Next Article in Journal
Does Decentralized Food Crop Cultivation Threaten Water-Land-Food Nexus? A Spatial Econometric Analysis
Previous Article in Journal
Shallow Groundwater Responses to Rainfall Based on Correlation and Spectral Analyses in the Heilonggang Region, China
 
 
Font Type:
Arial Georgia Verdana
Font Size:
Aa Aa Aa
Line Spacing:
Column Width:
Background:
Article

Damage Model and the Influence Factors of Mitigation Engineering against Glacial Debris Flow in the Parlung River Basin, SE Tibetan Plateau

1
School of Civil Engineering, Southwest Jiaotong University, Chengdu 610031, China
2
Faculty of Engineering, China University of Geosciences, Wuhan 430074, China
3
Institute of Exploration Technology, CAGS, Chengdu 611734, China
4
Technology Innovation Center for Risk Prevention and Mitigation Engineering of Geohazard, Ministry of Natural Resources, Chengdu 611734, China
*
Author to whom correspondence should be addressed.
Water 2023, 15(6), 1098; https://doi.org/10.3390/w15061098
Submission received: 19 November 2022 / Revised: 24 February 2023 / Accepted: 9 March 2023 / Published: 13 March 2023
(This article belongs to the Section Water Erosion and Sediment Transport)

Abstract

Understanding the damage mechanism of glacial debris flow mitigation systems is crucial for the risk prevention and assessment of the 200 km traffic corridor in the Southeast of the Tibetan Plateau, where the Sichuan-Tibet railway and expressway have been planned. Based on the phenomena, position and residual efficiency of damaged engineering, our analysis of satellite imagery and field investigation in multitype spatial reveals the damage types and influencing factors of glacial debris flow mitigation engineering. An evaluation model which can be used to estimate the engineering damage grade is established by using the relationship between mono engineering works and mitigation systems. In the new model, the engineering damage is divided into five grades: undamaged, slightly damaged, relatively damaged, seriously damaged, and totally damaged. For glacial debris flow in the Parlung river basin, the five grades of damage of mitigation works account for 8.70%, 34.78%, 21.74%, 13.04% and 21.74%, respectively. Furthermore, the soil source type and channel profile gradient are the key factors in engineering damage. Design defect of profile gradient is the controlling factor of damage in drainage channel engineering. Based on those results, an engineering damage model is established, which can provide an important reference for risk reduction and prevention of hazards due to the increasing development of traffic engineering.

1. Introduction

The area of the SE Tibetan Plateau contains the largest number of marine glaciers in China [1]. With the confirmation of global warming [2], these glaciers are experiencing significant shrinkage, which has increased year on year [3]. This has resulted in abundant numbers of large-scale glacial debris flows in the surrounding area [4]. These glacial debris flows can be classified according to the multi-disaster chain by their uncertain initiation mechanism, their various types, and their complex dynamic processes. Since the 1950s, there have been several famous debris flow hazards occurring in the Parlung River (PLR), which have done a great deal of damage to the river and ecosystem. These geohazards dammed the river, such as in the debris flows occurring in Guxiang gully [5] and Peilong gully [6]. Geohazards also destroyed the highway and villages, as shown in the debris flows that occurred in Dongru gully [7], Midui gully [8] and Tianmo gully [9]. Over the past 60 years, the Chinese government has carried out debris flow mitigation projects continuously to protect the unobstructed parts of the Sichuan-Tibet highway and the villages along the traffic corridor. Along the section of G318 Sichuan Tibet highway from Ranwu town to Tongmai town, there were 23 glacial debris flows that have been controlled by mitigation engineering, accounting for 35.9% of the total number of 64 glacial debris flows that directly harmed the highway. The mitigation system options comprise a drainage channel, check dam, aqueduct, and retention basin. Among them, drainage channel engineering is the most widely used.
Although the evaluation of hazard mitigation engineering has been a popular topic in recent years, the research has not been carried out systematically. The damage grade of engineering has two criteria: Firstly, the damage to the engineering structure, such as fracture, displacement and erosion of the concrete structure. Second is the damage to future mitigation ability, such as the drainage channel losing its diversion functionality, the check dam losing the function of its reservoir, and the reduction of discharge. A lot of studies have been carried out on debris flow mitigation engineering in the southwest mountainous areas of China, especially after the Wenchuan earthquake [10]. These works include the evaluation method for determining the benefits of mitigation [11,12,13], the damage types of check dam and drainage channel [14,15,16,17], the laws of the characteristic dynamic changes due to mitigation engineering [18,19,20,21] and the influencing mechanics of earthquake damage engineering [22]. In addition to field investigation and experimental research, some numerical methods have been used to real the interaction of debris flow and structure. These works include the Discrete Element Method [23], the Finite Element Method [24]), the SPH method [25], the coupled SPH-FEM [26,27,28], and the Arbitrary Lagrangian-Eulerian method [29]. These results have great significance in guiding the disaster mitigation of rainfall-triggered debris flow (RDF). As these studies are mainly involved in RDF, there is a lack of work on the systematic investigation and analysis of glacial debris flow mitigation.
In general, the research on the mitigation of glacier debris flow is insufficient in both theory and practice. Specifically, there is no effective calculation model for the dynamic parameters, such as density, discharge, velocity, total volume, et cetera. Additionally, the interaction mechanisms of engineering structures in response to complex operation conditions are unclear. These ongoing scientific problems lead to glacial debris flow mitigation systems existing in a repeating cycle of building and destruction, followed by rebuilding. For example, the mitigation engineering in Bitong gully and Guxiang gully need to be repaired after every debris flow. This cycle often leads to damage to the highway and causes interruptions to traffic. According to the construction plans of The Sichuan-Tibet Railway, this project passes through the PLR, which should generate impetus for the study and implementation of the glacial debris flow mitigation [30]. Therefore, there is a need to summarize the operational experience of glacier debris flow mitigation engineering and identify the key scientific problems in hazard prevention so as to cope with the changing situation of regional glacial debris flow disaster events. Based on the evaluation of the methods by which mitigation engineering resists RDF, this study, through the continuous investigation of glacial debris flow mitigation systems in the PLR, looks at the damage types, establishes a classification method for the degree of engineering damage, explores the key factors affecting engineering damage under initial debris flow conditions and reveals the damage mechanisms addressed by glacial debris flow mitigation engineering. Thus, the paper puts forward some practical suggestions for the improvement of glacial debris flow hazard mitigation.

2. Study Area

2.1. Formation Conditions of Glacial Debris Flow

The Parlung River basin, crossed by the Sichuan-Tibet railway, is one of the most active regions experiencing glacial debris flow, where debris flow mitigation engineering plays a critical role in the reduction and prevention of damage resulting from glacial geohazards.
The PLR basin is located southeast of the Tibetan Plateau, near the great bend of the Yarlung Zangbo River (Figure 1). In this study area, the geohazard, which is represented by glacial debris flow, is caused by the internal and external dynamics arising from the uplift of the Qinghai-Tibet Plateau [31].
The climate of PLR is mainly affected by the passage of moisture along the Yarlung Zangbo River [32,33]. As the summer monsoon from the Indian Ocean enters the valley of PLR, it produces the rainfall gradients in this basin, with a decreasing trend from the lower reaches to the upper reaches [34]. At the same time, several branching moisture passages, like the Galongqu gully, are distributed in the lower elevation pass of Gangrigabu Mountain.
Influenced by deglaciation and snow avalanche, glacial debris flow can be characterized by fast velocity, large peak discharge, huge total volume, low activity frequency, and high boulder content. These dynamic characteristics, which are different from the characteristics of RDF, present a significant challenge to the function of traditional mitigation engineering. When traditional engineering encounters glacial debris flow, it will be subjected to larger impact forces, much higher discharge and greater scouring effects than specified in the codes to which they have been designed.

2.2. Glacial Debris Flow Mitigation

About half of the debris flow gullies with mitigation engineering are in the Ranwu-Yupu section of PLR (Figure 1b), which is only 1/3 of the total length of the river. The main reason is that the debris flow fan is lost due to erosion by the PLR, such that the highway can hardly avoid glacial debris flow disaster. Due to the large flat fans of the others gullies, the highway usually crosses the debris flow gullies with bridges in less hazardous areas. The main purpose of the mitigation design of glacial debris flow in the PLR is to ensure the safety of the Sichuan-Tibet highway, so it primarily considers drainage, along with check dams for disaster dynamic adjustment. Among these engineering projects, drainage channel work is performed in 95.6% of debris flow gullies, with only the Wulian gully not having a designed drainage channel but relying on the retention basin with a check dam. The second-largest number of engineering projects are check dams. There are nine gullies with 21 check dams, accounting for 39.1% of the total.
These mitigation engineering projects have played a significant role in mitigating glacial debris flow hazards along the Sichuan-Tibet highway. In addition, they have also had benefits in ecological protection and landscape improvement throughout the study area. Even with the trend of increasing frequency of debris flow hazards, those construction works still have an important benefit for the safety of the highway.

3. Methods and Data

3.1. Evaluation Method of Engineering Damage

Although the evaluation of hazard mitigation engineering has been a popular topic in recent years, the research has not been carried out systematically. The damage grade of engineering has two criteria: Firstly, the damage to the engineering structure, such as fracture, displacement and erosion of the concrete structure. Second is the damage to future mitigation ability, such as the drainage channel losing its diversion functionality, the check dam losing the function of its reservoir, and the reduction of discharge. This paper refers to the earthquake damage evaluation method [22,35] and builds a new model based on the damage grade of structural reliability and functionality of mono engineering works, as shown in Table 1. In this new model, damage grade is divided into five levels from I to V. Encompassing the association and function combination relationship between mono engineering works and mitigation systems, the classification method is established, as shown in Figure 2.

3.2. Data of Mitigation Engineering

Almost all drainage channels are damaged after debris flow events. Through the field investigation of mitigation engineering in the Ranwu-Tongmai section of PLR from 2016 to 2020, the data of design standard, dynamic characteristics, engineering location, implementation period and treatment method are obtained, and the debris flow hazard characteristics are collected, shown in Table 2.

4. Results

4.1. Damage Type of Mitigation Engineering

The statistical results show that there are five damage types resulting from both dynamic characteristics and design defects, shown in Table 3. Among those five types, the main damage type is sedimentary damage, which occurs in 16 engineering works of 14 debris flow gullies, followed by scour damage, which occurs in 16 engineering works of 12 debris flow gullies. Impact damage is the least common, only occurring in one engineering work. At the same time, the damage caused by design defects is very significant, proving that there are still great deficiencies in the design method of glacial debris flow mitigation in China.
We summarize the engineering damage to drainage channels with four classifications: abrasion damage, scour damage, sedimentary damage, and brim-over damage. Abrasion damage and scour damage are the most common failure forms in the study area, such as erosion of the engineering surface (Figure 3a,b), scour pit in the channel bed (Figure 3d), and side-wall collapse (Figure 3c). Sedimentary damage mainly occurs at the section where the channel gradient changes and most typically occurs in the channel under a bridge (Figure 3e,f). Brim-over damage is mainly caused by design deficiency when the discharge is greater than the drainage capacity, and giant rocks contained in the fluid are the key factor. It usually occurs at the entrance section and bend section of the drainage channel.
Based on the damage location, as with the drainage channel, the damage of check dams can also be divided into four types: dam abutment damage, dam body damage, dam foundation damage, and auxiliary structure damage, shown in Figure 4.
Dam abutment failure is caused by seepage and scour, which erode the soil and loosen the abutment foundation (Figure 4a,b). Dam body damage is not as common as abutment damage in the study area, which is mainly characterized by cracks caused by impact force (Figure 4c) and notches caused by abrasion (Figure 4d). Dam foundation damage is the most common failure mode. In general, all check dams would be damaged with varying degrees after experiencing debris flow. However, when the scouring depth is less than the foundation depth, its impact on dam stability is limited. Auxiliary structure damage usually includes the erosion and deposition of the overflow structure (Figure 4e), which affects the reliability and function of the check dam. In addition, the damage to the anti-erosion structure is widely distributed (Figure 4f).

4.2. Results of Evaluation of Engineering Damage

4.2.1. Evaluation of Mono Engineering Work Damage

Applying the damage evaluation model established in Table 1 and Figure 2 to the mitigation engineering in PLR, the glacial debris flow drainage channel is statistically analyzed. The results are shown in Figure 5. There are two undamaged engineering works (I grade damage), seven slightly damaged engineering works (II grade damage), three relatively damaged engineering works (III grade damage), five seriously damaged engineering works (IV grade damage), and five totally damaged engineering works (V grade damage). The percentages of these damage grades were 9.09%, 31.82%, 13.63%, 22.73%, and 22.73%, respectively.
The evaluation results of the check dam damage are shown in Table 4. There are two undamaged engineering works (I grade damage), four slightly damaged engineering works (II grade damage), six relatively damaged engineering works (III grade damage), five seriously damaged engineering works (IV grade damage), and four totally damaged engineering works (V grade damage). The percentages of these damage grades were 9.53%, 19.05%, 28.57%, 23.81%, and 19.05%, respectively. These damaged engineering works indicate that check dams are not suitable for low-frequency glacial debris flow.

4.2.2. Evaluation of Mitigation System Damage

We have shown the evaluation results of mitigation systems in Figure 2 in Table 5. Among the 23 mitigated debris flow gullies in the PLR basin, there are two undamaged mitigation systems (I grade damage), eight slightly damaged mitigation systems (II grade damage), five relatively damaged mitigation systems (III grade damage), three seriously damaged mitigation systems (IV grade damage), and five totally damaged mitigation systems (V grade damage). The percentages of these damage grades were 8.70%, 34.78%, 21.74%, 13.04%, and 21.74%, respectively.

4.3. Damage Model of Mitigation Engineering

4.3.1. Influence Factors on Engineering Damage

The force causing the engineering damage shows a pulse distribution on a time scale, with the force position and vector direction also being random. This makes it difficult to quantitatively analyze the mechanism of structural damage. Besides, the engineering damage has the characteristics of multi-pathogenesis and the same symptoms, which also makes the analysis of the mechanical processes difficult.
(1) Influence of debris flow formation condition on drainage channel damage
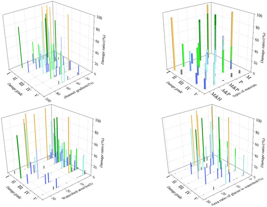
In this paper, we summarize the formation conditions of glacial debris flow into four categories: basin area, channel gradient, glacier area and soil source type. We analyze the relationship between engineering damage and formation conditions, as shown in Figure 6 and Figure 7.
The results show that the channel gradient has a positive correlation with the damage grade and has the biggest impact on sedimentary damage. When the soil sources of debris flow are moraine (M) plus landslide (L) or snow avalanche (A) plus slope erosion (E), it usually results in a seriously damaged grade and a sedimentary damage type. Such types of glacial debris flow should be paid significant attention to when designing and constructing hazard mitigation projects. Broadly speaking, the watershed area has a two-level differentiation effect on the damage grade and damage type. The large area and small area are both closely related to the damage grade, although the exact relationship is unclear. The impact of the glacier area is consistent with the watershed area due to the hydrodynamic conditions of glacial debris flow, mainly rainfall and glacier melt, which are closely related to the area parameter. For the damage type, when the watershed area is larger than 10 km2, there is mainly scour damage and abrasion damage, while when less than 10 km2, there is mainly brim-over damage and sedimentary damage.
(2) Influence of design defects on drainage channel damage
According to previous damage analysis, engineering design defects mainly lead to scour damage of the overflow structure of check dams, caused by a lack of efficiency of flow; it could also cascade by triggering damage to the dam abutment and dam foundation. Through field investigation, the two flow areas of debris flow events, both in the reservoir entrance and the check dam, are compared with the designed area of the overflow structure, as shown in Figure 8. It can be seen from the figure that the most serious abutment damage is to the dam of 22-2 (No.2 dam in Guxiang gully), also shown in Figure 4b and Table 3. However, dam 15-3 (No.3 dam in Xinkongdong gully) experienced no damage because the reservoir of the check dam was empty, and the debris flow was blocked by the reservoir. The check dam greatly reduces the peak discharge so that the overflow structure can meet the hazard requirements. As the reservoir is now full of soil materials, if it experiences a similar debris flow in the future, the overflow capacity will be utterly insufficient. Such an event will trigger damage to the overflow structure when the overflow capacity is less than the size of the debris flow hazard. This kind of issue usually arises from the discharge calculating model of glacial debris flow being inaccurate.
The most common defect of drainage channel design is the channel gradient design, and the engineering work that is built is often designed according to the terrain of the debris flow fan. This leads to several types of damage to the channel engineering work. The drainage channel experiences sedimentary damage when the gradient is less than 200.00‰; otherwise, it experiences abrasion damage and scour damage (Figure 9). There is an outlier in the form of No.21 in Figure 9, which is the drainage channel in Guxiang gully, which experiences abrasion damage when the gradient is less than 200.00‰. The reason for this is that there are two check dams upstream of the drainage channel. After most of the soil materials of debris flow are deposited in the reservoir, the debris flow changes to a torrential flood, which will hardly deposit any material but will produce strong abrasion and scour forces under the higher velocity.
The gradient change of a drainage channel is the most important factor for sedimentary damage. The ratio of damage length is related to the initial gradient of the channel, the amplitude of gradient change, and the length ratio between two sections of the channel with different gradients (Figure 10). On the whole, the length ratio and amplitude of gradient change are inversely proportional to the sedimentary damage grade, while the initial gradient has less effect on the sedimentary damage grade.
Based on the four influence factors of the ratio of damage length, through mathematical function fitting, the formula of sedimentary damage length is established as in Equation (1)
Y = 0.9196 0.0106 × L 0 2 × e 1 η × η J 0
where the Y is sedimentary damage length; L0 is the initial length divided by the gradient change length; η is the amplitude of gradient change, itself calculated by J0/J1, where J0 is the initial gradient, and J1 is the changed gradient; e is the natural number.
The test of Equation (1) is shown in Figure 11. The test result shows that there is a good correlation between the fitting value of Equation (1) and the measured value, such that the empirical formula is suitable for the study of drainage channels subject to glacial debris flow in the PLR basin.

4.3.2. Analysis of Engineering Damage Model

Based on the above analysis, the damage models of the drainage channel and check dam can be established, shown in Figure 12 and Figure 13, respectively.
The four factors of the debris flow formation conditions influence the disaster characteristic of discharge, velocity, density, and boulder content, causing brim-over damage, scour damage, sedimentary damage, and abrasion damage, respectively. In engineering design, the design of horizontal bend and gradient should consider sedimentary damage on the concave bank. The design of energy dissipation engineering should consider the scour and abrasion damage caused by boulders. The damage to the check dam is more complex, such that we cannot obtain the force mechanism based on our investigations. For glacial debris flow hazard mitigation, check dams are commonly used for auxiliary engineering in the mitigation system because of the restraint of the protection object and the terrain of the debris fan. The key factors in check dam damage are the interaction between engineering and debris flow, designing of the overflow structure and designing of the anti-erosion structure (Figure 13). None of these problems are thoroughly studied in the mitigation of rainfall-triggered debris flow.

5. Discussion

(1) Complexity of interaction between glacial debris flow and engineering
The characteristics of glacial debris flow are quite different from that of RDF. The particle size distribution of the giant block is larger, resulting in greater heterogeneity of physical properties. The wear process and mechanical mechanism of the engineering surface under the alternating action of water flow and debris flow is also an important difference. Under the effect of various types of debris flows, there is no essential difference in the damage phenomenon of mitigation engineering, but some differences consist in the apparent details. Compared with the mitigation engineering of RDF, for the GRDF, the pit abrasion damage and the dam body damage are more serious [16]. The high content rate and velocity of the giant rock in GRDF are the triggering factors, which lead to strong impact energy on the engineering. The damage to the dam foundation is relatively slight, which may be caused by the higher strength of the moraine soil [36]. The sedimentary damage in the drainage of GRDF is caused by the change in the hydraulic gradient of the channel bed, which is different from that of RDF due to the fluid properties [15]. The damage to the check dam mainly occurs from the abutment part but not the center part, which is completely different from the numerical simulation results [13]. The reason is that the vulnerability of the joint between soil and engineering is overlooked in the numerical study. The damage characteristics obtained based on the operation of the structure can provide a great reference value for the design of mitigation engineering of GRDF.
(2) Some suggestions on mitigation systems for glacial debris flow
When the possibility of blocking the main river by debris flow is slight, the drainage channel solution should be used as far as possible. The drainage channel has the advantages of established technology and clearly understood influence mechanisms. Unlike a check dam, even in the case of partial damage, a drainage channel would rarely trigger a disaster chain. Before there is a new calculation model of the dynamic parameters of glacial debris flow, it is not suitable to use a check dam as the main mitigation engineering solution, especially a gravity check dam. On the other hand, due to the high content of boulders in glacial debris flow, the grid-type dam can be considered to retain boulders in the wider and gentler sections, which would be of great value to the safety of the drainage channel.
(3) Suggestions on the mono-mitigation engineering
The analysis of influencing factors reveals that the gradient, bend and boulders have a significant impact on the drainage channel. Therefore, some suggestions are put forward for engineering design. The gradient of the channel should be controlled at 200~300‰. When the drainage channel passes through a bridge, the gradient under the bridge should be greater than that upstream so as to reduce sedimentary damage. When the gradient change cannot be avoided, Equation (1) suggested in this paper can be used to calculate the sedimentary damage length.
When it is necessary to build a check dam, it should be designed as a grid-type dam, and there should be an increase in the size of the overflow structure. In the absence of the calculation method of debris flow overflow, the overflow area can be based on the flow area at the entrance of the reservoir to ensure that the overflow area of the dam is larger than that of the channel. The influence of boulders should be considered in the design of auxiliary engineerings, such as anti-scour engineering.
(4) The Sichuan-Tibet railway and the Sichuan-Tibet Expressway both cross the areas where glacial debris flows are the most common geohazard. Disaster mitigation in project construction creates new requirements for the theoretical research of glacial debris flow. There are two points to be made closely related to mitigation technology. First, it is necessary to clarify the hydrological process of water recharge by glacier and snow avalanche in debris flow processes, such as to understand the influence of ice/snow on dynamic parameters. Second, it is urgent to study the relationship between the initiation mechanism of glacial debris flow and hazard characteristics and establish an evaluation method to determine the extreme conditions of the geohazard.

6. Conclusions

To evaluate the operational state of the mitigation engineering, which was constructed to mitigate glacial debris flow along the Sichuan-Tibet highway in the PLR basin, a field investigation of the engineering was carried out. Based on the field investigation results, the damage type and influence factors are summarized, and some suggestions for mitigation system design are made for the construction of the Sichuan-Tibet railway.
(1) Five damage types to the mitigation engineering of glacial debris flow are summarized: scour damage, abrasion damage, impact damage, sedimentary damage and damage triggered by insufficient function. Among those five types, the driving forces of the first three types are dynamic characteristics, with design deficiency causing the last two types.
(2) A new evaluation model of mitigation engineering for glacial debris flow is established based on the damage to function and damage to engineering structure. The five damage grades are obtained by the field investigation, which is: undamaged (Ⅰ grade), slightly damaged (II grade), relatively damaged (III grade), seriously damaged (IV grade), and totally damaged (V grade).
(3) By analyzing the key factors of damage type and damage grade, it is found that the geohazard formation conditions, which are characterized by channel gradient, watershed area and soil source type, are related to the damage to the drainage channel. On this basis, the damage model for engineering works is established.
(4) It is revealed that the LJ gradient for determining the damage type of the drainage channel is 20.00%. When the gradient is below 20.00%, the drainage channel will experience sedimentary damage. Otherwise, it will experience scour damage and abrasion damage. A formula to calculate the length of sedimentary damage is built using the three parameters of the ratio of channel length with different gradients, amplitudes of gradient change, and the initial gradient.

Author Contributions

Conceptualization, M.L. and H.H.; methodology, M.L. and H.H.; formal analysis, C.G.; investigation, M.L., C.G., H.H. and D.Y.; data curation, C.G.; writing—original draft preparation, M.L. and H.H.; writing—review and editing, M.L., C.G., H.H. and D.Y. All authors have read and agreed to the published version of the manuscript.

Funding

This research was funded by the Second Tibetan Plateau Scientific Expedition and Research (STEP) program (Grant No. 2019QZKK0902) and; the Geological Survey Program of CGS (DD20190644, DD20221741).

Data Availability Statement

The data presented in this study are available on request from the corresponding author. The data are not publicly available, due to privacy.

Conflicts of Interest

The data of this paper are original, and no part of this manuscript has been published or submitted for publication elsewhere. The authors declare no competing financial interest.

References

  1. Yao, T.; Thompson, L.; Yang, W.; Yu, W.; Gao, Y.; Guo, X.; Yang, X.; Duan, K.; Zhao, H.; Xu, B.; et al. Different glacier status with atmospheric circulations in Tibetan Plateau and surroundings. Nat. Clim. Chang. 2012, 2, 663–667. [Google Scholar] [CrossRef]
  2. Yang, W.; Yao, T.; Guo, X.; Zhu, M.; Li, S.; Kattel, D.B. Mass balance of a maritime glacier on the southeast Tibetan Plateau and its climatic sensitivity. J. Geophys. Res. Atmos. 2013, 118, 9579–9594. [Google Scholar] [CrossRef]
  3. Yao, T.; Xue, Y.; Chen, D.L.; Chen, F.-z.; Thompson, L.G.; Cui, P.; Koike, T.; Lau, W.K.M.; Lettenmaier, D.P.; Mosbrugger, V.; et al. Recent Third Pole’s Rapid Warming Accompanies Cryospheric Melt and Water Cycle Intensification and Interactions between Monsoon and Environment: Multidisciplinary Approach with Observations, Modeling, and Analysis. Bull. Am. Meteorol. Soc. 2019, 100, 423–444. [Google Scholar] [CrossRef]
  4. Peng, C.; Rong, C.; Xiang, L.; Su, F. Risk Analysis of Mountain Hazards in Tibetan Plateau Under Global Warming. Adv. Clim. Chang. Res. 2014, 10, 103. [Google Scholar]
  5. Tang, J.; Liu, C.; Mao, J.; Wang, H. Numerical Simulation and Hazard Analysis of Debris Flows in Guxiang Gully, Tibet, China. Front. Earth Sci. 2022, 10, 908078. [Google Scholar] [CrossRef]
  6. Chen, N.; Chen, R. Glacial and rainstorm debris-flow in peilong gully and possibility in its blocking main river. J. Mt. Sci. 2002, 20, 738–742. (In Chinese) [Google Scholar]
  7. Lvu, R.R.; Li, D.J. Debris flow induced by melted water of Dongrunongbu, Bomi, Tibet. Glacies Frozen Earth 1989, 11, 148–160. (In Chinese) [Google Scholar]
  8. Liu, J.; Cheng, Z.; Li, Y. Glacier lake outburst floods of the Guangxieco Lake in 1988 in Tibet, China. Nat. Hazards Earth Syst. Sci. Discuss. 2013, 1, 4605–4634. [Google Scholar]
  9. Wei, R.; Zeng, Q.; Davies, T.; Yuan, G.; Wang, K.; Xue, X.; Yin, Q. Geohazard cascade and mechanism of large debris flows in Tianmo gully, SE Tibetan Plateau and implications to hazard monitoring. Eng. Geol. 2018, 233, 172–182. [Google Scholar] [CrossRef]
  10. Chen, X.; Cui, P.; You, Y.; Chen, J.; Li, D. Engineering measures for debris flow hazard mitigation in the Wenchuan earthquake area. Eng. Geol. 2015, 194, 73–85. [Google Scholar] [CrossRef]
  11. Liu, F.; Xu, Q.; Dong, X.; Yu, B.; Frost, J.; Li, H. Design and performance of a novel multi-function debris flow mitigation system in Wenjia Gully, Sichuan. Landslides 2017, 14, 2089–2104. [Google Scholar] [CrossRef]
  12. Wang, F.; Wang, J.; Chen, X.; Chen, J. Experimental study on debris-flow velocity control mechanism with baffles in a drainage channel. Bull. Eng. Geol. Environ. 2021, 80, 5203–5217. [Google Scholar] [CrossRef]
  13. Cucchiaro, S.; Cazorzi, F.; Marchi, L.; Crema, S.; Beinat, A.; Cavalli, M. Multi-temporal analysis of the role of check dams in a debris-flow channel: Linking structural and functional connectivity. Geomorphology 2019, 345, 106844. [Google Scholar] [CrossRef]
  14. Hu, K.H.; Cui, P.; Zhang, J.Q. Characteristics of damage to buildings by debris flows on 7 August 2010 in Zhouqu, Western China. Nat. Hazards Earth Syst. Sci. 2012, 12, 2209–2217. [Google Scholar] [CrossRef]
  15. Chen, J.-G.; Chen, X.-Q.; Wang, T.; Zou, Y.-H.; Zhong, W. Types and causes of debris flow damage to drainage channels in the Wenchuan earthquake area. J. Mt. Sci. 2014, 11, 1406–1419. [Google Scholar] [CrossRef]
  16. Yang, D.; You, Y.; Zhao, W.; Huang, H.; Sun, H.; Liu, Y. Abrasion Behavior and Anti-Wear Measures of Debris Flow Drainage Channel with Large Gradient. Water 2020, 12, 1868. [Google Scholar] [CrossRef]
  17. Baggio, T.; D’Agostino, V. Simulating the effect of check dam collapse in a debris-flow channel. Sci. Total Environ. 2022, 816, 151660. [Google Scholar] [CrossRef]
  18. Sun, H.; You, Y.; Liu, J.; Zhang, G.; Feng, T.; Wang, D. Experimental study on discharge process regulation to debris flow with open-type check dams. Landslides 2021, 18, 967–978. [Google Scholar] [CrossRef]
  19. Lee, K.; Kim, Y.; Ko, J.; Jeong, S. A study on the debris flow-induced impact force on check dam with-and without-entrainment. Comput. Geotech. 2019, 113, 103104. [Google Scholar] [CrossRef]
  20. Hu, H.; Zhou, G.G.; Song, D.; Cui, K.F.E.; Huang, Y.; Choi, C.E.; Chen, H. Effect of slit size on the impact load against debris-flow mitigation dams. Eng. Geol. 2020, 274, 105764. [Google Scholar] [CrossRef]
  21. Rossi, G.; Armanini, A. Experimental analysis of open check dams and protection bars against debris flows and driftwood. Environ. Fluid Mech. 2020, 20, 559–578. [Google Scholar] [CrossRef]
  22. Hu, X.; Hu, K.; Tang, J.; You, Y.; Wu, C. Assessment of debris-flow potential dangers in the Jiuzhaigou Valley following the August 8, 2017, Jiuzhaigou earthquake, western China. Eng. Geol. 2019, 256, 57–66. [Google Scholar] [CrossRef]
  23. Leonardi, A. Numerical Simulation of Debris Flow and Interaction between Flow and Obstacle via DEM; ETH Zurich: Zürich, Switzerland, 2015. [Google Scholar]
  24. Istrati, D.; Hasanpour, A.; Buckle, I. Numerical investigation of tsunami-borne debris damming loads on a coastal bridge. In Proceedings of the 17 World Conference on Earthquake Engineering, Sendai, Japan, 13–18 September 2022. [Google Scholar]
  25. Pasculli, A.; Minatti, L.; Sciarra, N.; Paris, E. SPH modeling of fast muddy debris flow: Numerical and experimental comparison of certain commonly utilized approaches. Ital. J. Geosci. 2013, 132, 350–365. [Google Scholar] [CrossRef]
  26. Hasanpour, A.; Istrati, D.; Buckle, I. Coupled SPH–FEM modeling of tsunami-borne large debris flow and impact on coastal structures. J. Mar. Sci. Eng. 2021, 9, 1068. [Google Scholar] [CrossRef]
  27. Istrati, D.; Hasanpour, A. Advanced numerical modelling of large debris impact on piers during extreme flood events. In Proceedings of the 7th IAHR Europe Congress, Athens, Greece, 7–9 September 2022; IAHR: Madrid, Spain, 2022; pp. 7–9. [Google Scholar]
  28. Hasanpour, A.; Istrati, D.; Buckle, I.G. Multi-physics modeling of tsunami debris impact on bridge decks. In Proceedings of the 3rd International Conference on Natural Hazards & Infrastructure, Athens, Greece, 5–7 July 2022; Elsevier: Amsterdam, The Netherlands, 2022; pp. 5–7. [Google Scholar]
  29. Como, A.; Mahmoud, H. Numerical evaluation of tsunami debris impact loading on wooden structural walls. Eng. Struct. 2013, 56, 1249–1261. [Google Scholar] [CrossRef]
  30. Lu, C.; Cai, C. Challenges and countermeasures for construction safety during the Sichuan–Tibet railway project. Engineering 2019, 5, 833–838. [Google Scholar] [CrossRef]
  31. Zhang, Y.S.; Guo, C.B.; Yao, X.; Yang, Z.H.; Wu, R.A. Research on the geohazard effect of active fault on the eastern margin of the Tibetan Plateau. Acta Geosci. Sin. 2016, 37, 277–286. (In Chinese) [Google Scholar] [CrossRef]
  32. Owen, L.A. Latest Pleistocene and Holocene glacier fluctuations in the Himalaya and Tibet. Quat. Sci. Rev. 2009, 28, 2150–2164. [Google Scholar] [CrossRef]
  33. Yi, C.; Chen, H.; Yang, J.; Liu, B.; Fu, P.; Liu, K.; Li, S. Review of Holocene glacial chronologies based on radiocarbon dating in Tibet and its surrounding mountains. J. Quat. Sci. 2008, 23, 533–543. [Google Scholar] [CrossRef]
  34. Deng, M.; Chen, N.; Liu, M. Meteorological factors driving glacial till variation and the associated periglacial debris flows in Tianmo Valley, south-eastern Tibetan Plateau. Nat. Hazards Earth Syst. Sci. 2017, 17, 345–356. [Google Scholar] [CrossRef]
  35. Yazdani, A.; Yazdannejad, K. Estimation of the seismic demand model for different damage levels. Eng. Struct. 2019, 194, 183–195. [Google Scholar] [CrossRef]
  36. Zhou, G.G.D.; Chen, L.-L.; Mu, Q.-Y.; Cui, K.F.E.; Song, D.-R. Effects of water content on the shear behavior and critical state of glacial till in Tianmo Gully of Tibet, China. J. Mt. Sci. 2019, 16, 1743–1759. [Google Scholar] [CrossRef]
Figure 1. Sketch map of the investigated area.
Figure 1. Sketch map of the investigated area.
Water 15 01098 g001
Figure 2. The classification method of damage grade for debris flow mitigation engineering.
Figure 2. The classification method of damage grade for debris flow mitigation engineering.
Water 15 01098 g002
Figure 3. Damage types for drainage channels subject to glacial debris flow.
Figure 3. Damage types for drainage channels subject to glacial debris flow.
Water 15 01098 g003
Figure 4. Damage types for check dams subject to glacial debris flow.
Figure 4. Damage types for check dams subject to glacial debris flow.
Water 15 01098 g004
Figure 5. Damage grade division of drainage channels in PLR.
Figure 5. Damage grade division of drainage channels in PLR.
Water 15 01098 g005
Figure 6. The relationship between debris flow formation conditions and damage grade.
Figure 6. The relationship between debris flow formation conditions and damage grade.
Water 15 01098 g006
Figure 7. The relationship between debris flow formation conditions and damage type. B: brim-over damage, S: scour damage, A: abrasion damage, D: sedimentary damage.
Figure 7. The relationship between debris flow formation conditions and damage type. B: brim-over damage, S: scour damage, A: abrasion damage, D: sedimentary damage.
Water 15 01098 g007
Figure 8. Comparative analysis of overflow area of typical check dam.
Figure 8. Comparative analysis of overflow area of typical check dam.
Water 15 01098 g008
Figure 9. The relationship between the gradient of the drainage channel and damage type.
Figure 9. The relationship between the gradient of the drainage channel and damage type.
Water 15 01098 g009
Figure 10. Relationship between gradient change and the ratio of sedimentary damage length.
Figure 10. Relationship between gradient change and the ratio of sedimentary damage length.
Water 15 01098 g010
Figure 11. Fitting effect test of the Equation (1).
Figure 11. Fitting effect test of the Equation (1).
Water 15 01098 g011
Figure 12. The damage models of drainage channels under glacial debris flow.
Figure 12. The damage models of drainage channels under glacial debris flow.
Water 15 01098 g012
Figure 13. The damage models of a check dam under glacial debris flow.
Figure 13. The damage models of a check dam under glacial debris flow.
Water 15 01098 g013
Table 1. The classification method of damage grade of engineering structure.
Table 1. The classification method of damage grade of engineering structure.
Damage GradeMorphologyMitigation Functional RetentionFeasibility of Repair
UndamagedIUndamagedComplete retentionIt can be used without repair
Slightly damagedIISurface damageBasically normal, but not recommended to mitigate large-scale disaster under extreme formation conditionsThe difficulty of repairing the appearance is low
Relatively damagedIIIParts of structure damageThere is a small loss of function, which is not related to control engineeringThe difficulty to repair parts of the engineering components is medium
Seriously damagedIVStructure seriously damageA small part of the function is retention, which can be used as a safety reserve of the mitigation system after repairThe difficulty is high because most of the structures need to be repaired
Totally damagedVDestructionThe function is completely lost as the structure is incompleteThere is no repair significance
Table 2. The investigation data of mitigation engineering of glacial debris flow in the PLR.
Table 2. The investigation data of mitigation engineering of glacial debris flow in the PLR.
NumberNameWatershed Area (km2)Glacier Area (km2)Channel Gradient (%)Debris Flow TypeSoil Materials TypeMitigation ModeEngineering Works
1Lare gully7.710.3826.17Glacial DFMoraineDrainage with retentionChannel & Culvert
2Waba gully15.582.2615.11Glacial DFMoraineDrainageChannel & Culvert
3Wulian gully7.632.1722.75Glacial DFMoraineRetentionRetention basin
4Quzhen gully21.763.3821.32Glacial DFEroded soilDrainageCheck dam & Channel
5Midui-E gully 1.610.0063.86Snow avalanche DFEroded soilDrainageAqueduct
6Zhagongxi gully3.460.0056.68Snow melting-rainfall DFMoraine & Eroded soilDrainageChannel & Culvert
7Midui-W gully0.930.0079.86Glacial DFEroded soilDrainageAqueduct
8Napu-E gully2.930.3952.31Glacial DFEroded soil & Avalanched snowDrainageChannel & Culvert
9Napu-M gully0.530.0054.89Snow avalanche DFEroded soil & Avalanched snowDrainageChannel & Culvert
10Napu-W gully1.510.0045.44Snow avalanche DFEroded soil & Avalanched snowDrainageChannel & Culvert
11Dongru gully22.902.4022.10Glacial DFMoraine & LandslideDrainageChannel
12Rongduo gully2.520.0057.36Snow avalanche DFEroded soil & Avalanched snowDrainage with retentionChannel
13Xingkongdong gully4.400.0240.26Glacial DFMoraineDrainage with retentionChannel & Check dam
14Xingkongzhong gully3.350.0434.16Glacial DFMoraineDrainage with retentionChannel & Check dam
15Xingkongxi gully5.320.2735.06Glacial DFMoraineRetention with drainageChannel & Check dam
16Daxingdong gully5.040.2841.02Glacial DFMoraineRetention with drainageChannel & Check dam
17Daxingxi gully5.950.0042.70Glacial DFMoraineDrainage with retentionChannel & Check dam
18Nahalongba gully7.380.0031.48Glacial DFMoraineDrainage with retentionChannel & Check dam
19Rizegunba gully7.110.5134.15Glacial DFMoraineDrainage Channel
20Zhataduo gully21.362.3321.18Glacial DFMoraineDrainageChannel
21Guxiang gully32.335.4520.29Glacial DFMoraineDrainage with retentionChannel & Check dam
22Jiaolong gully22.871.7224.26Glacial DFMoraineDrainageChannel
23Bitong gully25.015.4324.20Glacial DFMoraineDrainageChannel
Table 3. Statistics of damage type of mitigation engineering of glacial debris flow.
Table 3. Statistics of damage type of mitigation engineering of glacial debris flow.
MotivatorsDamage TypeQuantityTypical GullyTypical
Engineering
Damage Phenomenon
GullyEngineering
Dynamic characteristics
of debris flow
Scour damage914No.21Check damFoundation exposed
Abrasion damage1216No.23Drainage channelPit on the bottom
Impact damage12No.15No.3 check damDam body fracture
Design
deficiency
Damage triggered by insufficient function912No.8Drainage channelBrim over on the bend of drainage channel
Sedimentary damage 1416No.15Drainage channelSedimentary, under the bridge
Table 4. Statistics of damage grade division of check dam. (The legend of damage grade is the same as Figure 5).
Table 4. Statistics of damage grade division of check dam. (The legend of damage grade is the same as Figure 5).
Gully Number-
Engineering Number
Main StructureAuxiliary StructureDamage Grade of Engineering
Dam BodyDam FoundationDam AbutmentOverflow StructureAnti-Scour Structure
3-1
4-1 N
4-2 N
13-1
13-2
13-3
14-1
14-2
14-3
15-1
15-2
15-3
16-1
16-2 N
16-3 N
17-1
17-2 N
17-3 N
18-1
21-1 N
21-2 N
Table 5. Damage evaluation of the mitigation systems of single debris flow gullies. (The legend of damage grade is the same as Figure 5).
Table 5. Damage evaluation of the mitigation systems of single debris flow gullies. (The legend of damage grade is the same as Figure 5).
Gully NumberMain Function of
Mitigation System
Damage Grade of Check DamDamage Grade of Drainage ChannelDamage Grade of Mitigation System
1DrainageN
2DrainageN
3Dam N
4Drainage
5DrainageN
6DrainageN
7DrainageN
8DrainageN
9DrainageN
10DrainageN
11DrainageN
12DrainageN
13Drainage
14Drainage
15Dam
16Dam
17Drainage
18Drainage
19DrainageN
20DrainageN
21Drainage
22DrainageN
23DrainageN
Disclaimer/Publisher’s Note: The statements, opinions and data contained in all publications are solely those of the individual author(s) and contributor(s) and not of MDPI and/or the editor(s). MDPI and/or the editor(s) disclaim responsibility for any injury to people or property resulting from any ideas, methods, instructions or products referred to in the content.

Share and Cite

MDPI and ACS Style

Lin, M.; Gong, C.; Huang, H.; Yang, D. Damage Model and the Influence Factors of Mitigation Engineering against Glacial Debris Flow in the Parlung River Basin, SE Tibetan Plateau. Water 2023, 15, 1098. https://doi.org/10.3390/w15061098

AMA Style

Lin M, Gong C, Huang H, Yang D. Damage Model and the Influence Factors of Mitigation Engineering against Glacial Debris Flow in the Parlung River Basin, SE Tibetan Plateau. Water. 2023; 15(6):1098. https://doi.org/10.3390/w15061098

Chicago/Turabian Style

Lin, Mingan, Cheng Gong, Hai Huang, and Dongxu Yang. 2023. "Damage Model and the Influence Factors of Mitigation Engineering against Glacial Debris Flow in the Parlung River Basin, SE Tibetan Plateau" Water 15, no. 6: 1098. https://doi.org/10.3390/w15061098

APA Style

Lin, M., Gong, C., Huang, H., & Yang, D. (2023). Damage Model and the Influence Factors of Mitigation Engineering against Glacial Debris Flow in the Parlung River Basin, SE Tibetan Plateau. Water, 15(6), 1098. https://doi.org/10.3390/w15061098

Note that from the first issue of 2016, this journal uses article numbers instead of page numbers. See further details here.

Article Metrics

Back to TopTop