Daily Streamflow Forecasts Based on Cascade Long Short-Term Memory (LSTM) Model over the Yangtze River Basin
Abstract
1. Introduction
2. Materials and Methods
2.1. Study Area and Data
2.2. The Conjunctive Surface-Subsurface Process Version 2 (CSSPv2) Model
2.3. The Cascade LSTM Model
2.4. Experimental Design
2.5. Evaluation of Model Performance
3. Results
3.1. Evaluation of CSSPv2 Land Model Simulation and Default LSTM Forecast
3.2. Evaluation of Cascade LSTM
3.2.1. Precipitation Forecast Based on LSTM_P
3.2.2. Streamflow Forecast Based on LSTM_S
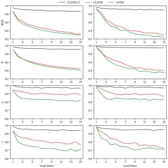
3.3. Evaluation of Cascade LSTM with Prefect Precipitation
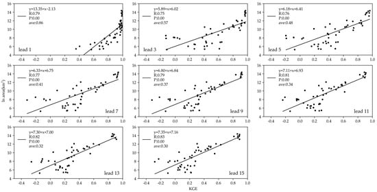
4. Discussion
5. Conclusions
Author Contributions
Funding
Data Availability Statement
Conflicts of Interest
References
- Arial, P.A.; Bellouin, N.; Coppola, E.; Jones, R.G.; Krinner, G.; Marotzke, J.; Naik, V.; Palmer, M.D.; Plattner, G.-K.; Rogelj, J.; et al. Technical Summary. Climate Change 2021: The Physical Science Basis. Contribution of Working Group I to the Sixth Assessment Report of the Intergovernmental Panel on Climate Change. 2021. Available online: https://www.ipcc.ch/report/ar6/wg1/chapter/technical-summary (accessed on 29 August 2021).
- Behnke, R.; Vavrus, S.; Allstadt, A.; Albright, T.; Thogmartin, W.E.; Radeloff, V.C. Evaluation of downscaled, gridded climate data for the conterminous United States. Ecol. Appl. 2016, 26, 1338–1351. [Google Scholar] [CrossRef] [PubMed]
- Timmermans, B.; Wehner, M.; Cooley, D.; O’Brien, T.; Krishnan, H. An evaluation of the consistency of extremes in gridded precipitation data sets. Clim. Dyn. 2019, 52, 6651–6670. [Google Scholar] [CrossRef]
- Alfieri, L.; Burek, P.; Dutra, E.; Krzeminski, B.; Muraro, D.; Thielen, J.; Pappenberger, F. GloFAS—Global ensemble streamflow forecasting and flood early warning. Hydrol. Earth Syst. Sci. 2013, 17, 1161–1175. [Google Scholar] [CrossRef]
- Coulibaly, P.; Anctil, F.; Rasmussen, P.; Bobée, B. A recurrent neural networks approach using indices of low-frequency climatic variability to forecast regional annual runoff. Hydrol. Process. 2000, 14, 2755–2777. [Google Scholar] [CrossRef]
- Berghuijs, W.; Larsen, J.R.; Van Emmerik, T.H.M.; Woods, R.A. A Global Assessment of Runoff Sensitivity to Changes in Precipitation, Potential Evaporation, and Other Factors. Water Resour. Res. 2017, 53, 8475–8486. [Google Scholar] [CrossRef]
- Yuan, X. An experimental seasonal hydrological forecasting system over the Yellow River basin—Part 2: The added value from climate forecast models. Hydrol. Earth Syst. Sci. 2016, 20, 2453–2466. [Google Scholar] [CrossRef]
- Yuan, X.; Ji, P.; Wang, L.; Liang, X.; Yang, K.; Ye, A.; Su, Z.; Wen, J. High-Resolution Land Surface Modeling of Hydrological Changes Over the Sanjiangyuan Region in the Eastern Tibetan Plateau: 1. Model Development and Evaluation. J. Adv. Model. Earth Syst. 2018, 10, 2806–2828. [Google Scholar] [CrossRef]
- Frame, J.; Kratzert, F.; Raney, A.; Rahman, M.; Salas, F.R.; Nearing, G.S. Post-Processing the National Water Model with Long Short-Term Memory Networks for Streamflow Predictions and Model Diagnostics. J. Am. Water Resour. Assoc. 2021, 57, 885–905. [Google Scholar] [CrossRef]
- Gauch, M.; Mai, J.; Lin, J. The proper care and feeding of CAMELS: How limited training data affects streamflow prediction. Environ. Model. Softw. 2020, 135, 104926. [Google Scholar] [CrossRef]
- Nearing, G.; Pelissier, C.; Kratzert, F.; Klotz, D.; Gupta, H.; Frame, J.; Sampson, A. Physically Informed Machine Learning for Hydrological Modeling Under Climate Nonstationarity. Science and Technology Infusion Climate Bulletin. NOAA’s National Weather Service. In Proceedings of the 44th NOAA Annual Climate Diagnostics and Prediction Workshop, Durham, NC, USA, 22–24 October 2019; Available online: https://www.nws.noaa.gov/ost/climate/STIP/44CDPW/44cdpw-GNearing.pdf (accessed on 26 August 2020). [CrossRef]
- Hoedt, P.; Kratzert, F.; Klotz, D.; Halmich, C.; Holzleitner, M.; Nearing, G.; Hochreiter, S.; Klambauer, G. MC-LSTM: Mass-Conserving LSTM. arXiv 2021, arXiv:2101.05186. [Google Scholar] [CrossRef]
- Liu, J.; Yuan, X.; Zeng, J.; Jiao, Y.; Li, Y.; Zhong, L.; Yao, L. Ensemble streamflow forecasting over a cascade reservoir catchment with integrated hydrometeorological modeling and machine learning. Hydrol. Earth Syst. Sci. 2022, 26, 265–278. [Google Scholar] [CrossRef]
- Kratzert, F.; Klotz, D.; Brenner, C.; Schulz, K.; Herrnegger, M. Rainfall–runoff modelling using Long Short-Term Memory (LSTM) networks. Hydrol. Earth Syst. Sci. 2018, 22, 6005–6022. [Google Scholar] [CrossRef]
- Kratzert, F.; Klotz, D.; Herrnegger, M.; Sampson, A.K.; Hochreiter, S.; Nearing, G.S. Toward Improved Predictions in Ungauged Basins: Exploiting the Power of Machine Learning. Water Resour. Res. 2019, 55, 11344–11354. [Google Scholar] [CrossRef]
- Rahimzad, M.; Moghaddam, N.; Alireza, Z.; Hosam, S.; Jaber, D.; Mehr, A.; Kwon, H. Performance Comparison of an LSTM-based Deep Learning Model versus Conventional Machine Learning Algorithms for Streamflow Forecasting. Water Resour. Manag. 2021, 35, 4167–4187. [Google Scholar] [CrossRef]
- Cheng, M.; Fang, F.; Kinouchi, T.; Navon, I.; Pain, C. Long lead-time daily and monthly streamflow forecasting using machine learning methods. J. Hydrol. 2020, 590, 125376. [Google Scholar] [CrossRef]
- Zhu, S.; Luo, X.; Yuan, X.; Xu, Z. An improved long short-term memory network for streamflow forecasting in the upper Yangtze River. Stoch. Environ. Res. Risk Assess. 2020, 34, 1313–1329. [Google Scholar] [CrossRef]
- Cho, K.; Kim, Y. Improving streamflow prediction in the WRF-Hydro model with LSTM networks. J. Hydrol. 2022, 605, 127297. [Google Scholar] [CrossRef]
- Hu, X.; Chu, L.; Pei, J.; Liu, W.; Bian, J. Model complexity of deep learning: A survey. Knowl. Inf. Syst. 2021, 63, 2585–2619. [Google Scholar] [CrossRef]
- Feng, D.; Fang, K.; Shen, C. Enhancing Streamflow Forecast and Extracting Insights Using Long-Short Term Memory Networks With Data Integration at Continental Scales. Water Resour. Res. 2020, 56, e2019WR026793. [Google Scholar] [CrossRef]
- Jain, S.; Mani, S.; Jain, S.K.; Prakash, P.; Singh, V.P.; Tullos, D.; Kumar, S.; Agarwal, S.P.; Dimri, A.P. A brief review of flood forecasting techniques and their applications. Int. J. River Basin Manag. 2018, 16, 329–344. [Google Scholar] [CrossRef]
- Granata, F.; Di Nunno, F.; de Marinis, G. Stacked machine learning algorithms and bidirectional long short-term memory networks for multi-step ahead streamflow forecasting: A comparative study. J. Hydrol. 2022, 613, 128431. [Google Scholar] [CrossRef]
- Bai, Y.; Bezak, N.; Sapač, K.; Klun, M.; Zhang, J. Short-Term Streamflow Forecasting Using the Feature-Enhanced Regression Model. Water Resour. Manag. 2019, 33, 4783–4797. [Google Scholar] [CrossRef]
- Ji, P.; Yuan, X.; Shi, C.; Jiang, L.; Wang, G.; Yang, K. A Long-Term Simulation of Land Surface Conditions at High Resolution over Continental China. J. Hydrometeorol. 2023, 24, 285–314. [Google Scholar] [CrossRef]
- Shangguan, W.; Dai, Y.; Duan, Q.; Liu, B.; Yuan, H. A global soil data set for earth system modeling. J. Adv. Model. Earth Syst. 2014, 6, 249–263. [Google Scholar] [CrossRef]
- Liang, S.; Cheng, J.; Jia, K.; Jiang, B.; Liu, Q.; Xiao, Z.; Yao, Y.; Yuan, W.; Zhang, X.; Zhao, X.; et al. The Global Land Surface Satellite (GLASS) Product Suite. Bull. Am. Meteorol. Soc. 2021, 102, E323–E337. [Google Scholar] [CrossRef]
- Yuan, X.; Liang, X.-Z. Evaluation of a Conjunctive Surface–Subsurface Process Model (CSSP) over the Contiguous United States at Regional–Local Scales. J. Hydrometeorol. 2011, 12, 579–599. [Google Scholar] [CrossRef]
- Hersbach, H.; Bell, B.; Berrisford, P.; Hirahara, S.; Horanyi, A.; Muñoz-Sabater, J.; Nicolas, J.; Peubey, C.; Radu, R.; Schepers, D.; et al. The ERA5 global reanalysis. Q. J. R. Meteorol. Soc. 2020, 146, 1999–2049. [Google Scholar] [CrossRef]
- Dai, Y.; Dickinson, R.; Wang, Y. A two-big-leaf model for canopy temperature, photosynthesis, and stomatal conductance. J. Clim. 2004, 17, 2281–2299. [Google Scholar] [CrossRef]
- Choi, H.; Kumar, P.; Liang, X.-Z. Three-dimensional volume-averaged soil moisture transport model with a scalable parameterization of subgrid topographic variability. Water Resour. Res. 2007, 43, W04414. [Google Scholar] [CrossRef]
- Choi, H.; Liang, X.-Z.; Kumar, P. A Conjunctive Surface–Subsurface Flow Representation for Mesoscale Land Surface Models. J. Hydrometeorol. 2013, 14, 1421–1442. [Google Scholar] [CrossRef]
- Liang, X.; Lettenmaier, D.P.; Wood, E.F.; Burges, S.J. A simple hydrologically based model of land surface water and energy fluxes for general circulation models. J. Geophys. Res. Atmos. 1994, 99, 14415–14428. [Google Scholar] [CrossRef]
- Liang, X.Z.; Xu, M.; Yuan, X.; Ling, T.; Choi, H.I.; Zhang, F.; Chen, L.; Liu, S.; Su, S.; Qiao, F.; et al. Regional Climate–Weather Research and Forecasting Model. Bull. Am. Meteorol. Soc. 2012, 93, 1363–1387. [Google Scholar] [CrossRef]
- Ji, P.; Yuan, X.; Liang, X.-Z. Do Lateral Flows Matter for the Hyperresolution Land Surface Modeling? J. Geophys. Res. Atmos. 2017, 122, 12077–12092. [Google Scholar] [CrossRef]
- Zheng, D.; Van Der Velde, R.; Su, Z.; Wen, J.; Wang, X. Assessment of Noah land surface model with various runoff parameterizations over a Tibetan river. J. Geophys. Res. Atmos. 2017, 122, 1488–1504. [Google Scholar] [CrossRef]
- Ji, P.; Yuan, X.; Jiao, Y.; Wang, C.; Han, S.; Shi, C. Anthropogenic Contributions to the 2018 Extreme Flooding over the Upper Yellow River Basin in China. Bull. Am. Meteorol. Soc. 2020, 101, S89–S94. [Google Scholar] [CrossRef]
- Zeng, J.; Yuan, X.; Ji, P.; Shi, C. Effects of meteorological forcings and land surface model on soil moisture simulation over China. J. Hydrol. 2021, 603, 126978. [Google Scholar] [CrossRef]
- Gupta, H.; Kling, H.; Yilmaz, K.K.; Martinez, G.F. Decomposition of the mean squared error and NSE performance criteria: Implications for improving hydrological modelling. J. Hydrol. 2009, 377, 80–91. [Google Scholar] [CrossRef]
- Kling, H.; Fuchs, M.; Paulin, M. Runoff conditions in the upper Danube basin under an ensemble of climate change scenarios. J. Hydrol. 2012, 424–425, 264–277. [Google Scholar] [CrossRef]
- Chen, Y.; Yuan, H. Evaluation of nine sub-daily soil moisture model products over China using high-resolution in situ observations. J. Hydrol. 2020, 588, 125054. [Google Scholar] [CrossRef]
- Zhang, C.; Brodeur, Z.P.; Steinschneider, S.; Herman, J.D. Leveraging Spatial Patterns in Precipitation Forecasts Using Deep Learning to Support Regional Water Management. Water Resour. Res. 2022, 58, e2021WR031910. [Google Scholar] [CrossRef]
- Sha, Y.; Ii, D.J.G.; West, G.; Stull, R. A hybrid analog-ensemble, convolutional-neural-network method for post-processing precipitation forecasts. Mon. Weather. Rev. 2022, 1, 1495–1515. [Google Scholar] [CrossRef]
- Chen, G.; Wang, W. Short-Term Precipitation Prediction for Contiguous United States Using Deep Learning. Geophys. Res. Lett. 2022, 49, e2022GL097904. [Google Scholar] [CrossRef]
- Deng, H.; Chen, W.; Huang, G. Deep insight into daily runoff forecasting based on a CNN-LSTM model. Nat. Hazards 2022, 133, 1675–1696. [Google Scholar] [CrossRef]











| Hyper-Parameter | Set Up |
|---|---|
| Batch | 16, 32, 64, 128, 256, 512, 1024 |
| Hidden cell | 8, 16, 32, 64, 128, 256 |
| Dropout rate | 0.01, 0.05, 0.1, 0.15, 0.2, 0.3 |
| Learning rate | 0.001, 0.005, 0.01, 0.05, 0.1, 0.2 |
| Lead Times | KGE | R | β | γ | ||||
|---|---|---|---|---|---|---|---|---|
| CLSTM | CLSTM_P | CLSTM | CLSTM_P | CLSTM | CLSTM_P | CLSTM | CLSTM_P | |
| 1 | 0.61 | 0.70 | 0.53 | 0.86 | 0.57 | 0.65 | 0.59 | 0.65 |
| 2 | 0.76 | 0.86 | 0.20 | 0.82 | 0.82 | 0.86 | 0.80 | 0.78 |
| 3 | 0.76 | 0.88 | 0.45 | 0.88 | 0.84 | 0.92 | 0.76 | 0.84 |
| 4 | 0.86 | 0.88 | 0.53 | 0.90 | 0.80 | 0.88 | 0.69 | 0.80 |
| 5 | 0.84 | 0.88 | 0.63 | 0.92 | 0.73 | 0.78 | 0.71 | 0.86 |
| 6 | 0.86 | 0.90 | 0.69 | 0.90 | 0.67 | 0.88 | 0.65 | 0.88 |
| 7 | 0.88 | 0.94 | 0.82 | 0.94 | 0.63 | 0.84 | 0.65 | 0.88 |
| 8 | 0.86 | 0.92 | 0.82 | 0.96 | 0.61 | 0.86 | 0.59 | 0.90 |
| 9 | 0.82 | 0.92 | 0.82 | 0.94 | 0.61 | 0.86 | 0.65 | 0.86 |
| 10 | 0.80 | 0.92 | 0.86 | 0.94 | 0.51 | 0.86 | 0.63 | 0.86 |
| 11 | 0.78 | 0.94 | 0.73 | 0.96 | 0.71 | 0.94 | 0.67 | 0.88 |
| 12 | 0.76 | 0.90 | 0.78 | 0.94 | 0.51 | 0.86 | 0.55 | 0.90 |
| 13 | 0.76 | 0.90 | 0.80 | 0.96 | 0.61 | 0.84 | 0.51 | 0.92 |
| 14 | 0.84 | 0.92 | 0.80 | 0.96 | 0.59 | 0.86 | 0.59 | 0.94 |
| 15 | 0.88 | 0.94 | 0.84 | 0.94 | 0.63 | 0.88 | 0.43 | 0.88 |
Disclaimer/Publisher’s Note: The statements, opinions and data contained in all publications are solely those of the individual author(s) and contributor(s) and not of MDPI and/or the editor(s). MDPI and/or the editor(s) disclaim responsibility for any injury to people or property resulting from any ideas, methods, instructions or products referred to in the content. |
© 2023 by the authors. Licensee MDPI, Basel, Switzerland. This article is an open access article distributed under the terms and conditions of the Creative Commons Attribution (CC BY) license (https://creativecommons.org/licenses/by/4.0/).
Share and Cite
Li, J.; Yuan, X. Daily Streamflow Forecasts Based on Cascade Long Short-Term Memory (LSTM) Model over the Yangtze River Basin. Water 2023, 15, 1019. https://doi.org/10.3390/w15061019
Li J, Yuan X. Daily Streamflow Forecasts Based on Cascade Long Short-Term Memory (LSTM) Model over the Yangtze River Basin. Water. 2023; 15(6):1019. https://doi.org/10.3390/w15061019
Chicago/Turabian StyleLi, Jiayuan, and Xing Yuan. 2023. "Daily Streamflow Forecasts Based on Cascade Long Short-Term Memory (LSTM) Model over the Yangtze River Basin" Water 15, no. 6: 1019. https://doi.org/10.3390/w15061019
APA StyleLi, J., & Yuan, X. (2023). Daily Streamflow Forecasts Based on Cascade Long Short-Term Memory (LSTM) Model over the Yangtze River Basin. Water, 15(6), 1019. https://doi.org/10.3390/w15061019

