Integration of Coagulation–flocculation(with Natural Coagulant) to Constructed Wetlands for Color Removal from Tequila Vinasses
Abstract
1. Introduction
2. Materials and Methods
2.1. Types of Tequila Vinasses
2.2. Preparation and Characterization of Moringa oleifeira Coagulant
2.3. Jar Test to Evaluate Color Removal from Tequila Vinasses
2.3.1. General Description
2.3.2. Test with TV-A and TV-B
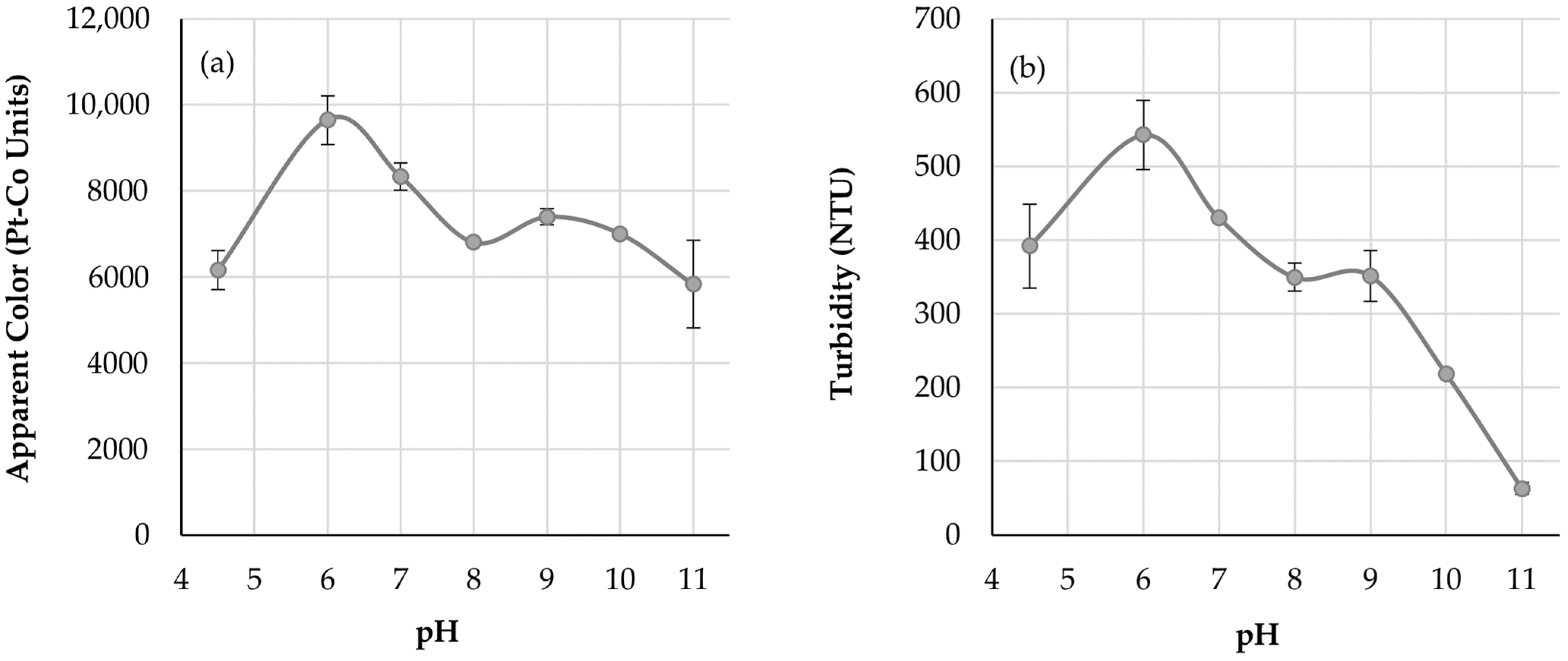
2.3.3. Test with TV-C
2.3.4. Test with TV-D
3. Results
3.1. MOC Preparation
3.2. MOC Characterization
3.3. MOC Performance in TV-A and TV-B
3.4. MOC Performance in TV-C
3.5. MOC Performance in TV-D
4. Discussion
5. Conclusions
- The efficiency of MOC for color removal in treated and raw vinasses showed a clear difference. While in treated vinasses the removal efficiencies were 52–66% for AC and 49–73% for TC with the optimal doses and pH values, in the raw vinasses the MOC had no coagulant effect in any of the experimental conditions evaluated in this study.
- This last result was probably due to the high concentration of turbidity and TSS in the raw vinasses, which prevented the interaction between MOC and melanoidins. Furthermore, the high concentration of melanoidins in the raw vinasses probably made the coagulation process between MOC and melanoidins imperceptible.
- These results emphasize the role of CWs and their implementation before the coagulation–flocculation process in a tequila vinasse treatment train.
- Further studies are required to fully understand and evaluate those factors that influence the efficiency of MOC (particle size, extraction method, combination with flocculants, etc.) for removing color from treated TVs in order to increase the efficiency of the coagulation–flocculation process.
- For real applications, the implementation of CWs + coagulation–flocculation with MOC will allow an effluent with less color to be obtained, with greater possibilities of reuse.
Author Contributions
Funding
Data Availability Statement
Acknowledgments
Conflicts of Interest
References
- CRT, Consejo Regulador del Tequila. Información Estadística. Available online: https://old.crt.org.mx/EstadisticasCRTweb/ (accessed on 7 March 2024).
- Zurita, F.; Tejeda, A.; Montoya, A.; Carrillo, I.; Sulbarán-Rangel, B.; Carreón-Álvarez, A. Generation of Tequila Vinasses, characterization, current disposal practices and study cases of disposal methods. Water Air Soil Pollut. 2022, 14, 1395. [Google Scholar] [CrossRef]
- Díaz-Vázquez, D.; Carrillo-Nieves, D.; Orozco-Nunnelly, D.A.; Senés-Guerrero, C.; Gradilla-Hernández, M.S. An Integrated Approach for the Assessment of Environmental Sustainability in Agro-Industrial Waste Management Practices: The Case of the Tequila Industry. Front. Environ. Sci. 2021, 9, 682093. [Google Scholar] [CrossRef]
- Tejeda, A.; Valencia-Botín, J.; Zurita, F. Resistance evaluation of Canna indica, Cyperus papyrus, Iris sibirica and Typha latifolia to phytotoxic characteristics of diluted tequila vinasses un wetland microcosms. Int. J. Phytoremediat. 2023, 25, 1259–1268. [Google Scholar] [CrossRef]
- Moran-Salazar, R.G.; Sánchez-Lizárraga, A.L.; Rodríguez-Campos, J.; Dávila-Vázquez, G.; Marino-Marmolejo, E.N.; Dendooven, L.; Contreras-Ramos, S. Utilization of vinasses as soil amendment: Consequences and perspectives. SpringerPlus 2016, 5, 1007. [Google Scholar] [CrossRef]
- Villaño, D.; García-Viguera, C.; Mena, P. Colors: Health effects. In Encyclopedia of Food and Health; Academic Press: Oxford, UK, 2016. [Google Scholar]
- Mikucka, W.; Zielinska, M. Distillery stillage: Characteristics, treatment, and valorization. Appl. Biochem. Biotechnol. 2020, 192, 770–793. [Google Scholar]
- Zurita, F.; Vymazal, J. Oportunities and challenges of using constructed wetlands for the treatment of high-strength distillery effuents: A review. Ecol. Eng. 2023, 196, 107097. [Google Scholar] [CrossRef]
- Wang, H.; Qian, H.; Yao, W. Melanoidins produced by the Maillard reaction: Structure and biological activity. Food Chem. 2011, 128, 573–584. [Google Scholar] [CrossRef]
- Satyawali, Y.; Balakrishnan, M. Wastewater treatment in molasses-based alcohol distilleries for COD and color removal: A review. J. Environ. Manag. 2008, 86, 481–497. [Google Scholar] [CrossRef]
- Prasad, K.R.; Kumar, R.R.; Srivastava, S.N. Design of optimun response surface experiments for electro-coagulation of distillery spent wash. Water Air Soil Pollut. 2008, 191, 5–13. [Google Scholar]
- Montoya, A.; Tejeda, A.; Sulbarán-Rangel, B.; Zurita, F. Treatment of tequila vinasse mixed with domestic wastewater in two types of constructed wetlands. Water Sci. Technol. 2023, 87, 3072–3082. [Google Scholar] [CrossRef]
- Yamamoto, A.; Eguchi, H.; Soda, S. Removal of Reactive Yellow 86 from synthetic wastewater in Lab-Scale constructed wetlands planted with Cattail and Papyrus. Appl. Sci. 2024, 14, 6584. [Google Scholar] [CrossRef]
- Faisal, A.A.H.; Nasif, S.A. Removal of methylene blue from wastewater using constructed wetland: Performance and operation. Desalination Water Treat. 2023, 285, 274–288. [Google Scholar] [CrossRef]
- España-Gamboa, E.; Vicent, T.; Font, X.; Mijangos-Cortés, J.; Canto-Canché, B.; Alzate-Gaviria, L. Phenol and color removal in hydrous ethanol vinasse in an air-pulsed bioreactor using Trametes versicolor. J. Biochem. Technol. 2015, 6, 982–986. [Google Scholar]
- Fernandes, J.M.C.; Sousa, R.M.; Fraga, I.; Sampaio, A.; Amaral, C.; Bezerra, R.; Dias, A. Fungal biodegradation and multi-level toxicity assessment of vinasse from distillation of winemaking by products. Chemosphere 2020, 238, 124572. [Google Scholar] [CrossRef]
- Ramírez-Ramírez, A.A.; Sulbarán-Rangel, B.C.; Jáuregui-Rincón, J.; Lozano-Álvarez, J.A.; Flores-de la Torre, J.A.; Zurita-Martínez, F. Preliminary evaluation of three species of ligninolytic fungi for their possible incorporation in vertical flow treatment wetlands fot the treatment of tequila vinasse. Water Air Soil Pollut. 2021, 232, 456. [Google Scholar]
- Rani, A.; Pal, N. Biodegradation of Melanoidin from Distillery Effluent: Role of Microbes and their Potential Enzymes. In Biodegradation of Hazardous and Special Products; Chamy, R., Rosenkranz, F., Eds.; InTech: Berlin, Germany, 2013. [Google Scholar]
- Krzywonos, M.; Seruga, P. Decolorization of sugar beet molasses vinasse, a high-strenght distillery wastewater, by lactic acid bacteria. Pol. J. Environ. Stud. 2012, 21, 943–948. [Google Scholar]
- Seruga, P.; Krzywonos, M. Decolorization by Lactobacillus plantarum Using Plackett-Burman Experimental Design. Pol. J. Environ. Stud. 2015, 24, 683–688. [Google Scholar] [CrossRef]
- Crini, G.; Lichtfouse, E. Wastewater treatment: An overview. In Green Adsorbents for Pollutant Removal; Springer: Cham, Switzerland, 2018; pp. 1–21. [Google Scholar] [CrossRef]
- Mahmoudabadi, Z.S.; Rashidi, A.; Maklavany, D.M. Optimizing treatment of alcohol vinasse using a combination of advanced oxidation with porous a-Fe2O3 nanoparticles and coagulation-flocculation. Ecotoxocology Environ. Saf. 2022, 234, 113354. [Google Scholar] [CrossRef]
- Ishak, S.A. Combination of iron chloride and polyacrylamide as coagulant-flocculants to remove pollutants in dye wastewater. Int. J. Integr. Eng. 2019, 11, 78–86. [Google Scholar]
- Karchiyappan, T. Performance evaluation of batch reactor for vinasse wastewater treatment using chemical and natural coagulants. Environ. Sci. Indian J. 2022, 18, 225. [Google Scholar]
- Kee, W.C.; Wong, Y.S.; Ong, S.A.; Lutpi, N.A.; Sam, S.T.; Chai, A.; Ng, H.H. Insights into modified sequencing batch reactor for the treatment of sugarcane vinasse: Role of recirculation process. Intern. J. Environ. Sci. Technol. 2022, 19, 12289–12302. [Google Scholar]
- Rodrigues, C.S.; Neto, A.R.; Duda, R.M.; de Oliveira, R.A.; Boaventura, R.A.; Madeira, L.M. Combination fo chemical coagulation, photo-Fenton oxidation and biodegradation for the treatment of vinasse from sugar cane ethanol distillery. J. Clean. Prod. 2017, 142, 3634–3644. [Google Scholar]
- Husen, A.K.; Bidira, F.; Desta, W.M.; Asaithambi, P. COD, color, and turbidity reduction from surface water using natural coagulants: Investigation and optimization. Prog. Eng. Sci. 2024, 1, 100007. [Google Scholar]
- Getahun, M.; Befekadu, A.; Alemayehu, E. Coagulation process for the removal of color and turbidity from wet coffee processing industry wastewater using bio-coagulant: Optimization through central composite design. Heliyon 2024, 10, e27584. [Google Scholar] [PubMed]
- Kansal, A.K.; Kumari, A. Potential of M. oleifera for the treatment of water and wastewater. Chem. Rev. 2014, 114, 1993–5010. [Google Scholar] [CrossRef]
- Saleem, M.; Bachmann, R.T. A contemporary review on plant-based coagulants for applications in water treatment. J. Ind. Eng. Chem. 2019, 72, 281–297. [Google Scholar] [CrossRef]
- Prasad, R.K. Color removal from distillery spent wash through coagulation using Moringa oleifera seeds: Use of optimum response surface methodology. J. Hazard. Mater. 2009, 165, 804–811. [Google Scholar] [CrossRef]
- David, C.; Arivazhagan, M.; Tuvakara, F. Decolorization of distillery spent wash effluent by electro oxidation (EC and EF) and Fenton processes: A comparative study. Ecotoxicol. Environ. Saf. 2015, 121, 142–148. [Google Scholar] [CrossRef]
- Zurita, F.; Ramirez-Ramirez, A.; Tejeda, A. Tratamiento de vinazas tequileras en humedales verticales de flujo descendente a escala piloto. In Proceedings of the VI Conferencia Panamericana. Sistemas de Humedales para el Tratamiento y Mejoramiento de la Calidad del Agua, Popayán, Colombia, 14–17 June 20; Universidad del Cauca: Popayán, Colombia, 2023. [Google Scholar]
- Tejeda, A.; Barrera, A.; Zurita, F. Adsorption capacity of a volcanic rock—Used in constructed wetlands—For carbamazepine removal, and its modification with biofilm growth. Water 2017, 9, 721. [Google Scholar] [CrossRef]
- Zurita, F.; Aguilar, M.E.; Martín, J.R.; Montoya, A.; Ramirez-Ramirez, A.A. A natural coagulant for colour removal from raw and treated tequila vinasse (with constructed wetlands). In Proceedings of the Closed Cycles and the Circular Society (the Power of Ecological Engineerig), Chania, Greece, 1–5 October 2023. [Google Scholar]
- APHA; AWWA; WEF. Standard Methods for the Examination of Water and Wastewater, 21st ed.; American Public Health Association: Washington, DC, USA, 2005. [Google Scholar]
- Boukandoul, S.; Casal, S.; Zaidi, F. The Potential of Some Moringa Species for Seed Oil Production. Agriculture 2018, 8, 150. [Google Scholar] [CrossRef]
- Vilaseca, M.; López-Grimau, V.; Gutiérrez-Bouzán, C. Valorization of Waste Obtained from Oil Extraction in Moringa Oleifera Seeds: Coagulation of Reactive Dyes in Textile Effluents. Materials 2014, 7, 6569–6584. [Google Scholar] [CrossRef] [PubMed]
- Kwaambwa, H.M.; Maikokera, R. Infrared and circular dichroism spectroscopic characterisation of secondary structure components of a water treatment coagulant protein extracted from Moringa oleifera seeds. Colloids Surf. B Biointerfaces 2008, 64, 118–125. [Google Scholar] [CrossRef] [PubMed]
- Parker, F.S. Amides and Amines. In Applications of Infrared Spectroscopy in Biochemistry, Biology, and Medicine; Parker, F.S., Ed.; Springer: Boston, MA, USA, 1971; pp. 165–172. [Google Scholar]
- Araújo, C.; Melo, E.; Alves, V.; Coelho, N. Moringa oleifera Lam. Seeds as a Natural Solid Adsorbent for Removal of Ag-I in Aqueous Solutions. J. Braz. Chem. Soc. 2009, 21, 1727–1732. [Google Scholar] [CrossRef]
- George, T.T.; Oyenihi, A.B.; Rautenbach, F.; Obilana, A.O. Characterization of Moringa oleifera Leaf Powder Extract Encapsulated in Maltodextrin and/or Gum Arabic Coatings. Foods 2021, 10, 3044. [Google Scholar] [CrossRef] [PubMed]
- Dadi, D.W.; Emire, S.A.; Hagos, A.D.; Eun, J.-B. Physical and Functional Properties, Digestibility, and Storage Stability of Spray- and Freeze-Dried Microencapsulated Bioactive Products from Moringa stenopetala Leaves Extract. Ind. Crops Prod. 2020, 156, 112891. [Google Scholar] [CrossRef]
- Sheng, D.P.W.; Bilad, M.R.; Shamsuddin, N. Assessment and Optimization of Coagulation Process in Water Treatment Plant: A Review. ASEAN J. Sci. Eng. 2022, 3, 79–100. [Google Scholar] [CrossRef]
- Naceradska, J.; Pivokonska, L.; Pivokonsky, M. On the importance of pH value in coagulation. J. Water Supply Res. Technol.—AQUA 2019, 68, 222–230. [Google Scholar] [CrossRef]
- Pritchard, M.; Craven, T.; Mkandawire, T.; Edmondson, A.S.; O’Neill, J.G. A study of the parameters affecting the effectiveness of Moringa oleifera in drinking water purification. Phys. Chem. Earth Parts A/B/C 2010, 35, 791–797. [Google Scholar] [CrossRef]
- Ahmad, A.; Abdullah, S.R.S.; Hasan, H.A.; Othman, A.R.; Kurniawan, S.B. Aquaculture wastewater treatment using plant-based coagulants: Evaluating removal efficiency through the coagulation-flocculation process. Results Chem. 2024, 7, 101390. [Google Scholar]
- Camacho, F.P.; Sousa, V.S.; Bergamasco, R.; Ribau Teixeira, M. The use of Moringa oleifera as a natural coagulant in surface water treatment. Chem. Eng. J. 2017, 313, 226–237. [Google Scholar] [CrossRef]
- Kee, W.-C.; Wong, Y.-S.; Ong, S.-A.; Lutpi, N.A.; Sam, S.-T.; Dahalan, F.A.; Chai, A.; Eng, K.-M. Chemical and biological combined treatment for sugarcane vinasse: Selection of parameters and performance studies. Environ. Sci. Pollut. Res. 2023, 30, 65364–65378. [Google Scholar] [CrossRef] [PubMed]
- Zhang, M.; Wang, Z.; Li, P.; Zhang, H.; Xie, L. Bio-refractory dissolved organic matter and colorants in cassava distillery wastewater: Characterization, coagulation treatment and mechanisms. Chemosphere 2017, 178, 259–267. [Google Scholar] [CrossRef] [PubMed]
- Li, Y.; Zhang, Q.; Xiao, S.; Yang, Q.; Wang, L.; Hao, J. Review of Melanoidins as By-Product from Thermal Hydrolysis of Sludge: Properties, Hazards, and Removal. Processes 2024, 12, 135. [Google Scholar] [CrossRef]
- Chandra, R.; Bharagava, R.N.; Rai, V. Melanoidins as major colourant in sugarcane molasses based distillery effluent and its degradation. Bioresour. Technol. 2008, 99, 4648–4660. [Google Scholar] [CrossRef]
- Chaijak, P.; Michu, P.; Thipraksa, J. Performance of Hybrid Process Constructed Wetland-Microbial Fuel Cell for Melanoidin Degradation and Simultaneous Electricity Generation. Trends Sci. 2023, 20, 5490. [Google Scholar] [CrossRef]
- Ziaei-Rad, Z.; Nickpour, M.; Adl, M.; Pazouki, M. Bioadsorption and enzymatic biodecolorization of effluents from ethanol production plants. Biocatal. Agric. Biotechnol. 2020, 24, 101555. [Google Scholar] [CrossRef]
- Prabhakara, R.A.; Karthikeyan, J.; Iyengar, L. Removal of color from distillery wastewater. In 44th Purdue Industrial Waste Conference Proceedings; Bell, J.W., Ed.; Publishing Inc.: Chelsea, Michigan, USA, 1990; pp. 787–794. [Google Scholar]
- Bolto, B.; Gregory, J. Organic polyelectrolytes in water treatment. Water Res. 2007, 41, 2301–2324. [Google Scholar] [CrossRef] [PubMed]
- Varsani, V.; Vyas, S.J.; Dudhagara, D.R. Development of bio-based material from the Moringa oleifera and its bio-coagulation kinetic modeling—A sustainable approach to treat the wastewater. Heliyon 2022, 8, e10447. [Google Scholar] [CrossRef]
- Abujazar, M.S.S.; Karaağaç, S.U.; Abu Amr, S.S.; Alazaiza, M.Y.D.; Bashir, M.J.K. Recent advancement in the application of hybrid coagulants in coagulation-flocculation of wastewater: A review. J. Clean. Prod. 2022, 345, 131133. [Google Scholar] [CrossRef]
- Alazaiza, M.Y.D.; Albahnasawi, A.; Ali, G.A.M.; Bashir, M.J.K.; Nassani, D.E.; Al Maskari, T.; Amr, S.S.A.; Abujazar, M.S.S. Application of Natural Coagulants for Pharmaceutical Removal from Water and Wastewater: A Review. Water 2022, 14, 140. [Google Scholar] [CrossRef]












| Parameter | TV-A | TV-A * | TV-B | TV-B * |
|---|---|---|---|---|
| Apparent Color (Pt-Co Units) | 2440 ± 0.0 | 1180 ± 55.7 (50 ± 2%) | 2520 ± 0.0 | 1203.3 ± 49.3 (52 ± 2%) |
| True Color (Pt-Co Units) | 2340 ± 0.0 | 1200 ± 60.8 (48 ± 2%) | 2580 ± 0.0 | 1266.7 ± 28.9 (51 ± 1%) |
| Turbidity (NTU) | 23.3 ± 0.0 | 13.6 ± 2.8 (41 ± 12%) | 26.3 ± 0.0 | 14.8 ± 1.6 (43 ± 6%) |
| COD (mg/L) | 789 ± 0.0 | 1082.3 ± 19.8 | 869 ± 0.0 | 1158.7 ± 11.0 |
| TSS (mg/L) | 58.3 ± 0.0 | 18.7 ± 4.6 (68 ± 7) | 95 ± 0.0 | 25.1 ± 4.3 (73 ± 4%) |
| EC (µS/cm) | 4932 ± 0.0 | 4933.7 ± 5.5 | 5100 ± 0.0 | 5096.7 ± 11.5 |
| pH | 8.02 ± 0.0 | 8.0 ± 0.0 | 8.04 ± 0.0 | 8.0 ± 0.0 |
| Parameter | TV-C | TV-C * |
|---|---|---|
| Apparent Color (Pt-Co Units) | 8260 ± 0.0 | 2773.3 ± 257.1 (66 ± 3%) |
| True color (Pt-Co Units) | 7300 | 1960.0 ± 69.2 (73 ± 1%) |
| Turbidity (NTU) | 151 ± 11 | 117.0 ± 3.6 (22 ± 2%) |
| COD (mg/L) | 2220 ± 262 | 2940 ± 103.9 |
| TSS (mg/L) | 4038 ± 25 | 74.7 ± 25.8 (98 ± 1%) |
| EC (µS/cm) | 3899 ± 0.0 | 4090.3 ± 4.2 |
| pH | 5.0 ± 0.0 | 4.9 ± 0.03 |
Disclaimer/Publisher’s Note: The statements, opinions and data contained in all publications are solely those of the individual author(s) and contributor(s) and not of MDPI and/or the editor(s). MDPI and/or the editor(s) disclaim responsibility for any injury to people or property resulting from any ideas, methods, instructions or products referred to in the content. |
© 2024 by the authors. Licensee MDPI, Basel, Switzerland. This article is an open access article distributed under the terms and conditions of the Creative Commons Attribution (CC BY) license (https://creativecommons.org/licenses/by/4.0/).
Share and Cite
Zurita, F.; Tejeda, A.; Ramirez-Ramirez, A.; Montoya, A. Integration of Coagulation–flocculation(with Natural Coagulant) to Constructed Wetlands for Color Removal from Tequila Vinasses. Water 2024, 16, 3151. https://doi.org/10.3390/w16213151
Zurita F, Tejeda A, Ramirez-Ramirez A, Montoya A. Integration of Coagulation–flocculation(with Natural Coagulant) to Constructed Wetlands for Color Removal from Tequila Vinasses. Water. 2024; 16(21):3151. https://doi.org/10.3390/w16213151
Chicago/Turabian StyleZurita, Florentina, Allan Tejeda, Anderson Ramirez-Ramirez, and Arturo Montoya. 2024. "Integration of Coagulation–flocculation(with Natural Coagulant) to Constructed Wetlands for Color Removal from Tequila Vinasses" Water 16, no. 21: 3151. https://doi.org/10.3390/w16213151
APA StyleZurita, F., Tejeda, A., Ramirez-Ramirez, A., & Montoya, A. (2024). Integration of Coagulation–flocculation(with Natural Coagulant) to Constructed Wetlands for Color Removal from Tequila Vinasses. Water, 16(21), 3151. https://doi.org/10.3390/w16213151

