Leakage Detection in Water Distribution Networks Based on Multi-Feature Extraction from High-Frequency Pressure Data
Abstract
1. Introduction
2. Methodology
2.1. Overview of the Proposed Method
- (1)
- Data Preprocessing
- (2)
- Instantaneous Characteristic Diagnosis (IC Diagnosis)
- (3)
- Trend Characteristic Diagnosis (TC Diagnosis)
- (4)
- Leakage Degree Prediction
2.2. Data Preprocessing
2.3. IC Diagnosis
2.3.1. IC Extraction
2.3.2. IC Threshold Analysis
2.4. TC Diagnosis
2.4.1. TC Extraction
2.4.2. TC Threshold Analysis
2.5. Leakage Degree Prediction
3. Results and Discussion
3.1. Experimental Network Setup
3.2. Performance Indicators and Method Parameters
3.2.1. Performance Indicators
3.2.2. Parameters for Multi-Feature Extraction
3.3. Results for Two Time Series Data Sets
3.3.1. Leakage Detection Results
3.3.2. Leakage Degree Prediction Results
3.4. Discussion
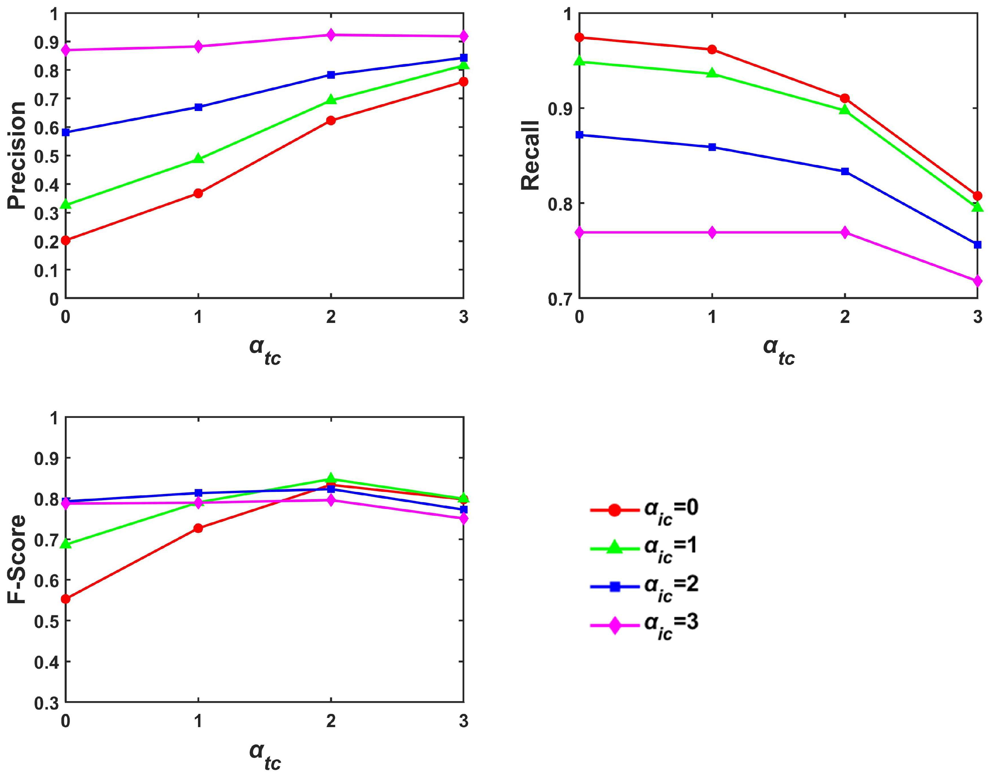
3.4.1. Adaptability Analysis of Threshold Setting
3.4.2. Comparison of Three Methods for Leakage Detection
4. Conclusions
Author Contributions
Funding
Data Availability Statement
Acknowledgments
Conflicts of Interest
References
- Che, T.-C.; Duan, H.-F.; Lee, P.J. Transient wave-based methods for anomaly detection in fluid pipes: A review. Mech. Syst. Signal Proc. 2021, 160, 107874. [Google Scholar] [CrossRef]
- Duan, H.-F.; Pan, B.; Wang, M.; Chen, L.; Zheng, F.; Zhang, Y. State-of-the-art review on the transient flow modeling and utilization for urban water supply system (UWSS) management. J. Water Supply Res. Technol. Aqua 2020, 69, 858–893. [Google Scholar] [CrossRef]
- Liemberger, R.; Wyatt, A. Quantifying the global non-revenue water problem. Water Supply 2019, 19, 831–837. [Google Scholar] [CrossRef]
- Feng, Y.-X.; Zhang, H.; Rad, S.; Yu, X.-Z. Visual analytic hierarchical process for in situ identification of leakage risk in urban water distribution network. Sustain. Cities Soc. 2021, 75, 103297. [Google Scholar] [CrossRef]
- Huang, Y.; Zheng, F.; Kapelan, Z.; Savic, D.; Duan, H.-F.; Zhang, Q. Efficient Leak Localization in Water Distribution Systems Using Multistage Optimal Valve Operations and Smart Demand Metering. Water Resour. Res. 2020, 56, e2020WR028285. [Google Scholar] [CrossRef]
- Fox, S.; Shepherd, W.; Collins, R.; Boxall, J. Experimental Quantification of Contaminant Ingress into a Buried Leaking Pipe during Transient Events. J. Hydraul. Eng. 2016, 142, 4015036. [Google Scholar] [CrossRef]
- Pudar Ranko, S.; Liggett James, A. Leaks in Pipe Networks. J. Hydraul. Eng. 1992, 118, 1031–1046. [Google Scholar] [CrossRef]
- Beck, S.B.; Curren, M.D.; Sims, N.D.; Stanway, R. Pipeline Network Features and Leak Detection by Cross-Correlation Analysis of Reflected Waves. J. Hydraul. Eng. 2005, 131, 715–723. [Google Scholar] [CrossRef]
- Sattar, A.M.; Chaudhry, M.H. Leak detection in pipelines by frequency response method. J. Hydraul. Res. 2008, 46, 138–151. [Google Scholar] [CrossRef]
- Li, Y.-B.; Sun, L.-Y. Leakage detection and location for long range oil pipeline using negative pressure wave technique. In Proceedings of the 2009 4th IEEE Conference on Industrial Electronics and Applications, Xi’an, China, 25–27 May 2009; pp. 3220–3224. [Google Scholar]
- Gong, J.; Lambert Martin, F.; Simpson Angus, R.; Zecchin Aaron, C. Single-Event Leak Detection in Pipeline Using First Three Resonant Responses. J. Hydraul. Eng. 2013, 139, 645–655. [Google Scholar] [CrossRef]
- Lin, J.; Wang, X.; Ghidaoui, M.S. Multi-Sensor Fusion for Transient-Based Pipeline Leak Localization in the Dempster-Shafer Evidence Framework. Water Resour. Res. 2021, 57, e2021WR029926. [Google Scholar] [CrossRef]
- Pan, B.; Duan, H.-F.; Keramat, A.; Meniconi, S.; Brunone, B. Efficient Pipe Burst Detection in Tree-Shape Water Distribution Networks Using Forward-Backward Transient Analysis. Water Resour. Res. 2022, 58, e2022WR033465. [Google Scholar] [CrossRef]
- Hampson, W.J.; Collins, R.P.; Beck, S.B.M.; Boxall, J.B. Transient Source Localization Methodology and Laboratory Validation. Procedia Eng. 2014, 70, 781–790. [Google Scholar] [CrossRef]
- Tijani, I.A.; Abdelmageed, S.; Fares, A.; Fan, K.H.; Hu, Z.Y.; Zayed, T. Improving the leak detection efficiency in water distribution networks using noise loggers. Sci Total Environ. 2022, 821, 153530. [Google Scholar] [CrossRef]
- Zhang, Y.; Jiang, Z.; Lu, J. Research on Leakage Location of Pipeline Based on Module Maximum Denoising. Appl. Sci. 2023, 13, 340. [Google Scholar] [CrossRef]
- Yang, Z.; Xiong, Z.; Shao, M. A new method of leak location for the natural gas pipeline based on wavelet analysis. Energy 2010, 35, 3814–3820. [Google Scholar] [CrossRef]
- Rashid, S.; Qaisar, S.; Saeed, H.; Felemban, E. A Method for Distributed Pipeline Burst and Leakage Detection in Wireless Sensor Networks Using Transform Analysis. Int. J. Distrib. Sens. Netw. 2014, 10, 939657. [Google Scholar] [CrossRef]
- Ferrante, M.; Brunone, B. Pipe system diagnosis and leak detection by unsteady-state tests. 2. Wavelet analysis. Adv. Water Resour. 2003, 26, 107–116. [Google Scholar] [CrossRef]
- Lu, X.; Sang, Y.; Zhang, J.; Fan, Y. A Pipeline Leakage Detection Technology based on Wavelet Transform Theory. In Proceedings of the 2006 IEEE International Conference on Information Acquisition, Veihai, China, 20–23 August 2006; pp. 1432–1437. [Google Scholar]
- Srirangarajan, S.; Allen, M.; Preis, A.; Iqbal, M.; Lim, H.B.; Whittle, A.J. Wavelet-based Burst Event Detection and Localization in Water Distribution Systems. J. Signal Proc. Syst. 2012, 72, 1–16. [Google Scholar] [CrossRef]
- Butterfield, J.D.; Collins, R.P.; Beck, S.B.M. Feature Extraction of Leaks Signals in Plastic Water Distribution Pipes Using the Wavelet Transform. In Proceedings of the ASME 2015 International Mechanical Engineering Congress and Exposition, Houston, TX, USA, 13–19 November 2015. [Google Scholar]
- Wang, S.; Chen, Z.; Wang, J.; Wang, H.; Ji, C.; Hong, J.; Gao, L. Continuous Leak Detection and Location through the Optimal Mother Wavelet Transform to AE Signal. J. Pipeline Syst. Eng. Pract. 2020, 11, 4020024. [Google Scholar] [CrossRef]
- Meng, T.; Wang, D.; Jiao, J.; Li, X. Tunable Q-factor wavelet transform of acoustic emission signals and its application on leak location in pipelines. Comput. Commun. 2020, 154, 398–409. [Google Scholar] [CrossRef]
- Ting, L.L.; Tey, J.Y.; Tan, A.C.; King, Y.J.; Abd Rahman, F. Water leak location based on improved dual-tree complex wavelet transform with soft thresholding de-noising. Appl. Acoust. 2021, 174, 107751. [Google Scholar] [CrossRef]
- Misiunas, D.; Lambert, M.; Simpson, A.; Olsson, G. Burst detection and location in water distribution networks. Water Supply 2005, 5, 71–80. [Google Scholar] [CrossRef]
- Kim, Y.; Lee, S.J.; Park, T.; Lee, G.; Suh, J.C.; Lee, J.M. Robust leak detection and its localization using interval estimation for water distribution network. Comput. Chem. Eng. 2016, 92, 1–17. [Google Scholar] [CrossRef]
- Ahmad, Z.; Nguyen, T.-K.; Kim, J.-M. Leak detection and size identification in fluid pipelines using a novel vulnerability index and 1-D convolutional neural network. Eng. Appl. Comput. Fluid Mech. 2023, 17, 2165159. [Google Scholar] [CrossRef]
- Zadkarami, M.; Shahbazian, M.; Salahshoor, K. Pipeline leak diagnosis based on wavelet and statistical features using Dempster–Shafer classifier fusion technique. Process Saf. Environ. Prot. 2017, 105, 156–163. [Google Scholar] [CrossRef]
- Aljameel, S.S.; Alomari, D.M.; Alismail, S.; Khawaher, F.; Alkhudhair, A.A.; Aljubran, F.; Alzannan, R.M. An Anomaly Detection Model for Oil and Gas Pipelines Using Machine Learning. Computation 2022, 10, 138. [Google Scholar] [CrossRef]
- Tian, X.; Jiao, W.; Liu, T.; Ren, L.; Song, B. Leakage detection of low-pressure gas distribution pipeline system based on linear fitting and extreme learning machine. Int. J. Press. Vessel. Pip. 2021, 194, 104553. [Google Scholar] [CrossRef]
- Wang, X.; Guo, G.; Liu, S.; Wu, Y.; Xu, X.; Smith, K. Burst Detection in District Metering Areas Using Deep Learning Method. J. Water Resour. Plan. Manag. 2020, 146, 4020031. [Google Scholar] [CrossRef]
- Bentoumi, M.; Chikouche, D.; Mezache, A.; Bakhti, H. Wavelet DT method for water leak-detection using a vibration sensor: An experimental analysis. IET Signal Proc. 2017, 11, 396–405. [Google Scholar] [CrossRef]
- Zhao, Y.; Wang, Q.; Ling, Z. Leakage detection and location analysis of tap water pipe based on distributed optical fiber temperature measurement. In Proceedings of the 10th International Conference on Information Optics and Photonics, Beijing, China, 8–11 July 2018. [Google Scholar]
- Jiang, Y.; Wang, B.; Li, X.; Liu, D.; Wang, Y.; Huang, Z. A Model-Based Hybrid Ultrasonic Gas Flowmeter. IEEE Sens. J. 2018, 18, 4443–4452. [Google Scholar] [CrossRef]
- Robertson, D.G.E.; Dowling, J.J. Design and responses of Butterworth and critically damped digital filters. J. Electromyogr. Kinesiol. 2003, 13, 569–573. [Google Scholar] [CrossRef]
- Fereidooni, Z.; Tahayori, H.; Bahadori-Jahromi, A. A hybrid model-based method for leak detection in large scale water distribution networks. J. Ambient Intell. Humaniz. Comput. 2020, 12, 1613–1629. [Google Scholar] [CrossRef]












| Label | Output | |
|---|---|---|
| L | NL | |
| L | TP | FN |
| NL | FP | TN |
| Time Series Data Set Name | FAR | MAR |
|---|---|---|
| Steady-State Time Series Data Set | 2.63% | 3.41% |
| Water-Consumption Time Series Data Set | 4.97% | 10.26% |
| Time Series Data Set Name | αic | αtc |
|---|---|---|
| Steady-State Time Series Data Set | 0 | 3 |
| Water-Consumption Time Series Data Set | 1 | 2 |
Disclaimer/Publisher’s Note: The statements, opinions and data contained in all publications are solely those of the individual author(s) and contributor(s) and not of MDPI and/or the editor(s). MDPI and/or the editor(s) disclaim responsibility for any injury to people or property resulting from any ideas, methods, instructions or products referred to in the content. |
© 2023 by the authors. Licensee MDPI, Basel, Switzerland. This article is an open access article distributed under the terms and conditions of the Creative Commons Attribution (CC BY) license (https://creativecommons.org/licenses/by/4.0/).
Share and Cite
Wu, X.; Peng, S.; Zheng, G.; Fang, X.; Tian, Y. Leakage Detection in Water Distribution Networks Based on Multi-Feature Extraction from High-Frequency Pressure Data. Water 2023, 15, 1187. https://doi.org/10.3390/w15061187
Wu X, Peng S, Zheng G, Fang X, Tian Y. Leakage Detection in Water Distribution Networks Based on Multi-Feature Extraction from High-Frequency Pressure Data. Water. 2023; 15(6):1187. https://doi.org/10.3390/w15061187
Chicago/Turabian StyleWu, Xingqi, Sen Peng, Guolei Zheng, Xu Fang, and Yimei Tian. 2023. "Leakage Detection in Water Distribution Networks Based on Multi-Feature Extraction from High-Frequency Pressure Data" Water 15, no. 6: 1187. https://doi.org/10.3390/w15061187
APA StyleWu, X., Peng, S., Zheng, G., Fang, X., & Tian, Y. (2023). Leakage Detection in Water Distribution Networks Based on Multi-Feature Extraction from High-Frequency Pressure Data. Water, 15(6), 1187. https://doi.org/10.3390/w15061187

