Abstract
Lake ice phenology directly reflects local climate changes, serving as a key indicator of climate change. In today’s rapidly evolving climate, utilizing advanced remote sensing techniques to quickly extract long-term lake ice phenology features and studying their correlation with other climate factors is crucial. This study focuses on lakes in Xinjiang, China, with a mountainous area greater than 100 km2, including Sayram Lake, Ayahkum Lake, Achihkul Lake, Jingyu Lake, and Ahsaykan Lake. The Bayesian ensemble change detection algorithm was employed to extract lake ice phenology information, and the Mann–Kendall (MK) non-parametric test was used to analyze trends. The visual interpretation method was used to interpret the spatial evolution characteristics of lake ice, and the Pearson correlation coefficient was used to explore the driving factors of lake ice phenology. Results indicate the following: (1) Jingyu Lake exhibited the most significant delay in both freezing and complete freezing days, while Ayahkum Lake showed the most stable pattern. Ahsaykan Lake demonstrated the least delay in both starting and complete melting days. (2) Sayram Lake’s ice evolution was unstable, with wind causing variability in the locations where freezing begins and melting spreading from the west shore. Ayahkum Lake, Ahsaykan Lake, and Jingyu Lake exhibited similar seasonal variations, while Achihkul Lake’s ice spatial changes spread from the east to the center during freezing and from the center to the shore during melting. (3) The study found that the freeze–thaw process is influenced by a combination of factors including lake area, precipitation, wind speed, and temperature.
1. Introduction
Climate change poses a common challenge for humanity [1]. The Fifth Assessment Report of the Intergovernmental Panel on Climate Change (IPCC) indicates a rapid global temperature increase, with the period from 1983 to 2012 potentially being the warmest 30 years in the Northern Hemisphere since 1400 [2]. The latest IPCC report suggests that the Earth’s surface average temperature increased by 1.1 °C during 2011–2020 compared to the average temperature from 1850–1900, and there is a high likelihood of surpassing 1.5 °C in the near future (2021–2040), accelerating climate warming [3]. Global warming is intensifying the complex relationship between climate and the environment [4]. The IPCC warns that if the current rate of climate warming continues, the Qinghai-Tibet Plateau will no longer have glaciers in 30 years [5]. Climate change manifests in various forms, including glacier melting, rising sea levels, vegetation phenology, and lake ice phenology, with the latter providing a visual indicator of climate change.
Lakes respond sensitively to climate change, and under the backdrop of global warming, lake ice is generally exhibiting a declining trend, with some lakes in the Northern Hemisphere potentially ceasing to freeze in the future [6]. Over the past 150 years, the average duration of ice cover on Northern Hemisphere lakes has decreased by 28 days, and the rate of lake ice decline has accelerated in recent decades [7]. Lake ice retreat is significantly influenced by rising temperatures [8], leading to an overall decline in lake ice globally [9] characterized by delayed ice formation, earlier ice melting, and shorter ice periods [10,11]. The ice cover on lakes significantly hinders heat and mass exchange between the air and water, altering the heat and moisture circulation between the freezing and melting periods [12]. When lakes freeze, the ice layer acts as a crucial medium for heat and light flux, as well as mass exchange between the atmosphere and water, impacting local climate and environmental stability [13]. Particularly in arid regions, the reduction in lake ice thickness and coverage disrupts the local ecological environment and economic development [14]. Therefore, studying the trend of lake ice phenology changes in typical arid regions, such as the mountain lakes in Xinjiang, becomes increasingly important.
Lake ice research focuses on temporal and attribute parameters [15]. With the evolution of climate and the development of remote sensing technology, there is a growing demand for accurate and timely acquisition of lake ice information parameters using remote sensing techniques. Traditional methods relying on manual field records and instrument station monitoring consume significant human and time resources, making them inadequate for the current needs of monitoring and researching lake ice phenology changes. Consequently, remote sensing technology plays a crucial role in providing long time series data, becoming an essential means for studying lake ice due to its efficiency, economy, and accuracy [16,17,18].
Foreign studies on lake ice are mainly concentrated in regions such as North America, Northern Europe, and Canada [19]. For example, Wang et al. found a 71% reduction in ice cover on the Great Lakes in North America from 1973 to 2010 [20]. Hodgkins et al. analyzed lake ice phenology in the New England region, concluding that winter and early spring temperatures have warmed by approximately 1.5 °C since 1850 [21]. Tom et al. used multiple remote sensing data sources and in situ observation data to establish a lake ice monitoring model, achieving good observational results [22]. Duguay et al. pointed out the obvious early melt time of lake ice in Canadian lakes, while freeze time did not change significantly [23]. Ménard et al. simulated the lake ice phenology of Great Slave Lake in northwestern Canada using a one-dimensional thermodynamic lake ice model [24]. In China, lake ice phenology studies are concentrated in high-altitude areas such as the Qinghai-Tibet Plateau and the Mongolian Plateau [25]. Chen et al. used AVHRR remote sensing data to infer changes in lake ice on Qinghai Lake from 1958 to 1983 [26]. Chen et al. extracted lake ice parameters on the Qinghai-Tibet Plateau using MODIS data, indicating a 77-day extension of the complete freezing time [27]. Yao et al. studied the ice period of major lakes in the Hoh Xil region from 2000 to 2011, revealing a clear trend of advancing complete freezing dates by 2.21 days per year [28]. Qi et al. studied the lake ice phenology of Qinghai Lake from 2000 to 2016, showing a significant trend of earlier complete melting dates [29].
With the advancement of remote sensing monitoring algorithms and techniques, research methods for lake ice phenology have become more advanced. These methods comprehensively fill the gap in long-time series information on lake ice, making information acquisition more convenient, accurate, and fast. Microwave remote sensing has proven to be an effective tool for assessing the state of water systems, particularly in monitoring surface water and identifying changes in water bodies’ physical properties [30]. New optical tools enable real-time diagnosis of water quality, offering an operational system for in situ assessment without traditional sampling and laboratory analysis [31]. The effectiveness of these optical tools has been demonstrated in various experimental water quality control sites, showing their potential under different climatic conditions [31]. The Normalized Difference Snow Index (NDSI) method is widely used in snow and ice mapping research [32], and the MODIS SNOWMAP algorithm is also widely used for extracting lake ice phenology. Qin et al. used NDSI snow product data to invert the lake ice phenology changes of Sayram Lake [33]. Arken et al. calculated the lake ice phenology characteristics of large lakes in Xinjiang from 2000 to 2019 using the band threshold method [34]. Wu et al. calculated the lake ice phenology features of Hulun Lake using the reflectance threshold method and NDSI threshold method [35]. Wu et al. simulated the lake ice phenology changes of Nam Co Lake on the Qinghai-Tibet Plateau using the LAKE model [36]. Ke et al. used the sliding T-test method to detect the lake ice phenology changes in Lake Xingkai since 1978 [37]. In the current era of drastic climate change, the use of faster and more accurate methods to extract and obtain long time series lake ice information is crucial. Kuluwan et al. used the Bayesian ensemble change detection algorithm to rapidly extract the lake ice phenology information of Bosten Lake from microwave remote sensing data with a spatial resolution of 3.125 km [38].
Lake ice phenology changes can provide a direct reflection of climate change due to their temporal nature. Targeted research, rather than broad studies, is essential for gaining a clearer understanding of regional lake ice changes and informing management and prevention strategies. While the methods previously mentioned are well established, some limitations exist in addressing trends in the temporal changes of lake ice phenology. For example, when extracting lake ice phenology parameters using MODIS data combined with the threshold method, data sequencing limitations and susceptibility to weather conditions such as clouds and rain can lead to inevitable extraction errors. In conducting re-search, it is advisable to adhere to two principles when selecting data: utilize data that is not affected by clouds or rain to minimize errors in research results; opt for long-term sequence data to enhance the temporal accuracy of lake ice research, providing a more comprehensive reflection of regional climate change. As research demands evolve, remote sensing algorithm technologies have also developed. In today’s climate-sensitive environment, the rapid and accurate extraction of long-term lake ice phenology parameters is crucial. This study employs the Bayesian ensemble change detection algorithm proposed in previous research to quickly extract temporal lake ice phenology parameters from mountain lakes.
Although research on lake ice in Xinjiang is relatively rich, it often lacks specificity and tends to focus on individual large lakes. Therefore, this study specifically targets mountain lakes in Xinjiang. As a typical arid region, Xinjiang’s Mountain lakes are largely unaffected by human disturbances, making them more natural and suitable for studying climate change patterns.
In this study, we chose large lakes in the Tien Shan and Kunlun Mountain ranges in Xinjiang, including Sayram Lake, Ayahkum Lake, Achihkul Lake, Jingyu Lake, and Ahsaykan Lake, as research objects. Our objective is to investigate how lake region conditions and geographical locations affect the trend and attribution of lake ice phenology changes in Xinjiang’s Mountain lakes. Specifically, we hypothesize that factors such as lake area, precipitation, wind speed, and temperature significantly influence these changes. This study combines passive microwave remote sensing data and the Bayesian ensemble change detection method to rapidly extract lake ice information and employs the MK non-parametric test method to investigate the trend of lake ice phenology changes, spatial characteristics, and the correlation of climatic factors with lake ice phenology from 1978 to 2022.
2. Study Area Overview
The Xinjiang Uygur Autonomous Region is in the northwest of China and belongs to a typical arid region. As a crucial hub of the Silk Road Economic Belt, it is situated in the heart of the Eurasian continent. The region’s topography can be summarized as “three mountains enclosing two basins”, with the Altai Mountains to the north, the Kunlun Mountains to the south, and the Tianshan Mountains in the center, which divide Xinjiang into Northern and Southern Xinjiang. The mountain lakes of Xinjiang are primarily distributed in the Tianshan and Kunlun Mountain ranges. In the Tianshan Mountains, there is Sayram Lake, while the Kunlun Mountains are home to five lakes, including Ayahkum Lake, Achihkul Lake, Jingyu Lake, and Ahsaykan Lake. These lakes play a crucial role in the geographical pattern of Xinjiang (see Figure 1).
Figure 1.
Spatial distribution of mountain lakes in Xinjiang.
Xinjiang experiences a typical temperate continental arid climate, with precipitation concentrated mainly in the mountainous areas, while the plains receive less precipitation and have higher evaporation rates. The average annual temperature is 7.6 °C, with an average annual precipitation of 141.5 mm and an average relative humidity of 52% [39]. Xinjiang’s total water resources are limited, accounting for only 3% of the national total, and most of this exists in the form of glaciers [40]. The distribution of water resources is extremely uneven in time and space, being relatively more abundant in the western region than the eastern region; the northern part has more water resources than the southern part; and the mountainous areas have more water resources than the plains. Against this background, this study mainly focuses on the response of Xinjiang’s lakes to selected climatic factors. Lakes play an important role in the regional climate system, and understanding their response to climate change will contribute to a deeper understanding of the environmental dynamics in Xinjiang.
3. Research Methods, Data and Sources
3.1. Passive Microwave Remote Sensing Data
In this study, we utilized the CETB (Climatology of Earth’s Terrestrial Biosphere) product provided by the National Snow and Ice Data Center (NSIDC) (https://nsidc.org/data/, accessed on 20 March 2023). The data were extracted from sensors, including SMMR (Scanning Multichannel Microwave Radiometer), SSM/I (Special Sensor Microwave/Imager), and SSMIS (Special Sensor Microwave Imager/Sounder). Covering the spatial range of Xinjiang’s Mountain lakes and a time span from October 1978 to December 2022, the data have a spatial resolution of 3.125 km and a temporal resolution of one day. A total of 52,803 NeTCDF files, with a capacity of 2.31 TB, were used to extract information on the lake ice phenology.
In this study, we conducted detailed preprocessing of the CETB product data obtained from the SMMR, SSM/I, and SSMIS sensors to ensure the accuracy and reliability of lake ice monitoring. First, for the missing values in the data, we applied a linear interpolation method [41,42]. This method estimates the missing data values by calculating the linear relationship between adjacent data points, which is suitable for cases where there are intermittent gaps in the time series data. Linear interpolation effectively fills in the missing points without significantly distorting the natural variation trends of the data, making the data sequence complete and facilitating further analysis.
To reduce the impact of random noise in the data, we used Fourier smoothing [43,44]. This technique transforms the time series data into the frequency domain, analyzes the intensity of each frequency component, filters out the high-frequency noise components, and then uses the inverse Fourier transform to restore the data back to the time domain. Fourier smoothing not only effectively removes high-frequency noise but also preserves the main variation trends and periodic information in the data, making it an effective method for handling random noise in remote sensing data.
Through this series of preprocessing steps, we ensured the quality and continuity of the data, laying a solid foundation for the subsequent extraction and analysis of key parameters such as lake ice coverage, changes, and snow and ice thickness. This preprocessing strategy, which combines linear interpolation and Fourier smoothing, significantly improves data usability and the accuracy of analysis results, providing important practical value for monitoring the phenological characteristics of lake ice in the mountain lakes of Xinjiang.
3.1.1. Bayesian Ensemble Change Detection Algorithm
The characteristics of significant differences in dielectric properties between ice and water lead to abrupt changes in the brightness temperature values on the lake surface during freezing and thawing processes. The brightness temperature of ice is higher than that of water. With variations in the surface air temperature over the lake, the brightness temperature values also change accordingly. Therefore, the differences between the periods with ice and without ice on the lake surface are utilized to obtain lake ice phenology information.
To capture this characteristic change, this study introduces an algorithm for automatic change point detection [45,46]. The Bayesian ensemble change detection algorithm is a powerful tool for detecting change points, primarily employed to separate seasonal and trend signals from time series and identify mutations in two signals. This method relies on Bayesian inference, sampling the posterior distribution of the number and positions of change points. It provides confident estimates for the change points, offering researchers precise information on the locations and probabilities of change occurrences. Considering the statistical properties of the data and utilizing prior information, this method infers the positions and intensities of change points. In time series, change point detection reveals mutations, trend changes, or exceptional events in the data, providing valuable information for decision-making and further analysis. The Bayesian ensemble change detection method decomposes a time series Y(t) into four components: trend (T), seasonal variation (S), mutation (θt), and noise (ε). These components are combined to establish the model for the time series:
Here, ε represents Gaussian random errors N(0, δ2), where δ2 is unknown; T and S represent the basic elements of trend and seasonality. Mutations are represented by parameters θt and θs. Specifically, θt and θs represent the number and location of change points in the trend and seasonality components, respectively.
3.1.2. Pixel Information Method
The pixel information method is based on determining the change in the landscape by analyzing the number of pixels in remote sensing data relevant to the target research area. In this study, the MODIS snow product data is utilized to determine the characteristics of lake ice phenology by assessing the number of snow pixels on the target lakes. Taking any lake in the mountainous regions of Xinjiang as an example, let us consider Sayram Lake. The average area of Sayram Lake over the past 20 years is 457.89 square kilometers (using the average area over the past 20 years to avoid errors caused by drastic changes in area). The spatial resolution of MODIS snow product data is 250 m. The criteria for determining the lake ice phenology involve considering lakes to have started freezing when the percentage of lake area covered by snow pixels exceeds 5% and to be completely frozen when it exceeds 95%. Therefore, Sayram Lake has approximately 1831 MODIS snow product pixels. The lake is considered to have started freezing when the number of snow pixels exceeds 367, and it is considered completely frozen when it exceeds 1739 pixels. Following this principle, the lake ice phenology information during snow product coverage can be obtained.
3.2. Data Analysis Methods
3.2.1. Trend Analysis Method
The Mann–Kendall (MK) non-parametric test [47,48] is a statistical method used to detect trends in time series data. It assesses the trend direction (upward, downward, or no trend) in a time series without relying on data distribution. The MK test is commonly employed in environmental science, meteorology, hydrology, and other fields to evaluate the temporal trends of variables.
The MK test is based on the arrangement of data at different time points. For a given time series, it compares each data point with subsequent data points, calculating directional trends. In this study, this method is utilized to analyze the changing trends of lake ice phenology parameters in Xinjiang’s mountainous lakes since 1978.
3.2.2. Correlation Coefficient
The Pearson correlation coefficient [7,49] is used in this study to verify the accuracy of the passive microwave remote sensing data in extracting parameters such as the start of freezing, complete freezing, start of thawing, and complete thawing of lake ice. Additionally, we use it to analyze the response of lake ice phenology to climatic factors.
To evaluate the accuracy of extraction results and conduct a thorough error analysis, this study introduces a classification system based on correlation coefficient levels to make the analysis more systematic. This method is applied differently across various fields, such as medicine and physics [50]. Since the subject of this study is lake ice phenology, which is influenced by climate factors based on physical principles, the process uses a classification of correlation coefficients from high to low. The categories are perfect correlation, strong correlation, moderate correlation, weak correlation, and no correlation, as shown in the following Table 1:
Table 1.
Classification of correlation coefficients.
3.2.3. Root Mean Square Error (RMSE)
Root Mean Square Error (RMSE) [51] is a statistical metric used to measure the error of a predictive model. It quantifies the root mean square value of the differences between the model’s predicted values and the actual observed values. RMSE has the advantage of being consistent with the scale of the original data, making it easier to interpret. A smaller RMSE value indicates that the model’s predicted values are closer to the actual observed values, while a larger RMSE value suggests greater prediction error. The formula is as follows:
3.2.4. Mean Absolute Error (MAE)
Mean Absolute Error (MAE) [52] is a statistical measure used to quantify the error of a predictive model. Unlike Root Mean Square Error (RMSE), MAE does not involve squaring the errors but directly takes the average of the absolute values of errors. The formula is as follows:
MAE is less sensitive to outliers because it uses the absolute values of errors and is not affected by the sign of the errors. This makes MAE more suitable in certain scenarios, especially when there are outliers or anomalies in the data.
4. Remote Sensing Data
4.1. MODIS Data
For this research, we employed the MOD09GQ dataset from the Terra satellite and the MYD09GQ dataset from the Aqua satellite. Both datasets have a spatial resolution of 250 m and a temporal resolution of one day. The MOD09GQ dataset covers data from 1 August 2000 to 31 December 2022, while the MYD09GQ dataset spans from 1 August 2002, to 31 December 2022. Additionally, MOD10A1 snow product data from Terra and MYD10A1 from Aqua were used, featuring a temporal resolution of 1 day and a spatial resolution of 500 m. Studies have shown that MODIS data exhibit a land cover identification accuracy ranging from 87.5% to 94%, making them suitable for supporting and validating the research [53].
4.2. DEM Data
Digital Elevation Model (DEM) provides an informationized simulation of global surface topography based on certain terrain elevation data. The DEM data used in this study come from the 90 m spatial resolution provincial data provided by the Geospatial Data Cloud (http://www.resdc.cn, accessed on 26 March 2023).
4.3. Meteorological Element Data
ERA5-Land is a land surface meteorological dataset provided by the European Centre for Medium-Range Weather Forecasts (ECMWF). It is part of ERA5 (the Fifth European Reanalysis) and is specifically designed for high-resolution reanalysis of meteorological variables over land surfaces. The dataset covers the period from 1981 to the present, with a spatial resolution of 0.1 degrees and an hourly temporal resolution. Studies by Liu Zhedong [54] on the accuracy analysis of precipitation in Xinjiang using ERA5 and MERRA-2 datasets showed that ERA5′s accuracy in Xinjiang is lower in summer and higher in winter. ERA5-Land data were used in this study for wind speed, lake temperature, and precipitation analysis as driving factors for lake ice phenology changes in Xinjiang’s Mountain lakes from 1981 to 2020. The dataset’s accuracy has been validated in various studies [55,56].
4.4. Global Water Body Observation Data
The lake area data used in this research is sourced from the Observatoire Hydrologique et Spatial (OHAS) project, which is supported by the French National Centre for Space Studies (CNES) and the Theia program. This project provides open access to global water body observation data, available at https://hydroweb.theia-land.fr.
5. Results
5.1. Verification of Lake Ice Phenology Data
Enhanced-resolution passive microwave remote sensing data with a spatial resolution of 3.125 km were employed. To assess data reliability, MODIS snow product data with a spatial resolution of 250 m and a daily temporal resolution were used for cross-validation. The period from 2000 to 2022 was considered, and the start of freezing, complete freezing, start of melting, and complete melting days extracted from passive microwave remote sensing and MODIS were compared. The results, visualized in Figure 2 and presented in Table 2, demonstrate cross-validation discrepancies in the start of freezing, complete freezing, start of melting, and complete melting days for mountainous lakes in Xinjiang.
Figure 2.
Cross-validation of lake ice phenology in Xinjiang mountainous lakes based on MOD10A1 data and passive microwave remote sensing data from 2000 to 2022.
Table 2.
Cross-validation information table of lake ice phenology in Xinjiang mountainous lakes.
Correlation coefficients (R) for the start of freezing days range from 0.61 to 0.83, with the minimum observed for Achihkul Lake (R = 0.61), which indicates a moderate correlation, possibly influenced by its smaller lake area and the 3.125 km spatial resolution of passive microwave remote sensing, leading to errors. Additionally, frequent rain and snow events may contribute to delays and advances in the start of freezing days. Among the lakes, Ayahkum Lake exhibits the highest RMSE and MAE, indicating earlier passive microwave remote sensing data compared to MODIS, possibly due to more noticeable variations in brightness temperature data. In complete freezing dates, Jingyu Lake shows the highest RMSE and MAE (3.77 and 2.72, respectively), suggesting earlier passive microwave remote sensing data, potentially influenced by the lake’s high altitude. However, Ahsaykan Lake exhibits high R-square values and low RMSE and MAE, indicating a very strong correlation between the two datasets. In start of freezing dates, Sayram Lake has a lower R-square and larger MAE and RMSE, indicating a weak correlation, possibly influenced by weather changes in the Ahsaykan Lake area, resulting in data discrepancies due to frequent rain and snow and unstable temperature variations.
5.2. Trends in Mountainous Lake Ice Phenology Changes
Utilizing the Mann–Kendall (MK) non-parametric test on the microwave remote sensing data for extracting the lake ice phenology in Xinjiang’s mountainous lakes, trends in the changes of lake ice phenology over the period 1978–2022 are depicted in Figure 3. Subplots (a), (b), (c), (d), and (e) represent Achihkul Lake, Sayram Lake, Aksikkan Lake, Jingyu Lake, and Ayakkum Lake, respectively. Starting with the analysis of Subplot (a) in Figure 3, Achihkul Lake exhibits a trend towards earlier freeze-up dates in the starting freeze-up date (FUS), with an advancement of 3.4 days every 10 years. The variation in this trend is large and unstable, with the latest starting freeze-up date occurring in 1987 at day 100, and the earliest in 2013 at day 58. The full freeze-up date (FUE) advances by 5 days every decade, with the latest completion observed in 1987 on day 146 and the earliest in 2013 on day 68. The trend in the starting thaw date (BUS) reflects the speed of local temperature rise, with Achihkul Lake’s BUS moving back by 3.3 days every decade. This suggests an earlier increase in regional temperatures. The changes in the starting thaw date are similarly unstable, with the earliest in 1999 at day 211 and the latest in 2020 at day 259. The full thaw date (BUE) moves back by 1.9 days every decade.
Figure 3.
Trends in lake ice phenology changes in Xinjiang’s mountainous lakes. (In the figure, from top to bottom, subplot (a) is Achihkul Lake, (b) is Sayram Lake, (c) is Ahsaykan Lake, (d) is Jingyu Lake, and (e) is Ayahkum Lake.)
Analyzing Subplot (b) in Figure 3, Sayram Lake exhibits a clear trend towards later freeze-up dates (FUS), with the start of freezing occurring 3.4 days later every 10 years. The variation in this trend is large and unstable, with the latest starting freeze-up date occurring in 1987 at day 100 and the earliest in 2013 at day 58. The complete freeze-up date (FUE) is delayed by 0.9 days per decade, with the latest completion observed in 1994 at day 176 and the earliest in 2015 at day 148. The start of thaw dates (BUS) are delayed by 3.3 days every decade. The changes in the start of thaw dates are similarly unstable, with the earliest in 2013 at day 214 and the latest in 1981 at day 255. The complete thaw date (BUE) advances by 2.9 days per decade, with the earliest complete thaw dates observed in 2010, 2019, and 2021 at 240 days and the latest in 1981 at day 265.
Analyzing Subplot (c), Ahsaykan Lake displays an advancing trend in the start of freezing dates, advancing by 2.9 days every 10 years, with small and relatively stable variation. The latest starting freeze-up date occurred in 1985 at day 108, while the earliest occurred in 1990 at day 54. The complete freeze-up date advances by 5.3 days every decade, with the latest completion observed in 1987 at day 146 and the earliest in 1990 at day 68. The start of thaw dates is delayed by 2.6 days every decade. The earliest start of thaw date occurred in 1989 at day 213, and the latest occurred in 1980 at day 264. The complete thaw date is delayed by 0.1 day every decade, with the earliest in 1989 at day 236 and the latest in 1982 at day 294.
Analyzing Subplot (d) in Figure 3, Jingyu Lake exhibits an advancing trend in the start of freezing dates, advancing by 3.4 days every 10 years, with large and unstable variation. The latest starting freeze-up dates occurred in 1984 and 1985 at day 86, while the earliest occurred in 1990 at day 48. The complete freeze-up date advances by 1.2 days every decade, with the latest completion observed in 1992 at day 108 and the earliest in 1990 at day 69. The start of thaw dates is delayed by 4.9 days every decade. The earliest start of thaw date occurred in 1986 at day 234, and the latest occurred in 2020 at day 290. The complete thaw date is delayed by 2.8 days every decade, with the earliest in 1996 at day 254 and the latest in 2020 at day 312.
Analyzing Subplot (e) in Figure 3, Ayahkum Lake exhibits an advancing trend in the start of freezing dates, being delayed by 0.8 days every 10 years, with large and unstable variation. The latest starting freeze-up date occurred in 1981 at day 100, while the earliest occurred in 2009 at day 100. The complete freeze-up date is delayed by 1.9 days every decade, with the latest completion observed in 2008 at day 118 and the earliest in 1981 at day 83. The start of thaw dates is delayed by 5 days every decade. The earliest start of thaw date occurred in 2006 at day 164, and the latest occurred in 2019 and 2020 at day 224. The complete thaw date is delayed by 5.3 days every decade, with the earliest in 2006 at day 213 and the latest in 2020 at day 256.
5.3. Spatial Variation of Mountainous Lake Ice Phenology Changes
The MODIS MOD09GQ data has a spatial resolution of 250 m and a temporal resolution of one day. Although the spatial resolution is smaller than LANDSAT data, its higher temporal resolution allows for better selection of images with fewer or no clouds to analyze the spatial evolution patterns of lake ice phenology. The first and second bands of MODIS data are synthesized in a 1:2:1 ratio, representing frozen lake ice in shades of brownish-red and open water in black. This aids in visually interpreting the spatial evolution range and growth patterns of lake ice.
In Figure 4, Subplot (a) represents the spatial evolution pattern of Sayram Lake in 2009. In early January, Sayram Lake enters the initial freezing stage, with lake ice concentrating in the center. The exact starting point of freezing cannot be determined from this, possibly due to the unstable wind direction around the mountainous areas surrounding Sayram Lake. By 23 January, Sayram Lake has entered a widespread freezing stage. The lake ice appears less concentrated on the southwestern shore, indicating less ice cover compared to other areas. By 30 March, the lake is in a frozen state, covered by ice. As temperatures rise on 17 April, the lake ice begins to melt, starting first in the eastern part. By 19 April, ice melting is observed in the eastern and southern parts, spreading from the lake’s edges towards the center. The melting mode conforms to the principle that lake ice first melts along the lake shore and in shallow water areas.
Figure 4.
RGB remote sensing image of dynamic changes in mountain lakes and lake ice in Xinjiang for the years 2009–2010.
In Subplot (b), Ayahkum Lake’s spatial evolution pattern is depicted. Initially frozen, Ayahkum Lake starts freezing from the narrow eastern part. By 19 December, the southwestern protruding part of the lake also freezes. This uneven distribution of lake ice is attributed to wind patterns, differing from Sayram Lake’s evolution. On 13 January, the lake completely freezes. As temperatures rise in spring, ice fractures first appear in the middle-western part of the lake, indicating the presence of open spaces between the ice and water. By 11 March, the lake ice gradually diminishes, spreading from the middle-western part towards the edges, until it completely disappears.
According to Subplot (e) in Figure 4, Jingyu Lake’s remote sensing image reveals that on 4 November, the lake began to freeze, starting from the eastern part. By 12 November, lake ice appeared along the eastern and northeastern shorelines, conforming to the principle that lake ice freezing begins in shallow water areas. On 5 December, the lake was completely frozen. By 28 May of the following year, the lake ice started to disintegrate, initially appearing on the northeastern shore. According to the 1 June image, lake ice spread from the southeast to the lake center. On 13 June, a concentration of lake ice was observed in the southeast, possibly due to wind dynamics on the lake’s surface. As temperatures gradually increased, the lake ice completely disappeared. Jingyu Lake experiences an early freezing period, an extended complete ice cover phase, and a late melting period, indicating colder temperatures in the lake region compared to other mountainous lakes. Jingyu Lake’s elevation is 4756 m, placing it in a high-altitude region with a cold climate.
In Subplot (d) of Figure 4, Achihkul Lake, located in the eastern part of the Kunlun Mountains at a higher elevation than Ayahkum Lake but lower than Jingyu Lake, entered the initial freezing stage on 3 November, freezing first from the eastern part and spreading towards the lake center and west. By 20 November, the lake was essentially in a completely frozen state, although cracks were still visible in the lake ice. This could be due to either the unstable trend in temperature causing ice fracturing or the possibility of the lake not being completely frozen. Considering the elevation of Ayahkum Lake, the distance from Achihkul Lake, and Ayahkum Lake’s freezing status, the possibility of complete thawing followed by fractures can be preliminarily ruled out. By 25 November, the lake entered a phase of complete ice cover. As the season progressed, with rising temperatures, on 22 April 2010, the lake ice began to disintegrate and melt, starting first in the northwest shore. By 24 April, there was a crescent-shaped concentration of ice in the lake center, suggesting that wind dynamics on the lake’s surface caused ice concentration in the center. Later, after advancing by two days, the lake ice concentrated in the southern part of the lake. Thus, Achihkul Lake’s ice evolution starts from the eastern part, progressing to complete ice cover during a temperature drop, followed by seasonal changes causing ice melting, starting from the western part and spreading towards the north shore until complete disappearance. Achihkul Lake exhibits a seasonal ice evolution.
In Subplot (e) of Figure 4, Ahsaykan Lake, located in the central part of the Kunlun Mountains, is one of the most challenging lakes in Xinjiang. Based on remote sensing images from 13 and 20 November 2009, the lake began to freeze from the eastern shore, spreading towards the lake center. Within a mere 12 days, the lake likely progressed from initial freezing to complete freezing, possibly entering a phase of complete ice cover. With the change of seasons and rising surface temperatures, lake ice began to disintegrate, first appearing in the southwestern and southern parts of the lake. As temperatures continued to rise, lake ice disintegration deepened, spreading towards the northeast. By 5 March 2010, the lake was essentially in a phase of complete melting, with ice appearing only on the eastern shore. Ahsaykan Lake also undergoes seasonal changes, beginning to freeze from the eastern part and spreading towards the center until completely frozen. As spring arrives, lake ice disintegration begins from the southwestern shore, spreading towards the center and north until complete disappearance.
5.4. Correlation Between Lake Ice Phenology and Climatic Factors
The phenological characteristics of lake ice are influenced by climatic factors such as temperature, precipitation, wind speed, snowfall, as well as physical factors like lake altitude, lake area, lake, and lake shape. Over a longer time scale, temperature is a major factor affecting the changes in lake ice phenology [9,57]. In this study, we explore the driving factors of lake ice phenology changes in Xinjiang’s mountainous lakes from 2000 to 2020, considering temperature, precipitation, wind speed, lake area, and snow cover.
In Figure 5, the freeze-up start date (FUS) for Aksaykan Lake shows significant negative correlations with temperature (temp) (−0.67) and precipitation (prec) (−0.44), indicating that higher temperatures and precipitation lead to earlier freeze-up start dates. The freeze-up end date (FUE) also has negative correlations with temperature and precipitation (−0.51 and −0.67, respectively), resulting in earlier freeze-up end dates. The break-up start date (BUS) is positively correlated with wind speed (wind) and lake area (lake.area) (0.47 and 0.64, respectively), suggesting that higher wind speeds and larger lake areas delay the break-up start date. The break-up end date (BUE) similarly correlates positively with wind speed and lake area (0.50 and 0.64). Lake water transparency (Transparency) has a significant negative effect on FUS (−0.46), indicating that clearer water leads to an earlier freeze-up start date.
Figure 5.
Correlation between lake ice phenology and various influencing factors in mountainous lakes of Xinjiang. (Correlation matrix. Symbols denote significance levels: * p < 0.05, ** p < 0.01, *** p < 0.001.)
In Figure 5, Achihkul Lake’s FUS has significant negative correlations with temperature (temp) (−0.56) and precipitation (prec) (−0.69), suggesting that higher temperatures and precipitation advance the freeze-up start date. FUE also negatively correlates with temperature and precipitation (−0.48 and −0.56, respectively). BUS is positively correlated with wind speed (wind) and lake area (lake.area) (0.51 and 0.75), indicating that higher wind speeds and larger lake areas delay the break-up start date. BUE shows positive correlations with water transparency (Transparency) and wind speed (0.47 and 0.56).
In Figure 5, Ayahkum Lake’s FUS shows a negative correlation with temperature (temp) (−0.47). FUE also has a negative correlation with temperature (−0.49). BUS is positively correlated with lake area (lake.area) and water transparency (Transparency) (0.81 and 0.45), suggesting that larger lake areas and higher water transparency delay the break-up start date. BUE is similarly correlated with lake area and water transparency (0.84 and 0.45). Additionally, BUS has a negative correlation with precipitation (prec) (−0.44), indicating that increased precipitation advances the break-up start date.
In Figure 5, Jingyu Lake’s FUS shows a significant negative correlation with temperature (temp) (−0.72). FUE also negatively correlates with temperature. BUS is positively correlated with lake area (lake.area) (0.61), suggesting that larger lake areas delay the break-up start date. BUE is positively correlated with lake area (0.60) and negatively with precipitation (prec) (−0.47), indicating that larger lake areas delay and increased precipitation advances the break-up end date. BUS has a lake area correlation of 0.61 and precipitation correlation of −0.43, while BUE has a lake area correlation of 0.60 and precipitation correlation of −0.47.
In Figure 5, Sayram Lake’s FUS shows a negative correlation with temperature (temp) (−0.48). FUE has a negative correlation with precipitation (prec) (−0.56), indicating that increased precipitation advances the freeze-up end date. BUS shows a negative correlation with wind speed (wind) (−0.81), suggesting that higher wind speeds lead to earlier break-up start dates. BUE similarly correlates negatively with wind speed (−0.81). Precipitation shows a positive correlation with both BUS and BUE, indicating that increased precipitation delays the break-up dates.
6. Discussion
6.1. What Factors Cause Significant Fluctuations in the Lake Ice Phenology of Ayahkum?
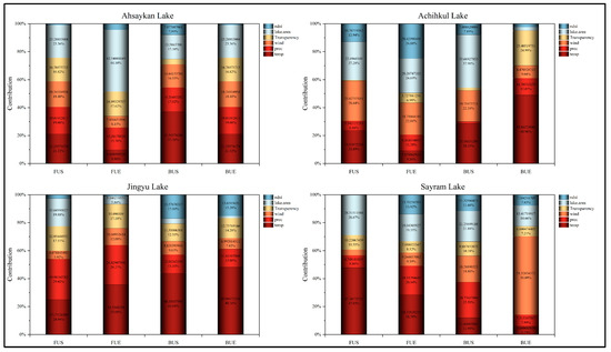
In the analysis of the lake ice phenology trends of mountain lakes in Xinjiang, it was found that Ayahkum Lake exhibits significant fluctuations and instability in its lake ice phenology changes. To explore the patterns of these changes, this study calculated the contribution rates of various environmental factors to the lake ice phenology parameters for each lake to clarify the reasons behind these fluctuations. Figure 6 shows the contribution rates of environmental factors to the lake ice phenology parameters of Ayahkum Lake, while Figure 7 shows the contribution rates of environmental factors to the lake ice phenology parameters of the other four lakes.
Figure 6.
The contribution rate of environmental factors to the ice phenology of Ayahkum Lake.
Figure 7.
The contribution rate of environmental factors to lake ice phenology.
The analysis of environmental factors influencing the freeze-up start day (FUS) and freeze-up end day (FUE) for Ayahkum Lake reveals significant contributions from lake area and transparency. For FUS, the lake area contributed 42.25% and transparency contributed 28.95%, indicating that physical characteristics of the lake play a crucial role in determining the onset of freezing. Temperature and precipitation also have notable impacts, with contributions of 16.62% and 8.40%, respectively. These findings suggest that larger lake areas and clearer water lead to earlier freeze-up start dates while higher temperatures and increased precipitation can delay this process. Similarly, for FUE, the lake area remains a dominant factor with a contribution of 35.45%, followed by transparency at 24.08%. Wind speed also significantly affects the freeze-up end day, contributing 17.26%, highlighting its role in accelerating the freezing process.
When examining the break-up start day (BUS) and break-up end day (BUE), lake area again emerges as a critical factor, contributing 35.45% and 60.73%, respectively. This indicates that larger lakes tend to have delayed ice melt processes. Transparency and temperature are also important for BUE, with contributions of 20.07% and 18.47%, respectively, suggesting that clearer water and higher temperatures can hasten the ice melt. For BUS, temperature and precipitation have substantial impacts, contributing 11.86% and 10.03%, respectively, reflecting their influence on the early stages of ice melting. The significant contribution of wind speed to both BUS and BUE (11.86% and 10.03%) underscores the role of wind in the lake ice phenology, as it can facilitate the melting process by breaking up the ice and increasing heat exchange.
In Ahsaykan Lake, temperature (temp) and lake area are the most influential factors across all stages of ice phenology. For the freeze-up start day (FUS), temperature contributes 31.72%, delaying the onset of freezing. For the freeze-up end day (FUE), temperature contributes 35.75%, delaying the completion of freezing. The break-up start day (BUS) is primarily influenced by lake area (27.19%), and the break-up end day (BUE) is significantly influenced by temperature (32.78%). In Achihkul Lake, temperature is the dominant factor, especially for the break-up end day (BUE), with a contribution of 48.90%. For the freeze-up start day (FUS), temperature contributes 37.79%. Lake area and transparency also play notable roles: lake area contributes 31.71% to FUE, and transparency contributes 22.24% to BUS.
In Jingyu Lake, temperature significantly affects both the freeze-up start day (FUS) and freeze-up end day (FUE), contributing 59.79% and 56.86%, respectively. Temperature also influences the break-up start day (BUS) and break-up end day (BUE) with contributions of 44.48% and 48.16%, respectively. While lake area and transparency play roles, their contributions are less significant compared to temperature.
In Sayram Lake, temperature primarily influences both the freeze-up start day (FUS) and freeze-up end day (FUE), with contributions of 47.77% and 48.00%, respectively. For the break-up start day (BUS), temperature contributes 40.06%, and for the break-up end day (BUE), it contributes 56.07%. Transparency and lake area also impact freeze-up and break-up start days, interacting with temperature to influence ice phenology.
6.2. Spatial Heterogeneity of Lake Ice Phenology
Understanding the spatial heterogeneity in lake ice phenology across different latitudes and altitudes is crucial for comprehending the broader impacts of climate change on freshwater ecosystems. This discussion focuses on the variability in freeze-up start day (FUS), freeze-up end day (FUE), break-up start day (BUS), and break-up end day (BUE) to highlight the influence of climatic factors on lake ice dynamics. By analyzing these phenological markers, we can gain insights into how different geographic and environmental conditions contribute to changes in lake ice cover. This knowledge is essential for predicting future trends and developing strategies to mitigate the effects of climate change on lake ecosystems. Figure 8 shows the spatial heterogeneity of lake ice phenology in mountainous lakes in Xinjiang.
Figure 8.
Spatial heterogeneity of lake ice phenology in mountainous lakes in Xinjiang.
Among the mountain lakes, Ahsaykan Lake has the earliest freezing time and the latest thawing time. The time required for Lake Sayram to go from the start freezing to complete freezing is the longest. The explanation for Lake Sayram’s characteristics goes beyond elevation. Due to being surrounded by mountains and having strong winds throughout the year, the ice in the lake undergoes collisions due to the wind’s force during the freezing process. This collision generates heat, hindering the lake from completing freezing. The mentioned rationale for Lake Sayram is theoretical, and to accurately answer the question of the time required for the lake to complete freezing, wind direction and wind speed data need to be combined.
The analysis of freeze-up start day (FUS) reveals significant spatial variability in the timing of lake ice formation across different latitudes and altitudes. Lakes at lower latitudes and altitudes (35°N to 37.5°N, 2500 m to 3500 m) exhibit a more pronounced trend of earlier freeze-up start dates, advancing by approximately 0.5 to 1.0 days per decade. This trend is largely attributed to the substantial impact of climate warming on these regions. Conversely, lakes at higher latitudes and altitudes (around 45°N, near 2000 m) show the most significant changes, with freeze-up start dates advancing by approximately 1.0 days or more per decade. The more pronounced temperature increases in these high-latitude and -altitude areas are likely responsible for the greater shifts in freeze-up timing.
Similarly, the freeze-up end day (FUE) shows that lakes at lower latitudes and altitudes also experience significant advances in freeze-up end dates, by approximately 0.5 to 1.0 days per decade. Higher-latitude and -altitude lakes exhibit even more significant changes, with freeze-up end dates advancing by about 1.0 days or more per decade, likely due to higher temperature increases leading to earlier completion of the freezing process.
For break-up start day (BUS), lakes at lower latitudes and altitudes show noticeable trends of earlier thawing, with dates advancing by about 0.25 to 0.5 days per decade. High-latitude and -altitude lakes also exhibit similar trends, indicating that these regions are experiencing earlier thawing due to rising temperatures.
The break-up end day (BUE) analysis indicates that lower-latitude and -altitude lakes show a significant trend of earlier break-up end dates, advancing by about 0.5 to 1.0 days per decade. High-latitude and -altitude lakes also show notable changes, with break-up end dates advancing by around 0.5 to 1.0 days per decade. This suggests that both lower- and higher-latitude lakes are responding to warming temperatures with earlier ice melt.
In summary, the spatial variability in lake ice phenology (FUS, FUE, BUS, BUE) across different latitudes and altitudes highlights the complex impacts of climate change. Higher-latitude and -altitude lakes exhibit more pronounced trends of earlier freeze-up, while lower-latitude and -altitude lakes show significant trends of earlier thawing. These patterns underscore the differential effects of climate change on lake ice dynamics based on geographical and environmental conditions.
6.3. Comparison with Other Studies
In today’s rapidly warming climate, climate change has become a major global concern. However, changes in lake ice phenology have emerged as an important indicator of climate change [58,59]. From 2002 to 2015, the duration of lake ice in most Northern Hemisphere lakes showed a rapid shortening trend, with changes being more pronounced and widespread in high-latitude lakes [60]. The ecosystems of lakes in the Northern Hemisphere, which periodically experience temperatures below 0 °C, are also very sensitive to climate change [61]. Magnuson et al. found that over the past 150 years, the ice cover duration of lakes and rivers in the Northern Hemisphere has decreased by an average of 28 days [62]. Similarly, Sharma et al.’s study indicated a significant reduction in the duration of lake ice globally, a trend consistent with our research findings [9]. This study shows that the ice duration of mountainous lakes in Xinjiang is also shortening, reflecting the impact of climate warming.
Numerous studies on changes in lake ice phenology have been conducted in various regions of North America, Europe, and Asia, showing significant regional differences. For example, Wang et al. found that from 1973 to 2010, ice cover on the Great Lakes in North America decreased by 71% [20]. In New England, Hodgkins et al. (2002) reported that since 1850, winter and early spring temperatures have risen by about 1.5 °C, leading to a shortening of ice cover duration. The trend of changes in the duration of lake ice cover in Northern Europe is higher than in the southern regions [63]. In Finland’s Segozero Lake (1950–2009), the start of freezing has been delayed at a rate of 3.7 days per decade, with the start of freezing in other lakes in the same region delayed by 2 to 12 days over 60 years [64].
In studies on the driving mechanisms of lake ice phenology, Imrit and Sharma (2021) indicated that the advancement of lake ice melting time is mainly driven by rising temperatures [8]. Additionally, factors such as the geographical location of lakes, their area, wind speed, and precipitation also significantly impact changes in lake ice phenology. Our research results are generally consistent with these findings. However, unlike our study, Arken et al. showed that lake area and transparency significantly contribute to lake freeze–thaw processes [34]. In our study, we found that lake area and transparency significantly contribute to the freezing period of lakes, while temperature, precipitation, and wind speed mainly affect the melting period of lakes.
In a study of the changes in the ice phenology of Lake Sayram from 2000 to 2019 [33], it was found that the average start freezing date of Lake Sayram is early November (2 November), and after 78 days of freezing, it completely freezes in mid-January of the following year (18 January). This study used comprehensive classification data based on an 8-day Normalized Difference Snow Index (NDSI) and the ratio of lake ice to water area to determine the lake ice phenology dates. In contrast, this paper utilized passive microwave remote sensing data and brightness temperature data changes to determine lake ice phenology. The results for the start freezing date in Lake Sayram differ significantly between the two studies. This disparity may be attributed to the inadequacy of the 8-day composite data in capturing lake ice phenology and the unique geographical location of Lake Sayram, surrounded by mountains, where the occurrence of snowfall introduces unavoidable errors in data extraction of lake ice phenology.
Moreover, when studying the spatial evolution of lake ice phenology, the use of 8-day composite data is advantageous for distinguishing between lake ice and water pixels, facilitating the analysis of lake ice spatial evolution characteristics.
7. Conclusions
In conclusion, this study has highlighted the significant changes in the ice phenology of mountainous lakes in Xinjiang over the past several decades, primarily driven by climate warming. Utilizing passive microwave remote sensing data and advanced detection algorithms, we were able to extract and analyze long-term lake ice phenology characteristics, providing valuable insights into the temporal and spatial evolution of lake ice in this region.
Our findings indicate a general trend of shortening ice duration across the studied lakes, consistent with global patterns observed in other regions such as North America and Northern Europe. Specifically, the start of freezing dates is advancing, and the complete freeze-up dates are occurring earlier. These changes are more pronounced in high-altitude lakes, reflecting their heightened sensitivity to temperature variations.
The study also revealed that multiple climatic factors, including temperature, precipitation, wind speed, and lake area, significantly influence lake ice phenology. Temperature emerges as the most critical factor, affecting the onset of both freezing and thawing processes. The unique geographical features of each lake, such as elevation and surrounding topography, also play a crucial role in modulating these effects.
Overall, this study underscores the importance of utilizing advanced remote sensing techniques to monitor and understand the impacts of climate change on lake ice phenology. The insights gained from this study are crucial for predicting future trends and developing strategies to mitigate the effects of climate change on freshwater ecosystems in arid and mountainous regions like Xinjiang. Continued monitoring and more comprehensive studies will be essential to enhance our understanding of these dynamic processes and inform effective environmental management and policy decisions.
Author Contributions
Writing—original draft, Y.K.; Writing—review & editing, Y.R. All authors have read and agreed to the published version of the manuscript.
Funding
This research was supported by the Xinjiang Uygur Autonomous Region Graduate Innovation Project of China (XJ2024G212) and Xinjiang Uygur Autonomous Region Science and Technology Innovation Base Construction Plan Project of China (Project No: 2020D04039).
Data Availability Statement
The passive microwave remote sensing data used in this study were provided by the National Snow and Ice Data Center (NSIDC, https://nsidc.org/data/). MODIS09GQ data and snow product data were sourced from the Satellite Observing Center of the National Aeronautics and Space Administration (NASA, https://modis.gsfc.nasa.gov/). Meteorological data from ERA5-Land were obtained from the European Centre for Medium-Range Weather Forecasts (ECMWF) and can be accessed at https://www.ecmwf.int/. The Digital Elevation Model (DEM) data used in this study originated from the 90 m spatial resolution provincial data provided by the Geospatial Data Cloud (http://www.resdc.cn). Water area data were sourced from the open website supported by the French National Centre for Space Studies (CNES) project, providing global water observation data and confidence (https://hydroweb.theia-land.fr).
Conflicts of Interest
The authors declare no conflict of interest.
References
- Hua, L. International Legal Examination of the United Nations Security Council’s Involvement in Global Climate Governance: A Perspective from the Public Discourse on Climate Security. J. China Univ. Geosci. (Soc. Sci. Ed.) 2023, 23, 34–42. [Google Scholar] [CrossRef]
- Stocker, T.F. The Closing Door of Climate Targets. Science 2013, 339, 280–282. [Google Scholar] [CrossRef] [PubMed]
- Zhao, X.; Huang, M.; Pang, B. Latest Release from IPCC: Climate Change 2021—Summary for the Public. China Meteorological News, 11 November 2022. [Google Scholar] [CrossRef]
- Bai, C. A Review of the Impact of Global Climate Change on Wetland Eco-hydrology. Heilongjiang Sci. Technol. Inf. 2014, 10, 29. [Google Scholar]
- Pang, Y.; Huang, Y.; Gong, Z.; Wen, J.; Xu, J. Research Progress on Monitoring Lake Ice Phenology Based on Multispectral Remote Sensing. Bull. Oceanol. Lake Res. 2020, 90–99. [Google Scholar] [CrossRef]
- Zhao, Y.; Wen, L.; Wang, M.; Zeng, L.; Niu, R. Application of an Energy Balance-Based Analytical Model in Simulating Lake Ice Phenomena in Qinghai Lake. Plateau Meteorol. 2023, 42, 590–602. [Google Scholar]
- Woolway, R.I.; Kraemer, B.M.; Lenters, J.D.; Merchant, C.J. Global lake responses to climate change. Nat. Rev. Earth Environ. 2020, 1, 388–403. [Google Scholar] [CrossRef]
- Imrit, M.A.; Sharma, S. Climate change is contributing to faster rates of lake ice loss in lakes around the Northern Hemisphere. J. Geophys. Res. Biogeosci. 2021, 126, e2020JG006134. [Google Scholar] [CrossRef]
- Sharma, S.; Blagrave, K.; Magnuson, J.J.; O’Reilly, C.M.; Oliver, S.; Batt, R.D.; Magee, M.R.; Straile, D.; Weyhenmeyer, G.A.; Winslow, L.; et al. Widespread loss of lake ice around the Northern Hemisphere in a warming world. Nat. Clim. Chang. 2019, 9, 227–231. [Google Scholar] [CrossRef]
- Benson, B.J.; Magnuson, J.J.; Jensen, O.P.; Card, V.M.; Hodgkins, G.; Korhonen, J.; Livingstone, D.M.; Stewart, K.M.; Weyhenmeyer, G.A.; Granin, N.G.J.C.C. Extreme events, trends, and variability in Northern Hemisphere lake-ice phenology (1855–2005). Clim. Chang. 2012, 112, 299–323. [Google Scholar] [CrossRef]
- Grant, L.; Vanderkelen, I.; Gudmundsson, L.; Tan, Z.; Perroud, M.; Stepanenko, V.; Debolskiy, A.; Droppers, B.; Janssen, A.; Woolway, R. Attribution of global lake systems change to anthropogenic forcing. Nat. Geosci. 2021, 14, 849–854. [Google Scholar] [CrossRef]
- Li, X.; Ma, Y.; Huang, Y.; Hu, X.; Wu, X.; Wang, P.; Li, G. Evaporation and surface energy budget over the largest high-altitude saline lake on the Qinghai-Tibet Plateau. J. Geophys. Res. Atmos. 2016, 121, 10,470–410,485. [Google Scholar] [CrossRef]
- Wenfeng, H.; Hongwei, H. In-situ Observation of Seasonal Ice Covering and Thawing in Shallow Lakes: Temperature Profile Characteristics. Adv. Water Sci. 2016, 27, 280–289. [Google Scholar] [CrossRef]
- Huo, P.; Lu, P.; Xie, F.; Wang, Q.; Li, Z.; Arvola, L. Numerical Simulation of the Complete Formation and Melting Process of Lake Ice in Wuliangsuhai. Adv. Water Sci. 2024, 35, 145–155. [Google Scholar] [CrossRef]
- Wei, Q.; Ye, Q. A Review of Remote Sensing Methods for Lake Ice Monitoring. J. Prog. Geogr. 2010, 29, 803–810. [Google Scholar]
- Lenormand, F.; Duguay, C.R.; Gauthier, R.J.H.P. Development of a historical ice database for the study of climate change in Canada. Hydrol. Process. 2002, 16, 3707–3722. [Google Scholar] [CrossRef]
- Hall, D.K.; Riggs, G.A.; Salomonson, V.V.; DiGirolamo, N.E.; Bayr, K.J. MODIS snow-cover products. Remote Sens. Environ. 2002, 83, 181–194. [Google Scholar] [CrossRef]
- Latifovic, R.; Pouliot, D. Analysis of climate change impacts on lake ice phenology in Canada using the historical satellite data record. Remote Sens. Environ. 2007, 106, 492–507. [Google Scholar] [CrossRef]
- Cheng, A.; Preller, R. The development of an ice-ocean coupled model for the northern hemisphere. Geophys. Res. Lett. 1992, 19, 901–904. [Google Scholar] [CrossRef]
- Wang, J.; Bai, X.; Hu, H.; Clites, A.; Colton, M.; Lofgren, B. Temporal and spatial variability of Great Lakes ice cover, 1973–2010. J. Clim. 2012, 25, 1318–1329. [Google Scholar] [CrossRef]
- Hodgkins, G.A.; James, I.C.; Huntington, T.G. Historical changes in lake ice-out dates as indicators of climate change in new england, 1850–2000. Int. J. Climatol. 2002, 22, 1819–1827. [Google Scholar] [CrossRef]
- Tom, M.; Prabha, R.; Wu, T.; Baltsavias, E. Ice monitoring in Swiss lakes from optical satellites and webcams using machine learning. Remote Sens. 2020, 12, 3555. [Google Scholar] [CrossRef]
- Duguay, C.R.; Prowse, T.D.; Bonsal, B.R.; Brown, R.D.; Lacroix, M.P. Recent trends in Canadian lake ice cover. Hydrol. Process. Int. J. 2006, 20, 781–801. [Google Scholar] [CrossRef]
- Ménard, P.; Duguay, C.R.; Flato, G.M.; Rouse, W.R. Simulation of ice phenology on Great Slave Lake, Northwest Territories, Canada. Hydrol. Process. 2002, 16, 3691–3706. [Google Scholar] [CrossRef]
- Aierken, T. Spatial and Temporal Changes in Lake Ice Phenology of Major Lakes in Xinjiang and Their Driving Mechanisms. Master’s Thesis, Xinjiang Normal University, Urumqi, China, 2021. [Google Scholar]
- Chen, X.; Wang, G.; Li, W.; Zeng, Q.; Jin, D.; Wang, L. Lake Ice and Its Remote Sensing Monitoring on the Tibetan Plateau. Glacier Frozen Soil 1995, 3, 241–246. [Google Scholar]
- Chen, J.; Wang, Y.; Cao, L.; Zheng, J.J. Variations in the ice phenology and water level of Ayakekumu Lake, Tibetan Plateau, derived from MODIS and satellite altimetry data. J. Indian Soc. Remote Sens. 2018, 46, 1689–1699. [Google Scholar] [CrossRef]
- Yao, X.; Long, L.; Jun, Z. Spatial and Temporal Changes in Lake Ice Conditions of Major Lakes in the Kekexili Region in the Past Decade. J. Geogr. 2015, 70, 1114–1124. [Google Scholar] [CrossRef]
- Qi, M.; Yao, X.; Li, X.; Duan, H.; Gao, Y.; Liu, J. Spatiotemporal characteristics of Qinghai Lake ice phenology between 2000 and 2016. J. Geogr. Sci. 2019, 29, 115–130. [Google Scholar] [CrossRef]
- Varotsos, C.A.; Mkrtchyan, F.A.; Soldatov, V.Y.; Xue, Y. Capabilities on Remote Microwave Technologies to Assess the State of Water Systems. Water Air Soil Pollut. 2022, 233, 114. [Google Scholar] [CrossRef]
- Varotsos, C.A.; Krapivin, V.F.; Mkrtchyan, F.A. New Optical Tools for Water Quality Diagnostics. Water Air Soil Pollut. 2019, 230, 177. [Google Scholar] [CrossRef]
- Qiu, Y.; Xie, P.; Wang, X.; Lemmetyinen, J.; Lin, H. MODIS-based daily lake ice extent and coverage dataset for Tibetan Plateau. Big Earth Data 2019, 3, 170–185. [Google Scholar] [CrossRef]
- Qin, Q.; Mei, L.X.; Bo, Z. Changes in Lake Ice Phenology Characteristics of Sayram Lake from 2000 to 2019. Arid. Land Geogr. 2022, 45, 37–45. [Google Scholar] [CrossRef]
- Aierken, T.; Yusufujiang, R. Temporal and Spatial Variations in Lake Ice Phenology of Large Lakes in Xinjiang from 2000 to 2019. Arid. Zone Geogr. 2022, 45, 1440–1449. [Google Scholar] [CrossRef]
- Wu, Q.; Li, C.; Sun, B.; Shi, X.; Zhao, S.; Han, Z. Changes in Lake Ice Phenology of Hulun Lake from 1986 to 2017. Prog. Geogr. 2019, 38, 1933–1943. [Google Scholar] [CrossRef]
- Wu, Y.; Guo, L.; Fan, L.; Wen, M.; Chi, H.; Zhang, B. Lake ice phenology of the Nam Co at Tibetan Plateau: Remote sensing and modelling. Natl. Remote Sens. Bull. 2022, 26, 193–200. [Google Scholar] [CrossRef]
- Ke, C.Q.; Cai, Y.; Xiao, Y. Monitoring ice phenology variations in Khanka Lake based on passive remote sensing data from 1979 to 2019. Natl. Remote Sens. Bull. 2022, 26, 201–210. [Google Scholar] [CrossRef]
- Kuluwan, Y.; Rusuli, Y.; Ainiwaer, M. Monitoring of Lake Ice Phenology Changes in Bosten Lake Based on Bayesian Change Detection Algorithm and Passive Microwave Remote Sensing (PMRS) Data. Sensors 2023, 23, 9852. [Google Scholar] [CrossRef] [PubMed]
- Dong Hanlin, W.W. Characteristics of Climate Wet and Dry Changes in Xinjiang and Their Influencing Factors. Res. Arid. Areas 2023, 1875–1884. [Google Scholar] [CrossRef]
- Zuo, Q.; Li, J.; Ma, J.; Wu, Q.; Guo, J.; Li, Q. Study on spatio-temporal variation characteristics and adaptive utilization strategy of water resources in Xinjiang. Water Resour. Prot. 2021, 37, 21–27. [Google Scholar]
- Blu, T.; Thévenaz, P.; Unser, M. Linear interpolation revitalized. IEEE Trans. Image Process. 2004, 13, 710–719. [Google Scholar] [CrossRef]
- Wahab, M.A. Interpolation and extrapolation. Proc. Topics Syst. Eng. Winter Term 2017, 17, 1–6. [Google Scholar]
- Lynn, P.A.; Fuerst, W. Introductory Digital Signal Processing with Computer Applications; John Wiley & Sons: Hoboken, NJ, USA, 1998. [Google Scholar]
- Wahab, M.F.; Gritti, F.; O’Haver, T.C. Discrete Fourier transform techniques for noise reduction and digital enhancement of analytical signals. TrAC Trends Anal. Chem. 2021, 143, 116354. [Google Scholar] [CrossRef]
- Zhao, K.; Wulder, M.A.; Hu, T.; Bright, R.; Wu, Q.; Qin, H.; Li, Y.; Toman, E.; Mallick, B.; Zhang, X.; et al. Detecting change-point, trend, and seasonality in satellite time series data to track abrupt changes and nonlinear dynamics: A Bayesian ensemble algorithm. Remote Sens. Environ. 2019, 232, 111181. [Google Scholar] [CrossRef]
- Cai, Y.; Liu, S.; Lin, H. Monitoring the vegetation dynamics in the dongting lake wetland from 2000 to 2019 using the BEAST algorithm based on dense Landsat time series. Appl. Sci. 2020, 10, 4209. [Google Scholar] [CrossRef]
- Kendall, M.G. Rank Correlation Methods; Charles Griffin: London, UK, 1948. [Google Scholar]
- Mann, H.B. Nonparametric tests against trend. Econometrica 1945, 13, 245–259. [Google Scholar] [CrossRef]
- Fieller, E.C.; Hartley, H.O.; Pearson, E.S.J.B. Tests for rank correlation coefficients. I. Biometrika 1957, 44, 470–481. [Google Scholar] [CrossRef]
- Akoglu, H. User’s guide to correlation coefficients. Turk. J. Emerg. Med. 2018, 18, 91–93. [Google Scholar] [CrossRef]
- van der Voet, H. Comparing the predictive accuracy of models using a simple randomization test. Chemom. Intell. Lab. Syst. 1994, 25, 313–323. [Google Scholar] [CrossRef]
- Fleiss, J.L.; Levin, B.; Paik, M.C. Statistical Methods for Rates and Proportions; John Wiley & Sons: Hoboken, NJ, USA, 2013. [Google Scholar]
- He, H.; Li, Z.; Zhang, M. Analysis of Temporal and Spatial Changes in Snow Cover Area in the Tianshan Mountains of China Based on MODIS Data. Arid. Zone Geogr. 2018, 41, 367–374. [Google Scholar]
- Liu, J.; Huang, L.; Liu, L. Accuracy Analysis of Atmospheric Precipitation in Xinjiang Region Using ERA5 and MERRA-2 Data. J. Guilin Univ. Technol. 2024, 44, 96–102. [Google Scholar]
- Hu, Z.; Ni, Y.; Shao, H.; Yin, G.; Yan, Y.; Jia, C. Applicability of CFSR, ERA-Interim, and MERRA Precipitation Data in Central Asia. Arid. Land Geogr. 2013, 36, 700–708. [Google Scholar] [CrossRef]
- Meng, G.; Guo, J.; Han, Y. Preliminary Assessment of the Applicability of ERA5 Reanalysis Data. J. Ocean. Atmos. Sci. 2018, 38, 91–99. [Google Scholar]
- Brown, L.C.; Duguay, C.R. The response and role of ice cover in lake-climate interactions. Prog. Phys. Geogr. 2010, 34, 671–704. [Google Scholar] [CrossRef]
- Wang, X.; Qin, D.-H.; Ren, J.-W.; Wang, F.-T. Numerical estimation of thermal insulation performance of different coverage schemes at three places for snow storage. Adv. Clim. Chang. Res. 2021, 12, 903–912. [Google Scholar] [CrossRef]
- Parmesan, C.; Morecroft, M.D.; Trisurat, Y. Climate Change 2022: Impacts, Adaptation and Vulnerability; GIEC: Geneva, Switzerland, 2022. [Google Scholar]
- Du, J.; Kimball, J.S.; Duguay, C.; Kim, Y.; Watts, J.D. Satellite microwave assessment of Northern Hemisphere lake ice phenology from 2002 to 2015. Cryosphere 2017, 11, 47–63. [Google Scholar] [CrossRef]
- De Jong, R.; Kamenik, C. Validation of a chrysophyte stomatocyst-based cold-season climate reconstruction from high-Alpine Lake Silvaplana, Switzerland. J. Quat. Sci. 2011, 26, 268–275. [Google Scholar] [CrossRef]
- Magnuson, J.J.; Robertson, D.M.; Benson, B.J.; Wynne, R.H.; Livingstone, D.M.; Arai, T.; Assel, R.A.; Barry, R.G.; Card, V.; Kuusisto, E. Historical trends in lake and river ice cover in the Northern Hemisphere. Science 2000, 289, 1743–1746. [Google Scholar] [CrossRef] [PubMed]
- Newton, A.M.; Mullan, D.J. Climate change and Northern Hemisphere lake and river ice phenology from 1931–2005. Cryosphere 2021, 15, 2211–2234. [Google Scholar] [CrossRef]
- Efremova, T.; Palshin, N.; Zdorovennov, R. Long-term characteristics of ice phenology in Karelian lakes. Est. J. Earth Sci. 2013, 62, 33. [Google Scholar] [CrossRef]
Disclaimer/Publisher’s Note: The statements, opinions and data contained in all publications are solely those of the individual author(s) and contributor(s) and not of MDPI and/or the editor(s). MDPI and/or the editor(s) disclaim responsibility for any injury to people or property resulting from any ideas, methods, instructions or products referred to in the content. |
© 2024 by the authors. Licensee MDPI, Basel, Switzerland. This article is an open access article distributed under the terms and conditions of the Creative Commons Attribution (CC BY) license (https://creativecommons.org/licenses/by/4.0/).







