Spatial Distribution, Leaching Characteristics, and Ecological and Health Risk Assessment of Potential Toxic Elements in a Typical Open-Pit Iron Mine Along the Yangzi River
Abstract
1. Introduction
2. Materials and Methods
2.1. Study Area
2.2. Sampling and Analysis
2.3. Leaching Test
2.3.1. Leaching Potential Test
2.3.2. Dynamic Leaching Test
2.4. Contamination Assessment
2.4.1. Nemerow Integrated Pollution Index
2.4.2. Geo-Accumulation Index
2.4.3. Potential Ecological Risk Assessment
2.5. Health Risk Assessment
3. Results and Discussion
3.1. Contents and Fractionation of PTEs in Mine Soils
3.2. Spatial Distribution of PTEs
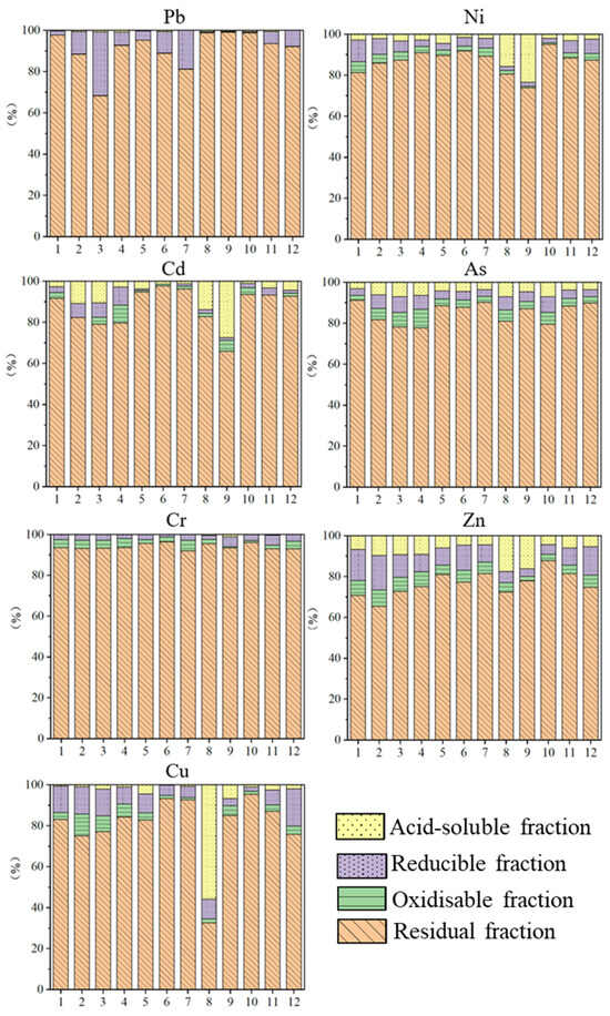
3.3. Sequential Extraction
3.4. Leaching Potential and Dynamic Leaching Tests
3.4.1. Leaching Potential of PTEs
3.4.2. Dynamic Leaching of PTEs
3.5. Contamination Assessment of PTEs
3.5.1. Pollution Index of PTEs
3.5.2. Geo-Accumulation Index of PTEs
3.5.3. Potential Ecological Risk Index of PTEs
3.6. Health Risk Assessment of PTEs
3.7. Limitations and Perspectives
4. Conclusions
Supplementary Materials
Author Contributions
Funding
Institutional Review Board Statement
Informed Consent Statement
Data Availability Statement
Conflicts of Interest
References
- Davila, R.B.; Fontes MP, F.; Pacheco, A.A.; da Silva Ferreira, M. Heavy metals in iron ore tailings and flood plain soils affected by the Samarcodam collapse in Brazil. Sci. Total Environ. 2020, 709, 11. [Google Scholar] [CrossRef] [PubMed]
- Qiao, P.; Wang, S.; Li, J.; Zhao, Q.; Wei, Y.; Lei, M.; Yang, J.; Zhang, Z. Process, influencing factors, and simulation of the lateral transport of heavy metals in surface runoff in a mining area driven by rainfall: A review. Sci. Total Environ. 2023, 857, 159119. [Google Scholar] [CrossRef]
- Qin, H.; Takeichi, Y.; Nitani, H.; Terada, Y.; Takahashi, Y. Tellurium Distribution and Speciation in Contaminated Soils from Abandoned Mine Tailings: Comparison with Selenium. Environ. Sci. Technol. 2017, 51, 6027–6035. [Google Scholar] [CrossRef]
- Kefeni, K.K.; Msagati, T.A.M.; Mamba, B.B. Acid mine drainage: Prevention, treatment options, and resource recovery: A review. J. Clean. Prod. 2017, 151, 475–493. [Google Scholar]
- Du, B.; Zhou, J.; Lu, B.; Zhang, C.; Li, D.; Zhou, J.; Jiao, S.; Zhao, K.; Zhang, H. Environmental and human health risks from cadmium exposure near an active lead-zinc mine and a copper smelter, China. Sci. Total Environ. 2020, 720, 137585. [Google Scholar] [CrossRef] [PubMed]
- Zhao, F.; Ma, Y.; Zhu, Y.-G.; Tang, Z.; McGrath, S.P. Soil Contamination in China: Current Status and Mitigation Strategies. Environ. Sci. Technol. 2015, 49, 750–759. [Google Scholar] [PubMed]
- Yu, J.; Liu, X.; Yang, B.; Li, X.; Wang, P.; Yuan, B.; Wang, M.; Liang, T.; Shi, P.; Li, R.; et al. Major influencing factors identification and probabilistic health risk assessment of soil potentially toxic elements pollution in coal and metal mines across China: A systematic review. Ecotoxicol. Environ. Saf. 2024, 274, 116231. [Google Scholar]
- Jiang, Y.; Guo, Q.; Deng, Y. Research progress in the distribution of heavy metals in sediments and soils in the Yangtze River Basin. Chin. J. Ecol. 2022, 41, 804–812. [Google Scholar]
- Rodríguez-Sierra, C.J.; Adelman, D.; Vojta, Š.; Mansilla-Rivera, I.; Lohmann, R. Passive Sampling of Persistent Organic Pollutants in Four Coastal Aquatic Systems of Puerto Rico: A Pilot Study. Bull. Environ. Contam. Toxicol. 2019, 103, 770–775. [Google Scholar] [CrossRef]
- Alegbe, M.J.; Ayanda, O.; Ndungu, P.; Nechaev, A.; Fatoba, O.; Petrik, L. Physicochemical characteristics of acid mine drainage, simultaneous remediation and use as feedstock for value added products. J. Environ. Chem. Eng. 2019, 7, 103097. [Google Scholar] [CrossRef]
- Luo, Y.; Zheng, Z.; Wu, P.; Wu, Y. Effect of different direct revegetation strategies on the mobility of heavy metals in artificial zinc smelting waste slag: Implications for phytoremediation. Chemosphere 2022, 286, 131678. [Google Scholar] [PubMed]
- Mohan, D.; Chander, S. Removal and recovery of metal ions from acid mine drainage using lignite—A low cost sorbent. J. Hazard. Mater. 2006, 137, 1545–1553. [Google Scholar] [CrossRef] [PubMed]
- Tu, Z.H.; Wu, Q.; He, H.; Zhou, S.; Liu, J.; He, H.; Liu, C.; Dang, Z.; Reinfelder, J.R. Reduction of acid mine drainage by passivation of pyrite surfaces: A review. Sci. Total Environ. 2022, 832, 155116. [Google Scholar] [CrossRef]
- Tabelin, C.B.; Uyama, A.; Tomiyama, S.; Villacorte-Tabelin, M.; Phengsaart, T.; Silwamba, M.; Jeon, S.; Park, I.; Arima, T.; Igarashi, T. Geochemical audit of a historical tailings storage facility in Japan: Acid mine drainage formation, zinc migration and mitigation strategies. J. Hazard. Mater. 2022, 438, 129453. [Google Scholar]
- He, M.; Wang, Z.; Tang, H. Spatial and temporal patterns of acidity and heavy metals in predicting the potential for ecological impact on the Le An river polluted by acid mine drainage. Sci. Total Environ. 1997, 206, 67–77. [Google Scholar] [CrossRef] [PubMed]
- Akcil, A.; Koldas, S. Acid Mine Drainage (AMD): Causes, treatment and case studies. J. Clean. Prod. 2006, 14, 1139–1145. [Google Scholar] [CrossRef]
- Skousen, J.G.; Ziemkiewicz, P.F.; McDonald, L.M. Acid mine drainage formation, control and treatment: Approaches and strategies. Extr. Ind. Soc. 2019, 6, 241–249. [Google Scholar] [CrossRef]
- Chen, R.; Han, L.; Liu, Z.; Zhao, Y.; Li, R.; Xia, L.; Fan, Y. Assessment of Soil-Heavy Metal Pollution and the Health Risks in a Mining Area from Southern Shaanxi Province, China. Toxics 2022, 10, 385. [Google Scholar] [CrossRef]
- Lim, M.; Han, G.-C.; Ahn, J.-W.; You, K.-S.; Kim, H.-S. Leachability of Arsenic and Heavy Metals from Mine Tailings of Abandoned Metal Mines. Int. J. Environ. Res. Public Health 2009, 6, 2865–2879. [Google Scholar] [CrossRef]
- Nguyen, X.P.; Islam, M.N.; Jo, Y.-T.; Park, J.-H. Variation of Cu and Zn Fractionation and Mobility in Mine Tailing Soil Due to Experimental Leaching. Soil Sediment Contam. Int. J. 2017, 26, 210–219. [Google Scholar] [CrossRef]
- Zha, F.; Zhu, F.; Xu, L.; Kang, B.; Yang, C.; Zhang, W.; Zhang, J.; Liu, Z. Laboratory study of strength, leaching, and electrical resistivity characteristics of heavy-metal contaminated soil. Environ. Earth Sci. 2021, 80, 184. [Google Scholar] [CrossRef]
- Wang, F.; Li, W.; Wang, H.; Hu, Y.; Cheng, H. The leaching behavior of heavy metal from contaminated mining soil: The effect of rainfall conditions and the impact on surrounding agricultural lands. Sci. Total Environ. 2024, 914, 169877. [Google Scholar] [CrossRef] [PubMed]
- Tian, S.; Liu, Z.; Mao, Q.; Ye, H.; Tian, C.; Zhu, Y.; Zhang, L. Leaching characteristics and environmental impact of heavy metals in tailings under rainfall conditions: A case study of an ion-adsorption rare earth mining area. Ecotoxicol. Environ. Saf. 2024, 281, 116642. [Google Scholar] [CrossRef] [PubMed]
- Li, W.; Deng, Y.; Wang, H.; Hu, Y.; Cheng, H. Potential risk, leaching behavior and mechanism of heavy metals from mine tailings under acid rain. Chemosphere 2024, 350, 140995. [Google Scholar] [CrossRef] [PubMed]
- Xu, S.; Wang, W. The significance of different scale copper geochemical anomalies and large ore deposit prediction in the middle-lower Yangtze River. Earth Sci. Front. 2012, 19, 84–92. [Google Scholar]
- Yang, H.; Wang, F.; Yu, J.; Huang, K.; Zhang, H.; Fu, Z. An improved weighted index for the assessment of heavy metal pollution in soils in Zhejiang, China. Environ. Res. 2021, 192, 110246. [Google Scholar] [CrossRef]
- Liu, B.; Xu, M.; Wang, J.; Wang, Z.; Zhao, L. Ecological risk assessment and heavy metal contamination in the surface sediments of Haizhou Bay, China. Mar. Pollut. Bull. 2021, 163, 111954. [Google Scholar] [CrossRef]
- Ouyang, X.; Wang, Z.; Liu, X. Distribution patterns, risk assessment and potential sources of heavy metals in sediment in the Qiongzhou Strait, China. Mar. Pollut. Bull. 2024, 203, 116481. [Google Scholar] [CrossRef] [PubMed]
- Ure, A.M.; Quevauviller, P.; Griepink, B. Speciation of heavy metals in soils and sediments an account of the improvement and harmonization of extraction techniques undertaken under the auspices of the bcr of the commission of the european communities. Int. J. Environ. Anal. Chem. 1993, 51, 135–151. [Google Scholar] [CrossRef]
- Guillén, M.T.; Delgado, J.; Albanese, S.; Nieto, J.M.; Lima, A.; De Vivo, B. Heavy metals fractionation and multivariate statistical techniques to evaluate the environmental risk in soils of Huelva Township (SW Iberian Peninsula). J. Geochem. Explor. 2012, 119–120, 32–43. [Google Scholar] [CrossRef]
- Huang, M.; Feng, H.; Shen, D.; Li, N.; Chen, Y.; Shentu, J. Leaching Behavior of Heavy Metals from Cement Pastes Using a Modified Toxicity Characteristic Leaching Procedure (TCLP). Bull. Environ. Contam. Toxicol. 2016, 96, 354–360. [Google Scholar] [CrossRef] [PubMed]
- USEPA. Liquid-Solid Partitioning as a Function of Liquid-solid Ratio for Constituents in Solid Materials Using an Up-Flow Percolation Column Procedure; USEPA: Washington, DC, USA, 2013.
- Jamali, M.K.; Kazi, T.G.; Arain, M.B.; Afridi, H.I.; Jalbani, N.; Memon, A.R.; Shah, A. Heavy metals from soil and domestic sewage sludge and their transfer to Sorghum plants. Environ. Chem. Lett. 2007, 5, 209–218. [Google Scholar] [CrossRef]
- Yi, Y.; Yang, Z.; Zhang, S. Ecological risk assessment of heavy metals in sediment and human health risk assessment of heavy metals in fishes in the middle and lower reaches of the Yangtze River basin. Environ. Pollut. 2011, 159, 2575–2585. [Google Scholar] [CrossRef]
- Muller, G. Index of Geoaccumulation in Sediments of the Rhine River. GeoJournal 1969, 2, 109–118. [Google Scholar]
- Loska, K.; Wiechuła, D.; Korus, I. Metal contamination of farming soils affected by industry. Environ. Int. 2004, 30, 159–165. [Google Scholar] [CrossRef]
- Hakanson, L. An ecological risk index for aquatic pollution control.a sedimentological approach. Water Res. 1980, 14, 975–1001. [Google Scholar] [CrossRef]
- Xiao, X.; Zhang, J.; Wang, H.; Han, X.; Ma, J.; Ma, Y.; Luan, H. Distribution and health risk assessment of potentially toxic elements in soils around coal industrial areas: A global meta-analysis. Sci. Total Environ. 2020, 713, 135292. [Google Scholar]
- USEPA. Exposure Factors Handbook (Final Report); US Environmental Protection Agency: Washington, DC, USA, 2011.
- Kumar, V.; Parihar, R.D.; Sharma, A.; Bakshi, P.; Sidhu, G.P.S.; Bali, A.S.; Karaouzas, I.; Bhardwaj, R.; Thukral, A.K.; Gyasi-Agyei, Y.; et al. Global evaluation of heavy metal content in surface water bodies: A meta-analysis using heavy metal pollution indices and multivariate statistical analyses. Chemosphere 2019, 236, 124364. [Google Scholar] [PubMed]
- Heydartaemeh, M.; Karamoozian, M.; Potgieter, H. Application of Nano High-Entropy Alloys to Reduce Energy Consumption and Wear of Copper Oxide and High-Grade Iron Ores in Heavy Mining Industries—A Case Study. Minerals 2019, 10, 16. [Google Scholar] [CrossRef]
- Liu, S.; Hou, S.; He, K.; Yang, W. L-Kurtosis and its application for fault detection of rolling element bearings. Measurement 2018, 116, 523–532. [Google Scholar] [CrossRef]
- Zhang, S.Q.; Zhang, X.; Guo, Z.; Ren, D.; Zhang, X.; Wang, S. Study on the remediation of heavy metal contaminated soils by citric acid and polyepoxysuccinic acid complex leaching. Environ. Technol. 2024, 45, 705–715. [Google Scholar] [CrossRef] [PubMed]
- Faisal, M.; Wu, Z.; Wang, H.; Hussain, Z.; Azam, M.I.; Muzammil, M. Assessment and source apportionment of water-soluble heavy metals in road dust of Zhengzhou, China. Environ. Sci. Pollut. Res. 2022, 29, 68857–68869. [Google Scholar] [CrossRef]
- Montoya-Mayor, R.; Fernández-Espinosa, A.; Seijo-Delgado, I.; Ternero-Rodríguez, M. Determination of soluble ultra-trace metals and metalloids in rainwater and atmospheric deposition fluxes: A 2-year survey and assessment. Chemosphere 2013, 92, 882–891. [Google Scholar] [CrossRef] [PubMed]
- Zimmerman, A.J.; DWeindorf, C.; Cifuentes, A. Heavy Metal and Trace Metal Analysis in Soil by Sequential Extraction: A Review of Procedures. Int. J. Anal. Chem. 2010, 2010, 387803. [Google Scholar] [CrossRef] [PubMed]
- Xu, J.C.; Wang, S.; Yao, T.; She, X.; Gan, Z. Vertical Distributions and Bioavailabilities of Heavy Metals in Soil in An-Tea Plantations in Qimen County, China. Processes 2022, 10, 664. [Google Scholar] [CrossRef]
- Qing, X.; Yutong, Z.; Shenggao, L. Assessment of heavy metal pollution and human health risk in urban soils of steel industrial city (Anshan), Liaoning, Northeast China. Ecotoxicol. Environ. Saf. 2015, 120, 377–385. [Google Scholar] [CrossRef]
- Gómez-Ariza, J.L.; Giráldez, I.; Sánchez-Rodas, D.; Morales, E. Metal readsorption and redistribution during the analytical fractionation of trace elements in oxic estuarine sediments. Anal. Chim. Acta 1999, 399, 295–307. [Google Scholar] [CrossRef]
- Davranche, M.; Bollinger, J. Heavy Metals Desorption from Synthesized and Natural Iron and Manganese Oxyhydroxides: Effect of Reductive Conditions. J. Colloid Interface Sci. 2000, 227, 531–539. [Google Scholar] [CrossRef]
- Meng, Q.P.; Zhang, J.; Zhang, Z.; Wu, T. Influence of ore deposits on river sediment compositions in Dan River drainage, China. J. Geochem. Explor. 2015, 159, 8–19. [Google Scholar] [CrossRef]
- Ding, Q.; Cheng, G.; Wang, Y.; Zhuang, D. Effects of natural factors on the spatial distribution of heavy metals in soils surrounding mining regions. Sci. Total Environ. 2017, 578, 577–585. [Google Scholar] [CrossRef]









| Extraction Steps | Reagent/Concentration/pH | Soil Phase | 
|---|---|---|
| 1 | 0.5 g sample + 20 mL of 0.11 M Acetic acid CH3COOH, pH 2.85 | Exchangeable; water and acid-soluble | 
| 2 | 20 mL 0.5 M NH2OH-HCl, pH 1.5 | Reducible | 
| 3 | 5 mL H2O2 (30% w/v) + 20 mL 1 M CH3COONH4, pH 2 | Oxidizable | 
| 4 | 4 mL aqua regia (HCl:HNO3, 3:1) | Residual | 
| As | Cd | Pb | Ni | Cr | Cu | Zn | pH | |
|---|---|---|---|---|---|---|---|---|
| Min | 29.94 | 0.03 | 14.85 | 4.73 | 19.72 | 23.31 | 38.74 | 2.97 | 
| Mean ± SE a | 50.71 ± 1.59 | 0.13 ± 0.01 | 29.30 ± 0.75 | 14.51 ± 0.44 | 36.30 ± 1.06 | 197.47 ± 16.09 | 74.40 ± 2.63 | 4.23 ± 0.06 | 
| Max | 98.32 | 0.21 | 49.28 | 23.15 | 65.52 | 621.81 | 155.46 | 5.66 | 
| SD b | 19.14 | 0.06 | 9.03 | 5.28 | 12.73 | 193.09 | 31.57 | 0.81 | 
| CV c (%) | 37.74 | 48.49 | 30.82 | 36.40 | 35.06 | 97.79 | 42.44 | 19.23 | 
| Kurtosis | 1.62 | −1.59 | 0.51 | −0.44 | 0.68 | 1.10 | 2.58 | −0.88 | 
| Skewness | 1.32 | −0.06 | 0.78 | −0.22 | 1.01 | 1.50 | 1.56 | 0.14 | 
| Background d | 10.55 | 0.26 | 24.43 | 38.90 | 86.40 | 32.37 | 84.73 | - | 
| Chinese soil guideline (pH ≤ 5.5) e | 40 | 0.3 | 70 | 60 | 150 | 50 | 200 | - | 
| Sampling Sites | Adults | Children | ||
|---|---|---|---|---|
| Noncarcinogenic Risks (HI) | Carcinogenic Risks of As (CR) | Noncarcinogenic Risks (HI) | Carcinogenic Risks of As (CR) | |
| 1 | 0.35 | 6.26 × 10−5 | 2.80 | 4.97 × 10−4 | 
| 2 | 0.27 | 4.72 × 10−5 | 2.12 | 3.74 × 10−4 | 
| 3 | 0.16 | 2.76 × 10−5 | 1.30 | 2.19 × 10−4 | 
| 4 | 0.19 | 3.34 × 10−5 | 1.49 | 2.65 × 10−4 | 
| 5 | 0.23 | 3.71 × 10−5 | 1.82 | 2.94 × 10−4 | 
| 6 | 0.50 | 9.06 × 10−5 | 3.94 | 7.20 × 10−4 | 
| 7 | 0.20 | 3.35 × 10−5 | 1.62 | 2.66 × 10−4 | 
| 8 | 0.38 | 6.25 × 10−5 | 3.04 | 4.96 × 10−4 | 
| 9 | 0.23 | 3.84 × 10−5 | 1.79 | 3.05 × 10−4 | 
| 10 | 0.19 | 3.04 × 10−5 | 1.54 | 2.41 × 10−4 | 
| 11 | 0.23 | 4.03 × 10−5 | 1.84 | 3.20 × 10−4 | 
| 12 | 0.33 | 5.74 × 10−5 | 2.62 | 4.56 × 10−4 | 
| Average | 0.27 | 4.68 × 10−5 | 2.16 | 3.71 × 10−4 | 
| Disclaimer/Publisher’s Note: The statements, opinions and data contained in all publications are solely those of the individual author(s) and contributor(s) and not of MDPI and/or the editor(s). MDPI and/or the editor(s) disclaim responsibility for any injury to people or property resulting from any ideas, methods, instructions or products referred to in the content. | 
© 2024 by the authors. Licensee MDPI, Basel, Switzerland. This article is an open access article distributed under the terms and conditions of the Creative Commons Attribution (CC BY) license (https://creativecommons.org/licenses/by/4.0/).
Share and Cite
Zeng, Y.; Xu, Z.; Dong, B. Spatial Distribution, Leaching Characteristics, and Ecological and Health Risk Assessment of Potential Toxic Elements in a Typical Open-Pit Iron Mine Along the Yangzi River. Water 2024, 16, 3017. https://doi.org/10.3390/w16213017
Zeng Y, Xu Z, Dong B. Spatial Distribution, Leaching Characteristics, and Ecological and Health Risk Assessment of Potential Toxic Elements in a Typical Open-Pit Iron Mine Along the Yangzi River. Water. 2024; 16(21):3017. https://doi.org/10.3390/w16213017
Chicago/Turabian StyleZeng, Yifan, Zuxin Xu, and Bin Dong. 2024. "Spatial Distribution, Leaching Characteristics, and Ecological and Health Risk Assessment of Potential Toxic Elements in a Typical Open-Pit Iron Mine Along the Yangzi River" Water 16, no. 21: 3017. https://doi.org/10.3390/w16213017
APA StyleZeng, Y., Xu, Z., & Dong, B. (2024). Spatial Distribution, Leaching Characteristics, and Ecological and Health Risk Assessment of Potential Toxic Elements in a Typical Open-Pit Iron Mine Along the Yangzi River. Water, 16(21), 3017. https://doi.org/10.3390/w16213017
 
        



 
       