Degradation of Azo Dye Orange II Using BiOI/HKUST-1 Activated Persulfate under Visible Light Irradiation
Abstract
1. Introduction
2. Materials and Methods
2.1. Major Reagents
2.2. Preparation of HKUST-1
2.3. Preparation of BiOI/HKUST-1 Heterojunction
2.4. Degradation Experiments
2.5. Analysis Methods
3. Results and Discussion
3.1. Characterisation of the Catalysts
3.1.1. Scanning Electron Microscopy (SEM) and X-ray Energy Spectrometry (EDS)
3.1.2. X-ray Diffraction (XRD)
3.1.3. Ultraviolet-Visible Diffuse Reflectance Spectroscopy (UV-Vis)
3.1.4. Brunauer, Emmett, and Teller (BET) Analysis
3.1.5. Photocurrent Response and Electrochemical Impedance Spectroscopy (EIS)
3.1.6. X-ray Photoelectron Spectroscopy (XPS)
3.2. Photocatalytic Oxidation Performance of the BH/PMS/Light System for Degradation of AO7
3.3. Effect of Different Factors on AO7 Degradation
3.3.1. Effect of Catalysts with Different Molar Ratios and Solvothermal Temperatures on AO7 Degradation
3.3.2. Effect of BH-0.7-120 Catalyst Dosing on AO7 Degradation
3.3.3. Effect of PMS Concentration on AO7 Degradation
3.3.4. Effect of Pollutant Concentration on AO7 Degradation
3.4. Mechanistic Analysis
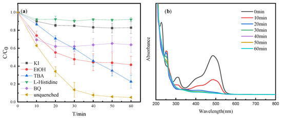
3.4.1. Free Radical Bursts
3.4.2. UV-Vis Spectrogram
3.4.3. Degradation Mechanism Analysis
4. Conclusions
Author Contributions
Funding
Data Availability Statement
Conflicts of Interest
References
- Nuengmatcha, P.; Kuyyogsuy, A.; Porrawatkul, P.; Pimsen, R.; Chanthai, S.; Nuengmatcha, P. Efficient degradation of dye pollutants in wastewater via photocatalysis using a magnetic zinc oxide/graphene/iron oxide-based catalyst. Water Sci. Eng. 2023, 16, 243–251. [Google Scholar] [CrossRef]
- Liu, K.; Chen, J.; Sun, F.; Yu, J.; Zhang, X.; Xu, Y.; Liu, Y.; Tang, M.; Yang, Y. Enhanced degradation of azo dyes wastewater by S-scheme heterojunctions photocatalyst g-C3N4/MoS2 intimately coupled Rhodopseudomonas palustris with chitosan modified polyurethane sponge carrier. Int. J. Hydrogen Energy 2023, 48, 22319–22333. [Google Scholar] [CrossRef]
- Li, J.; Wang, H.; Reddy, N.; Zhu, Z.; Zheng, J.; Wang, W.; Liu, B.; Hu, C. MOFFeCo/B-CN composites achieve efficient degradation of antibiotics in a non-homogeneous concurrent photocatalytic-persulfate activation system. Sci. Total Environ. 2023, 858, 159795. [Google Scholar] [CrossRef] [PubMed]
- Li, P.; Ma, H.; Qian, S.; Chen, Y.; Lai, B.; Pu, S. Stabilization of nFeS with carboxymethyl cellulose for enhancing persulfate activation for p-Nitrophenol degradation. J. Environ. Chem. Eng. 2023, 11, 109272. [Google Scholar] [CrossRef]
- Che, M.; Shan, C.; Zhang, W.; Duan, Y.; Huang, R.; Cui, M.; Qi, W.; Su, R. Efficient removal of Phaeocystis globosa from seawater with the persulfate activation by arbutin-modified cellulose nanocrystals. Chemosphere 2023, 313, 137647. [Google Scholar] [CrossRef] [PubMed]
- Zhou, C.S.; Cao, G.L.; Wu, X.K.; Liu, B.F.; Qi, Q.Y.; Ma, W.L. Removal of antibiotic resistant bacteria and genes by nanoscale zero-valent iron activated persulfate: Implication for the contribution of pH decrease. J. Hazard. Mater. 2023, 452, 131343. [Google Scholar] [CrossRef] [PubMed]
- Long, X.Y.; Lei, T.; Wang, K.C.; Zhan, Z.X. Structure of Cu@Pt/C catalyst derived from HKUST-1 and its catalytic activity for methanol oxidation. Mater. Sci. Eng. Powder Metall. 2019, 24, 289–295. [Google Scholar]
- Lin, K.S.; Adhikari, A.K.; Ku, C.N.; Chiang, C.L.; Kuo, H. Synthesis and characterization of porous HKUST-1 metal organic frameworks for hydrogen storage. Int. J. Hydrogen Energy 2012, 37, 13865–13871. [Google Scholar] [CrossRef]
- Ma, Z.; Liu, C.; Srinivasakannan, C.; Li, L.; Wang, Y. Synthesis of magnetic Fe3O4-HKUST-1 nanocomposites for azo dye adsorption. Arab. J. Chem. 2023, 16, 104767. [Google Scholar] [CrossRef]
- Wang, W.; Ji, Z.; Zhang, D.; Sun, P.; Duan, J. TiO2 doped HKUST-1/CM film in the three-phase photocatalytic ammonia synthesis system. Ceram. Int. 2021, 47, 19180–19190. [Google Scholar] [CrossRef]
- Jalali, S.; Rahimi, M.R.; Dashtian, K.; Ghaedi, M.; Mosleh, S. One step integration of plasmonic Ag2CrO4/Ag/AgCl into HKUST-1-MOF as novel visible-light driven photocatalyst for highly efficient degradation of mixture dyes pollutants: Its photocatalytic mechanism and modeling. Polyhedron 2019, 166, 217–225. [Google Scholar] [CrossRef]
- Wang, Z.; Ma, Y.; Shi, Y.; Wang, S.; Gao, M.; Qiu, Y.; Li, C. Bi2WO6/red phosphorus heterojunction photocatalyst with excellent visible light photodegrading activity. Chem. Phys. Lett. 2023, 818, 140422. [Google Scholar] [CrossRef]
- Sheikhsamany, R.; Faghihian, H.; Fazaeli, R. One-pot synthesis of BaTi0.85Zr0.15O3/MOF-199 (HKUST-1) as a highly efficient photocatalytic nanocomposite for tetracycline degradation under UV irradiation. Inorg. Chem. Commun. 2021, 134, 109048. [Google Scholar] [CrossRef]
- Wu, D.; Tian, N.; Sun, X.; Wang, M.; Huang, J.; Deng, H.; Yu, D.; Wu, M.; Ni, H.; Pei, K.; et al. Enhanced fenton-like catalysis by facilely prepared nano-scale NCFOH/HKUST composites with synergistic effect for dye degradation. Mater. Chem. Phys. 2021, 258, 123980. [Google Scholar] [CrossRef]
- Haile, C.T.; Ahmad, N.; Chiu, C.-W.; Kuo, C.-F.J. Highly photoactive novel NiS/BiOI nanocomposite photocatalyst towards efficient visible light organic pollutant degradation and carcinogenetic Cr (VI) reduction for environmental remediation. Chemosphere 2023, 323, 138108. [Google Scholar] [CrossRef] [PubMed]
- Xu, H.Y.; Wang, W.S.; Li, B.; Zhang, L. Mechanism insights into the enhanced photocatatlytic peroxydisulfate activation by Fe3O4/BiOI heterojunction. Mater. Sci. Eng. B 2023, 294, 116509. [Google Scholar] [CrossRef]
- Xiong, J.; Zhu, X.; Xia, J.; Di, J. Partial disorder structured BiOI atomic layers boosting excitons dissociation for photocatalytic CO2 reduction and pollutant removal. Appl. Surf. Sci. 2023, 627, 157338. [Google Scholar] [CrossRef]
- Zhang, J.J.; Zheng, Y.J.; Jing, T.; Zhao, Y.; Yang, W. 3D flower-shaped MoS2/O-g-C3N4 Z-type heterojunction enhances the photocatalyst degradation of bisphenol A. Acta Mater. Compos. Sin. 2022, 39, 5778–5791. [Google Scholar]
- Pan, J.; Bai, X.; Li, Y.; Yang, B.; Yang, P.; Yu, F.; Ma, J. HKUST-1 derived carbon adsorbents for tetracycline removal with excellent adsorption performance. Environ. Res. 2022, 205, 112425. [Google Scholar] [CrossRef]
- Zhang, H.; Xiao, Y.; Peng, Y.; Tian, L.; Wang, Y.; Tang, Y.; Cao, Y.; Wei, Z.; Wu, Z.; Zhu, Y.; et al. Selective degradation of ceftriaxone sodium by surface molecularly imprinted BiOCl/Bi3NbO7 heterojunction photocatalyst. Sep. Purif. Technol. 2023, 315, 123716. [Google Scholar] [CrossRef]
- Ma, H.; Wang, Y.; Zhang, Z.; Liu, J.; Yu, Y.; Zuo, S.; Li, B. A superior ternary Z-scheme photocatalyst of bi/black phosphorus nanosheets/P-doped BiOCl containing interfacial P–P bond and metallic mediator for H2O2 production and RhB degradation. Chemosphere 2023, 330, 138717. [Google Scholar] [CrossRef] [PubMed]
- Yuan, L.; Wang, Z.; Gu, F. Efficient degradation of tetracycline hydrochloride by direct Z-scheme HKUST-1@ m-BiVO4 catalysts with self-produced H2O2 under both dark and light. J. Environ. Chem. Eng. 2022, 10, 107964. [Google Scholar] [CrossRef]
- Wu, Y.; Li, Y.; Li, H.; Guo, H.; Yang, Q.; Li, X. Tunning heterostructures interface of Cu2O@HKUST-1 for enhanced photocatalytic degradation of tetracycline hydrochloride. Sep. Purif. Technol. 2022, 303, 122106. [Google Scholar] [CrossRef]
- Sheikhsamany, R.; Faghihian, H.; Fazaeli, R. Synthesis of novel HKUST-1-based SnO2 porous nanocomposite with the photo-catalytic capability for degradation of metronidazole. Mater. Sci. Semicond. Process. 2022, 138, 106310. [Google Scholar] [CrossRef]
- Li, Y.; Wang, X.; Huo, H.; Li, Z.; Shi, J. A novel binary visible-light-driven photocatalyst type-I CdIn2S4/g-C3N4 heterojunctions coupling with H2O2: Synthesis, characterization, photocatalytic activity for Reactive Blue 19 degradation and mechanism analysis. Colloids Surf. A Physicochem. Eng. Asp. 2020, 587, 124322. [Google Scholar] [CrossRef]
- Liu, S.Q.; Dai, G.P.; Liang, Y.; Liu, H.; Zhang, X. Preparation of BiOI/Bi2O3 Photocatalyst with Highly Visible-Light Photocatalytic Activity by an In Situ Dissolving-Depositing Method. Chin. J. Inorg. Chem. 2011, 27, 1964–1968. [Google Scholar]
- Sofi, F.A.; Majid, K.; Mehraj, O. The visible light driven copper based metal-organic-framework heterojunction: HKUST-1@ Ag-Ag3PO4 for plasmon enhanced visible light photocatalysis. J. Alloys Compd. 2018, 737, 798–808. [Google Scholar] [CrossRef]
- Zhao, B.; Shao, N.; Chen, X.; Ma, J.; Gao, Y.; Chen, X. Construction of novel type II heterojunction WO3/Bi2WO6 and Z-scheme heterojunction CdS/Bi2WO6 photocatalysts with significantly enhanced photocatalytic activity for the degradation of rhodamine B and re-duction of Cr (VI). Colloids Surf. A Physicochem. Eng. Asp. 2023, 663, 131072. [Google Scholar] [CrossRef]
- Qin, H.; Lv, Y.; Kobayashi, H.; Xiao, M.; Song, H.; Yang, J. Fabrication of NOTT-220 @I2 via iodine adsorption and immobilization in bismuth organic framework for efficient CO2 photo-reduction. J. Alloys Compd. 2022, 920, 165900. [Google Scholar] [CrossRef]
- Xu, W.; Fang, J.; Zhu, X.; Fang, Z.; Cen, C. Fabricaion of improved novel p–n junction BiOI/Bi2Sn2O7 nanocomposite for visible light driven photocatalysis. Mater. Res. Bull. 2015, 72, 229–234. [Google Scholar] [CrossRef]
- Li, J.; Yu, X.; Zhu, Y.; Fu, X.; Zhang, Y. 3D-2D-3D BiOI/porous g-C3N4/graphene hydrogel composite photocatalyst with synergy of adsorption-photocatalysis in static and flow systems. J. Alloys Compd. 2021, 850, 156778. [Google Scholar] [CrossRef]
- Wu, Y.; Li, X.; Zhao, H.; Yao, F.; Cao, J.; Chen, Z.; Wang, D.; Yang, Q. Core-shell structured Cu2O@HKUST-1 heterojunction photocatalyst with robust stability for highly efficient tetracycline hydrochloride degradation under visible light. Chem. Eng. J. 2021, 426, 131255. [Google Scholar] [CrossRef]
- Nunes, M.J.; Lopes, A.; Pacheco, M.J.; Ciríaco, L. Visible-Light-Driven AO7 Photocatalytic Degradation and Toxicity Removal at Bi-Doped SrTiO3. Materials 2022, 15, 2465. [Google Scholar] [CrossRef] [PubMed]
- Qi, X.M.; Wu, J.; Wu, Q.; Li, X.; Gu, M.L. Research Progress on Controllable Synthesis Multiple Morphologies and Structures of BiVO4 via Hydrothermal/Solvothermal Method. Mater. Rev. 2014, 28, 74–78. [Google Scholar]
- Ntelane, T.S.; Feleni, U.; Mthombeni, N.H.; Kuvarega, A.T. Heterogeneous activation of persulfate using delafossite AgFeO2/α-MnO2 for efficient degradation of tartrazine under visible light. Colloids Surf. A Physicochem. Eng. Asp. 2023, 670, 131492. [Google Scholar] [CrossRef]
- Tang, Q.; An, X.; Zhou, J.; Lan, H.; Liu, H.; Qu, J. One-step exfoliation of polymeric C3N4 by atmospheric oxygen doping for photocatalytic persulfate activation. J. Colloid Interface Sci. 2020, 579, 455–462. [Google Scholar] [CrossRef]
- Lin, L.; Yu, D.; Xu, L.; Huang, Y.; Huang, M.; Kazemian, H. Enhanced photocatalytic performance and persulfate activation properties by BiOBr supported waste rock wool fibers under LED blue light. J. Environ. Chem. Eng. 2022, 10, 107963. [Google Scholar] [CrossRef]
- Wang, Y.; Wei, C.Y.; Huang, T.Y.; Wu, W.; Chen, J.B. Activation of peroxymonosulfate by nitrogen-doped carbon nanotubes to decolorize acid orange 7. China Environ. Sci. 2017, 37, 2583–2590. [Google Scholar]
- Zhu, K.; Zhang, F.; Cai, W.; Liu, C.; Wang, Y.; Meng, Z.; Mi, C. A novel I-type 0D/0D ZnS/Ag6Si2O7 heterojunction for photocatalytic hydrogen evolution. J. Phys. Chem. Solids 2023, 175, 111206. [Google Scholar] [CrossRef]
- Wang, Q.; Mei, Y.; Zhou, R.; Komarneni, S.; Ma, J. Persulfate activation of CuS@Ti3C2-based MXene with Bi-active centers toward Orange II removal under visible light. Colloids Surf. A Physicochem. Eng. Asp. 2022, 648, 129315. [Google Scholar] [CrossRef]







| Catalyst | χ | Eg | EVB | ECB |
|---|---|---|---|---|
| BiOI | 5.94 eV [26] | 1.8 eV | 2.34 eV | 0.54 eV |
| HKUST-1 | 5.89 eV [27] | 2.43 eV | 2.61 eV | 0.18 eV |
| BH-0.7-120 | - | 2.19 eV | - | - |
| Catalyst | Specific Surface Area (m2·g−1) | Pore Volume (cm3·g−1) | Aperture (nm) |
|---|---|---|---|
| BiOI | 54.0186 | 0.205676 | 11.9720 |
| HKUST-1 | 886.1539 | 0.548439 | 6.6487 |
| BH-0.7-120 | 120.7391 | 0.102911 | 6.8250 |
| Catalytic System | Pseudo-First Order Kinetic | Pseudo-Second Order Kinetic | ||||
|---|---|---|---|---|---|---|
| Rate Equation | Kobs/min | R2 | Rate Equation | Kobs/min | R2 | |
| BH-0.7-120/PMS | Ln(C0/C) = 0.0315x + 0.2071 | 0.0315 | 0.9428 | 1/C − 1/C0 = 0.0591x − 0.0933 | 0.0591 | 0.9959 |
| BiOI/PMS/light | ln(C0/C) = 0.0122x + 0.0887 | 0.0122 | 0.9461 | 1/C − 1/C0 = 0.0119x + 0.0415 | 0.0119 | 0.9801 |
| BH-0.7-120/PMS/light | ln(C0/C) = 0.054x + 0.0692 | 0.054 | 0.9621 | 1/C − 1/C0 = 0.2x − 0.6617 | 0.2 | 0.9627 |
Disclaimer/Publisher’s Note: The statements, opinions and data contained in all publications are solely those of the individual author(s) and contributor(s) and not of MDPI and/or the editor(s). MDPI and/or the editor(s) disclaim responsibility for any injury to people or property resulting from any ideas, methods, instructions or products referred to in the content. |
© 2024 by the authors. Licensee MDPI, Basel, Switzerland. This article is an open access article distributed under the terms and conditions of the Creative Commons Attribution (CC BY) license (https://creativecommons.org/licenses/by/4.0/).
Share and Cite
Zhang, S.; Wang, R.; Cheng, X.; Lian, J.; Liu, X.; Tang, J. Degradation of Azo Dye Orange II Using BiOI/HKUST-1 Activated Persulfate under Visible Light Irradiation. Water 2024, 16, 1805. https://doi.org/10.3390/w16131805
Zhang S, Wang R, Cheng X, Lian J, Liu X, Tang J. Degradation of Azo Dye Orange II Using BiOI/HKUST-1 Activated Persulfate under Visible Light Irradiation. Water. 2024; 16(13):1805. https://doi.org/10.3390/w16131805
Chicago/Turabian StyleZhang, Shumeng, Rui Wang, Xianxiong Cheng, Junfeng Lian, Xin Liu, and Jiahua Tang. 2024. "Degradation of Azo Dye Orange II Using BiOI/HKUST-1 Activated Persulfate under Visible Light Irradiation" Water 16, no. 13: 1805. https://doi.org/10.3390/w16131805
APA StyleZhang, S., Wang, R., Cheng, X., Lian, J., Liu, X., & Tang, J. (2024). Degradation of Azo Dye Orange II Using BiOI/HKUST-1 Activated Persulfate under Visible Light Irradiation. Water, 16(13), 1805. https://doi.org/10.3390/w16131805
