Study on the Driving Mechanism of Ecohydrological Regime in the Wandering Section of the Lower Yellow River
Abstract
1. Introduction
2. Methodology
2.1. Study Area and Data
2.2. Trend and Mutability Characteristics Analysis
2.3. Hydrological Index Characteristics Analysis
2.4. Periodic Characteristic Analysis
2.5. Driving Mechanism Analysis
3. Results
3.1. Trend and Disturbance Characteristics
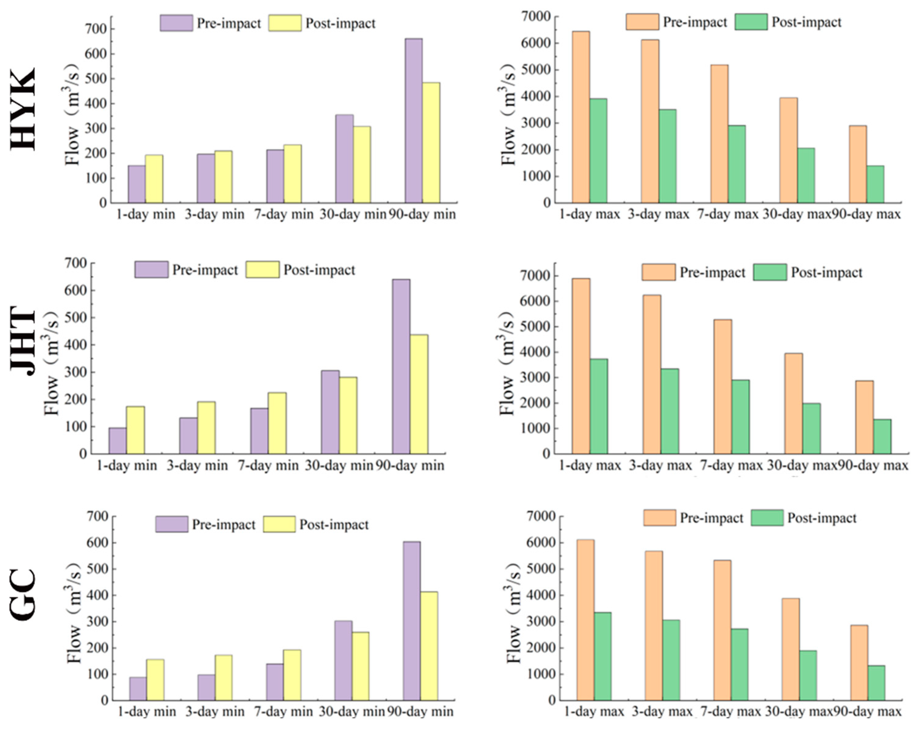
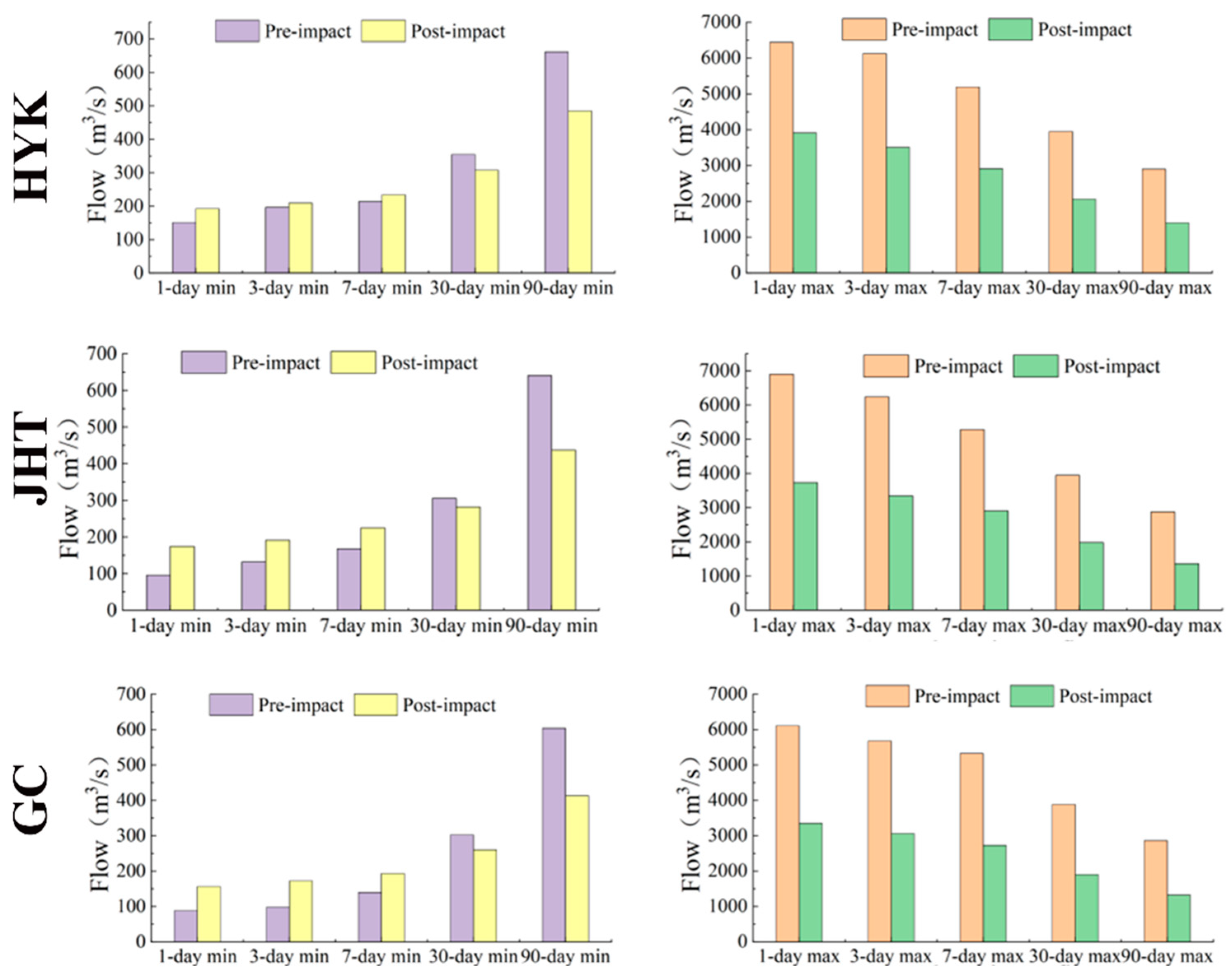
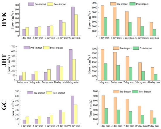
3.2. Characteristics of the Hydrological Regime
3.3. Periodic Characteristics of the Hydrological Regime
3.4. Hydrological Change Degree Characteristics
3.5. Attribution Analysis Based on SCRCQ
3.6. Change Degree Analysis of Hydrological Index in Yellow River Basin
3.6.1. Variation Characteristics of Monthly and Annual Maximum Flow
3.6.2. Characteristics of the Evolution of Other Hydrological Indicators
4. Discussion
4.1. Analysis of HYK Driving Mechanism Based on Sensitivity Analysis
4.2. Periodic Resonance Law along the Way
4.3. Characteristics of Land Use Transformation in the Yellow River Basin
5. Conclusions
- The runoff at the three hydrological stations in the lower Yellow River Basin—Huayuankou (HYK), Jiahetan (JHT), and Gaocun (GC)—all exhibit significant downward trends on an annual scale. The year of abrupt change for all three stations is 1985, which is further validated by the results of the cumulative departure method and the Mann–Kendall test.
- Before and after the abrupt change, the mean annual runoff decreased significantly, and after the year of abrupt change, the rate of decline slowed down and began to increase gradually. The runoff in June showed an upward trend at all three stations, while October was the month with the most significant decline in runoff, indicating the fastest rate of runoff decrease in autumn.
- The runoff series at the HYK, JHT, and GC stations all exhibit similar periodic fluctuations, with major cycles of 5 and 7 years. During the pre-abruption period, there was a clear 5-year primary cycle for runoff at all three stations. However, there were no significant periodic patterns observed during the post-abruption period.
- The hydrological situation in the lower Yellow River Basin experiences a high degree of change, and the degree of flow alteration tends to decrease gradually as the downstream distance increases.
- During period A, the variation in runoff was primarily driven by climatic factors. In period B, however, the change in runoff was primarily influenced by human activities, which increased progressively along the river basin.
Author Contributions
Funding
Data Availability Statement
Acknowledgments
Conflicts of Interest
References
- Cheng, Q.; Zuo, X.; Zhong, F.; Gao, L.; Xiao, S. Runoff Variation Characteristics, Association with Large-Scale Circulation and Dominant Causes in the Heihe River Basin, Northwest China. Sci. Total Environ. 2019, 688, 361–379. [Google Scholar] [CrossRef] [PubMed]
- Carriquiry, J.D.; Sánchez, A.; Camacho-Ibar, V.F. Sedimentation in the Northern Gulf of California after Cessation of the Colorado River Discharge. Sediment. Geol. 2001, 144, 37–62. [Google Scholar] [CrossRef]
- Guo, Q.; Yang, Y.; Xiong, X. Using Hydrologic Simulation to Identify Contributions of Climate Change and Human Activity to Runoff Changes in the Kuye River Basin, China. Environ. Earth Sci. 2016, 75, 417. [Google Scholar] [CrossRef]
- Huang, S.; Chang, J.; Huang, Q.; Chen, Y.; Leng, G. Quantifying the Relative Contribution of Climate and Human Impacts on Runoff Change Based on the Budyko Hypothesis and SVM Model. Water Resour. Manag. 2016, 30, 2377–2390. [Google Scholar] [CrossRef]
- Park, E.; Loc Ho, H.; Van Binh, D.; Kantoush, S.; Poh, D.; Alcantara, E.; Try, S.; Lin, Y.N. Impacts of Agricultural Expansion on Floodplain Water and Sediment Budgets in the Mekong River. J. Hydrol. 2022, 605, 127296. [Google Scholar] [CrossRef]
- Wang, S.; Yan, M.; Yan, Y.; Shi, C.; He, L. Contributions of Climate Change and Human Activities to the Changes in Runoff Increment in Different Sections of the Yellow River. Quat. Int. 2012, 282, 66–77. [Google Scholar] [CrossRef]
- Cui, J.; Jian, S. Spatiotemporal Variation of Runoff and Its Influencing Factors in the Yellow River Basin, China. Water 2023, 15, 2058. [Google Scholar] [CrossRef]
- Zhu, K.; Li, Z.; Duan, L.; Li, Y.; Xu, X. Multiscale Relationships between Monthly Sediment Load and Pertinent Factors in a Typical Karst Mountainous Watershed. J. Hydrol. 2022, 607, 127474. [Google Scholar] [CrossRef]
- Zhang, Z.; Chen, S.; Wan, L.; Cao, J.; Zhang, Q.; Yang, C. The Effects of Landscape Pattern Evolution on Runoff and Sediment Based on SWAT Model. Environ. Earth Sci. 2021, 80, 2. [Google Scholar] [CrossRef]
- Gu, C.; Mu, X.; Gao, P.; Zhao, G.; Sun, W. Changes in Run-off and Sediment Load in the Three Parts of the Yellow River Basin, in Response to Climate Change and Human Activities. Hydrol. Process. 2019, 33, 585–601. [Google Scholar] [CrossRef]
- Li, S.; Yang, G.; Wang, H. The Runoff Evolution and the Differences Analysis of the Causes of Runoff Change in Different Regions: A Case of the Weihe River Basin, Northern China. Sustainability 2019, 11, 5295. [Google Scholar] [CrossRef]
- Wang, J.; Hong, Y.; Gourley, J.; Adhikari, P.; Li, L.; Su, F. Quantitative Assessment of Climate Change and Human Impacts on Long-Term Hydrologic Response: A Case Study in a Sub-Basin of the Yellow River, China. Int. J. Climatol. 2010, 30, 2130–2137. [Google Scholar] [CrossRef]
- Zeng, F.; Ma, M.-G.; Di, D.-R.; Shi, W.-Y. Separating the Impacts of Climate Change and Human Activities on Runoff: A Review of Method and Application. Water 2020, 12, 2201. [Google Scholar] [CrossRef]
- Wang, H.; Wang, W.; Hu, J.; Sang, Y.; Guo, W. Characterization of the Evolution of Runoff-Sediment Relationship in Min River Based on Coupling Coordination Theory. River Res. Appl. 2023, 39, 1067–1083. [Google Scholar] [CrossRef]
- Wang, Q.; Chen, X.; Peng, W.; Liu, X.; Dong, F.; Huang, A.; Wang, W. Changes in Runoff Volumes of Inland Terminal Lake: A Case Study of Lake Daihai. Earth Space Sci. 2021, 8, e2021EA001954. [Google Scholar] [CrossRef]
- He, Y.; Mu, X.; Jiang, X.; Song, J. Runoff Variation and Influencing Factors in the Kuye River Basin of the Middle Yellow River. Front. Environ. Sci. 2022, 10, 877535. [Google Scholar] [CrossRef]
- Ni, Y.; Yu, Z.; Lv, X.; Qin, T.; Yan, D.; Zhang, Q.; Ma, L. Spatial Difference Analysis of the Runoff Evolution Attribution in the Yellow River Basin. J. Hydrol. 2022, 612, 128149. [Google Scholar] [CrossRef]
- Yue, X.; Mu, X.; Zhao, G.; Shao, H.; Gao, P. Dynamic Changes of Sediment Load in the Middle Reaches of the Yellow River Basin, China and Implications for Eco-Restoration. Ecol. Eng. 2014, 73, 64–72. [Google Scholar] [CrossRef]
- Zhao, G.; Tian, P.; Mu, X.; Jiao, J.; Wang, F.; Gao, P. Quantifying the Impact of Climate Variability and Human Activities on Streamflow in the Middle Reaches of the Yellow River Basin, China. J. Hydrol. 2014, 519, 387–398. [Google Scholar] [CrossRef]
- Xu, M.; Wang, G.; Wang, Z.; Hu, H.; Kumar Singh, D.; Tian, S. Temporal and Spatial Hydrological Variations of the Yellow River in the Past 60 Years. J. Hydrol. 2022, 609, 127750. [Google Scholar] [CrossRef]
- Mann, H.B. Nonparametric Tests Against Trend. Econometrica 1945, 13, 245–259. [Google Scholar] [CrossRef]
- Guo, W.; He, N.; Ban, X.; Wang, H. Multi-Scale Variability of Hydrothermal Regime Based on Wavelet Analysis—The Middle Reaches of the Yangtze River, China. Sci. Total Environ. 2022, 841, 156598. [Google Scholar] [CrossRef] [PubMed]
- Wang, H.; Liu, J.; Guo, W. The Variation and Attribution Analysis of the Runoff and Sediment in the Lower Reach of the Yellow River during the Past 60 Years. Water Supply 2021, 21, 3193–3209. [Google Scholar] [CrossRef]
- Richter, B.D.; Baumgartner, J.V.; Powell, J.; Braun, D.P. A Method for Assessing Hydrologic Alteration within Ecosystems. Conserv. Biol. 1996, 10, 1163–1174. [Google Scholar] [CrossRef]
- Richter, B.D.; Baumgartner, J.V.; Braun, D.P.; Powell, J. A Spatial Assessment of Hydrologic Alteration within a River Network. Regul. Rivers Res. Manag. 1998, 14, 329–340. [Google Scholar] [CrossRef]
- Gierszewski, P.J.; Habel, M.; Szmańda, J.; Luc, M. Evaluating Effects of Dam Operation on Flow Regimes and Riverbed Adaptation to Those Changes. Sci. Total Environ. 2020, 710, 136202. [Google Scholar] [CrossRef] [PubMed]
- Lin, K.; Lin, Y.; Liu, P.; He, Y.; Tu, X. Considering the Order and Symmetry to Improve the Traditional RVA for Evaluation of Hydrologic Alteration of River Systems. Water Resour. Manag. 2016, 30, 5501–5516. [Google Scholar] [CrossRef]
- Cohen, M.X. A Better Way to Define and Describe Morlet Wavelets for Time-Frequency Analysis. NeuroImage 2019, 199, 81–86. [Google Scholar] [CrossRef]
- Patel, V.K.; Singh, S.; Singh, V.K. Numerical Wavelets Scheme to Complex Partial Differential Equation Arising from Morlet Continuous Wavelet Transform. Numer. Methods Partial. Differ. Equ. 2021, 37, 1163–1199. [Google Scholar] [CrossRef]
- Xiang, Y.; Yue, J.; Li, Z. Joint Analysis of Seasonal Oscillations Derived from GPS Observations and Hydrological Loading for Mainland China. Adv. Space Res. 2018, 62, 3148–3161. [Google Scholar] [CrossRef]
- Vazifehkhah, S.; Kahya, E. Hydrological and Agricultural Droughts Assessment in a Semi-Arid Basin: Inspecting the Teleconnections of Climate Indices on a Catchment Scale. Agric. Water Manag. 2019, 217, 413–425. [Google Scholar] [CrossRef]
- Chang, N.-B.; Yang, Y.J.; Imen, S.; Mullon, L. Multi-Scale Quantitative Precipitation Forecasting Using Nonlinear and Nonstationary Teleconnection Signals and Artificial Neural Network Models. J. Hydrol. 2017, 548, 305–321. [Google Scholar] [CrossRef]
- Wang, S.; Yan, Y.; Yan, M.; Zhao, X. Contributions of Precipitation and Human Activities to the Runoff Change of the Huangfuchuan Drainage Basin: Application of Comparative Method of the Slope Changing Ratio of Cumulative Quantity. Acta Geogr. Sin. 2012, 67, 388–397. [Google Scholar]
- Jia, L.; Niu, Z.; Zhang, R.; Ma, Y. Sensitivity of Runoff to Climatic Factors and the Attribution of Runoff Variation in the Upper Shule River, North-West China. Water 2024, 16, 1272. [Google Scholar] [CrossRef]
- He, N.; Guo, W.; Lan, J.; Yu, Z.; Wang, H. The Impact of Human Activities and Climate Change on the Eco-Hydrological Processes in the Yangtze River Basin. J. Hydrol. Reg. Stud. 2024, 53, 101753. [Google Scholar] [CrossRef]
- Zhou, S.; Yu, B.; Zhang, L.; Huang, Y.; Pan, M.; Wang, G. A New Method to Partition Climate and Catchment Effect on the Mean Annual Runoff Based on the Budyko Complementary Relationship. Water Resour. Res. 2016, 52, 7163–7177. [Google Scholar] [CrossRef]
- Dai, Y.; Lu, F.; Ruan, B.; Song, X.; Du, Y.; Xu, Y. Decomposition of Contribution to Runoff Changes and Spatial Differences of Major Tributaries in the Middle Reaches of the Yellow River Based on the Budyko Framework. Hydrol. Res. 2023, 54, 435–450. [Google Scholar] [CrossRef]
- Ji, G.; Huang, J.; Guo, Y.; Yan, D. Quantitatively Calculating the Contribution of Vegetation Variation to Runoff in the Middle Reaches of Yellow River Using an Adjusted Budyko Formula. Land 2022, 11, 535. [Google Scholar] [CrossRef]
- Zhao, Q.; Ding, S.; Ji, X.; Hong, Z.; Lu, M.; Wang, P. Relative Contribution of the Xiaolangdi Dam to Runoff Changes in the Lower Yellow River. Land 2021, 10, 521. [Google Scholar] [CrossRef]
- Zhang, X.; Qiao, W.; Huang, J.; Shi, J.; Zhang, M. Analysis of the Impact of the Xiaolangdi Reservoir on the Runoff of the Yellow River Downstream Based on CEEMDAN-Multiscale Information Entropy. Water Sci. Technol. 2023, 88, 1058–1073. [Google Scholar] [CrossRef]
- Deng, Z.; Zhang, X.; Li, D.; Pan, G. Simulation of Land Use/Land Cover Change and Its Effects on the Hydrological Characteristics of the Upper Reaches of the Hanjiang Basin. Environ. Earth Sci. 2015, 73, 1119–1132. [Google Scholar] [CrossRef]
- Li, D.; Zhu, L.; Xu, W.; Ye, C. Quantifying the Impact of Climate Change and Human Activities on Runoff at a Tropical Watershed in South China. Front. Environ. Sci. 2022, 10, 1023188. [Google Scholar] [CrossRef]











| IHA Parameter | Parametric Indicators | Number |
|---|---|---|
| Group 1: Magnitude of monthly water conditions | Monthly average flows | January to December corresponding to numbers 1–12, respectively |
| Group 2: Magnitude and duration of annual extreme water conditions | 1, 3, 7, 30, 90 d minimum and maximum flows, baseflow index | Corresponding to numbers 13–23, respectively |
| Group 3: Timing of annual extreme water conditions | Time of occurrence of annual maximum and minimum 1-day mean flows (Roman days) | Corresponding to numbers 24–25, respectively |
| Group 4: Frequency and duration of high and low pulses | Number of high and low pulse flow occurrences and average duration | Corresponding to numbers 26–29, respectively |
| Group 5: Rate and frequency of water condition changes | Average rate of water rise, average rate of water fall and number of reversals | Corresponding to numbers 30–32, respectively |
Disclaimer/Publisher’s Note: The statements, opinions and data contained in all publications are solely those of the individual author(s) and contributor(s) and not of MDPI and/or the editor(s). MDPI and/or the editor(s) disclaim responsibility for any injury to people or property resulting from any ideas, methods, instructions or products referred to in the content. |
© 2024 by the authors. Licensee MDPI, Basel, Switzerland. This article is an open access article distributed under the terms and conditions of the Creative Commons Attribution (CC BY) license (https://creativecommons.org/licenses/by/4.0/).
Share and Cite
Xie, Y.; Yin, Q.; Jiang, S.; An, W.; Liao, J.; Liu, Y.; Fu, Y. Study on the Driving Mechanism of Ecohydrological Regime in the Wandering Section of the Lower Yellow River. Water 2024, 16, 2062. https://doi.org/10.3390/w16142062
Xie Y, Yin Q, Jiang S, An W, Liao J, Liu Y, Fu Y. Study on the Driving Mechanism of Ecohydrological Regime in the Wandering Section of the Lower Yellow River. Water. 2024; 16(14):2062. https://doi.org/10.3390/w16142062
Chicago/Turabian StyleXie, Yan, Qing Yin, Siqi Jiang, Wenzhuo An, Jingyi Liao, Yanhui Liu, and Yicheng Fu. 2024. "Study on the Driving Mechanism of Ecohydrological Regime in the Wandering Section of the Lower Yellow River" Water 16, no. 14: 2062. https://doi.org/10.3390/w16142062
APA StyleXie, Y., Yin, Q., Jiang, S., An, W., Liao, J., Liu, Y., & Fu, Y. (2024). Study on the Driving Mechanism of Ecohydrological Regime in the Wandering Section of the Lower Yellow River. Water, 16(14), 2062. https://doi.org/10.3390/w16142062
