Assessment of Heavy Metal(oid)s Accumulation in Eggplant and Soil under Different Irrigation Systems
Abstract
1. Introduction
2. Materials and Methods
2.1. Area of Study
2.2. Sample Collection, Preparation, and Analysis
2.3. Statistical Analysis
3. Results
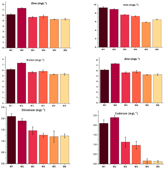
3.1. Level of HMs in Wastewater Samples
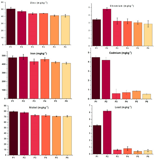
3.2. Heavy Metal(oid) Level in Soil Samples
3.3. Heavy Metal(oid) Concentration in Vegetable Samples
3.4. Translocation Factor
4. Discussion
5. Conclusions
Author Contributions
Funding
Data Availability Statement
Acknowledgments
Conflicts of Interest
References
- Khan, S.; Rehman, S.; Khan, A.; Khan, M. Soil and vegetables enrichment with HMs from geological sources in Gilgit, northern Pakistan. Ecotox. Environ. Safe 2010, 73, 1820–1827. [Google Scholar] [CrossRef] [PubMed]
- Rehman, H.U.; Munir, M.; Ashraf, K.; Fatima, K.; Shahab, S.; Ali, B.; Al-Saeed, F.A.; Abbas, A.M.; Zaman, Q.U. Heavy Metals, Pesticide, Plasticizers Contamination and Risk Analysis of Drinking Water Quality in the Newly Developed Housing Societies of Gujranwala, Pakistan. Water 2022, 14, 3787. [Google Scholar] [CrossRef]
- Zeng, F.; Ali, S.; Zhang, H.; Ouyang, Y.; Qiu, B.; Wu, F.; Zhang, G. The influence of pH and organic matter content in paddy soil on heavy metal availability and their uptake by rice plants. Environ. Pollut. 2011, 159, 84–91. [Google Scholar] [CrossRef]
- Zhao, K.; Liu, X.; Xu, J.; Selim, H. Heavy metal contaminations in a soil-rice system: Identification of spatial dependence in relation to soil properties of paddy fields. J. Hazard Mater. 2010, 181, 778–787. [Google Scholar] [CrossRef]
- Naz, R.; Khan, M.K.; Hafeez, A.; Fazil, M.; Khan, M.N.; Ali, B.; Javed, M.A.; Imran, M.; Shati, A.A.; Alfaifi, M.Y.; et al. Assessment of phytoremediation potential of native plant species naturally growing in a heavy metal-polluted industrial soils. Braz. J. Biol. 2022, 84, e264473. [Google Scholar] [CrossRef] [PubMed]
- Saleem, K.; Asghar, M.A.; Saleem, M.H.; Raza, A.; Kocsy, G.; Iqbal, N.; Ali, B.; Albeshr, M.F.; Bhat, E.A. Chrysotile-Asbestos-Induced Damage in Panicum virgatum and Phleum pretense Species and Its Alleviation by Organic-Soil Amendment. Sustainability 2022, 14, 10824. [Google Scholar] [CrossRef]
- Singh, A.; Sharma, R.; Agrawal, M.; Marshall, F. Health risk assessment of HMs via dietary intake of foodstuffs from the wastewater irrigated site of a dry tropical area of India. Food Chem. Toxic. 2010, 48, 611–619. [Google Scholar] [CrossRef] [PubMed]
- Anwar, T.; Qureshi, H.; Parveen, N.; Mahmood, S.; Haider, M.Z.; Mumtaz, S.; Nawaz, H.; Khan, S.A.; Hafeez, A.; Tipu, M.I.; et al. Herbicidal effectiveness of wild poisonous plant Rhazya stricta using different media by the sandwich method. Pak. J. Bot. 2023, 55, 749–754. [Google Scholar] [CrossRef]
- Marcovecchio, J.; Botte, S.; Freije, R. HMs, major metals, trace elements. In Handbook of Water Analysis, 2nd ed.; Nollet, L.M.L., Ed.; CRC Press: Boca Raton, FL, USA, 2007. [Google Scholar]
- Zainab, N.; Khan, A.A.; Azeem, M.A.; Ali, B.; Wang, T.; Shi, F.; Alghanem, S.M.; Hussain Munis, M.F.; Hashem, M.; Alamri, S.; et al. PGPR-Mediated Plant Growth Attributes and Metal Extraction Ability of Sesbania sesban L. in Industrially Contaminated Soils. Agronomy 2021, 11, 1820. [Google Scholar] [CrossRef]
- Ghosh, A.; Bhatt, M.; Agrawal, H. Effect of long term application of treated sewage water on heavy metal accumulation in vegetables grown in northern India. Environ. Monit. Assess. 2012, 184, 1025–1036. [Google Scholar] [CrossRef] [PubMed]
- Riaz, U.; Murtaza, G.; Saifullah; Qadir, A.; Sial, R.A.; Rizwan, M.S.; Azhar, M.A.; Ashraf, N.; Shahid, M.R.; Khalid, N. Chemical Fractionation and Risk Assessment of Trace Elements in Sewage Sludge Generated from Various States of Pakistan. Environ. Sci. Pollut. Res. 2020, 27, 39742–39752. [Google Scholar] [CrossRef]
- Singh, K.; Mohan, D.; Sinha, S.; Dalwani, R. Impact assessment of treated/untreated waste water toxicants discharge by sewage treatment plant on health agricultural and environmental quality in waste water disposal area. Chemosphere 2004, 55, 227–255. [Google Scholar] [CrossRef]
- Ma, J.; Ali, S.; Saleem, M.H.; Mumtaz, S.; Yasin, G.; Ali, B.; Al-Ghamdi, A.A.; Elshikh, M.S.; Vodnar, D.C.; Marc, R.A.; et al. Short-term responses of Spinach (Spinacia oleracea L.) to the individual and combinatorial effects of Nitrogen, Phosphorus and Potassium and silicon in the soil contaminated by boron. Front. Plant Sci. 2022, 13, 983156. [Google Scholar] [CrossRef]
- Ma, J.; Saleem, M.H.; Ali, B.; Rasheed, R.; Ashraf, M.A.; Aziz, H.; Ercisli, S.; Riaz, S.; Elsharkawy, M.M.; Hussain, I.; et al. Impact of foliar application of syringic acid on tomato (Solanum lycopersicum L.) under heavy metal stress-insights into nutrient uptake, redox homeostasis, oxidative stress, and antioxidant defense. Front. Plant Sci. 2022, 13, 950120. [Google Scholar] [CrossRef] [PubMed]
- Javaid, S.; uz Zaman, Q.; Sultan, K.; Riaz, U.; Aslam, A.; Saba Sharif, N.E.; Aslam, S.; Jamil, A.; Ibraheem, S. Heavy metals stress, mechanism and remediation techniques in rice (Oryza sativa L.): A review. Pure Appl. Biol. (PAB) 2020, 9, 403–426. [Google Scholar] [CrossRef]
- Qadir, M.; Wichelns, D.; Raschid-Sally, L.; McCornick, P.; Drechsel, P.; Bahri, A.; Minhas, P. The challenges of wastewater irrigation in developing countries. Agric. Water Manag. 2010, 97, 561–568. [Google Scholar] [CrossRef]
- Huibers, F.; Moscoso, O.; Duran, A.; Lier, J. The use of waste water in cochabamba Bolivia: A degrading environment. In Wastewater Use in Irrigated Agriculture: Contronting the Livelihood and Environmental Realities; Scott, C.A., Faruqui, N.I., Raschid-Sally, L., Eds.; CABI Publishing: Wallingford, UK, 2010; p. 135. [Google Scholar]
- Al Jassir, M.; Shaker, A.; Khaliq, M. Deposition of HMs on green leafy vegetables sold on roadsides of Riyadh City, Saudi Arabia. Bull. Environ. Contam. Toxicol. 2005, 75, 1020–1027. [Google Scholar] [CrossRef] [PubMed]
- Farooq, T.H.; Rafay, M.; Basit, H.; Shakoor, A.; Shabbir, R.; Riaz, M.U.; Ali, B.; Kumar, U.; Qureshi, K.A.; Jaremko, M. Morpho-physiological growth performance and phytoremediation capabilities of selected xerophyte grass species toward Cr and Pb stress. Front. Plant Sci. 2022, 13, 997120. [Google Scholar] [CrossRef] [PubMed]
- Salam, A.; Afridi, M.S.; Javed, M.A.; Saleem, A.; Hafeez, A.; Khan, A.R.; Zeeshan, M.; Ali, B.; Azhar, W.; Sumaira; et al. Nano-Priming against Abiotic Stress: A Way Forward towards Sustainable Agriculture. Sustainability 2022, 14, 14880. [Google Scholar] [CrossRef]
- Hua, J.; Wua, S.; Cao, Z.; Lin, X.; Wong, M.H. Bio accessibility, dietary exposure and human risk assessment of HMs from market vegetables in Hong Kong revealed with an in vitro gastrointestinal model. Chemosphere 2013, 91, 455–461. [Google Scholar] [CrossRef]
- Arora, M.; Kiran, B.; Rani, R.; Rani, A.; Neeraj Mittal, N. HMs accumulation in vegetables irrigated with water from different sources. Food Chem. 2008, 111, 811–815. [Google Scholar] [CrossRef]
- Hamid, A.; Zeb, M.; Mehmood, A.; Akhtar, S.; Saif, S. Assessment of wastewater quality of drains for irrigation. J. Environ. Prot. 2013, 4, 937. [Google Scholar] [CrossRef]
- Mishra, A.; Bhatt, V. Physico-chemical and microbiological analysis of underground water in V.V Nagar and nearby places of Anand district Gujarat, India. E-J. Chem. 2008, 5, 487–492. [Google Scholar] [CrossRef]
- Lokeshwari, H.; Chandrappa, G. Impact of heavy metal contamination of Bellandur Lake on soil and cultivated vegetation. J. Curr. Sci. 2006, 91, 622–627. [Google Scholar]
- Hussain, M.; Muhammad, S.; Malik, R.; Khan, M.; Farooq, U. Status of heavy metal residues in fish species of Pakistan. Rev. Environ. Contam. Toxicol. 2014, 230, 111–131. [Google Scholar] [CrossRef]
- APHA. Standard Methods for the Examination of Water and Wastewater; American Public Health Association: Washington DC, USA, 1999. [Google Scholar]
- Jarup, L. Hazards of heavy metal contamination. Br. Med. Bull. 2003, 68, 167–182. [Google Scholar] [CrossRef] [PubMed]
- Bhuiyan, M.; Suruvi, N.; Dampare, S.; Islam, M.; Quraishi, S.; Ganyaglo, S.; Suzuki, S. Investigation of the possible sources of heavy metal contamination lagoon and canal water in the tannery industrial area in Dhaka, Bangladesh. Environ. Monit. Assess. 2011, 175, 633–649. [Google Scholar] [CrossRef] [PubMed]
- Khan, M.; Mehmood, S.; Ullah, F.; Khattak, A.; Zeb, M. Health Risks Assessment Diagnosis of Toxic Chemicals (HMs) via Food Crops Consumption Irrigated with Wastewater. Sains Malays. 2017, 46, 917–924. [Google Scholar] [CrossRef]
- Ma, H.; Hung, M.; Chen, P. A systematic health risk assessment for the chromium cycle in Taiwan. Environ. Int. 2006, 33, 206–218. [Google Scholar] [CrossRef] [PubMed]
- Riaz, R.M.Y.; Murtaza, G.; Farooqi, Z.U.R.; Ali, S.; Aziz, H.; Mahboob, S.; Al-Ghanim, K.A.; Owens, G.; Ahmad, H.R.; Riaz, U. Assessment of Arsenic Contamination in Groundwater and Associated Human Health Risk. Sustainability 2022, 14, 12460. [Google Scholar] [CrossRef]
- Riaz, U.; Aslam, A.; uz Zaman, Q.; Javeid, S.; Gul, R.; Iqbal, S.; Javid, S.; Murtaza, G.; Jamil, M. Cadmium contamination, bioavailability, uptake mechanism and remediation strategies in soil-plant-environment system: A critical review. Curr. Anal. Chem. 2021, 17, 49–60. [Google Scholar] [CrossRef]
- USEPA. Supplementary Guidance for Conducting Health Risk Assessment of Chemical Mixtures; Risk Assessment Forum Technical Panel. Office EPA/630/R-00/002; US Environmental Protection Agency: Washington, DC, USA, 2000.
- Dadar, M.; Adel, M.; Nasrollahzadeh Saravi, H.; Fakhri, Y. Trace element concentration and its risk assessment in common kilka (Clupeonella cultriventris caspia Bordin, 1904) from southern basin of Caspian Sea. Toxin. Rev. 2017, 36, 222–227. [Google Scholar] [CrossRef]
- Ismail, A.; Riaz, M.; Akhtar, S.; Ismail, T.; Amir, M.; Zafar-ul-Hye, M. Heavy metals in vegetables and respective soils irrigated by canal, municipal waste and tube well waters. Food Addit. Contam. Part B 2014, 7, 213–219. [Google Scholar] [CrossRef]
- Deribachew, B.; Amde, M.; Nigussie-Dechassa, R.; Taddese, A.M. Selected heavmetals in some vegetables produced through wastewater irrigation and their toxicological implications in Eastern Ethiopia. Afr. J. Food Nutr. Dev. 2015, 15, 10013–10032. [Google Scholar]
- Gezahegn, L. Chemical Fractionation of Selected Metals in the Soil of Waste Disposal Sites of Dire Dawa Textile Factory and Their Contents in the Sweet Potato Leaves. Master’s Thesis, Haramaya University, Haramaya, Ethiopia, 2013. [Google Scholar]
- Prabu, P.C. Impact of Heavy Metal Contamination of Akaki River of Ethiopia on Soil and Metal Toxicity on Cultivated Vegetable Crops. Electron. J. Environ. Agric. Food Chem. 2009, 8, 818–827. [Google Scholar]
- WHO. Guidelines for the Safe Use of Wastewater, Excreta and Grey Water. Volume 2. In Wastewater Use in Agriculture; WHO: Geneva, Switzerland, 2006. [Google Scholar]
- Dogheim, S.; Ashraf, E.; Alla, M.; Khorshid, S.; Fahmy, M. Pesticides and HMs levels in Egyptian leafy vegetables and some aromatic medicinal plants. Food Addit. Contam. 2004, 21, 323–330. [Google Scholar] [CrossRef]
- Jomova, K.; Valko, M. Advances in Metal-Induced Oxidative Stress and Human Disease. Toxicology 2010, 283, 65–87. [Google Scholar] [CrossRef] [PubMed]
- Vieira, M.G.A.; da Silva, M.A.; dos Santos, L.O.; Beppu, M.M. Natural-Based Plasticizers and Biopolymer Films: A Review. Eur. Polym. J. 2011, 47, 254–263. [Google Scholar] [CrossRef]
- Nawaz, H.; Ali, A.; Saleem, M.H.; Ameer, A.; Hafeez, A.; Alharbi, K.; Ezzat, A.; Khan, A.; Jamil, M.; Farid, G. Comparative effectiveness of EDTA and citric acid assisted phytoremediation of Ni contaminated soil by using canola (Brassica napus). Braz. J. Biol. 2022, 82, e261785. [Google Scholar] [CrossRef]
- Tsafe, A.; Hassan, L.; Sahabi, D.; Alhassan, Y.; Bala, B. Evaluation of HMs uptake and risk assessment of vegetables grown in Yargalma of Northern Nigeria. J. Basic. Appl. Sci. Res. 2012, 2, 6708–6714. [Google Scholar]
- Sobolev, D.; Begonia, M. Effects of Heavy metal contamination upon soil microbes: Lead-induced changes in general and denitrifying microbial communities as evidenced by molecular markers. Int. J. Environ. Res. Public Health 2008, 5, 451–459. [Google Scholar] [CrossRef]
- Rehman, A.; Ullah, H.; Khan, R.U.; Ahmad, I. Population based study of HMs in medicinal plant Capparis decidua. Int. J. Pharm. Pharm. Sci. 2013, 5, 108–113. [Google Scholar]
- Awokunmi, E.; Asaolu, S.; Ipinmoroti, K. Effect of leaching on HMs concentration of soil in some dumpsites. Afr. J. Environ. Sci. Technol. 2010, 4, 495–499. [Google Scholar]
- Aluko, O.; Sridha, M.; Oluwande, P. Characterization of leachates from a municipal solid waste landfill site in Ibadan, Nigeria. J. Environ. Health Res. 2003, 2, 32–37. [Google Scholar]
- Liehr, J.; Jones, J. Role of iron in estrogen-induced cancer. Curr. Med. Chem. 2001, 8, 839–849. [Google Scholar] [CrossRef]
- Tyagi, R. Assessment of the Uptake of Toxic HMs on Cultivation of Vegetables of Family Solanaceae in Contaminated Soil. Ph.D. Thesis, University of Kota, Kota, Rajasthan, 2014. [Google Scholar]
- Oliver, D.; Tiller, K.; Connyers, M.; Slattery, W.J.; Alston, A.M.; Merry, R.H. Effectiveness of liming to minimize uptake of cadmium by wheat and barley grain grown in the field. Aust. J. Agric. Res. 1996, 47, 1181–1193. [Google Scholar] [CrossRef]
- Elkhlifi, Z.; Iftikhar, J.; Sarraf, M.; Ali, B.; Saleem, M.H.; Ibranshahib, I.; Bispo, M.D.; Meili, L.; Ercisli, S.; Torun Kayabasi, E.; et al. Potential Role of Biochar on Capturing Soil Nutrients, Carbon Sequestration and Managing Environmental Challenges: A Review. Sustainability 2023, 15, 2527. [Google Scholar] [CrossRef]
- Fahad, S.; Chavan, S.B.; Chichaghare, A.R.; Uthappa, A.R.; Kumar, M.; Kakade, V.; Pradhan, A.; Jinger, D.; Rawale, G.; Yadav, D.K.; et al. Agroforestry Systems for Soil Health Improvement and Maintenance. Sustainability 2022, 14, 14877. [Google Scholar] [CrossRef]
- Amna Ali, B.; Azeem, M.A.; Qayyum, A.; Mustafa, G.; Ahmad, M.A.; Javed, M.T.; Chaudhary, H.J. Bio-Fabricated Silver Nanoparticles: A Sustainable Approach for Augmentation of Plant Growth and Pathogen Control. In Sustainable Agriculture Reviews 53; Springer: Cham, Switzerland, 2021; pp. 345–371. [Google Scholar] [CrossRef]
- Afridi, M.S.; Javed, M.A.; Ali, S.; De Medeiros, F.H.V.; Ali, B.; Salam, A.; Sumaira; Marc, R.A.; Alkhalifah, D.H.M.; Selim, S.; et al. New opportunities in plant microbiome engineering for increasing agricultural sustainability under stressful conditions. Front. Plant Sci. 2022, 13, 899464. [Google Scholar] [CrossRef] [PubMed]





| HMs | Permissible Limit in Soil (EU) mg kg−1 | Permissible Limit in Eggplant Vegetable (WHO/FAO) mg kg−1 | Permissible Limit in Canal, Ground & Wastewater (PEQS) mg L−1 |
|---|---|---|---|
| Zinc (Zn) | 300 | 40 | 5.00 |
| Iron (Fe) | 5000 | 425.5 | 8.00 |
| Cadmium (Cd) | 3 | 0.05–0.2 | 0.10 |
| Chromium (Cr) | 150 | 2.3 | 1.00 |
| Nickel (Ni) | 75 | 1.5 | 0.01 |
| Lead (Pb) | 300 | 0.05–0.3 | 0.50 |
| pH | TDS | Turbidity | Alkalinity | Cr | Fe | Zn | Cu | Mg | Fe | Ni | |
|---|---|---|---|---|---|---|---|---|---|---|---|
| TDS | 0.058 | ||||||||||
| 0.767 | |||||||||||
| Turbidity | 0.33 | 0.495 | |||||||||
| 0.08 | 0.006 | ||||||||||
| Alkalinity | 0.039 | 0.466 | 0.474 | ||||||||
| 0.839 | 0.011 | 0.009 | |||||||||
| Cr | 0.215 | 0.168 | 0.002 | 0.097 | |||||||
| 0.262 | 0.384 | 0.992 | 0.616 | ||||||||
| Fe | 0.278 | 0.044 | −0.087 | −0.187 | 0.406 | ||||||
| 0.144 | 0.822 | 0.655 | 0.333 | 0.029 | |||||||
| Zn | 0.11 | 0.475 | 0.444 | 0.417 | −0.054 | 0.185 | |||||
| 0.571 | 0.009 | 0.016 | 0.024 | 0.779 | 0.337 | ||||||
| Cu | −0.09 | −0.443 | −0.02 | −0.197 | −0.098 | −0.18 | −0.089 | ||||
| 0.643 | 0.016 | 0.92 | 0.305 | 0.611 | 0.351 | 0.647 | |||||
| Mg | −0.009 | −0.299 | −0.245 | −0.235 | 0.306 | 0.172 | −0.041 | 0.33 | |||
| 0.962 | 0.115 | 0.2 | 0.219 | 0.106 | 0.372 | 0.831 | 0.08 | ||||
| Fe | −0.114 | −0.016 | −0.333 | 0.317 | 0.219 | −0.245 | −0.146 | −0.038 | 0.097 | ||
| 0.556 | 0.933 | 0.077 | 0.094 | 0.255 | 0.201 | 0.45 | 0.846 | 0.618 | |||
| Ni | −0.151 | −0.39 | −0.036 | −0.217 | −0.115 | −0.091 | −0.083 | 0.179 | 0.063 | −0.122 | |
| 0.433 | 0.839 | 0.853 | 0.258 | 0.554 | 0.639 | 0.668 | 0.352 | 0.744 | 0.529 | ||
| Cd | 0.044 | 0.132 | 0.214 | −0.032 | 0.14 | 0.436 | −0.174 | −0.17 | −0.13 | −0.036 | −0.036 |
| 0.819 | 0.494 | 0.265 | 0.243 | 0.867 | 0.469 | 0.018 | 0.336 | 0.378 | 0.5 | 0.853 |
| Zn | Fe | Cd | Cr | Ni | Pb | |
|---|---|---|---|---|---|---|
| TF1 | 0.15 | 0.02 | 0.80 ± 0.01 | 0.02 ± 0.00 | 0.07 | 0.01 |
| TF2 | 0.15 | 0.02 | 0.56 ± 0.06 | 0.03 ± 0.00 | 0.11 | 0.02 |
| TF3 | 0.14 | 0.00 | 0.12 ± 0.00 | 0.02 ± 0.00 | 0.01 | 0.00 |
| TF4 | 0.14 | 0.00 | 0.15 ± 0.08 | 0.02 ± 0.00 | 0.02 | 0.00 |
| TF5 | 0.14 | 0.01 | 0.20 ± 0.05 | 0.02 ± 0.01 | 0.01 | 0.00 |
| TF6 | 0.14 | 0.01 | 0.15 ± 0.06 | 0.06 ± 3.40 | 0.03 | 0.00 |
Disclaimer/Publisher’s Note: The statements, opinions and data contained in all publications are solely those of the individual author(s) and contributor(s) and not of MDPI and/or the editor(s). MDPI and/or the editor(s) disclaim responsibility for any injury to people or property resulting from any ideas, methods, instructions or products referred to in the content. |
© 2023 by the authors. Licensee MDPI, Basel, Switzerland. This article is an open access article distributed under the terms and conditions of the Creative Commons Attribution (CC BY) license (https://creativecommons.org/licenses/by/4.0/).
Share and Cite
Tariq, Y.; Ehsan, N.; Riaz, U.; Nasir, R.; Khan, W.A.; Iqbal, R.; Ali, S.; Mahmoud, E.A.; Ullah, I.; Elansary, H.O. Assessment of Heavy Metal(oid)s Accumulation in Eggplant and Soil under Different Irrigation Systems. Water 2023, 15, 1049. https://doi.org/10.3390/w15061049
Tariq Y, Ehsan N, Riaz U, Nasir R, Khan WA, Iqbal R, Ali S, Mahmoud EA, Ullah I, Elansary HO. Assessment of Heavy Metal(oid)s Accumulation in Eggplant and Soil under Different Irrigation Systems. Water. 2023; 15(6):1049. https://doi.org/10.3390/w15061049
Chicago/Turabian StyleTariq, Yasir, Nusrat Ehsan, Umair Riaz, Rabiya Nasir, Waqas Ahmed Khan, Rashid Iqbal, Shehzad Ali, Eman A. Mahmoud, Izhar Ullah, and Hosam O. Elansary. 2023. "Assessment of Heavy Metal(oid)s Accumulation in Eggplant and Soil under Different Irrigation Systems" Water 15, no. 6: 1049. https://doi.org/10.3390/w15061049
APA StyleTariq, Y., Ehsan, N., Riaz, U., Nasir, R., Khan, W. A., Iqbal, R., Ali, S., Mahmoud, E. A., Ullah, I., & Elansary, H. O. (2023). Assessment of Heavy Metal(oid)s Accumulation in Eggplant and Soil under Different Irrigation Systems. Water, 15(6), 1049. https://doi.org/10.3390/w15061049

