Preparation of Slow-Release Potassium Persulfate Microcapsules and Application in Degradation of PAH-Contaminated Soil
Abstract
1. Introduction
2. Materials and Methods
2.1. Reagent
2.2. Preparation and Characterization of Potassium Persulfate Microcapsule
2.3. Experimental Design
2.4. Degradation Mechanisms Analysis
2.5. Data Analysis
3. Results and Discussions
3.1. Characterization of Potassium Persulfate Microcapsule
3.2. Sustained Release Behavior of Potassium Persulfate from the Microcapsules
3.3. Degradation of PAH-Contaminated Soil by Microcapsule
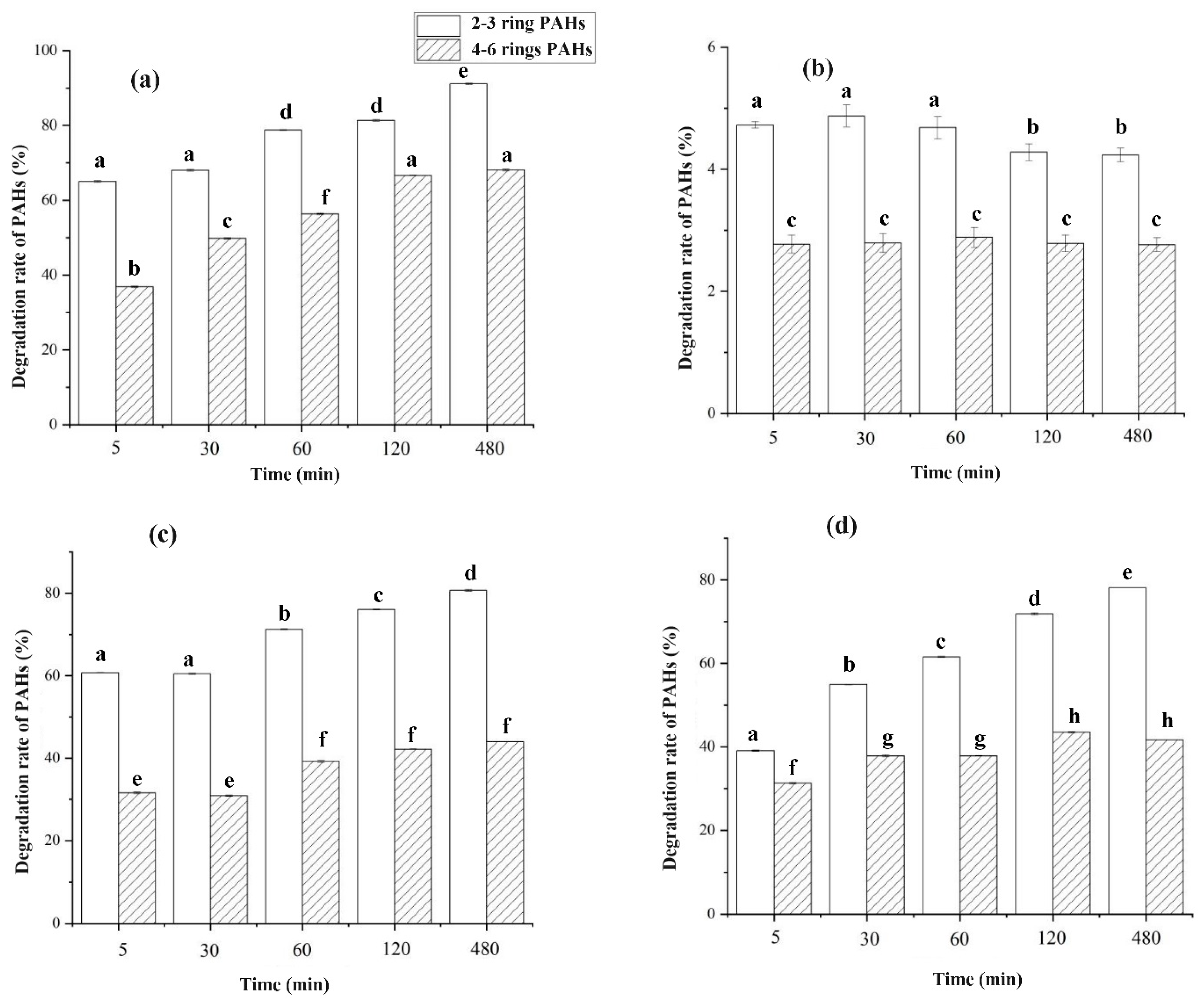
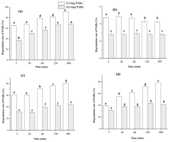
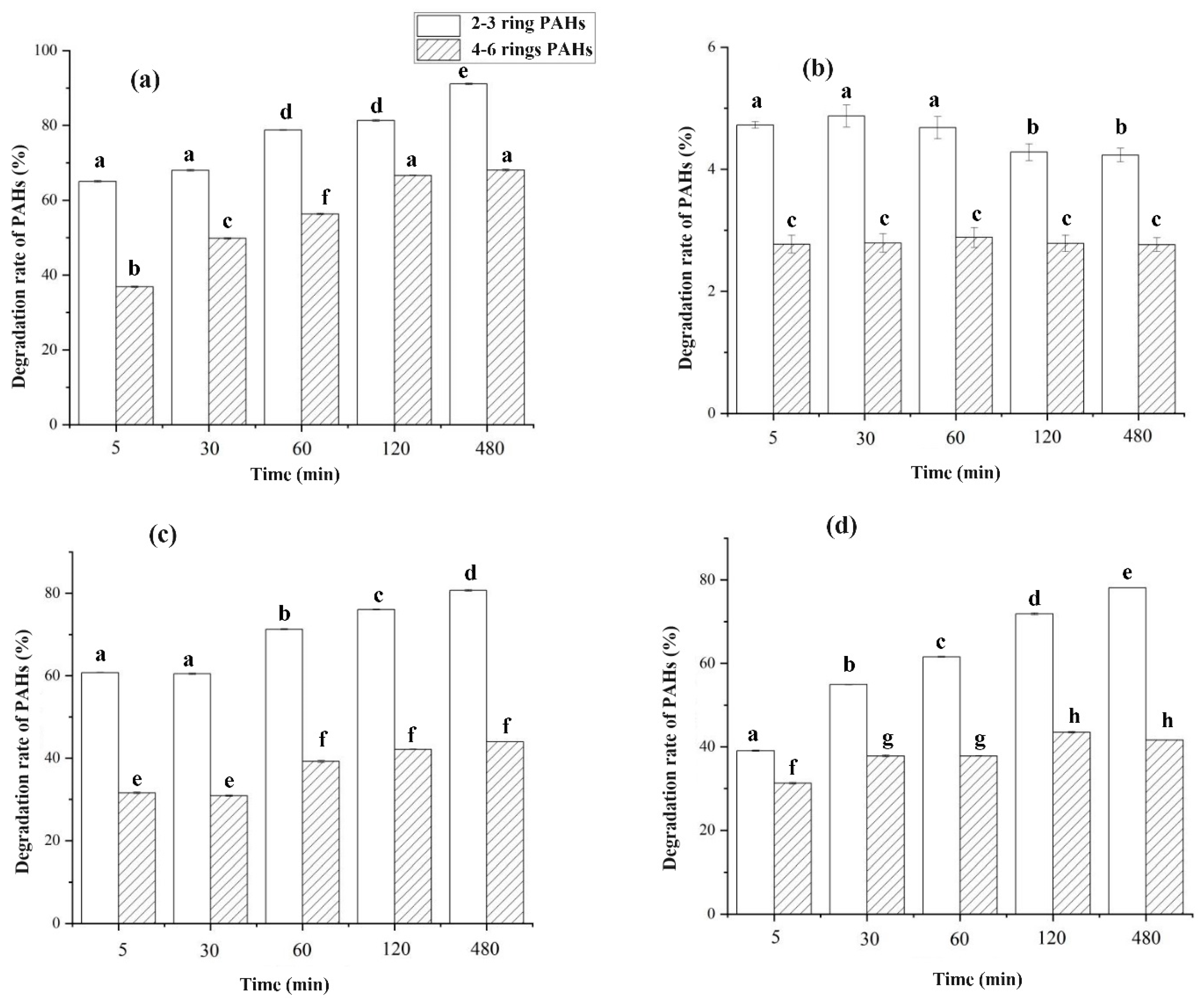
3.3.1. Degradation Effect of PAHs
3.3.2. Degradation Mechanism of Potassium Persulfate Microcapsules
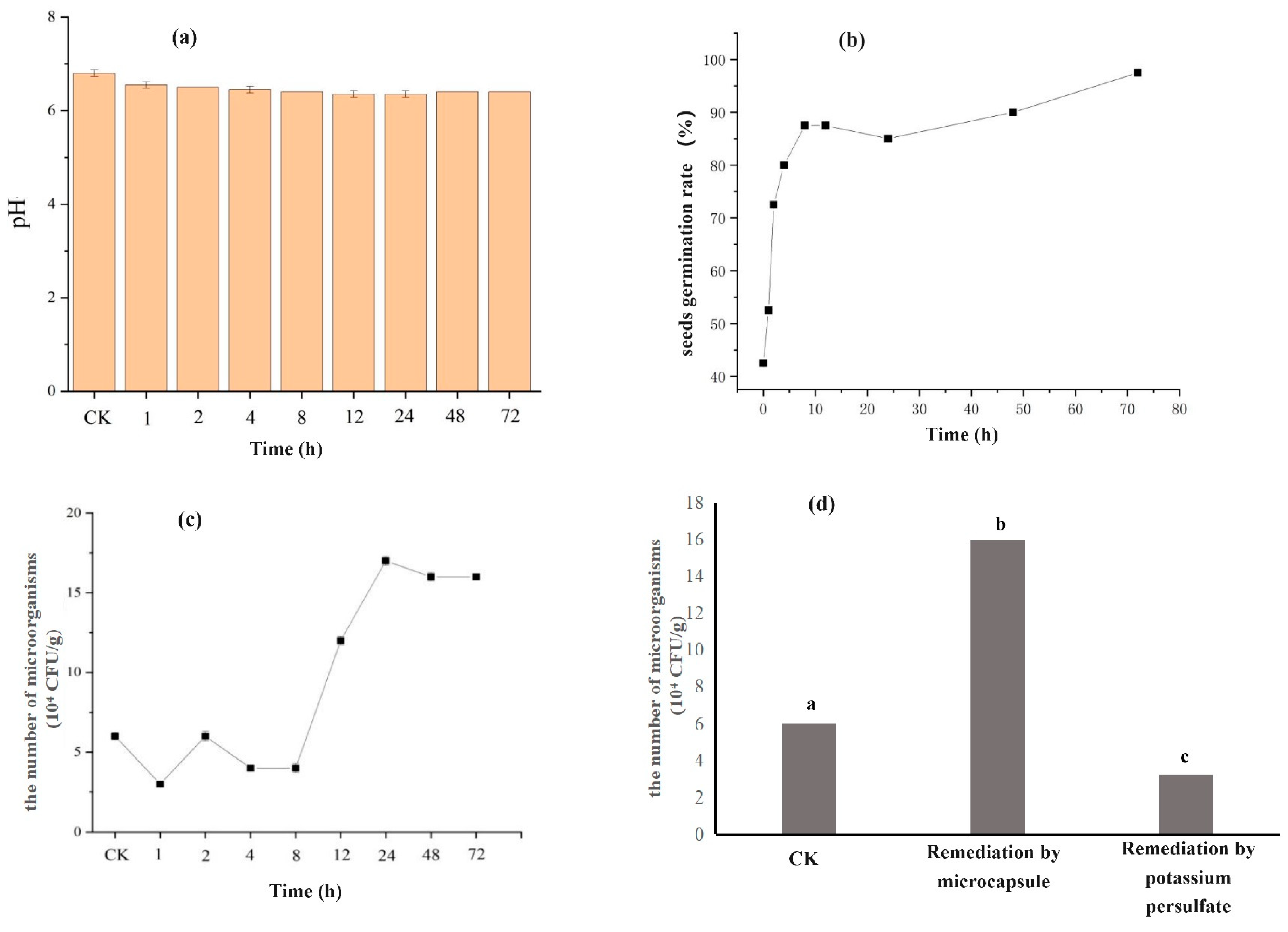
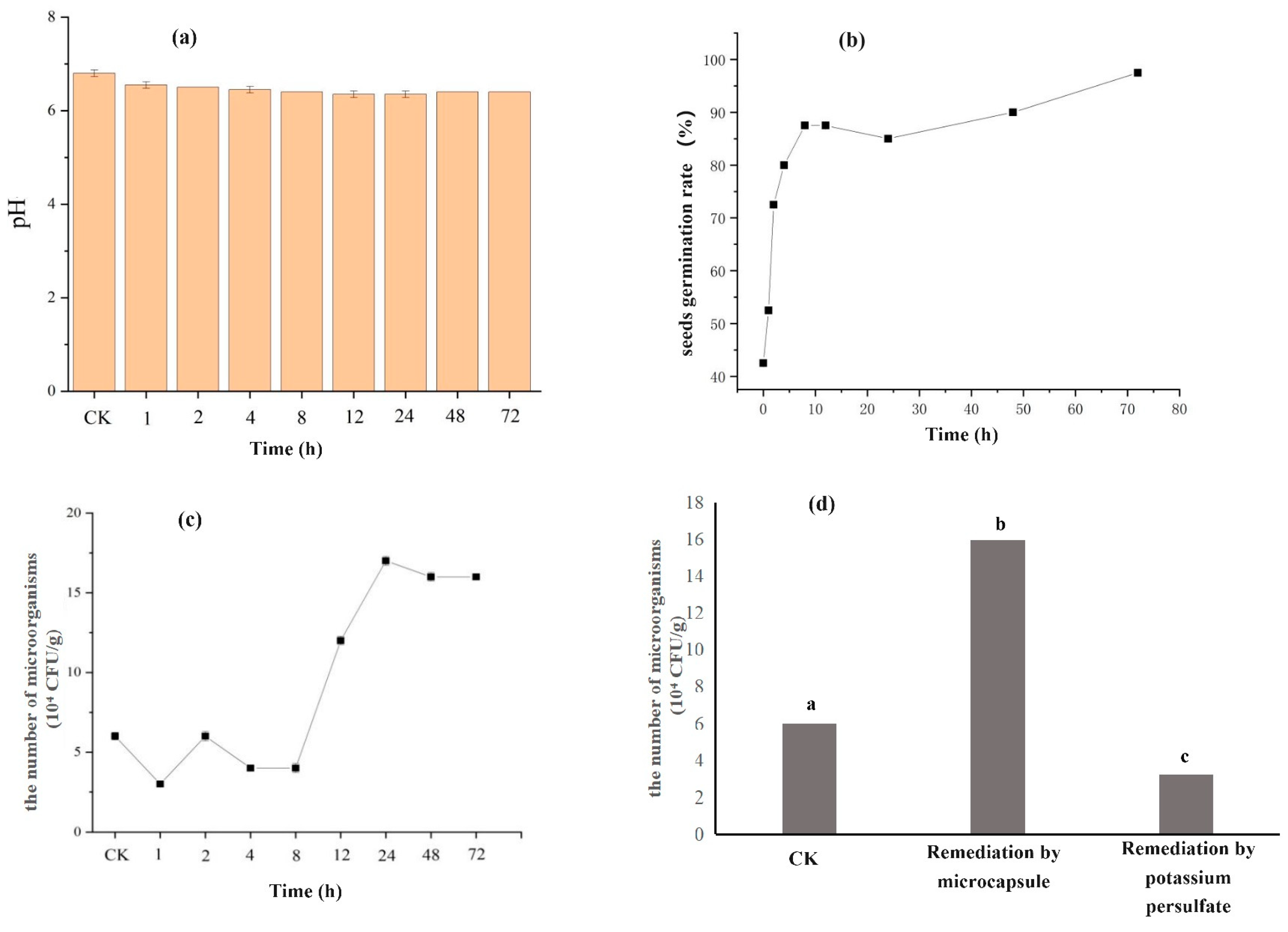
3.3.3. Effects on Environment After Degradation by Microcapsule
4. Conclusions
Author Contributions
Funding
Data Availability Statement
Acknowledgments
Conflicts of Interest
References
- Yan, Z.; Gu, Y.; Wang, X.; Hu, Y.; Li, X. Degradation of aniline by ferrous ions activated persulfate: Impacts, mechanisms, and by-products. Chemosphere 2020, 268, 129237. [Google Scholar] [PubMed]
- Liao, X.; Zhao, D.; Yan, X.; Huling, S.G. Identification of persulfate oxidation products of polycyclic aromatic hydrocarbon during remediation of contaminated soil. J. Hazard. Mater. 2014, 276, 26–34. [Google Scholar] [PubMed]
- Kronholm, J.; Desbands, B.; Hartonen, K.; Riekkola, M.L. Environmentally friendly laboratory-scale remediation of PAH-contaminated soil by using pressurized hot water extraction coupled with pressurized hot water oxidation. Green Chem. 2002, 4, 213–219. [Google Scholar]
- Ojinnaka, C.M.; Osuji, L.C.; Achugasim, O. Remediation of hydrocarbons in crude oil-contaminated soils using Fenton’s reagent. Environ. Monit. Assess. 2012, 184, 6527–6540. [Google Scholar] [PubMed]
- Esmaeili, A.; Knox, O.; Juhasz, A.; Wilson, S.C. Advancing prediction of polycyclic aromatic hydrocarbon bioaccumulation in plants for historically contaminated soils using Lolium multiflorum and simple chemical in-vitro methodologies. Sci. Total Environ. 2021, 772, 144783. [Google Scholar]
- Li, W.; Orozco, R.; Camargos, N.; Liu, H. Mechanisms on the Impacts of Alkalinity, pH, and Chloride on Persulfate-Based Groundwater Remediation. Environ. Sci. Technol. 2017, 51, 3948–3959. [Google Scholar]
- Zhang, J.; Li, Y.F.; Li, M. Experimental Investigation on Removal Efficiency of Reactive Red X-3B in Dye Wastewater by Potassium Ferrate. Liaoning Chem. Ind. 2011, 40, 120–122. (In Chinese) [Google Scholar]
- Cavanagh, B.A.; Johnson, P.C.; Daniels, E.J. Reduction of diffusive contaminant emissions from a dissolved source in a lower permeability layer by sodium persulfate treatment. Environ. Sci. Technol. 2014, 48, 14582–14589. [Google Scholar]
- Gul, S.; Miano, T.F.; Mujeeb, A.; Chachar, M.; Majeedano, M.I.; Murtaza, G.; Ahmed, W.; Khanzada, Y.A.; Ansari, M. Advancements in nutraceutical delivery: Integrating nanotechnology and microencapsulation for enhanced efficacy and bioavailability. Matrix Sci. Pharma 2024, 8, 1–6. [Google Scholar] [CrossRef]
- Paes, F.E.R.; Sabino, L.B.D.S.; da Silva, L.M.R.; da Silva, I.J.; Ricardo, N.M.P.S.; de Brito, D.H.A.; de Menezes, F.L.; de Figueiredo, R.W. Anthocyanins extracted from Jamelon fruits (Syzygium cumini L.): Effect of microencapsulation on the properties and bioaccessibility. S. Afr. J. Bot. 2024, 166, 423–431. [Google Scholar]
- Shen, J.; Zhang, M.; Yang, C. Microencapsulation of ginger essential oil using mung bean protein isolate-chitosan complex coacervates: Application in the preservation of crab meatballs and the prediction of shelf life. Food Chem. 2024, 449, 139263. [Google Scholar] [PubMed]
- Davis, E.; Walker, T.R.; Adams, M.; Willis, R. Characterization of polycyclic aromatic hydrocarbons (PAHs) in small craft harbour (SCH) sediments in Nova Scotia, Canada. Mar. Pollut. Bull. 2018, 137, 285–294. [Google Scholar] [PubMed]
- Li, M.; Yin, H.; Zhu, M.; Yu, Y.; Lu, G.; Dang, Z. Co-metabolic biochar-promoted biodegradation of mixed PAHs by highly efficient microbial consortium QY1. J. Environ. Sci. 2021, 107, 65–76. [Google Scholar]
- Saleh, S.M.; Farhan, F.J.; Khwedem, A.A.; Al-Saad, H.T.; Zahraal-Hello, A. Assessment of polycyclic aromatic hydrocarbons (PAHs) in water and sediments at south part of Alhammer Marsh, southern Iraq. Poll Res. 2021, 40, 79–87. [Google Scholar]
- Dhar, K.; Panneerselvan, L.; Venkateswarlu, K.; Megharaj, M. Efficient bioremediation of PAHs-contaminated soils by a methylotrophic enrichment culture. Biodegradation 2022, 33, 575–591. [Google Scholar] [PubMed]
- Chen, T.; Dong, Y.; Huang, W.; Ma, Y. Dynamics of microbial community and functional genes during bioremediation of PAHs-contaminated soil by two biostimulants. Biochem. Eng. J. 2024, 208, 109356. [Google Scholar]
- Wang, C.P.; Li, J.; Jiang, Y.; Zhang, Z.Y. Enhanced bioremediation of field agricultural soils contaminated with PAHs and OCPs. Int. J. Environ. Res. 2014, 8, 1271–1278. [Google Scholar]
- Davis, E.; Walker, T.R.; Adams, M.; Willis, R. Estimating PAH sources in harbor sediments using diagnostic ratios. Rem. J. 2019, 29, 51–62. [Google Scholar]
- Davis, E.; Walker, T.R.; Adams, M.; Willis, R.; Norris, G.A.; Henry, R.C. Source apportionment of polycyclic aromatic hydrocarbons (PAHs) in small craft harbor (SCH) surficial sediments in Nova Scotia, Canada. Sci. Total Environ. 2019, 691, 528–537. [Google Scholar]
- Han, X.M.; Liu, Y.R.; Zheng, Y.M.; Zhang, X.X.; He, J.Z. Response of bacterial pdo1, nah, and C12O genes to aged soil PAH pollution in a coke factory area. Environ. Sci. Pollut. Res. 2014, 21, 9754–9763. [Google Scholar]
- Sun, J.; Pan, L.; Tsang, D.C.W.; Zhan, Y.; Zhu, L.; Li, X. Organic contamination and remediation in the agricultural soils of China: A critical review. Sci. Total Environ. 2018, 615, 724–740. [Google Scholar] [PubMed]
- Stamatelopoulou, A.; Dasopoulou, M.; Bairachtari, K.; Karavoltsos, S.; Maggos, T. Contamination and Potential Risk Assessment of Polycyclic Aromatic Hydrocarbons (PAHs) and heavy metals in house settled dust collected from residences of young children. Appl. Sci. 2021, 11, 1479. [Google Scholar] [CrossRef]
- Wang, Y.; Nie, M.; Diwu, Z.; Chang, F.; Nie, H.; Zhang, B.; Bai, X.; Yin, Q. Toxicity evaluation of the metabolites derived from the degradation of phenanthrene by one of a soil ubiquitous PAHs-degrading strain Rhodococcus qingshengii FF. J. Hazard. Mater. 2021, 415, 125657. [Google Scholar] [CrossRef] [PubMed]
- Ma, T.T.; Luo, Y.M.; Christie, P.; Teng, Y.; Liu, W.X. Removal of phthalic esters from contaminated soil using different cropping systems: A field study. Eur. J. Soil Biol. 2012, 50, 76–82. [Google Scholar] [CrossRef]
- Wang, H.; Zhao, Y.; Muhammad, A.; Liu, C.; Luo, Q.; Wu, H.; Wang, X.; Zheng, X.; Wang, K.; Du, Y. Influence of celery on the remediation of PAHs contaminated farm soil. Soil Sediment Contam. 2019, 28, 200–212. [Google Scholar] [CrossRef]
- Zheng, X.; Ding, H.; Xu, X.; Liang, B.; Liu, X.; Zhao, D.; Sun, L. In situ phytoremediation of polycyclic aromatic hydrocarbon-contaminated agricultural greenhouse soil using celery. Environ. Technol. 2021, 42, 3329–3337. [Google Scholar] [CrossRef]
- Falciglia, P.P.; De Guidi, G.; Catalfo, A.; Vagliasindi, F.G.A. Remediation of soils contaminated with PAHs and nitro-PAHs using microwave irradiation. Chem. Eng. J. 2016, 296, 162–172. [Google Scholar] [CrossRef]
- Jia, J.L.; Wang, B.B.; Wu, Y.; Niu, Z.; Ma, X.Y.; Yu, Y.; Hou, P. Environmental risk controllability and management of VOCs during remediation of contaminated sites. Soil Sed. Contam. 2016, 25, 13–25. [Google Scholar] [CrossRef]
- Lim, M.W.; Von Lau, E.; Poh, P.E. A comprehensive guide of remediation technologies for oil contaminated soil—Present works and future directions. Mar. Pollut. Bull. 2016, 109, 14–45. [Google Scholar]
- Kolthoff, I.M.; Medalia, A.I.; Raaen, H.P. The Reaction between Ferrous Iron and Peroxides. IV. Reaction with Potassium Persulfate1a. J. Am. Chem. Soc. 1951, 73, 1733–1739. [Google Scholar] [CrossRef]
- Li, C.Q.; Zou, Y.C.; Jia, X.N. Research progress in activation methods of persulfate and degradation mechanism of organic pollutants by persulfate advanced oxidation process. Chem. Bioeng. 2022, 39, 1–6, 27. (In Chinese) [Google Scholar]
- Tao, S.; Wang, W.T.; Liu, W.X.; Zuo, Q.; Wang, X.L.; Wang, R.; Wang, B.; Shen, G.F.; Yang, Y.H.; He, J.S. Polycyclic aromatic hydrocarbons and organochlorine pesticides in surface soils from the Qinghai-Tibetan plateau. J. Environ. Monit. 2011, 13, 175–181. [Google Scholar] [CrossRef] [PubMed]
- Fan, F.Q.; Dou, J.F.; Ding, A.Z.; Chen, H.Y.; Du, Y.C. Measurement of high molecular weight polycyclic aromatic hydrocarbons in soil using ultrasonic extraction and HPLC. J. Beijing Norm. Univ. (Nat. Sci.) 2011, 47, 296–299. [Google Scholar]
- Shi, Z.; Tao, S.; Pan, B.; Fan, W.; He, X.C.; Zuo, Q.; Wu, S.P.; Li, B.G.; Cao, J.; Liu, W.X.; et al. Contamination of rivers in Tianjin, China by polycyclic aromatic hydrocarbons. Environ. Pollut. 2005, 134, 97–111. [Google Scholar] [CrossRef]
- Zhang, H.L.; Sun, L.N.; Sun, T.H.; Li, H.Y.; Luo, Q. Spatial distribution and seasonal variation of polycyclic aromatic hydrocarbons (PAHs) contaminations in surface water from the Hun River, Northeast China. Environ. Monit. Assess. 2013, 185, 1451–1462. [Google Scholar] [CrossRef]
- Wang, X.; Sun, L.; Wang, H.; Wu, H.; Chen, S.; Zheng, X. Surfactant-enhanced bioremediation of DDTs and PAHs in contaminated farmland soil. Environ. Technol. 2018, 39, 1733–1744. [Google Scholar] [CrossRef]
- Li, F.Y.; Xie, Y.; Wang, Y.; Fan, X.J.; Cai, Y.B.; Mei, Y.Y. Improvement of dyes degradation using hydrofluoric acid modified biochar as persulfate activator. Environ. Pollut. Bioavailab. 2019, 31, 32–37. [Google Scholar] [CrossRef]
- Dionysiou, D.; Anipsitakis, G.P. Radical generation by the interaction of transition metals with common oxidants. Environ. Sci. Technol. 2004, 38, 3705–3712. [Google Scholar]
- Liang, C.; Su, H. Identification of Sulfate and Hydroxyl Radicals in Thermally Activated Persulfate. Ind. Eng. Chem. Res. 2009, 48, 5558–5562. [Google Scholar] [CrossRef]
- Neta, P.; Madhavan, V.; Zemel, H.; Fessenden, R.W. Rate constants and mechanism of reaction of SO4−· with aromatic compounds. J. Am. Chem. Soc. 1977, 99, 163–164. [Google Scholar] [CrossRef]
- Buxton, G.V.; Greenstock, C.L.; Helman, W.P.; Ross, A.B. Critical review of rate constants for reactions of hydrated electrons, hydrogen atoms and hydroxyl radicals (·OH/·O−) in aqueous solution. J. Phys. Chem. Ref. Data 1988, 17, 513–780. [Google Scholar] [CrossRef]
- Teel, A.L.; Ahmad, M.; Watts, R.J. Persulfate activation by naturally occurring trace minerals. J. Hazard. Mater. 2011, 196, 153–159. [Google Scholar] [CrossRef] [PubMed]
- Ye, M.; Yuan, B.; Lan, H.; Fu, M. Preparation and characterization of embedded potassiumferrate for controlled release. Chin. High Technol. Lett. 2008, 18, 201–205. (In Chinese) [Google Scholar]
- Li, D.; Wu, H.; Huang, W.; Guo, L.; Dou, H. Microcapsule of sweet orange essential oil encapsulated in beta-cyclodextrin improves the release behaviours in vitro and in vivo. Eur. J. Lipid Sci. Technol. 2018, 120, 1700521. [Google Scholar] [CrossRef]
- Ma, X.C.; Liu, Y.J.; Liu, H.; Li, L.Z. Preparation and thermal physical properties of paraffin@TiO2/CNTs composite phase change materials. J. Zhejiang Univ. Technol. 2020, 48, 85–89. (In Chinese) [Google Scholar]
- Xia, Z.K.; Lian, S.X.; Yin, D.L.; Li, C.Z.; Zhang, H.J. Stearic acid coating for CaS: Eu Phosphor. J. Nat. Sci. Hunan Norm. Univ. 2007, 30, 64–67. (In Chinese) [Google Scholar]
- Jiang, Z.M.; Bai, L.N.; Yang, N.; Feng, Z.B.; Tian, B. Stability of β-carotene microcapsules with Maillard reaction products derived from whey protein isolate and galactose as coating materials. J. Zhejiang Univ.-Sci. B (Biomed. Biotechnol.) 2017, 10, 94–104. (In Chinese) [Google Scholar] [CrossRef]
- Lashgari, S.; Mahdavian, A.R.; Arabi, H.; Ambrogi, V.; Marturano, V. Preparation of acrylic PCM microcapsules with dual responsivity to temperature and magnetic field changes. Eur. Polym. J. 2018, 101, 18–28. [Google Scholar] [CrossRef]
- Yang, Y.; Zhang, Q.; Peng, C.; Wu, B.; Xu, J.; Ma, F.; Gu, B. Sustained-Release of Sodium Persulfate Composite and Degradation of 2020, 2,4–Dinitrotoluene. Res. Environ. Sci 2020, 33, 769–776. (In Chinese) [Google Scholar]
- Li, Q.G.; Yan, X.M.; Chen, J.L.; Shu, X.G.; Jia, P.Y.; Liang, X.J. Preparation and characterization of potassium monopersulfate/ethyl cellulose microcapsules and their sustained release performance. J. Renew. Mater. 2021, 9, 1673–1684. [Google Scholar] [CrossRef]
- Ao, Z.; Xu, R.; Xie, X. Synthesis and properties of persulfate microcapsule slow-released materials. Saf. Environ. Eng. 2018, 25, 25–29, 35. (In Chinese) [Google Scholar]
- Gao, S.X.; Zhang, N.; Chen, L. Degradation of tetracycline by activated peroxodisulfate using a sulfur-modified iron-based material. Water Sci. Technol. J. Int. Assoc. Water Pollut. Res. 2023, 87, 2905–2916. [Google Scholar] [CrossRef] [PubMed]
- Xiao, S.; Zhang, L.N.; Zhou, L.A.; Zhong, H.; Brusseau, M.L.; Li, Y.; Wang, Y.K.; Liu, G.S.; Zhang, J.T. The long-term effect of Fe3O4 in activating persulfate to degrade refractory organic contaminants for groundwater remediation. Chem. Eng. J. 2024, 482, 148801. [Google Scholar] [CrossRef]
- Zhang, M.; Feng, M.Y.; Xu, Z.Q.; Li, J.N.; Peng, C. Electrokinetically-delivered persulfate coupled with thermal conductive heating for remediation of petroleum hydrocarbons contaminated low permeability soil. Chemosphere 2024, 356, 141914. [Google Scholar] [CrossRef] [PubMed]
- Mu, R.J.; Yuan, Y.; Wang, L.; Ni, Y.; Li, M.; Chen, H.; Pang, J. Microencapsulation of Lactobacillus acidophilus with konjac glucomannan hydrogel. Food Hydrocoll. 2017, 76, 42–48. [Google Scholar] [CrossRef]
- Xu, Y.; Zhang, H.; Wei, Z.; Zhang, X.; Zhao, C.; Li, H.; Hu, F.; Xu, L. Effects of sulfate radical advanced oxidation technology on PAHs remediation in contaminated sites. Soils 2020, 52, 532–538. (In Chinese) [Google Scholar]
- Desalegn, B.; Megharaj, M.; Chen, Z.; Naidu, R. Green mango peel-nanozerovalent iron activated persulfate oxidation of petroleum hydrocarbons in oil sludge contaminated soil. Environ. Technol. Innov. 2018, 11, 142–152. [Google Scholar] [CrossRef]
- Wan, Z.; Sun, Y.; Tsang, D.C.W.; Yu, I.K.M.; Fan, J.J.; Clark, J.H.; Zhou, Y.Y.; Cao, X.D.; Gao, B.; Ok, Y.S. A sustainable biochar catalyst synergized with copper heteroatoms and CO2 for singlet oxygenation and electron transfer routes. Green Chem. 2019, 21, 4800–4814. [Google Scholar] [CrossRef]
- Wang, C.; Li, X.; Dong, F.; Wei, L.; Yang, L.; Sun, C.; Lin, A. Changes in polyaromatic hydrocarbons contaminated soil properties and phytotoxicity under chemical oxidation. J. Beijing Univ. Chem. Technol. (Nat. Sci.) 2012, 39, 95–100. (In Chinese) [Google Scholar]
- Wrenn, B.A. Venosa AD. Selective enumeration of aromatic and aliphatic hydrocarbon degrading bacteria by a most-probable-number procedure. Can. J. Microbiol. 1996, 42, 252–258. [Google Scholar] [CrossRef]







| Ratio of Core to Wall (Mass Ratio) | Kinetic Equation | R2 | Time (50% Release Rate)/d | Time (90% Release Rate)/d |
|---|---|---|---|---|
| 1:3 | Q = 5.5471·t0.458 | 0.9988 | 5 | 18.2 |
| 1:2 | Q = 7.2911·t0.492 | 0.9997 | 2.1 | 6.8 |
| 1:1 | Q = 9.2343·t0.4761 | 0.9973 | 1.4 | 4.9 |
Disclaimer/Publisher’s Note: The statements, opinions and data contained in all publications are solely those of the individual author(s) and contributor(s) and not of MDPI and/or the editor(s). MDPI and/or the editor(s) disclaim responsibility for any injury to people or property resulting from any ideas, methods, instructions or products referred to in the content. |
© 2024 by the authors. Licensee MDPI, Basel, Switzerland. This article is an open access article distributed under the terms and conditions of the Creative Commons Attribution (CC BY) license (https://creativecommons.org/licenses/by/4.0/).
Share and Cite
Wu, H.; Yang, Y.; Sun, L.; Wang, Y.; Wang, H.; Wang, X. Preparation of Slow-Release Potassium Persulfate Microcapsules and Application in Degradation of PAH-Contaminated Soil. Water 2024, 16, 3045. https://doi.org/10.3390/w16213045
Wu H, Yang Y, Sun L, Wang Y, Wang H, Wang X. Preparation of Slow-Release Potassium Persulfate Microcapsules and Application in Degradation of PAH-Contaminated Soil. Water. 2024; 16(21):3045. https://doi.org/10.3390/w16213045
Chicago/Turabian StyleWu, Hao, Yuting Yang, Lina Sun, Yinggang Wang, Hui Wang, and Xiaoxu Wang. 2024. "Preparation of Slow-Release Potassium Persulfate Microcapsules and Application in Degradation of PAH-Contaminated Soil" Water 16, no. 21: 3045. https://doi.org/10.3390/w16213045
APA StyleWu, H., Yang, Y., Sun, L., Wang, Y., Wang, H., & Wang, X. (2024). Preparation of Slow-Release Potassium Persulfate Microcapsules and Application in Degradation of PAH-Contaminated Soil. Water, 16(21), 3045. https://doi.org/10.3390/w16213045
