Multivariate Environmental Factors and Seasonal Spatial Dynamics Affecting the Phytoplankton Community in Yazhou Bay, South China Sea
Abstract
1. Introduction
2. Materials and Methods
2.1. Study Area
2.2. Sample Collection and Processing
2.3. Data Analysis
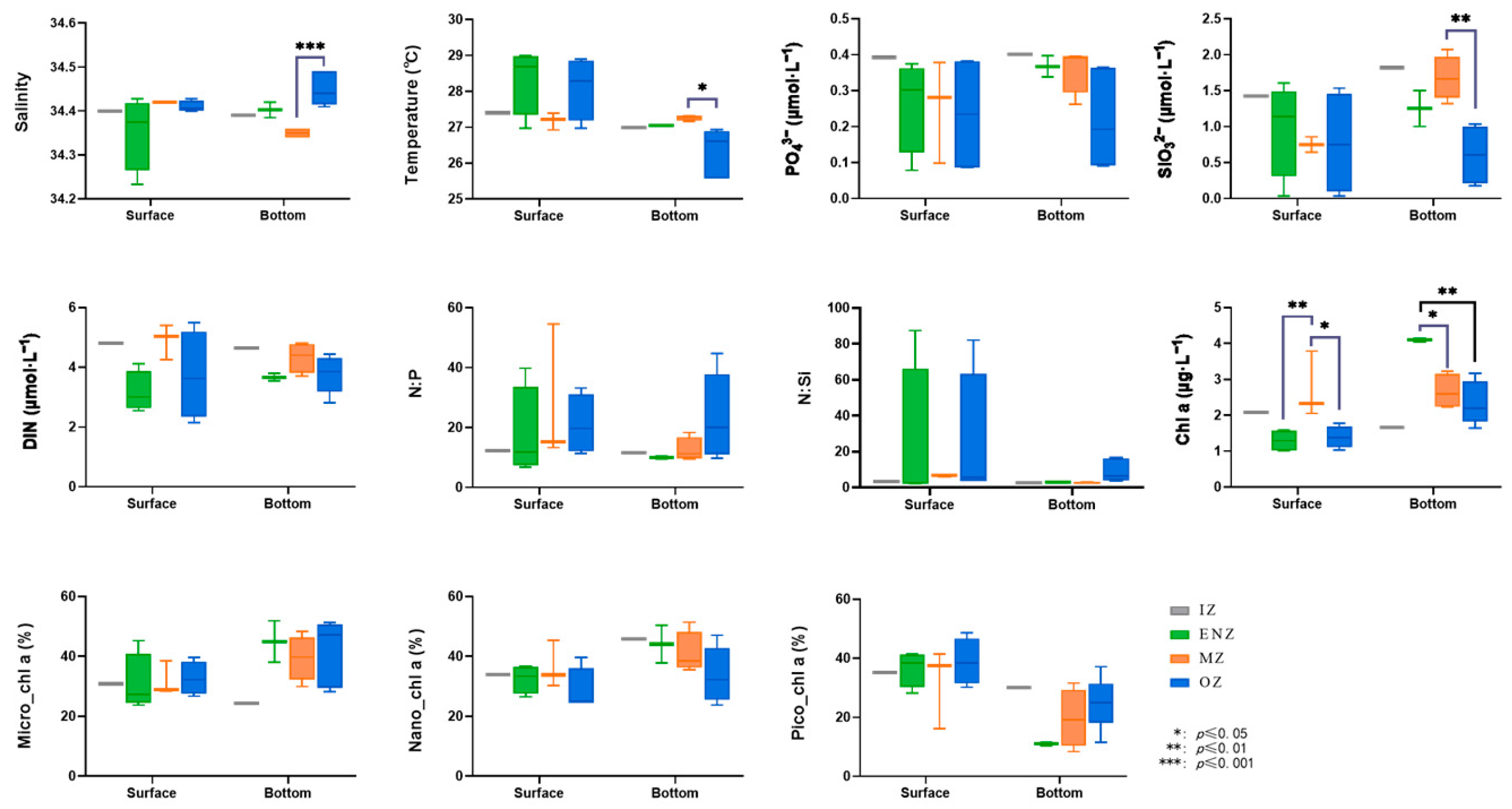
3. Results
3.1. Phytoplankton Species Composition and Diversity
3.2. Distribution Characteristics of Phytoplankton Abundance
3.3. Phytoplankton Subcommunities and Their Corresponding Environmental Characteristics in Yazhou Bay
3.4. Dominant Species and Their Relationship with Environmental Factors: RDA Results
4. Discussion
4.1. Overall Distribution Patterns and Environmental Drivers of Phytoplankton in Yazhou Bay
4.2. Regional Characteristics of Phytoplankton Community Structure and the Indicative Role of Dominant Species
4.3. Potential Risks of HABs in Yazhou Bay
5. Conclusions
Supplementary Materials
Author Contributions
Funding
Data Availability Statement
Conflicts of Interest
References
- Grand, A.L.; Maxime, V.; Kedzierski, M.; Duval, H.; Douzenel, P.; Sire, O.; Tilly, V.L. Assessment and monitoring of water quality of the gulf of Morbihan, a littoral ecosystem under high anthropic pressure. Mar. Pollut. Bull. 2017, 124, 74–81. [Google Scholar] [CrossRef] [PubMed]
- Nakajima, T.; Kusunoki, T.; Takao, Y.; Yamada, K.; Yokoyama, K.; Sugimoto, R. Saline groundwater discharge accelerates phytoplankton primary production in a Sanriku ria coastal embayment, Japan. Mar. Ecol. Prog. Ser. 2023, 712, 21–34. [Google Scholar] [CrossRef]
- Liu, D.; Xu, Y.Y.; Junaid, M.; Zhu, Y.G.; Wang, J. Distribution, transfer, ecological and human health risks of antibiotics in bay ecosystems. Environ. Int. 2022, 158, 106949. [Google Scholar] [CrossRef]
- Song, X.Y.; Huang, L.M.; Zhang, J.L.; Huang, H.H.; Li, T.; Su, Q. Harmful algal blooms (HABs) in Daya Bay, China: An in situ study of primary production and environmental impacts. Mar. Pollut. Bull. 2009, 58, 1310–1318. [Google Scholar] [CrossRef] [PubMed]
- Linacre, L.; Sánchez-Robles, C.; Mirabal-Gómez, U.; Lara-Lara, J.R.; Bazán-Guzmán, C. Cell carbon content and biomass assessments of dinoflagellates and diatoms in the oceanic ecosystem of the Southern Gulf of Mexico. PLoS ONE 2021, 16, e0247071. [Google Scholar] [CrossRef] [PubMed]
- Oziel, L.; Baudena, A.; Ardyna, M.; Massicotte, P.; Randelhoff, A.; Sallée, J.-B.; Ingvaldsen, R.B.; Devred, E.; Babin, M. Faster Atlantic currents drive poleward expansion of temperate phytoplankton in the Arctic Ocean. Nat. Commun. 2020, 11, 1705. [Google Scholar] [CrossRef] [PubMed]
- Kanna, N.; Sibano, Y.; Toyota, T.; Nishioka, J. Winter iron supply processes fueling spring phytoplankton growth in a sub-polar marginal sea, the Sea of Okhotsk: Importance of sea ice and the East Sakhalin Current. Mar. Chem. 2018, 206, 109–120. [Google Scholar] [CrossRef]
- Ochoa, N.; Taylor, M.H.; Purca, S.; Ramos, E. Intra- and interannual variability of nearshore phytoplankton biovolume and community changes in the northern Humboldt Current system. J. Plankton Res. 2010, 32, 843–855. [Google Scholar] [CrossRef]
- Song, X.Y.; Lai, Z.G.; Ji, R.B.; Chen, C.S.; Zhang, J.L.; Huang, L.M.; Yin, J.Q.; Wang, Y.S.; Lian, S.M.; Zhu, X.M. Summertime primary production in northwest South China Sea: Interaction of coastal eddy, upwelling and biological processes. Cont. Shelf Res. 2012, 48, 110–121. [Google Scholar] [CrossRef]
- Song, X.-Y.; Liu, H.-X.; Zhong, Y.; Tan, Y.-H.; Qin, G.; Li, K.-Z.; Shen, P.-P.; Huang, L.-M.; Wang, Y.-S. Bacterial growth efficiency in a partly eutrophicated bay of South China Sea: Implication for anthropogenic impacts and potential hypoxia events. Ecotoxicology 2015, 24, 1529–1539. [Google Scholar] [CrossRef]
- Kang, N.S.; Lee, K.H.; Jeong, H.J.; Yoo, Y.D.; Seong, K.A.; Potvin, É.; Hwang, Y.J.; Yoon, E.Y. Red tides in Shiwha Bay, western Korea: A huge dike and tidal power plant established in a semi-enclosed embayment system. Harmful Algae 2013, 30, S114–S130. [Google Scholar] [CrossRef]
- Ando, H.; Maki, H.; Kashiwagi, N.; Ishii, Y. Long-term change in the status of water pollution in Tokyo Bay: Recent trend of increasing bottom-water dissolved oxygen concentrations. J. Oceanogr. 2021, 77, 843–858. [Google Scholar] [CrossRef]
- Xu, C.; Ma, Y.; Zhang, H.; Li, X.; Chen, Q. The impact of environmental factors on the spatiotemporal heterogeneity of phytoplankton community structure and biodiversity in the Qiongzhou Strait. Water 2023, 15, 3792. [Google Scholar] [CrossRef]
- Yoon, J.N.; Lee, M.; Jin, H.; Lim, Y.K.; Ro, H.; Park, Y.G.; Baek, S.H. Summer Distributional Characteristics of Surface Phytoplankton Related with Multiple Environmental Variables in the Korean Coastal Waters. J. Mar. Sci. Eng. 2022, 10, 850. [Google Scholar] [CrossRef]
- Pang, H.; Yongo, E.; Lu, Z.; Li, Q.; Liu, X.; Li, L.; Guo, Z. Spatio-temporal dynamics of phytoplankton community structure in the coastal waters of the Southern Beibu Gulf. Environ. Monit. Assess. 2024, 196, 721. [Google Scholar] [CrossRef] [PubMed]
- Rajaneesh, K.M.; Naik, R.K.; Roy, R.; D’Costa, P.M. Chapter 3—Cyanobacteria in tropical and subtropical marine environments: Bloom formation and ecological role. In Advances in Cyanobacterial Biology; Singh, P.K., Kumar, A., Singh, V.K., Shrivastava, A.K., Eds.; Academic Press: Cambridge, MA, USA, 2020. [Google Scholar]
- Ryan, J.P.; Fischer, A.M.; Kudela, R.M.; Gower, J.F.R.; King, S.A.; Marin, R.; Chavez, F.P. Influences of upwelling and downwelling winds on red tide bloom dynamics in Monterey Bay, California. Cont. Shelf Res. 2009, 29, 785–795. [Google Scholar] [CrossRef]
- Lange, P.K.; Ligowski, R.; Tenenbaum, D.R. Phytoplankton in the embayments of King George Island (Antarctic Peninsula): A review with emphasis on diatoms. Polar Rec. 2018, 54, 158–175. [Google Scholar] [CrossRef]
- Song, Y.; Guo, Y.; Liu, H.; Zhang, G.; Zhang, X.; Thangaraj, S.; Sun, J. Water quality shifts the dominant phytoplankton group from diatoms to dinoflagellates in the coastal ecosystem of the Bohai Bay. Mar. Pollut. Bull. 2022, 183, 114078. [Google Scholar] [CrossRef] [PubMed]
- Araújo, C.A.S.; Belzile, C.; Tremblay, J.É.; Bélanger, S. Environmental niches and seasonal succession of phytoplankton assemblages in a subarctic coastal bay: Applications to remote sensing estimates. Front. Mar. Sci. 2022, 9, 1001098. [Google Scholar] [CrossRef]
- Wang, Y.; Wang, W.; Huang, Y.; Chang, L.; Tang, X.; He, X.; Lin, H. Scenarios of temporal environmental alterations and phytoplankton diversity in a changing bay in the East China Sea. Front. Mar. Sci. 2023, 10, 1303497. [Google Scholar] [CrossRef]
- Du, C.; Liu, Z.; Kao, S.J.; Dai, M. Diapycnal fluxes of nutrients in an oligotrophic oceanic regime: The South China Sea. Geophys. Res. Lett. 2017, 44, 11510–11518. [Google Scholar] [CrossRef]
- Zhang, Y.Y.; Dong, J.; Ling, J.; Wang, Y.; Zhang, S. Phytoplankton distribution and their relationship to environmental variables in Sanya Bay, South China Sea. Sci. Mar. 2010, 74, 783–792. [Google Scholar] [CrossRef]
- Yin, A.Q.; Wang, X.H. Specific spatial-temporal and biological features of red tide in coastal waters around Hainan Island. J. Saf. Environ. 2019, 19, 1456–1460, (In Chinese with English Abstract). [Google Scholar]
- Lv, S.G.; Tang, D.L.; Guan, X.B.; Cen, J.Y.; Lv, S.H. Identification of susceptibility of harmful algal blooms and determining the key monitoring zones in the coastal water of Hainan Island. Mar. Environ. Sci. 2016, 35, 580–586, (In Chinese with English Abstract). [Google Scholar]
- Qu, H.; Gou, P.; Sun, L.; Liu, G.; Han, X.; Long, G. Spatial distribution and its controlling mechanism of surface sediments in the Yazhou Bay, Hainan Island. Haiyang Xuebao 2021, 43, 70–81, (In Chinese with English Abstract). [Google Scholar]
- Wu, M.L.; Ling, J.; Long, L.J.; Zhang, S.; Zhang, Y.; Wang, Y.S.; Dong, J. Influence of human activity and monsoon dynamics on spatial and temporal hydrochemistry in tropical coastal waters (Sanya Bay, South China Sea). Chem. Ecol. 2012, 28, 375–390. [Google Scholar] [CrossRef]
- Santos, M.; Moita, M.T.; Oliveira, P.B.; Amorim, A. Phytoplankton communities in two wide-open bays in the Iberian upwelling system. J. Sea Res. 2021, 167, 101982. [Google Scholar] [CrossRef]
- Li, D.R.; Li, L.; Shen, F.Z.; Liu, B.J.; Shi, H.B.; He, Z.G. Numerical Simulation of Three-dimensional Ocean Hydrodynamic Characteristics in Yazhou Bay. Bull. Sci. Technol. 2024, 40, 6–14, (In Chinese with English Abstract). [Google Scholar]
- Parsons, T.R.; Maita, Y.; Lalli, C.M. A Manual of Chemical and Biological Methods for Seawater Analysis; Elsevier: Amsterdam, The Netherlands, 1984. [Google Scholar]
- Hansen, H.P.; Koroleff, F. Determination of nutrients. In Methods of Seawater Analysis; Grasshoff, K., Kremling, K., Ehrhardt, M., Eds.; Wiley Professional, Reference & Trade: Hoboken, NJ, USA, 1999. [Google Scholar]
- Utermöhl, H. Zur vervollkommung der quantitativen phytoplankton-methodik. Mitteilungen Int. Ver. Limnol. Stuttgard 1958, 9, 263–272. [Google Scholar]
- Dhanalakshmi, M.; Akter, S.; Gogoi, P.; Deshmukhe, G.; Landge, A.T.; Bhushan, S.; Layana, P.; Shivkumar, R.N.; Wanjari, R.N.; Nayak, B.B. The effect of the tidal cycle on the phytoplankton community assemblage in a mangrove-dominated tropical tidal creek. Environ Monit Assess. 2024, 196, 795. [Google Scholar] [CrossRef] [PubMed]
- Elser, J.J.; Bracken, M.E.S.; Cleland, E.E.; Gruner, D.S.; Harpole, W.S.; Hillebrand, H.; Ngai, J.T.; Seabloom, E.W.; Shurin, J.B.; Smith, J.E. Global analysis of nitrogen and phosphorus limitation of primary producers in freshwater, marine and terrestrial ecosystems. Ecol. Lett. 2007, 10, 1135–1142. [Google Scholar] [CrossRef] [PubMed]
- Lewis, W.M.; Wurtsbaugh, W.A.; Paerl, H.W. Rationale for control of anthropogenic nitrogen and phosphorus to reduce eutrophication of inland waters. Environ. Sci. Technol. 2011, 45, 10300–10305. [Google Scholar] [CrossRef] [PubMed]
- Paerl, H.W.; Scott, J.T.; McCarthy, M.J.; Newell, S.E.; Gardner, W.S.; Havens, K.E.; Hoffman, D.K.; Wilhelm, S.W.; Wurtsbaugh, W.A. It takes two to tango: When and where dual nutrient (N&P) reductions are needed to protect lakes and downstream ecosystems. Environ. Sci. Technol. 2016, 50, 10805–10813. [Google Scholar] [PubMed]
- Ozuem, F.O.; Chigbu, P.; Oghenekaro, E.; Waguespack, Y.; Chen, N. Spatiotemporal patterns of phytoplankton composition and abundance in the Maryland Coastal Bays: The influence of freshwater discharge and anthropogenic activities. Estuar. Coast. Shelf Sci. 2018, 207, 119–131. [Google Scholar]
- Huang, L.M. Vertical distribution characteristics of seawater temperature and DIN in Sanya Bay. Trop. Oceanogr. 2002, 21, 40–47. [Google Scholar]
- Xu, S.N.; Xiao, Y.Y.; Xu, Y.W.; Su, L.; Cai, Y.C.; Qi, Z.H.; Liu, Y.; Chen, Z.Z.; Lakshmikandan, M. Effects of seasonal variations and environmental factors on phytoplankton community structure and abundance in Beibu Gulf, China. Ocean Coast. Manag. 2024, 248, 106982. [Google Scholar] [CrossRef]
- Xu, Q.; Huang, M.; Yang, S.; Li, X.; Zhao, H.; Tang, J.; Jiang, G.; Li, Z.; Huang, Y.; Dong, K.; et al. Ecological stoichiometry influences phytoplankton alpha and beta diversity rather than the community stability in subtropical bay. Ecol. Evol. 2022, 12, e9301. [Google Scholar] [CrossRef]
- Guo, S.; Zhu, M.; Zhao, Z.; Liang, J.; Zhao, Y.; Du, J.; Sun, X. Spatial-temporal variation of phytoplankton community structure in Jiaozhou Bay, China. J. Ocean. Limnol. 2019, 37, 1611–1624. [Google Scholar] [CrossRef]
- Wihsgott, J.U.; Sharples, J.; Hopkins, J.E.; Woodward, E.M.S.; Hull, T.; Greenwood, N.; Sivyer, D.B. Observations of vertical mixing in autumn and its effect on the autumn phytoplankton bloom. Prog. Oceanogr. 2019, 177, 102059. [Google Scholar] [CrossRef]
- Gao, J.; Guo, X.; Yoshie, N.; Ding, X. Occurrence of surface phytoplankton bloom as the Kuroshio Current passes an island. J. Geophys. Res. Oceans. 2022, 127, e2021JC018242. [Google Scholar] [CrossRef]
- Marić, D.; Frka, S.; Godrijan, J.; Tomažić, I.; Penezić, A.; Djakovac, T.; Vojvodić, V.; Precali, R.; Gašparović, B. Organic matter production during late summer–winter period in a temperate sea. Cont. Shelf Res. 2013, 55, 52–65. [Google Scholar] [CrossRef]
- Gallouli, E.; Mahjoub, O.A.; El Hafa, M.; Aamiri, A. Spatiotemporal variability of phytoplankton in the Aglou-Sidi Ifni coastline (Moroccan Atlantic Coast). Mar. Biol. Res. 2022, 18, 203–214. [Google Scholar] [CrossRef]
- Eichner, M.; Inomura, K.; Pierella Karlusich, J.J.; Shaked, Y. Better Together? Lessons on Sociality from Trichodesmium. Trends Microbiol. 2023, 31, 1072–1084. [Google Scholar] [CrossRef]
- Hasegawa, D.; Yamazaki, H.; Lueck, R.G.; Seuront, L. How islands stir and fertilize the upper ocean. Geophys. Res. Lett. 2004, 31, L16303. [Google Scholar] [CrossRef]
- Hasegawa, D.; Lewis, M.R.; Gangopadhyay, A. How islands cause phytoplankton to bloom in their wakes. Geophys. Res. Lett. 2009, 36, L20605. [Google Scholar] [CrossRef]
- Wang, M. Distribution Characteristics of Planktonic Dinoflagellates in Coastal Waters of Sanya Bay and Establishment of Detection Methods for Red Tide Species. Master’s Thesis, Hainan Tropical Ocean University, Hainan, China, 2024. (In Chinese with English Abstract). [Google Scholar]
- Fu, C.H. Study on the Occurrence Regularity and Influencing Factors of Phaeocystis globosa Bloom in the Northwestern Sea of Hainan Island. Master’s Thesis, Hainan University, Hainan, China, 2023. (In Chinese with English Abstract). [Google Scholar]
- Dong, J.D.; Zhang, Y.Y.; Zhang, S.; Wang, Y.S.; Yang, Z.H.; Wu, M.L. Identification of temporal and spatial variations of water quality in Sanya Bay, China by three-way principal component analysis. Environ. Earth Sci. 2010, 60, 1673–1682. [Google Scholar] [CrossRef]
- Fu, H. Analysis of Water Pollution Characteristics and Load of Non-point Source Pollution in Yazhou Section of Ningyuan River. Master’s Thesis, Southwest University, Chongqing, China, 2020. (In Chinese with English Abstract). [Google Scholar]
- He, R.; Jiang, R.; Zhu, X.P.; Guo, W.; Li, Z.X.; Xu, N. Seasonal variation of phytoplankton and its relationship with environmental factors in sea waters near Taishan. Chin. J. Ecol. 2018, 37, 2727–2736. [Google Scholar]
- Liu, H.; Song, X.; Huang, L.; Zhong, Y.; Shen, P.; Qin, G. Diurnal variation of phytoplankton community in a high frequency area of HABs: Daya Bay, China. Chin. J. Ocean. Limnol. 2011, 29, 800–806. [Google Scholar] [CrossRef]
- Wang, H.; Li, Y.; Li, Y.; Liu, H.; Wang, W.; Zhang, P.; Fohrer, N.; Li, B.L.; Zhang, Y. Phytoplankton Communities’ Response to Thermal Stratification and Changing Environmental Conditions in a Deep-Water Reservoir: Stochastic and Deterministic Processes. Sustainability 2024, 16, 3058. [Google Scholar] [CrossRef]
- Chen, W.; Gao, J.; Xu, Z.; Yan, Y.; Yang, S. Phytoplankton Community Diversity and Its Environmental Driving Factors in the Northern South China Sea. Water 2022, 14, 3777. [Google Scholar] [CrossRef]
- Tas, S.; Lundholm, N. Temporal and spatial variability of the potentially toxic Pseudo-nitzschia spp. in a eutrophic estuary (Sea of Marmara). J. Mar. Biol. Assoc. UK 2017, 97, 1483–1494. [Google Scholar] [CrossRef]
- Lorenzo, J.I.; Nieto-Cid, M.; Álvarez-Salgado, X.A.; Pérez, P.; Beiras, R. Contrasting complexing capacity of dissolved organic matter produced during the onset, development and decay of a simulated bloom of the marine diatom Skeletonema costatum. Mar. Chem. 2007, 103, 61–75. [Google Scholar] [CrossRef]
- Shikata, T.; Nagasoe, S.; Matsubara, T.; Yoshikawa, T.; Yamasaki, S.; Shimasaki, Y.; Oshima, Y.; Jenkinson, I.R.; Honjo, T. Factors influencing the initiation of blooms of the raphidophyte Heterosigma akashiwo and the diatom Skeletonema costatum in a port in Japan. Limnol. Oceanogr. 2008, 53, 2503. [Google Scholar] [CrossRef]
- Archive of the 1/12° Global HYCOM+CICE—South China Sea Speed + Currents. Available online: https://www7320.nrlssc.navy.mil/GLBhycomcice1-12/navo/arc_list_schinaspdcur.html (accessed on 21 July 2024).








| Seasons | Bacillariophyta | Dinoflagellates | Chrysophyta | Cyanophyta | ||||
|---|---|---|---|---|---|---|---|---|
| Genus | Species | Genus | Species | Genus | Species | Genus | Species | |
| winter | 40 | 102 | 10 | 19 | 1 | 2 | 1 | 2 | 
| spring | 33 | 83 | 13 | 26 | 1 | 1 | 1 | 1 | 
| summer | 49 | 120 | 16 | 24 | 1 | 1 | 1 | 1 | 
| Season | Layer | Species | Dominance | Proportion | Average Abundance | 
|---|---|---|---|---|---|
| Winter | surface | P. pungens | 0.17 | 18.59 | 4682.43 | 
| R. sinensis | 0.11 | 10.54 | 2654.51 | ||
| C. affinis | 0.05 | 5.12 | 1288.96 | ||
| bottom | R. sinensis | 0.14 | 14.16 | 4673.75 | |
| P. pungens | 0.07 | 7.73 | 2549.44 | ||
| C. affinis | 0.06 | 6.35 | 2095.35 | ||
| C. socialis | 0.05 | 5.7 | 1880.21 | ||
| Spring | surface | P. pungens | 0.28 | 37.57 | 6319.72 | 
| S. costatum | 0.20 | 40.44 | 6802.01 | ||
| bottom | P. pungens | 0.22 | 23.62 | 2275.97 | |
| S. costatum | 0.21 | 35.97 | 3465.73 | ||
| Summer | surface | C. affinis | 0.08 | 8.58 | 1361.75 | 
| C. pseudocurvisetus | 0.05 | 7.64 | 1212.50 | ||
| C. lorenzianus | 0.05 | 5.9 | 936.33 | ||
| P. pungens | 0.05 | 6.29 | 997.92 | ||
| Pseudo-nitzschia sp. | 0.05 | 5.46 | 866.25 | ||
| bottom | C. curvisetus | 0.15 | 15.37 | 9742.25 | |
| P. pungens | 0.13 | 12.9 | 8177.92 | ||
| Pseudo-nitzschia sp. | 0.07 | 7.2 | 4565.92 | ||
| L. danicus | 0.05 | 5.85 | 3707.92 | ||
| C. socialis | 0.05 | 6.77 | 4291.17 | 
| Disclaimer/Publisher’s Note: The statements, opinions and data contained in all publications are solely those of the individual author(s) and contributor(s) and not of MDPI and/or the editor(s). MDPI and/or the editor(s) disclaim responsibility for any injury to people or property resulting from any ideas, methods, instructions or products referred to in the content. | 
© 2024 by the authors. Licensee MDPI, Basel, Switzerland. This article is an open access article distributed under the terms and conditions of the Creative Commons Attribution (CC BY) license (https://creativecommons.org/licenses/by/4.0/).
Share and Cite
Yu, Z.; Ouyang, Z.; Zheng, C.; Wang, Z.; Fu, X.; Cui, H.; Huang, Y.; Zhang, Z.; Xiang, C. Multivariate Environmental Factors and Seasonal Spatial Dynamics Affecting the Phytoplankton Community in Yazhou Bay, South China Sea. Water 2024, 16, 3181. https://doi.org/10.3390/w16223181
Yu Z, Ouyang Z, Zheng C, Wang Z, Fu X, Cui H, Huang Y, Zhang Z, Xiang C. Multivariate Environmental Factors and Seasonal Spatial Dynamics Affecting the Phytoplankton Community in Yazhou Bay, South China Sea. Water. 2024; 16(22):3181. https://doi.org/10.3390/w16223181
Chicago/Turabian StyleYu, Zhida, Zhiyuan Ouyang, Chuanyang Zheng, Zhen Wang, Xiaoming Fu, Haiping Cui, Yadong Huang, Zitao Zhang, and Chenhui Xiang. 2024. "Multivariate Environmental Factors and Seasonal Spatial Dynamics Affecting the Phytoplankton Community in Yazhou Bay, South China Sea" Water 16, no. 22: 3181. https://doi.org/10.3390/w16223181
APA StyleYu, Z., Ouyang, Z., Zheng, C., Wang, Z., Fu, X., Cui, H., Huang, Y., Zhang, Z., & Xiang, C. (2024). Multivariate Environmental Factors and Seasonal Spatial Dynamics Affecting the Phytoplankton Community in Yazhou Bay, South China Sea. Water, 16(22), 3181. https://doi.org/10.3390/w16223181
 
        

 
       