The Spatial Variation in Organotin Contamination in Different Environmental Media: A Case of the Lower Yangtze River in China
Abstract
1. Introduction
2. Materials and Methods
2.1. Sample Collection
2.2. Materials and Chemicals
2.3. Analysis of OTCs
2.3.1. Sample Preparation
2.3.2. Instruments Analysis
2.3.3. Quality Assurance and Quality Control (QA/QC)
2.4. Data Processing
2.4.1. Calculation of Degradation Index
2.4.2. Calculation of Human Risk Quotient
2.4.3. Calculation of Ecological Risk Quotient
3. Results
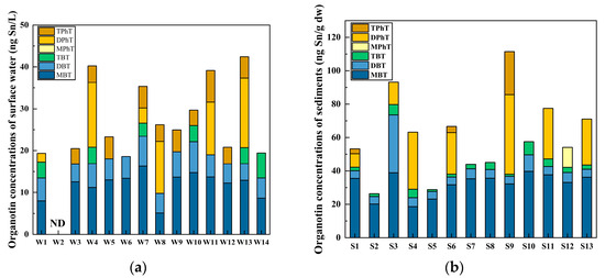
3.1. Occurrence
3.2. Source Analysis
3.3. Human Health Risk Assessment
3.4. Ecological Risk Assessment
4. Conclusions
Author Contributions
Funding
Data Availability Statement
Conflicts of Interest
Appendix A
| Sampling Sites | Location | Latitude (N) | Longitude (E) | Description |
|---|---|---|---|---|
| W1 | Tongling | 30.88° | 117.74° | Close to large ports and metal and organic chemical industrial areas |
| W2 | Wuhu | 31.24° | 118.15° | Away from industrial and agricultural areas |
| W3 | Maanshan | 31.54° | 118.41° | Close to small ports and steel and lithium battery industrial areas |
| W4 | Nanjing | 32.03° | 118.70° | Urban tributary with intensive input from agricultural runoff |
| W5 | Nanjing | 32.17° | 118.95° | Close to agricultural, metallurgical, and chemical industrial areas |
| W6 | Zhenjiang | 32.24° | 119.40° | Away from industrial and agricultural areas |
| W7 | Zhenjiang | 32.25° | 119.70° | Close to agricultural areas |
| W8 | Taizhou | 32.27° | 119.88° | Close to agricultural areas |
| W9 | Taizhou | 32.11° | 119.93° | Close to material industries and agricultural areas |
| W10 | Taizhou | 31.97° | 120.06° | Away from industrial and agricultural areas |
| W11 | Zhangjiagang | 32.01° | 120.45° | Close to paint and lithium industrial and agricultural areas |
| W12 | Zhangjiagang | 32.02° | 120.48° | Near to W11, on the main stream of the Yangtze River |
| W13 | Nantong | 31.97° | 121.06° | Close to steel, textile industrial, and agricultural areas |
| W14 | Shanghai | 31.42° | 121.49° | Close to Huangpu Rivers and Yangtze Estuary |
| Sampling Sites | Location | Latitude (N) | Longitude (E) | Description |
|---|---|---|---|---|
| S1 | Tongling | 30.99° | 117.70° | Close to large ports and metal and organic chemical industrial areas |
| S2 | Wuhu | 31.24° | 118.14° | Near W2 |
| S3 | Nanjing | 31.84° | 118.54° | Close to downtown areas of Nanjing |
| S4 | Nanjing | 32.04° | 118.70° | Near W4 |
| S5 | Nanjing | 32.23° | 118.90° | Close to agricultural, metallurgical, and chemical industrial areas |
| S6 | Zhenjiang | 32.24° | 119.40° | Near W6 |
| S7 | Taizhou | 32.11° | 119.93° | Near W9 |
| S8 | Taizhou | 31.97° | 120.06° | Near W10 |
| S9 | Zhangjiagang | 32.02° | 120.45° | Near W11, on the main stream of the Yangtze River |
| S10 | Nantong | 31.98° | 120.84° | Close to chemical and rubber industries |
| S11 | Nantong | 31.79° | 121.06° | Near W13 |
| S12 | Shanghai | 31.49° | 121.55° | Close to Qingcaosha |
| S13 | Shanghai | 31.22° | 121.77° | Close to WWTP |
Appendix B
| Organotin Compounds | Statistical Data (ng Sn/L) | ||||
|---|---|---|---|---|---|
| Detection Rate | Mean | Maximum | Minimum | Limit of Detection | |
| MBT | 92.9% | 11.1 | 16.3 | <LOD | 1.4 |
| DBT | 92.9% | 5.0 | 7.4 | <LOD | 1.1 |
| TBT | 42.9% | 1.8 | 6.0 | <LOD | 0.9 |
| MPhT | 0 | <LOD 1 | <LOD | <LOD | 1.3 |
| DPhT | 42.9% | 4.5 | 16.6 | <LOD | 1.5 |
| TPhT | 71.4% | 3.4 | 7.6 | <LOD | 1.2 |
| ∑6OTCs | 92.9% | 25.7 | 42.4 | <LOD | 7.4 |
| Organotin Compounds | Statistical Data (ng Sn/g dw) | ||||
|---|---|---|---|---|---|
| Detection Rate | Mean | Maximum | Minimum | Limit of Detection | |
| MBT | 100% | 32.9 | 40.0 | 18.6 | 0.7 |
| DBT | 100% | 7.4 | 34.7 | 4.5 | 0.6 |
| TBT | 100% | 3.1 | 7.9 | 1.1 | 0.5 |
| MPhT | 7.7% | 0.9 | 12.0 | <LOD | 0.7 |
| DPhT | 54% | 14.3 | 47.7 | <LOD | 0.8 |
| TPhT | 23% | 2.5 | 25.8 | <LOD | 0.6 |
| ∑6OTCs | 100% | 61.1 | 111.5 | 26.4 | 3.9 |
References
- Hoch, M. Organotin compounds in the environment—An overview. Appl. Geochem. 2001, 16, 719–743. [Google Scholar] [CrossRef]
- Kucharski, D.; Stasiuk, R.; Drzewicz, P.; Skowronek, A.; Strzelecka, A.; Mianowicz, K.; Giebultowicz, J. Fit-for-Purpose Assessment of QuEChERS LC-MS/MS Methods for Environmental Monitoring of Organotin Compounds in the Bottom Sediments of the Odra River Estuary. Molecules 2022, 27, 4847. [Google Scholar] [CrossRef] [PubMed]
- Metelkova, L.; Zhakovskaya, Z.; Kukhareva, G.; Voskoboinikov, G.; Zimina, O. Organotin compounds (OTs) in surface sediments, bivalves and algae from the Russian coast of the Barents Sea (Kola Peninsula) and the Fram Strait (Svalbard Archipelago). Environ. Sci. Pollut. Res. 2022, 29, 34659–34669. [Google Scholar] [CrossRef] [PubMed]
- Mil Homens, M.; Almeida, C.M.R.; Dias, S.; Soares, W.; van Gaever, P.; de Stigter, H.; Santos, M.M.; Santana, A.; Freitas, M.; Abrantes, F.; et al. Spatial distribution and temporal trends of butyltin compounds (TBT, DBT & MBT) in short sediment cores of the SW Portuguese Shelf (western Iberian Margin, NE Atlantic). Sci. Total Environ. 2023, 900, 165872. [Google Scholar] [CrossRef] [PubMed]
- Chen, C.; Chen, L.; Huang, Q.; Yu, G.; Lu, Z.; Gabrielsen, G.W. Determination of organotin compounds in marine sediments from Arctic Svalbard and West Antarctic Fildes Peninsula. Mar. Pollut. Bull. 2024, 198, 115845. [Google Scholar] [CrossRef]
- Sham, R.C.-T.; Ho, K.K.Y.; Hui, T.T.Y.; Zhou, G.; Chan, J.K.Y.; Leung, K.M.Y. Tissue distribution of triphenyltin compounds in marine teleost fishes. J. Hazard. Mater. 2021, 401, 123426. [Google Scholar] [CrossRef]
- Zhang, X.; Yu, R.; Xie, Y.; Yu, R.; Wu, Y. Organotins Remain a Serious Threat to the Indo-Pacific Humpback Dolphins in the Pearl River Estuary. Environ. Sci. Technol. 2022, 56, 13046–13057. [Google Scholar] [CrossRef]
- Chen, C.; Chen, L.; Huang, Q.; Chen, Z.; Zhang, W. Organotin contamination in commercial and wild oysters from China: Increasing occurrence of triphenyltin. Sci. Total Environ. 2019, 650, 2527–2534. [Google Scholar] [CrossRef]
- Kim, N.S.; Hong, S.H.; Yim, U.H.; Shin, K.H.; Shim, W.J. Temporal changes in TBT pollution in water, sediment, and oyster from Jinhae Bay after the total ban in South Korea. Mar. Pollut. Bull. 2014, 86, 547–554. [Google Scholar] [CrossRef]
- Cavalheiro, J.; Sola, C.; Baldanza, J.; Tessier, E.; Lestremau, F.; Botta, F.; Preud’homme, H.; Monperrus, M.; Amouroux, D. Assessment of background concentrations of organometallic compounds (methylmercury, ethyllead and butyl- and phenyltin) in French aquatic environments. Water Res. 2016, 94, 32–41. [Google Scholar] [CrossRef]
- Gao, J.; Fu, P.; Chen, X.; Guo, J.; Hou, X.; Zeng, J.; Chen, Z. Fate simulation and risk assessment of TBT and TPhT considering water level fluctuations in the TGR before and after AFS Convention implementation in China. Environ. Sci. Eur. 2020, 32, 16. [Google Scholar] [CrossRef]
- Concha Grana, E.; Moscoso Perez, C.; Fernandez Gonzalez, V.; Lopez Mahia, P.; Gago, J.; Leon, V.M.; Muniategui Lorenzo, S. Phthalates, organotin compounds and per-polyfluoroalkyl substances in semiconfined areas of the Spanish coast: Occurrence, sources and risk assessment. Sci. Total Environ. 2021, 780, 146450. [Google Scholar] [CrossRef]
- Al-shatri, M.A.; Nuhu, A.A.; Basheer, C.; Al-Arfaj, A.; Al-Tawabini, B. Assessment of Tributyltin and Triphenyltin Compounds and Their Main Degradation Products in Saudi Coastal waters. Arab. J. Sci. Eng. 2015, 40, 2959–2967. [Google Scholar] [CrossRef]
- Quintas, P.Y.; Fernandez, E.M.; Spetter, C.V.; Arias, A.H.; Garrido, M.; Marcovecchio, J.E. Preliminary studies about the role of physicochemical parameters on the organotin compound dynamic in a South American estuary (Bahia Blanca, Argentina). Environ. Monit. Assess. 2019, 191, 127. [Google Scholar] [CrossRef]
- Li, Y.; Huang, X.; Ge, N.; Zhang, J.; Cao, Y.; Cui, Z. Occurrence of organotin compounds in food: Increasing challenge of phenyltin compounds. J. Environ. Sci. Health Part B 2024, 59, 9–14. [Google Scholar] [CrossRef]
- Filipkowska, A.; Kowalewska, G.; Pavoni, B. Organotin compounds in surface sediments of the Southern Baltic coastal zone: A study on the main factors for their accumulation and degradation. Environ. Sci. Pollut. Res. 2014, 21, 2077–2087. [Google Scholar] [CrossRef]
- Hassan, A.T.; Qurban, M.; Manikandan, K.; Tawabini, B.; Basheer, C.; Periyadan, K. Assessment of the organotin pollution in the coastal sediments of the Western Arabian Gulf, Saudi Arabia. Mar. Pollut. Bull. 2019, 139, 174–180. [Google Scholar] [CrossRef]
- Sham, R.C.; Ho, K.K.Y.; Zhou, G.; Li, Y.; Wang, X.; Leung, K.M.Y. Occurrence, ecological and human health risks of phenyltin compounds in the marine environment of Hong Kong. Mar. Pollut. Bull. 2020, 154, 111093. [Google Scholar] [CrossRef]
- Sham, R.C.; Tao, L.S.R.; Mak, Y.K.Y.; Yau, J.K.C.; Wai, T.C.; Ho, K.K.Y.; Zhou, G.; Li, Y.; Wang, X.; Leung, K.M.Y. Occurrence and trophic magnification profile of triphenyltin compounds in marine mammals and their corresponding food webs. Environ. Int. 2020, 137, 105567. [Google Scholar] [CrossRef]
- Li, M.; Gao, J.; Fu, P.; Guo, J.; Zhang, L. Occurrence, temporal change and risk assessment of organotin in surface water of the Yangtze River in the urban section of Chongqing. Acta Sci. Circumstantiae 2023, 43, 19–27. [Google Scholar]
- Dai, Q.; Chen, L.; Li, P.; Xia, S.; Wang, Y.; Huang, Q. Occurrence and risk assessment of organotin compounds in the surface water of the upper Yangtze River Estuary. Front. Environ. Sci. 2022, 10, 964486. [Google Scholar] [CrossRef]
- Chen, C.; Chen, L.; Huang, Q.; Zhang, W.; Leung, K.M.Y. Pulsed distribution of organotins in the turbidity maximum zone of the Yangtze Estuary throughout a tidal cycle. Mar. Pollut. Bull. 2022, 178, 113600. [Google Scholar] [CrossRef] [PubMed]
- You, J.; Gao, J.; Fu, P.; LeBlanc, G.A.; Guo, J.; Zhang, L.; Li, M. Organotins in a food web from the Three Gorges Reservoir, China: Trophic enrichment and potential health risk. Sci. Total Environ. 2022, 845, 157276. [Google Scholar] [CrossRef]
- Qi, J. Study on Specification and Application of Organotin Compounds in Industrial Products and Ecological Environment. Ph.D. Thesis, Ocean University of China, Qingdao, China, 2013. [Google Scholar]
- Dubalska, K.; Rutkowska, M.; Bajger-Nowak, G.; Konieczka, P.; Namiesnik, J. Organotin Compounds: Environmental Fate and Analytics. Crit. Rev. Anal. Chem. 2013, 43, 35–54. [Google Scholar] [CrossRef]
- Alahmadi, S.M. Organotin Speciation Analysis Based on Liquid or Gas Chromatography. Asian J. Chem. 2011, 23, 3787–3791. [Google Scholar]
- Chen, Z.; Xu, Q.; Wang, Q.; Xue, R.; Chen, L. Research progress in analytical methods of organotin in environmental samples. Environ. Chem. 2015, 34, 911–917. [Google Scholar]
- Finnegan, C.; Ryan, D.; Enright, A.M.; Garcia-Cabellos, G. A review of strategies for the detection and remediation of organotin pollution. Crit. Rev. Env. Sci. Tec. 2018, 48, 77–118. [Google Scholar] [CrossRef]
- Deng, T.; Wu, L.; Gao, J.M.; Zhou, B.; Zhang, Y.L.; Wu, W.N.; Tang, Z.H.; Jiang, W.C.; Huang, W.L. Occurrence and health risk assessment of organotins in waterworks and the source water of the Three Gorges Reservoir Region, China. Environ. Sci. Pollut. 2018, 25, 15019–15028. [Google Scholar] [CrossRef]
- Coscollà, C.; Navarro-Olivares, S.; Martí, P.; Yusà, V. Application of the experimental design of experiments (DoE) for the determination of organotin compounds in water samples using HS-SPME and GC-MS/MS. Talanta 2014, 119, 544–552. [Google Scholar] [CrossRef]
- Sun, Q.; Chen, Z.L.; Yuan, D.X.; Megharaj, M.; Naidu, R. On-line solid-phase extraction coupled with liquid chromatography/electrospray ionization mass spectrometry for the determination of trace tributyltin and triphenyltin in water samples. Rapid Commun. Mass Spectrom. 2009, 23, 3795–3802. [Google Scholar] [CrossRef]
- Morabito, R.; Massanisso, P.; Quevauviller, P. Derivatization methods for the determination of organotin compounds in environmental samples. Trends. Analyt. Chem. 2000, 19, 113–119. [Google Scholar] [CrossRef]
- Chen, Z.; Chen, L.; Chen, C.; Huang, Q.; Wu, L.; Zhang, W. Organotin Contamination in Sediments and Aquatic Organisms from the Yangtze Estuary and Adjacent Marine Environments. Environ. Eng. Sci. 2017, 34, 227–235. [Google Scholar] [CrossRef]
- Chen, C.; Chen, L.; Xue, R.; Huang, Q.; Wu, L.; Ye, S.; Zhang, W. Spatiotemporal variation and source apportionment of organotin compounds in sediments in the Yangtze Estuary. Environ. Sci. Eur. 2019, 31, 24. [Google Scholar] [CrossRef]
- Huang, Q.; Wen, X.; Dai, Q.; Chen, L.; Wang, R.; Yin, D.; Wang, D.; Ding, L.; Shi, B. Occurrence of Organotin in Bottom Water of the Yangtze River Estuary and Its Behavior in the Seasonally Hypoxic Zone. J. Tongji University. Nat. Sci. 2021, 49, 1374–1382. [Google Scholar]
- Díez, S.; Abalos, M.; Bayona, J.M. Organotin contamination in sediments from the Western Mediterranean enclosures following 10 years of TBT regulation. Water Res. 2002, 36, 905–918. [Google Scholar] [CrossRef] [PubMed]
- Gao, S.; Chen, J.; Shen, Z.; Liu, H.; Chen, Y. Seasonal and spatial distributions and possible sources of polychlorinated biphenyls in surface sediments of Yangtze Estuary, China. Chemosphere 2013, 91, 809–816. [Google Scholar] [CrossRef]
- Wang, X.; Liu, B.; Zhang, W. Distribution and risk analysis of heavy metals in sediments from the Yangtze River Estuary, China. Environ. Sci. Pollut. Res. 2020, 27, 10802–10810. [Google Scholar] [CrossRef]
- Cao, F.; Li, Z.; He, Q.; Lu, S.; Qin, P.; Li, L. Occurrence, spatial distribution, source, and ecological risk assessment of organochlorine pesticides in Dongting Lake, China. Environ. Sci. Pollut. Res. 2021, 28, 30841–30857. [Google Scholar] [CrossRef]
- Zoboli, O.; Clara, M.; Gabriel, O.; Scheffknecht, C.; Humer, M.; Brielmann, H.; Kulcsar, S.; Trautvetter, H.; Kittlaus, S.; Amann, A.; et al. Occurrence and levels of micropollutants across environmental and engineered compartments in Austria. J. Environ. Manag. 2019, 232, 636–653. [Google Scholar] [CrossRef]
- Quintas, P.Y.; Alvarez, M.B.; Arias, A.H.; Garrido, M.; Marcovecchio, J.E. Spatiotemporal distribution of organotin compounds in the coastal water of the Bahia Blanca estuary (Argentina). Environ. Sci. Pollut. Res. 2019, 26, 7601–7613. [Google Scholar] [CrossRef]
- Lam, N.H.; Jeong, H.; Kang, S.; Kim, D.; Ju, M.; Horiguchi, T.; Cho, H. Organotins and new antifouling biocides in water and sediments from three Korean Special Management Sea Areas following ten years of tributyltin regulation: Contamination profiles and risk assessment. Mar. Pollut. Bull. 2017, 121, 302–312. [Google Scholar] [CrossRef] [PubMed]
- Mikac, N.; Turk, M.F.; Petrovic, D.; Bigovic, M.; Krivokapic, S. First assessment of butyltins (BuTs) contamination of the Montenegrin coast (Southeast Adriatic): Tributyltin (TBT) poses a threat to the marine ecosystem. Mar. Pollut. Bull. 2022, 185, 114270. [Google Scholar] [CrossRef] [PubMed]
- Batista Andrade, J.A.; Caldas, S.S.; Batista, R.M.; Castro, I.B.; Fillmann, G.; Primel, E.G. From TBT to booster biocides: Levels and impacts of antifouling along coastal areas of Panama. Environ. Pollut. 2018, 234, 243–252. [Google Scholar] [CrossRef] [PubMed]
- Basheeru, K.A.; Okoro, H.K.; Adekola, F.A.; Abdus Salam, N. Speciation and quantification of organotin compounds in Lagos harbour, Nigeria. Int. J. Environ. Anal. Chem. 2022, 102, 8250–8269. [Google Scholar] [CrossRef]
- Cetinturk, K.; Unlu, S. The first observation of antifouling organotin compounds and booster biocides in sediments from Samsun Port area, Black Sea, Turkey. Mar. Pollut. Bull. 2022, 176, 113408. [Google Scholar] [CrossRef]
- Gao, J.; Zhang, Y.; Guo, J.; Jin, F.; Zhang, K. Occurrence of organotins in the Yangtze River and the Jialing River in the urban section of Chongqing, China. Environ. Monit. Assess. 2013, 185, 3831–3837. [Google Scholar] [CrossRef]










| MBT | DBT | TBT | MPhT | DPhT | TPhT | |
|---|---|---|---|---|---|---|
| PNECfw 1 (ng Sn/L) | 8236 | 332 | 0.08 | 566 | 269 | 6.40 |
| PNECsed 2 (ng Sn/g dw) | 13953 | 829 | 29.4 | 926 | 473 | 10.9 |
| Study Areas | Countries | The Concentration of OTCs (ng Sn/L) | References | |||||
|---|---|---|---|---|---|---|---|---|
| MBT | DBT | TBT | MPhT | DPhT | TPhT | |||
| French rivers | France | 0.5~1.5 | 0.1~3.0 | 0.1~0.3 | <0.1 | <0.1 | <0.1 | Cavalheiro et al., 2016 [10] |
| Bahia Blance | Argentina | 289~647 | 260~510 | 289~647 | NA 1 | NA | NA | Quintas et al., 2019 [41] |
| Sea areas | Korea | <1~69.9 | <1 | <1~10.2 | <1 | <1 | <1~3.2 | Lam et al., 2017 [42] |
| Ria de Vigo | Spanish | 1.8 | 1.7 | 2.4 | <8.00 | <15.0 | <10.0 | Concha-Graña et al., 2021 [12] |
| Mar Menor lagoon | Spanish | 2.2 | 2.8 | 3.3 | <8.00 | <15.0 | <10.0 | Concha-Graña et al., 2021 [12] |
| Montenegrin coast | Montenegro | 68.1 | 42.7 | 7.5 | NA | NA | NA | Mikac et al., 2022 [43] |
| Yangtze River Estuary and coastal waters | China | 18.4 | 5.2 | 9.6 | 43.8 | 23.9 | 17.0 | Huang et al., 2021 [35] |
| The lower Yangtze River (Changzhou city) | China | 17.3 | 10.6 | 59.4 | 6.4 | 7.7 | 9.0 | Dai et al., 2022 [21] |
| The lower Yangtze River | China | 11.1 | 5.0 | 1.8 | <LOD | 4.5 | 3.4 | This study |
| Study Areas | Countries | The Concentration of OTCs (ng Sn/g dw) | References | |||||
|---|---|---|---|---|---|---|---|---|
| MBT | DBT | TBT | MPhT | DPhT | TPhT | |||
| Sea Areas | Korea | <1~56.9 | <1~160 | <1~2304 | <1~46.7 | <1~2.33 | <1~68.5 | Lam et al., 2017 [42] |
| Ria de Vigo | Spain | 3.98 | 9.18 | 19.6 | <9.18 | <17.0 | <2.61 | Concha-Graña et al., 2021 [12] |
| Mar Menor Lagoon | Spain | 3.98 | 2.11 | 11.7 | <9.18 | <17.0 | <2.61 | Concha-Graña et al., 2021 [12] |
| The Panama Canal | Panama | 5~149 | 3~46 | 2~37 | NA | NA | NA | Batista-Andrade et al., 2018 [44] |
| Lagos Harbor | Nigeria | 328 | 78 | 2.7 | 29.5 | 4.4 | 1.0 | Basheeru et al., 2022 [45] |
| Black Sea | Turkey | <1~360 | <1~99.7 | <1~240 | NA | NA | NA | Çetintürk et al., 2022 [46] |
| The Western Arabian Gulf | Saudi Arabia | ND~160 | ND~60 | ND | ND~260 | ND~330 | 12 | Hassan et al., 2019 [17] |
| Hong Kong Waters | China | NA | NA | NA | 32.0 | 1.4 | 82.8 | Sham et al., 2020 [18] |
| Yangtze Estuary | China | 1.19~11.3 | 1.15~11.8 | 1.03~10.5 | NA | 1.25~5.6 | 1.15~10.4 | Chen et al., 2019 [34] |
| The Lower Yangtze River | China | 32.9 | 7.4 | 3.1 | 0.9 | 14.3 | 2.5 | This study |
Disclaimer/Publisher’s Note: The statements, opinions and data contained in all publications are solely those of the individual author(s) and contributor(s) and not of MDPI and/or the editor(s). MDPI and/or the editor(s) disclaim responsibility for any injury to people or property resulting from any ideas, methods, instructions or products referred to in the content. |
© 2024 by the authors. Licensee MDPI, Basel, Switzerland. This article is an open access article distributed under the terms and conditions of the Creative Commons Attribution (CC BY) license (https://creativecommons.org/licenses/by/4.0/).
Share and Cite
Sun, J.; Yang, Y.; Fan, S.; Wang, R.; Huang, Q. The Spatial Variation in Organotin Contamination in Different Environmental Media: A Case of the Lower Yangtze River in China. Water 2024, 16, 3126. https://doi.org/10.3390/w16213126
Sun J, Yang Y, Fan S, Wang R, Huang Q. The Spatial Variation in Organotin Contamination in Different Environmental Media: A Case of the Lower Yangtze River in China. Water. 2024; 16(21):3126. https://doi.org/10.3390/w16213126
Chicago/Turabian StyleSun, Jinnuo, Ya Yang, Suyu Fan, Rui Wang, and Qinghui Huang. 2024. "The Spatial Variation in Organotin Contamination in Different Environmental Media: A Case of the Lower Yangtze River in China" Water 16, no. 21: 3126. https://doi.org/10.3390/w16213126
APA StyleSun, J., Yang, Y., Fan, S., Wang, R., & Huang, Q. (2024). The Spatial Variation in Organotin Contamination in Different Environmental Media: A Case of the Lower Yangtze River in China. Water, 16(21), 3126. https://doi.org/10.3390/w16213126

