Assessing the Effect of a Newly Implemented Basic Wastewater Discharge Standard on the Concentrations of Pharmaceutical and Personal Care Products in the Daqing River Basin, China
Abstract
1. Introduction
2. Materials and Methods
2.1. Sample Collection
2.2. Pretreatment and Instrumental Analysis
2.3. Assessment of Ecological Risk
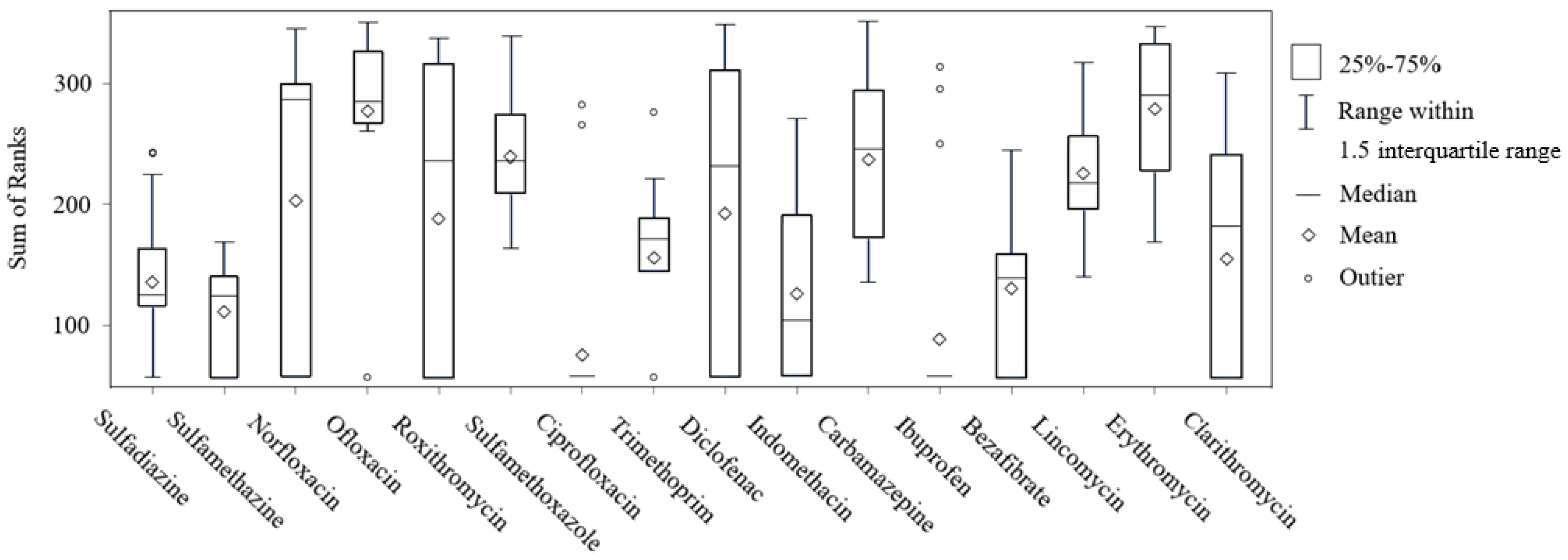
2.4. Statistical Analysis
3. Results
Occurrence, Spatial Distribution and Ecological Risk of PPCPs
4. Discussion
4.1. Contamination Characteristics of PPCPs
4.2. The Impact of New Standard Implementation on PPCPs
5. Conclusions
Supplementary Materials
Author Contributions
Funding
Conflicts of Interest
References
- Chen, X.; Strokal, M.; van Vliet, M.; Stuiver, H.J.; Wang, M.; Bai, Z.; Ma, L.; Kroeze, C. Multi-Scale Modeling of Nutrient Pollution in the Rivers of China. Environ. Sci. Technol. 2019, 53, 9614–9625. [Google Scholar] [CrossRef]
- Huang, J.; Zhang, Y.; Bing, H.; Peng, J.; Dong, F.; Arhonditsis, G. Characterizing the River Water Quality in China: Recent Progress and On-Going Challenges. Water Res. 2021, 201, 117309. [Google Scholar] [CrossRef]
- Lu, X.; Zhou, B.; Vogt, R.; Seip, H.; Xin, Z.; Ekengren, Ö. Rethinking China’s Water Policy: The Worst Water Quality despite the Most Stringent Standards. Water Int. 2016, 41, 1044–1048. [Google Scholar] [CrossRef]
- Xie, H.; Hao, H.; Xu, N.; Liang, X.; Gao, D.; Xu, Y.; Gao, Y.; Tao, H.; Wong, M. Pharmaceuticals and Personal Care Products in Water, Sediments, Aquatic Organisms, and Fish Feeds in the Pearl River Delta: Occurrence, Distribution, Potential Sources, and Health Risk Assessment. Sci. Total Environ. 2019, 659, 230–239. [Google Scholar] [CrossRef]
- Yang, Y.; Yong, S.O.; Kim, K.H.; Kwon, E.E.; Tsang, Y.F. Occurrences and Removal of Pharmaceuticals and Personal Care Products (PPCPs) in Drinking Water and Water/Sewage Treatment Plants: A Review. Sci. Total Environ. 2017, 596–597, 303–320. [Google Scholar] [CrossRef]
- Verlicchi, P.; Al Aukidy, M.; Zambello, E. Occurrence of Pharmaceutical Compounds in Urban Wastewater: Removal, Mass Load and Environmental Risk After a Secondary Treatment—A Review. Sci. Total Environ. 2012, 429, 123–155. [Google Scholar] [CrossRef]
- Peng, Y.; Fang, W.; Krauss, M.; Brack, W.; Wang, Z.; Li, F.; Zhang, X. Screening Hundreds of Emerging Organic Pollutants (EOPs) in Surface Water from the Yangtze River Delta (YRD): Occurrence, Distribution, Ecological Risk. Environ. Pollut. 2018, 241, 484–493. [Google Scholar] [CrossRef]
- Gavrilescu, M.; Demnerova, K.; Aamand, J.; Agathos, S.; Fava, F. Emerging Pollutants in the Environment: Present and Future Challenges in Biomonitoring, Ecological Risks and Bioremediation. New Biotechnol. 2014, 32, 147–156. [Google Scholar] [CrossRef]
- Yang, X.; Chen, F.; Xie, Y.; Chen, H.; Young, K.; Luo, W.; Ye, T.; Fu, W. Occurrence and Fate of PPCPs and Correlations with Water Quality Parameters in Urban Riverine Waters of the Pearl River Delta, South China. Environ. Sci. Pollut. Res. Int. 2013, 20, 5864–5875. [Google Scholar] [CrossRef] [PubMed]
- Zhang, P.; Zhou, H.; Li, K.; Zhao, X.; Liu, Q.; Li, D.; Zhao, G. Occurrence of Pharmaceuticals and Personal Care Products, and Their Associated Environmental Risks in a Large Shallow Lake in North China. Environ. Geochem. Health 2018, 40, 1525–1539. [Google Scholar] [CrossRef]
- Qian, S.; Bin, W.; Wentao, Z.; Jun, H.; Gang, Y.; Shubo, D.; Zhaofu, Q.; Shuguang, L. Identification of Priority Pharmaceuticals in the Water Environment of China. Chemosphere 2012, 89, 280–286. [Google Scholar]
- Xiang, Y.; Wu, H.; Li, L.; Ren, M.; Qie, H.; Lin, A. A Review of Distribution and Risk of Pharmaceuticals and Personal Care Products in the Aquatic Environment in China. Ecotoxicol. Environ. Saf. 2021, 213, 112044. [Google Scholar] [CrossRef] [PubMed]
- Botero-Coy, A.M.; Martinez-Pachon, D.; Boix, C.; Rincón Ortiz, R.; Castillo, N.; Arias-Marín, L.P.; Manrique Losada, L.; Torres-Palma, R.; Moncayo, A.; Hernandez, F. An Investigation into the Occurrence and Removal of Pharmaceuticals in Colombian Wastewater. Sci. Total Environ. 2018, 642, 842–853. [Google Scholar] [CrossRef] [PubMed]
- Xie, J.; Liu, Y.; Wu, Y.; Li, L.; Fang, J.; Lu, X. Occurrence, Distribution and Risk of Pharmaceutical and Personal Care Products in the Haihe River Sediments, China. Chemosphere 2022, 302, 134874. [Google Scholar] [CrossRef]
- European Commission. European Commission Technical Guidance Document in Support of Commission Directive 93/67/EEC on Risk Assessment for New Notified Substances and Commission Regulation (EC) No. 1488/94 on Risk Assessment for Existing Substance, Part II; European Commission: Brussels, Belgium, 2003. [Google Scholar]
- Li, R.; Liang, J.; Gong, Z.; Zhang, N.; Duan, H. Occurrence, Spatial Distribution, Historical Trend and Ecological Risk of Phthalate Esters in the Jiulong River, Southeast China. Sci. Total Environ. 2016, 580, 388–397. [Google Scholar] [CrossRef]
- Qiao, M.; Ying, G.-G.; Singer, A. Review of Antibiotic Resistance in China and Its Environment. Environ. Int. 2017, 110, 160–172. [Google Scholar] [CrossRef]
- Gao, B.; Li, P.; Yang, R.; Li, A.; Yang, H. Investigation of Multiple Adsorption Mechanisms for Efficient Removal of Ofloxacin from Water Using Lignin-Based Adsorbents. Sci. Rep. 2019, 9, 637. [Google Scholar] [CrossRef] [PubMed]
- Kerrigan, J.; Sandberg, K.; Engstrom, D.; LaPara, T.; Arnold, W. Sedimentary Record of Antibiotic Accumulation in Minnesota Lakes. Sci. Total Environ. 2017, 621, 970–979. [Google Scholar] [CrossRef]
- Sui, Q.; Cao, X.; Lu, S.; Zhao, W.; Qiu, Z.; Yu, G. Occurrence, Sources and Fate of Pharmaceuticals and Personal Care Products in the Groundwater: A Review. Emerg. Contam. 2015, 1, 14–24. [Google Scholar] [CrossRef]
- Barra Caracciolo, A.; Topp, E.; Grenni, P. Pharmaceuticals in the Environment: Biodegradation and Effects on Natural Microbial Communities. A Review. J. Pharm. Biomed. Anal. 2014, 106, 25–36. [Google Scholar] [CrossRef]
- Amin, M.; Yousefinejad, S.; Dehghani, M.; Rahimi, S. Catalytic Effect of Fe@Fe2O3 Nanowires and Fenton Process on Carbamazepine Removal from Aqueous Solutions Using Response Surface Methodology. Glob. J. Environ. Sci. Manag. 2019, 5, 213–224. [Google Scholar]
- Pivetta, R.; Rodrigues-Silva, C.; Ribeiro, A.; Rath, S. Tracking the Occurrence of Psychotropic Pharmaceuticals in Brazilian Wastewater Treatment Plants and Surface Water, with Assessment of Environmental Risks. Sci. Total Environ. 2020, 727, 138661. [Google Scholar] [CrossRef]
- Mutiyar, P.; Gupta, S.; Mittal, A. Fate of Pharmaceutical Active Compounds (PhACs) from River Yamuna, India: An Ecotoxicological Risk Assessment Approach. Ecotoxicol. Environ. Saf. 2018, 150, 297–304. [Google Scholar] [CrossRef]
- Liu, J.L.; Wong, M. Pharmaceuticals and Personal Care Products (PPCPs): A Review on Environmental Contamination in China. Environ. Int. 2013, 59, 208–224. [Google Scholar] [CrossRef]
- Wen, F.; Fu, J.; Li, X.; Li, B.; Wang, X. Occurrence and Fate of PPCPs in Typical Drinking Water Treatment Plants in China. Environ. Geochem. Health 2019, 41, 5–15. [Google Scholar]
- Bai, Y.; Meng, W.; Xu, J.; Zhang, Y. Occurrence, Distribution and Bioaccumulation of Antibiotics in the Liao River Basin in China. Environ. Sci. Process. Impacts 2014, 16, 586–593. [Google Scholar] [CrossRef] [PubMed]
- Ma, R.; Wang, B.; Yin, L.; Zhang, Y.; Deng, S.; Huang, J.; Wang, Y.; Yu, G. Characterization of Pharmaceutically Active Compounds in Beijing, China: Occurrence Pattern, Spatiotemporal Distribution and Its Environmental Implication. J. Hazard. Mater. 2016, 323, 147–155. [Google Scholar] [CrossRef]
- Zemann, M.; Wolf, L.; Grimmeisen, F.; Tiehm, A.; Klinger, J.; Hötzl, H.; Goldscheider, N. Tracking Changing X-Ray Contrast Media Application to an Urban-Influenced Karst Aquifer in the Wadi Shueib, Jordan. Environ. Pollut. 2015, 198, 133–143. [Google Scholar] [CrossRef] [PubMed]
- Rivera, J.; Postigo, C.; Rosa María, M.-A.; Aceña, J.; Barcelo, D.; Lopez de Alda, M. Study of Pharmaceuticals in Surface and Wastewater from Cuernavaca, Morelos, Mexico: Occurrence and Environmental Risk Assessment. Sci. Total Environ. 2017, 613–614, 1263–1274. [Google Scholar]
- Pico, Y.; Campo, J.; Alfarhan, A.; El-Sheikh, M.; Barcelo, D. A Reconnaissance Study of Pharmaceuticals, Pesticides, Perfluoroalkyl Substances and Organophosphorus Flame Retardants in the Aquatic Environment, Wild Plants and Vegetables of Two Saudi Arabia Urban Areas: Environmental and Human Health Risk Assessment. Sci. Total Environ. 2021, 776, 145843. [Google Scholar] [CrossRef]
- DeNicola, E.; Aburizaiza, O.; Siddique, A.; Khwaja, H.; Carpenter, D. Climate Change and Water Scarcity: The Case of Saudi Arabia. Ann. Glob. Health 2015, 81, 342–352. [Google Scholar] [CrossRef]
- Mu’azu, N.; Rimi Abubakar, I.; Blaisi, N. Public Acceptability of Treated Wastewater Reuse in Saudi Arabia: Implications for Water Management Policy. Sci. Total Environ. 2020, 721, 137659. [Google Scholar] [CrossRef]
- Tamura, I.; Yasuda, Y.; Kagota, K.; Yoneda, S.; Nakada, N.; Kumar, V.; Kameda, Y.; Kimura, K.; Tatarazako, N.; Yamamoto, H. Contribution of Pharmaceuticals and Personal Care Products (PPCPs) to Whole Toxicity of Water Samples Collected in Effluent-Dominated Urban Streams. Ecotoxicol. Environ. Saf. 2017, 144, 338–350. [Google Scholar] [CrossRef]
- Bu, Q.; Wang, B.; Huang, J.; Deng, S.; Yu, G. Pharmaceuticals and Personal Care Products in the Aquatic Environment in China: A Review. J. Hazard. Mater. 2013, 262, 189–211. [Google Scholar] [CrossRef]
- Laak, T.; Kooij, P.; Tolkamp, H.; Hofman, J. Different Compositions of Pharmaceuticals in Dutch and Belgian Rivers Explained by Consumption Patterns and Treatment Efficiency. Environ. Sci. Pollut. Res. Int. 2014, 21, 12843–12855. [Google Scholar] [CrossRef]
- Nkoom, M.; Lu, G.; Liu, J. Occurrence and Ecological Risk Assessment of Pharmaceuticals and Personal Care Products in Taihu Lake, China: A Review. Environ. Sci. Process. Impacts 2018, 20, 1640–1648. [Google Scholar] [CrossRef]
- Hijosa-Valsero, M.; Reyes-Contreras, C.; Domínguez, C.; Becares, E.; Bayona, J. Behaviour of Pharmaceuticals and Personal Care Products in Constructed Wetland Compartments: Influent, Effluent, Pore Water, Substrate and Plant Roots. Chemosphere 2016, 145, 508–517. [Google Scholar] [CrossRef] [PubMed]
- Yang, Y.; Chen, Z.; Zhang, J.; Wu, S.; Yang, L.; Chen, L.; Shao, Y. The Challenge of Micropollutants in Surface Water of the Yangtze River. Sci. Total Environ. 2021, 780, 146537. [Google Scholar] [CrossRef]
- Wang, J.; Wang, S. Removal of Pharmaceuticals and Personal Care Products (PPCPs) from Wastewater: A Review. J. Environ. Manag. 2016, 182, 620–640. [Google Scholar] [CrossRef]
- Göbel, A.; McArdell, C.; Joss, A.; Siegrist, H.; Giger, W. Fate of Sulfonamides, Macrolides, and Trimethoprim in Different Wastewater Treatment Technologies. Sci. Total Environ. 2007, 372, 361–371. [Google Scholar] [CrossRef]
- Suarez, S.; Lema, J.; Omil, F. Removal of Pharmaceutical and Personal Care Products (PPCPs) under Nitrifying and Denitrifying Conditions. Water Res. 2010, 44, 3214–3224. [Google Scholar] [CrossRef]
- Chen, J.; Xie, S. Overview of Sulfonamide Biodegradation and the Relevant Pathways and Microorganisms. Sci. Total Environ. 2018, 640, 1465–1477. [Google Scholar] [CrossRef]
- Jia, A.; Wan, Y.; Xiao, Y.; Hu, J. Occurrence and Fate of Quinolone and Fluoroquinolone Antibiotics in a Municipal Sewage Treatment Plant. Water Res. 2011, 46, 387–394. [Google Scholar] [CrossRef]
- Ashfaq, M.; Li, Y.; Wang, Y.; Chen, W.; Wang, H.; Chen, X.; Wu, W.; Huang, Z.; Yu, C.-P.; Sun, Q. Occurrence, Fate, and Mass Balance of Different Classes of Pharmaceuticals and Personal Care Products in an Anaerobic-Anoxic-Oxic Wastewater Treatment Plant in Xiamen, China. Water Res. 2017, 123, 655–667. [Google Scholar] [CrossRef]






| Pollutants | Discharge Concentration Limit (mg L−1) |
|---|---|
| COD | 20–40 |
| BOD5 | 4–10 |
| NH3-N | 1–2 |
| TN | 10–15 |
| TP | 0.2–0.4 |
| Name | Before Standard Implementation (ng L−1) | After Standard Implementation (ng L−1) |
|---|---|---|
| Sulfadiazine | 10.9 ± 4.3 | 1.7 ± 1.2 |
| Sulfamethazine | 23.1 ± 11.6 | 0.5 ± 0.2 |
| Sulfamethoxazole | 35.2 ± 4.5 | 30.7 ± 20.2 |
| Lincomycin | 129 ± 91.2 | 9.8 ± 1.8 |
| Erythromycin | 51.4 ± 19.8 | 58.7 ± 19.8 |
| Oxytetracycline | 25.1 ± 3.8 | ND |
| Tetracycline | 28.1 ± 8.2 | ND |
| Chlortetracycline | 4.9 ± 1.1 | ND |
| Ofloxacin | 36 ± 8 | 54.8 ± 34.7 |
| Trimethoprim | 25.2 ± 3.7 | 3.1 ± 1.6 |
| Carbamazepine | 94.9 ± 40.4 | 39.4 ± 26.4 |
Disclaimer/Publisher’s Note: The statements, opinions and data contained in all publications are solely those of the individual author(s) and contributor(s) and not of MDPI and/or the editor(s). MDPI and/or the editor(s) disclaim responsibility for any injury to people or property resulting from any ideas, methods, instructions or products referred to in the content. |
© 2023 by the authors. Licensee MDPI, Basel, Switzerland. This article is an open access article distributed under the terms and conditions of the Creative Commons Attribution (CC BY) license (https://creativecommons.org/licenses/by/4.0/).
Share and Cite
Xie, J.; Pan, Y.; Zheng, B.; Liu, Y.; Li, H.; Wu, Y.; Li, L.; Shan, Z.; Xin, K.; Wang, N.; et al. Assessing the Effect of a Newly Implemented Basic Wastewater Discharge Standard on the Concentrations of Pharmaceutical and Personal Care Products in the Daqing River Basin, China. Water 2023, 15, 1151. https://doi.org/10.3390/w15061151
Xie J, Pan Y, Zheng B, Liu Y, Li H, Wu Y, Li L, Shan Z, Xin K, Wang N, et al. Assessing the Effect of a Newly Implemented Basic Wastewater Discharge Standard on the Concentrations of Pharmaceutical and Personal Care Products in the Daqing River Basin, China. Water. 2023; 15(6):1151. https://doi.org/10.3390/w15061151
Chicago/Turabian StyleXie, Jingyi, Yaran Pan, Boyang Zheng, Yufei Liu, Haixiao Li, Yufeng Wu, Lirong Li, Zhao Shan, Kailing Xin, Naili Wang, and et al. 2023. "Assessing the Effect of a Newly Implemented Basic Wastewater Discharge Standard on the Concentrations of Pharmaceutical and Personal Care Products in the Daqing River Basin, China" Water 15, no. 6: 1151. https://doi.org/10.3390/w15061151
APA StyleXie, J., Pan, Y., Zheng, B., Liu, Y., Li, H., Wu, Y., Li, L., Shan, Z., Xin, K., Wang, N., Zhang, B., & Lu, X. (2023). Assessing the Effect of a Newly Implemented Basic Wastewater Discharge Standard on the Concentrations of Pharmaceutical and Personal Care Products in the Daqing River Basin, China. Water, 15(6), 1151. https://doi.org/10.3390/w15061151

