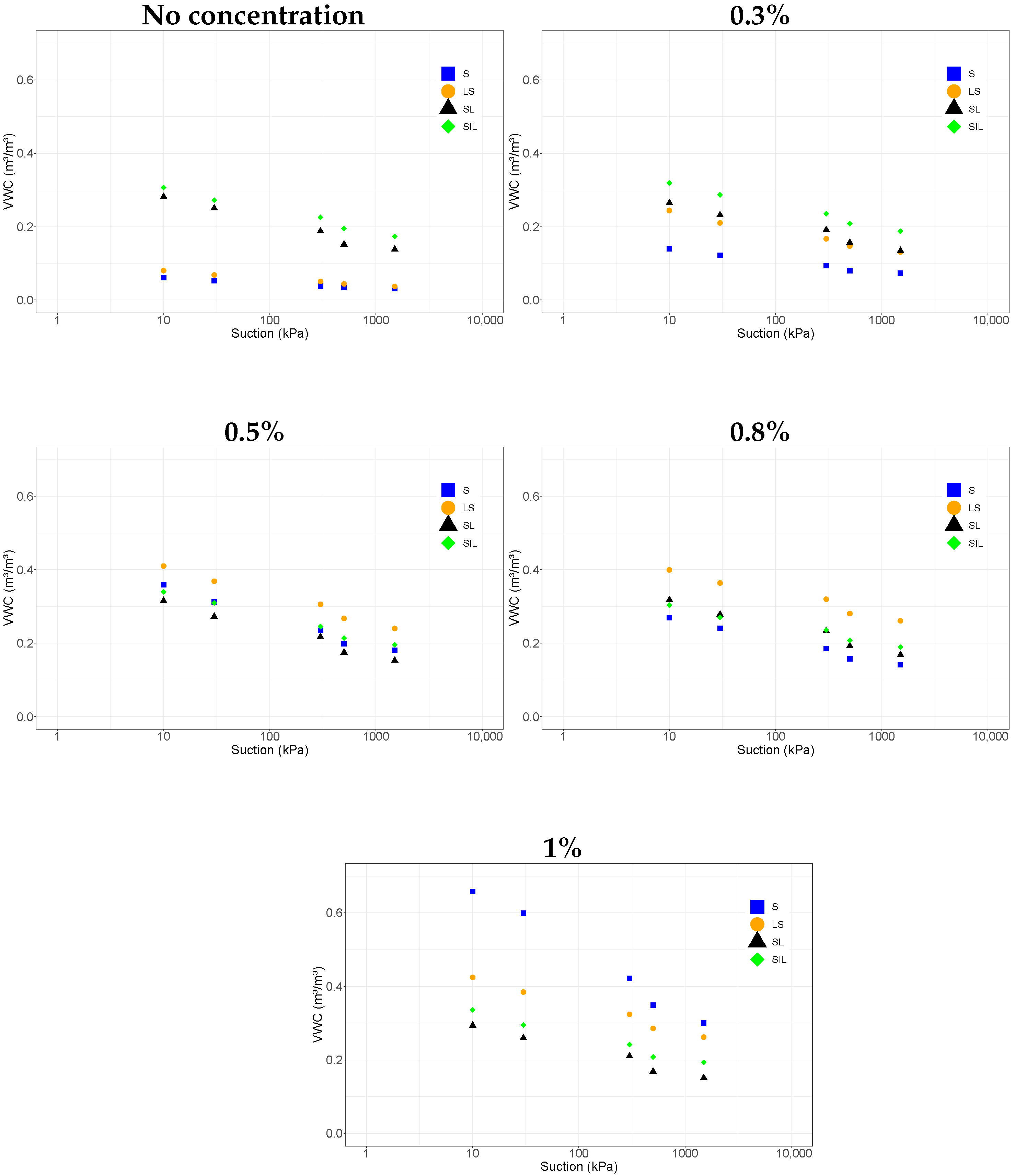
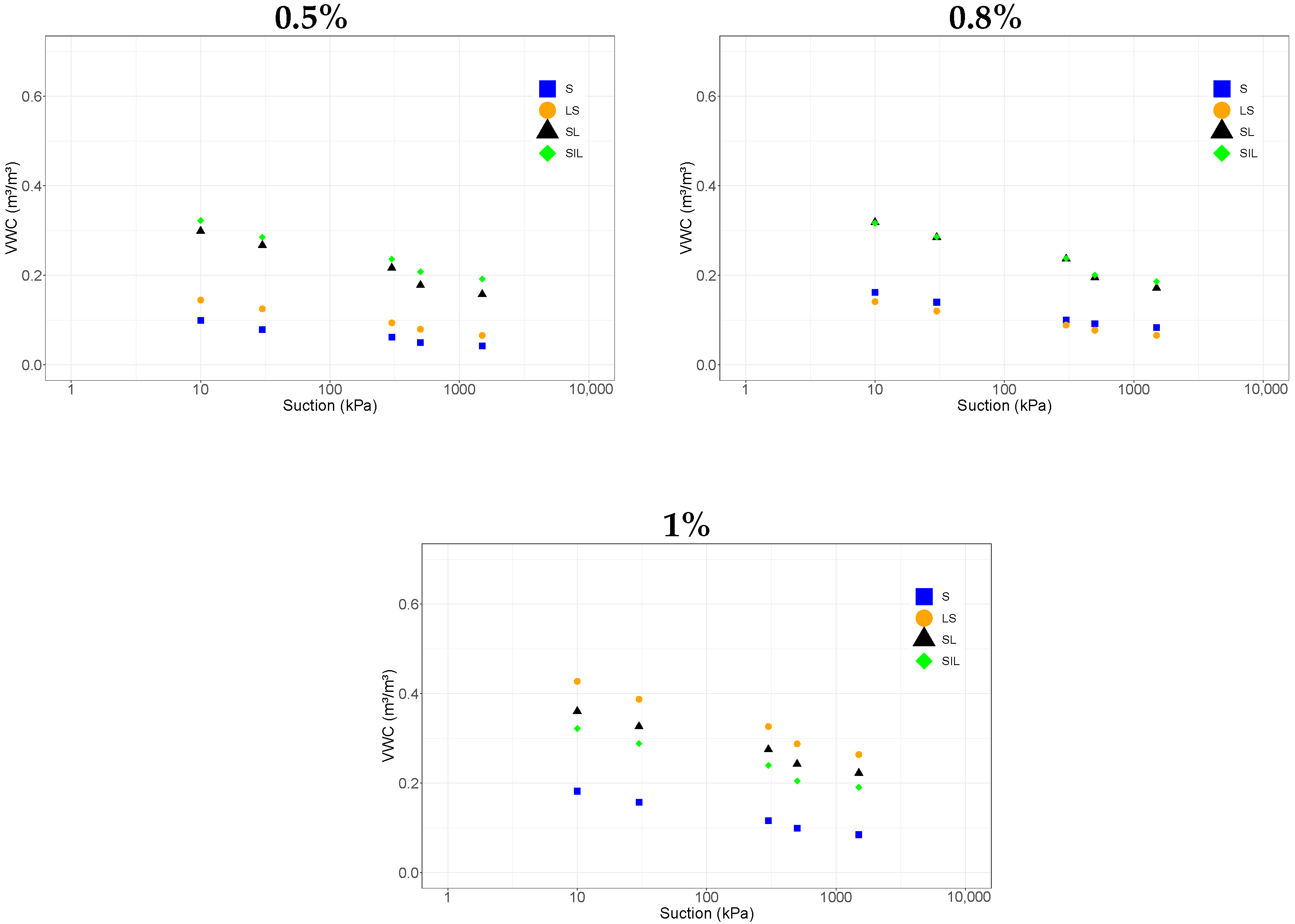
3.1. Soil Water Retention Curve
3.2. Available Water Capacity (AWC)
3.3. Time Required to Reach Permanent Wilting Point
4. Conclusions
Author Contributions
Funding
Data Availability Statement
Conflicts of Interest
References
- Ronco, P.; Zennaro, F.; Torresan, S.; Critto, A.; Santini, M.; Trabucco, A.; Zollo, A.; Galluccio, G.; Marcomini, A. A risk assessment framework for irrigated agriculture under climate change. Adv. Water Resour. 2017, 110, 562–578. [Google Scholar] [CrossRef]
- Economic Commission for Latin America and the Caribbean (ECLAC); Organisation for Economic Co-Operation and Development (OECD). Evaluaciones del Desempeño Ambiental: Chile 2016. Available online: https://repositorio.cepal.org/server/api/core/bitstreams/81773534-351c-4e0d-81b1-36f4543714c8/content (accessed on 10 June 2024).
- Aitken, D.; Rivera, D.; Godoy-Faúndez, A.; Holzapfel, E. Water Scarcity and the Impact of the Mining and Agricultural Sectors in Chile. Sustainability 2016, 8, 128. [Google Scholar] [CrossRef]
- Guilherme, M.R.; Aouada, F.A.; Fajardo, A.R.; Martins, A.F.; Paulino, A.T.; Davi, M.F.; Rubira, A.F.; Muniz, E.C. Superabsorbent hydrogels based on polysaccharides for application in agriculture as soil conditioner and nutrient carrier: A review. Eur. Polym. J. 2015, 72, 365–385. [Google Scholar] [CrossRef]
- Cipriano, B.H.; Banik, S.J.; Sharma, R.; Rumore, D.; Hwang, W.; Briber, R.M.; Raghavan, S.R. Superabsorbent Hydrogels That Are Robust and Highly Stretchable. Macromolecules 2014, 47, 4445–4452. [Google Scholar] [CrossRef]
- Abobatta, W. Impact of hydrogel polymer in agricultural sector. Adv. Agric. Environ. Sci. 2018, 1, 59–64. [Google Scholar] [CrossRef]
- Michalik, R.; Wandzik, I. A Mini-Review on Chitosan-Based Hydrogels with Potential for Sustainable Agricultural Applications. Polymers 2020, 12, 2425. [Google Scholar] [CrossRef]
- Azeem, B.; Ku Shaari, K.Z.; Man, Z.; Basit, A.; Trinh, T. Review on Materials & Methods to Produce Controlled Release Coated Urea Fertilizer. J. Control. Release 2014, 181, 11–21. [Google Scholar] [CrossRef]
- Yang, Y.; Wu, J.; Zhao, S.; Gao, C.; Pan, X.; Tang, D.; van der Ploeg, M. Effects of long-term super absorbent polymer and organic manure on soil structure and organic carbon distribution in different soil layers. Soil Tillage Res. 2021, 206, 104781. [Google Scholar] [CrossRef]
- Klein, M.; Poverenov, E. Natural biopolymer-based hydrogels for use in food and agriculture. J. Sci. Food Agric. 2020, 100, 2337–2347. [Google Scholar] [CrossRef]
- El Idrissi, A.; Channab, B.E.; Essamlali, Y.; Zahouily, M. Superabsorbent hydrogels based on natural polysaccharides: Classification, synthesis, physicochemical properties, and agronomic efficacy under abiotic stress conditions: A review. Int. J. Biol. Macromol. 2024, 258, 128909. [Google Scholar] [CrossRef]
- Sannino, A.; Pappadà, S.; Madaghiele, M.; Maffezzoli, A.; Ambrosio, L.; Nicolais, L. Crosslinking of cellulose derivatives and hyaluronic acid with water-soluble carbodiimide. Polymer 2005, 46, 11206–11212. [Google Scholar] [CrossRef]
- Chang, L.; Xu, L.; Liu, Y.; Qiu, D. Superabsorbent polymers used for agricultural water retention. Polym. Test. 2020, 94, 107021. [Google Scholar] [CrossRef]
- Shankarappa, S.K.; Muniyandi, S.J.; Chandrashekar, A.B.; Singh, A.K.; Nagabhushanaradhya, P.; Shivashankar, B.; El-Ansary, D.O.; Wani, S.H.; Elansary, H.O. Standardizing the Hydrogel Application Rates and Foliar Nutrition for Enhancing Yield of Lentil (Lens culinaris). Processes 2020, 8, 420. [Google Scholar] [CrossRef]
- Malik, S.; Chaudhary, K.; Malik, A.; Punia, H.; Sewhag, M.; Berkesia, N.; Nagora, M.; Kalia, S.; Malik, K.; Kumar, D.; et al. Superabsorbent Polymers as a Soil Amendment for Increasing Agriculture Production with Reducing Water Losses under Water Stress Condition. Polymers 2023, 15, 161. [Google Scholar] [CrossRef] [PubMed]
- Tarasova, E.V.; Mukha, I.P.; Vlasova, E.N.; Petrenko, A.E.; Antonenko, Y.N. Agricultural Applications of Superabsorbent Polymer Hydrogels. Int. J. Mol. Sci. 2022, 23, 15134. [Google Scholar] [CrossRef]
- Behera, S.; Mahanwar, P.A. Superabsorbent polymers in agriculture and other applications: A review. Polym.-Plast. Technol. Mater. 2020, 59, 341–356. [Google Scholar] [CrossRef]
- Cheng, D.; Liu, Y.; Yang, G.; Zhang, A. Water- and Fertilizer-Integrated Hydrogel Derived from the Polymerization of Acrylic Acid and Urea as a Slow-Release N Fertilizer and Water Retention in Agriculture. J. Agric. Food Chem. 2018, 66, 5762–5769. [Google Scholar] [CrossRef] [PubMed]
- El-Rehim, H.A.A.; Hegazy, E.S.A.; El-Mohdy, H.L.A. Radiation synthesis of hydrogels to enhance sandy soils water retention and increase plant performance. J. Appl. Polym. Sci. 2004, 93, 1360–1371. [Google Scholar] [CrossRef]
- Alghamdi, A.G.; Majrashi, M.A.; Ibrahim, H.M. Improving the Physical Properties and Water Retention of Sandy Soils by the Synergistic Utilization of Natural Clay Deposits and Wheat Straw. Sustainability 2024, 16, 46. [Google Scholar] [CrossRef]
- Holanda, S.F.d.; Vargas, L.K.; Granada, C.E. Challenges for sustainable production in sandy soils: A review. Environ. Dev. Sustain. 2023, 1–14. [Google Scholar] [CrossRef]
- Tomadoni, B.; Casalongué, C.; Alvarez, V. Biopolymer-Based Hydrogels for Agriculture Applications: Swelling Behavior and Slow Release of Agrochemicals; Springer: Cham, Switzerland, 2019; pp. 99–125. [Google Scholar] [CrossRef]
- Ahmad, Z.; Salman, S.; Khan, S.A.; Amin, A.; Rahman, Z.U.; Al-Ghamdi, Y.O.; Akhtar, K.; Bakhsh, E.M.; Khan, S.B. Versatility of Hydrogels: From Synthetic Strategies, Classification, and Properties to Biomedical Applications. Gels 2022, 8, 167. [Google Scholar] [CrossRef] [PubMed]
- Liu, C.; Lei, F.; Li, P.; Jiang, J.; Wang, K. Borax crosslinked fenugreek galactomannan hydrogel as potential water-retaining agent in agriculture. Carbohydr. Polym. 2020, 236, 116100. [Google Scholar] [CrossRef] [PubMed]
- Sikdar, P.; Uddin, M.M.; Dip, T.M.; Islam, S.; Hoque, M.S.; Dhar, A.K.; Wu, S. Recent advances in the synthesis of smart hydrogels. Mater. Adv. 2021, 2, 4532–4573. [Google Scholar] [CrossRef]
- ASTM D2487-11; Standard Practice for Classification of Soils for Engineering Purposes (Unified Soil Classification System). ASTM International: West Conshohocken, PA, USA, 2011.
- Richards, L.A. Porous plate apparatus for measuring moisture retention and transmission by soil. Soil Sci. 1948, 66, 105–110. [Google Scholar] [CrossRef]
- Veihmeyer, F.J.; Hendrickson, A.H. The moisture equivalent as a measure of the field capacity of soils. Soil Sci. 1931, 32, 181–194. [Google Scholar] [CrossRef]
- METER Group, Inc. Operator’s Manual, TEROS21; METER Group, Inc.: Pullman, WA, USA, 2019. [Google Scholar]
- METER Group, Inc. Operator’s Manual, TEROS31; METER Group, Inc.: Pullman, WA, USA, 2019. [Google Scholar]
- Campbell Scientific Inc. BaroVUE™10 Barometer; Campbell Scientific Inc.: Logan, UT, USA, 2019. [Google Scholar]
- METER Group Inc. TEROS12; METER Group Inc.: Pullman, WA, USA, 2019. [Google Scholar]
- Campbell Scientific Inc. CR1000X Measurement and Control Datalogger; Campbell Scientific Inc.: Logan, UT, USA, 2019. [Google Scholar]
- Saha, A.; Rattan, B.; Sekharan, S.; Manna, U. Quantifying the interactive effect of water absorbing polymer (WAP)-soil texture on plant available water content and irrigation frequency. Geoderma 2020, 368, 114310. [Google Scholar] [CrossRef]
- Saha, A.; Sekharan, S.; Manna, U. Superabsorbent hydrogel (SAH) as a soil amendment for drought management: A review. Soil Tillage Res. 2020, 204, 104736. [Google Scholar] [CrossRef]
- Dorraji, S.; Golchin, A.; Ahmadi, S. The Effects of Hydrophilic Polymer and Soil Salinity on Corn Growth in Sandy and Loamy Soils. Clean-Soil Air Water 2010, 38, 584–591. [Google Scholar] [CrossRef]
- Narjary, B.; Aggarwal, P.; Chikara, A.; Chakraborty, D.; Singh, R. Water availability in different soils in relation to hydrogel application. Geoderma 2012, 188, 94–101. [Google Scholar] [CrossRef]
- Fullen, M.; Catt, J. Soil Management: Problems and Solutions; Routledge: London, UK, 2004. [Google Scholar]
- Bian, X.; Zeng, L.; Deng, Y.; Li, X. The Role of Superabsorbent Polymer on Strength and Microstructure Development in Cemented Dredged Clay with High Water Content. Polymers 2018, 10, 1069. [Google Scholar] [CrossRef]
- Sohrab, F.; Swarbrick, G. Evaluation of Hydrogel Application on Soil Water Retention Characteristics. J. Plant Nutr. 2008, 31, 317–331. [Google Scholar] [CrossRef]
- Guiwei, Q.; Varennes, A.; Cunha-Queda, C. Remediation of a mine soil with insoluble polyacrylate polymers enhances soil quality and plant growth. Soil Use Manag. 2008, 24, 350–356. [Google Scholar] [CrossRef]
- El-Asmar, J.; Jaafar, H.; Bashour, I.; Farran, M.; Saoud, I. Banding Improves Plant Growth, Survival, and Water Use Efficiency in Two Calcareous Soils. CLEAN-Soil Air Water 2017, 45, 1700251. [Google Scholar] [CrossRef]
- Rattan, B.; Saha, A.; Bordoloi, S.; Garg, A.; Sahoo, L.; Sekharran, S. Efficacy of novel water-absorbing polymer amended soil for improving drought resilience of Solanum lycopersicum. Soil Sci. Soc. Am. J. 2022, 87, 13–29. [Google Scholar] [CrossRef]
- Rattan, B.; Garg, A.; Sekharan, S.; Sahoo, L. Developing an environmental friendly approach for enhancing water retention with the amendment of water-absorbing polymer and fertilizers. Cent. Asian J. Water Res. 2023, 9, 113–129. [Google Scholar] [CrossRef]
- Koupai, J.A.; Eslamian, S.S.; Kazemi, J.A. Enhancing the available water content in unsaturated soil zone using hydrogel, to improve plant growth indices. Ecohydrol. Hydrobiol. 2008, 8, 67–75. [Google Scholar] [CrossRef]
- Taylor, K.C.; Halfacre, R.G. he effect of hydrophilic polymer on media water retention and nutri-ent availability to Ligustrum lucidum. Hortic. Sci. 1986, 21, 1159–1161. [Google Scholar] [CrossRef]















| AWC (%) | |||||
|---|---|---|---|---|---|
| Concentration (%) | S | LS | SL | SIL | |
| TG | 0 | 2.96 a,A | 5.15 a,B | 14.36 a,C | 9.53 a,D |
| 0.3 | 6.69 b,A | 11.32 b,B | 13.03 b,C | 9.94 a,D | |
| 0.5 | 17.87 c,A | 17.01 c,B | 16.31 c,C | 11.73 b,D | |
| 0.8 | 12.82 d,A | 13.86 d,B | 15.00 d,C | 8.09 c,D | |
| 1 | 35.81 e,A | 16.27e,B | 14.28 a,C | 9.83 a,D | |
| COM | 0.3 | 5.71 f,A | 11.76 b,B | 14.15 a,C | 10.03 a,D |
| 0.5 | 5.67 f,A | 7.90 f,B | 14.13 a,C | 9.34 a,D | |
| 0.8 | 7.84 g,A | 7.53 g,B | 14.69 d,C | 9.96 a,D | |
| 1 | 9.74 h,A | 16.37 e,B | 13.80 a,C | 9.78 a,A | |
Disclaimer/Publisher’s Note: The statements, opinions and data contained in all publications are solely those of the individual author(s) and contributor(s) and not of MDPI and/or the editor(s). MDPI and/or the editor(s) disclaim responsibility for any injury to people or property resulting from any ideas, methods, instructions or products referred to in the content. |
© 2024 by the authors. Licensee MDPI, Basel, Switzerland. This article is an open access article distributed under the terms and conditions of the Creative Commons Attribution (CC BY) license (https://creativecommons.org/licenses/by/4.0/).
Share and Cite
Palma, D.; Lagos, O.; Souto, C.; Pérez, A.; Quezada, L.; Hirzel, J.; Vera, M.; Ulloa, J.; Urbano, B. Evaluation of a Natural Superabsorbent Polymer on Water Retention Capacity in Coarse-Textured Soils. Water 2024, 16, 3186. https://doi.org/10.3390/w16223186
Palma D, Lagos O, Souto C, Pérez A, Quezada L, Hirzel J, Vera M, Ulloa J, Urbano B. Evaluation of a Natural Superabsorbent Polymer on Water Retention Capacity in Coarse-Textured Soils. Water. 2024; 16(22):3186. https://doi.org/10.3390/w16223186
Chicago/Turabian StylePalma, Diego, Octavio Lagos, Camilo Souto, Andrés Pérez, Luciano Quezada, Juan Hirzel, Myleidi Vera, José Ulloa, and Bruno Urbano. 2024. "Evaluation of a Natural Superabsorbent Polymer on Water Retention Capacity in Coarse-Textured Soils" Water 16, no. 22: 3186. https://doi.org/10.3390/w16223186
APA StylePalma, D., Lagos, O., Souto, C., Pérez, A., Quezada, L., Hirzel, J., Vera, M., Ulloa, J., & Urbano, B. (2024). Evaluation of a Natural Superabsorbent Polymer on Water Retention Capacity in Coarse-Textured Soils. Water, 16(22), 3186. https://doi.org/10.3390/w16223186

