Assessment of the Application of Ferrate(VI) in the Treatment of Agricultural Irrigation Water: Presence of Metals and Escherichia coli in Fresh Produce
Abstract
:1. Introduction
2. Materials and Methods
2.1. Ferrate(VI) Production
2.2. Irrigation Water Treatment
2.3. Experimental Crop Fields
2.4. Water Quality Analysis
2.5. Soil Analysis
2.6. Microbiological Analysis for Escherichia coli Detection in Radishes
2.7. Plant Tissue Metal Analysis
2.8. Statistical Analysis
3. Results
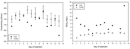
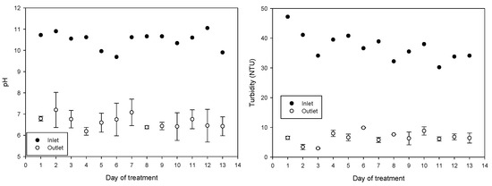
3.1. Variation in pH, Electrical Conductivity, BOD, and Turbidity
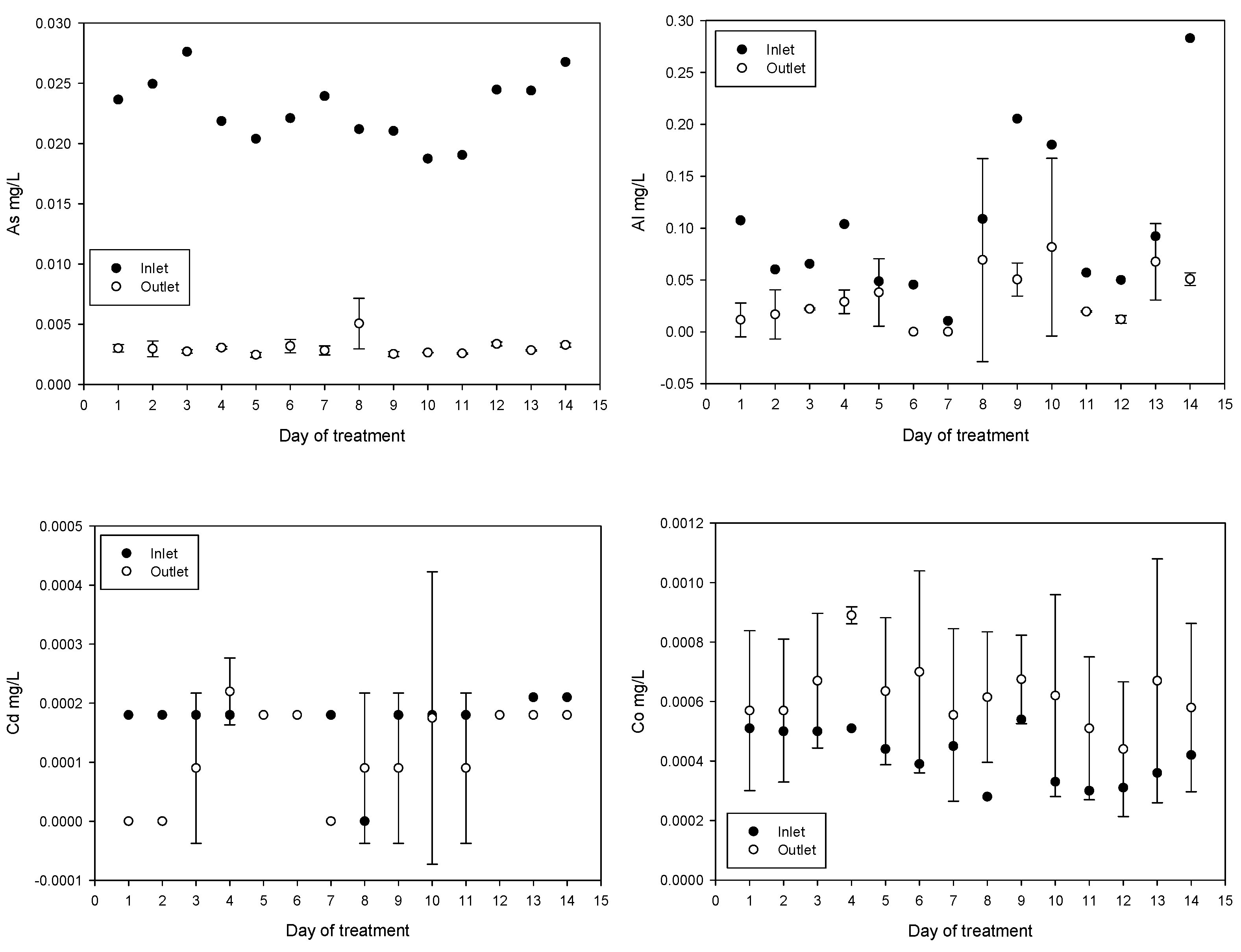
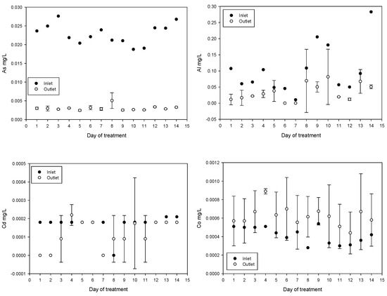
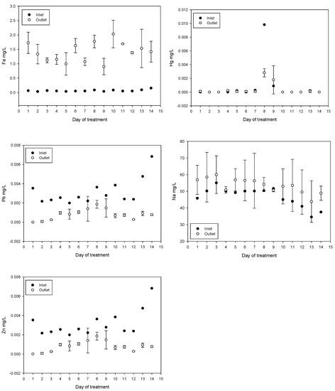
3.2. Variations in Metal and Metalloid Concentrations
3.3. Heavy Metal Contents in Beans and Lettuce
3.4. Coliforms in Radishes
4. Discussion
5. Conclusions
Author Contributions
Funding
Data Availability Statement
Acknowledgments
Conflicts of Interest
Appendix A
| Metal | Detection Limit | Unit | M1 | M2 | M3 | M4 |
|---|---|---|---|---|---|---|
| Ag | 0.07 | mg/kg | 0.37 | 0.84 | <0.07 | 0.51 |
| Al | 1.4 | mg/kg | 11,015.0 | 10,690.2 | 11,127.9 | 10,855.5 |
| As | 0.1 | mg/kg | 56.3 | 72.2 | 51.1 | 63.4 |
| B | 0.2 | mg/kg | 4.6 | 4.2 | 4.8 | 4.4 |
| Ba | 0.2 | mg/kg | 106.6 | 134.2 | 89.0 | 114.1 |
| Be | 0.03 | mg/kg | 0.39 | 0.37 | 0.38 | 0.37 |
| Ca | 4.7 | mg/kg | 8054.7 | 8165.2 | 7467.5 | 7698.6 |
| Cd | 0.04 | mg/kg | 2.77 | 3.19 | 2.54 | 2.91 |
| Ce | 0.2 | mg/kg | 27.6 | 27.5 | 28.1 | 27.9 |
| Co | 0.05 | mg/kg | 8.26 | 8.17 | 8.40 | 8.26 |
| Cr | 0.04 | mg/kg | 14.07 | 22.33 | 11.41 | 18.69 |
| Cu | 0.1 | mg/kg | 63.8 | 74.6 | 53.9 | 63.9 |
| Fe | 0.2 | mg/kg | 16,099.9 | 16,300.3 | 16,353.5 | 16,290.1 |
| Hg | 0.1 | mg/kg | 1.0 | 1.1 | 0.5 | 0.9 |
| K | 4.3 | mg/kg | 1741.7 | 1728.6 | 1874.2 | 1735.3 |
| Li | 0.3 | mg/kg | 26.6 | 24.7 | 28.3 | 26.0 |
| Mg | 4.4 | mg/kg | 6600.4 | 6501.0 | 6873.3 | 6618.5 |
| Mn | 0.05 | mg/kg | 496.82 | 505.30 | 509.37 | 494.43 |
| Mo | 0.2 | mg/kg | 0.6 | 0.6 | 0.6 | 0.6 |
| Na | 2.3 | mg/kg | 507.3 | 496.0 | 516.2 | 500.9 |
| Ni | 0.06 | mg/kg | 4.46 | 4.59 | 4.60 | 4.61 |
| P | 0.3 | mg/kg | 1247.9 | 1272.0 | 1213.0 | 1197.3 |
| Pb | 0.06 | mg/kg | 132.80 | 164.79 | 94.35 | 135.36 |
| Sb | 0.2 | mg/kg | 2.4 | 2.6 | 1.7 | 2.4 |
| Se | 0.3 | mg/kg | <0.3 | <0.3 | <0.3 | <0.3 |
| Sn | 0.1 | mg/kg | 0.8 | 1.3 | 0.6 | 0.9 |
| Sr | 0.1 | mg/kg | 67.8 | 66.5 | 67.2 | 66.1 |
| Ti | 0.03 | mg/kg | 287.11 | 280.38 | 274.37 | 270.14 |
| Tl | 0.3 | mg/kg | <0.3 | <0.3 | <0.3 | <0.3 |
| V | 0.04 | mg/kg | 26.84 | 26.39 | 27.91 | 26.59 |
| Zn | 0.2 | mg/kg | 315.2 | 432.1 | 218.3 | 332.6 |
References
- Carstens, C.K.; Salazar, J.K.; Darkoh, C. Multistate Outbreaks of Foodborne Illness in the United States Associated with Fresh Produce From 2010 to 2017. Front. Microbiol. 2019, 10, 2667. [Google Scholar] [CrossRef] [PubMed]
- Iwu, C.D.; Kayode, A.J.; Igere, B.E.; Okoh, A.I. High Levels of Multi Drug Resistant Escherichia coli Pathovars in Preharvest Environmental Samples: A Ticking Time Bomb for Fresh Produce Related Disease Outbreak. Front. Environ. Sci. 2022, 10, 218. Available online: https://www.frontiersin.org/article/10.3389/fenvs.2022.858964 (accessed on 3 July 2022). [CrossRef]
- Rodrigues, C.; da Silva, A.L.; Dunn, L.L. Factors Impacting the Prevalence of Foodborne Pathogens in Agricultural Water Sources in the Southeastern United States. Water 2020, 12, 51. [Google Scholar] [CrossRef]
- Hanning, I.B.; Nutt, J.D.; Ricke, S.C. Salmonellosis Outbreaks in the United States Due to Fresh Produce: Sources and Potential Intervention Measures. Foodborne Pathog. Dis. 2009, 6, 635–648. [Google Scholar] [CrossRef]
- Rivera-Jacinto, M.; Rodríguez-Ulloa, M.; López-Orbegoso, J. Contaminación fecal en hortalizas que se expenden en mercados de la ciudad de Cajamarca, Perú, [Fecal contamination in vegetables that are sold in markets of the city of Cajamarca, Peru]. Rev. Peru. Med. Exp. Salud Publica 2008, 26, 45–48. [Google Scholar]
- Bartz, F.W.; Teixeira, L.B.; Schroder, R.; Das Mercês Santos, A.F.; Trindade, P.; Tondo, E.C. First Fatal Cases due to Escherichia coli O157 and Campylobacter jejuni subsp. jejuni Outbreak Occurred in Southern Brazil. Foodborne Pathog. Dis. 2022, 19, 241–247. [Google Scholar] [CrossRef]
- Dallman, T.J.; Jalava, K.; Verlander, N.Q.; Gally, D.; Jenkins, C.; Godbole, G.; Gharbia, S. Identification of domestic reservoirs and common exposures in an emerging lineage of Shiga toxin-producing Escherichia coli O157:H7 in England: A genomic epidemiological analysis. Lancet Microbe 2022, 3, e606–e615. [Google Scholar] [CrossRef]
- Amuah, E.E.Y.; Amanin-Ennin, P.; Antwi, K. Irrigation water quality in Ghana and associated implications on vegetables and public health. A systematic review. J. Hydrol. 2022, 604, 127211. [Google Scholar] [CrossRef]
- Malakar, A.; Snow, D.D.; Ray, C. Irrigation Water Quality—A Contemporary Perspective. Water 2019, 11, 1482. [Google Scholar] [CrossRef]
- Dieter, C.A.; Maupin, M.A.; Caldwell, R.R.; Harris, M.A.; Ivahnenko, T.I.; Lovelace, J.K.; Barber, N.L.; Linsey, K.S. Estimated Use of Water in the United States in 2015; US Geological Survey: Reston, VA, USA, 2018.
- Frenkel, H. Reassessment of Water Quality for Irrigation. In Soil Salinity under Irrigation: Processes and Management; Shainberg, I., Shalhevet, J., Eds.; Springer: Berlin, Germany, 1984; pp. 143–165. [Google Scholar]
- Park, D.M.; White, S.A.; McCarty, L.B.; Menchyk, N.A. Interpreting Irrigation Water Quality Reports; CU-14-700; Clemson University Cooperative Extension: Clemson, SC, USA, 2014. [Google Scholar]
- Bruinsma, J. (Ed.) World Agriculture: Towards 2015/2030 an FAO Perspective; Earthscan Publications Ltd.: London, UK, 2003; ISBN 9251048355. [Google Scholar]
- FAO. How to Feed the World in 2050. Insights Expert Meet. In Insights from an Expert Meeting at FAO; FAO: Rome, Italy, 2009; Volume 2050, pp. 1–35. [Google Scholar]
- Oki, T.; Kanae, S. Global hydrological cycles and world water resources. Science 2006, 313, 1068–1072. [Google Scholar] [CrossRef] [PubMed]
- Blumenthal, U.J.; Mara, D.D.; Peasey, A.; Ruiz-Palacios, G.; Stott, R. Guidelines for the microbiological quality of treated wastewater used in agriculture: Recommendations for revising WHO guidelines. Bull. World Health Organ. 2000, 78, 1104–1116. [Google Scholar] [PubMed]
- Rodriguez, C.; Van Buynder, P.; Lugg, R.; Blair, P.; Devine, B.; Cook, A.; Weinstein, P. Indirect Potable Reuse: A Sustainable Water Supply Alternative. Int. J. Environ. Res. Public Health 2009, 6, 1174–1203. [Google Scholar] [CrossRef] [PubMed]
- Falkenmark, M. Growing water scarcity in agriculture: Future challenge to global water security. Phil. Trans. R. Soc. A 2013, 371, 20120410. [Google Scholar] [CrossRef] [PubMed]
- Drechsel, P.; Qadir, M.; Baumann, J. Water reuse to free up freshwater for higher-value use and increase climate resilience and water productivity. Irrig. Drain. 2022, 71, 100–109. [Google Scholar] [CrossRef]
- Ungureanu, N.; Vlăduț, V.; Voicu, G. Water Scarcity and Wastewater Reuse in Crop Irrigation. Sustainability 2020, 12, 9055. [Google Scholar] [CrossRef]
- Zhang, J.; He, X.; Zhang, H.; Liao, Y.; Wang, Q.; Li, L.; Yu, J. Factors Driving Microbial Community Dynamics and Potential Health Effects of Bacterial Pathogen on Landscape Lakes with Reclaimed Water Replenishment in Beijing, PR China. Int. J. Environ. Res. Public Health 2022, 19, 5127. [Google Scholar] [CrossRef] [PubMed]
- Caicedo, C.; Rosenwinkel, K.-H.; Exner, M.; Verstraete, W.; Suchenwirth, R.; Hartemann, P.; Nogueira, R. Legionella occurrence in municipal and industrial wastewater treatment plants and risks of reclaimed wastewater reuse: Review. Water Res. 2019, 149, 21–34. [Google Scholar] [CrossRef]
- Lothrop, N.; Bright, K.R.; Sexton, J.; Pearce-Walker, J.; Reynolds, K.A.; Verhougstraete, M.P. Optimal strategies for monitoring irrigation water quality. Agric. Water Manag. 2018, 199, 86–92. [Google Scholar] [CrossRef]
- Abi Saab, M.T.; Zaghrini, J.; Makhlouf, H.; Fahed, S.; Romanos, D.; Khairallah, Y.; Hajjar, C.; Abi Saad, R.; Sellami, M.H.; Todorovic, M. Table grapes irrigation with treated municipal wastewater in a Mediterranean environment. Water Environ. J. 2021, 35, 617–627. [Google Scholar] [CrossRef]
- Bichai, F.; Polo-López, M.I.; Fernández Ibañez, P. Solar disinfection of wastewater to reduce contamination of lettuce crops by Escherichia coli in reclaimed water irrigation. Water Res. 2012, 46, 6040–6050. [Google Scholar] [CrossRef] [PubMed]
- Lopez-Galvez, F.; Allende, A.; Pedrero-Salcedo, F.; Alarcon, J.J.; Gil, M.I. Safety assessment of greenhouse hydroponic tomatoes irrigated with reclaimed and surface water. Int. J. Food Microbiol. 2014, 191, 97–102. [Google Scholar] [CrossRef] [PubMed]
- Albdaiwi, R.N.; Al-Hawadi, J.S.; Al-Rawashdeh, Z.B.; Al-Habahbeh, K.A.; Ayad, J.Y.; Al-Sayaydeh, R.S. Effect of Treated Wastewater Irrigation on the Accumulation and Transfer of Heavy Metals in Lemon Trees Cultivated in Arid Environment. Horticulturae 2022, 8, 514. [Google Scholar] [CrossRef]
- Menghua, X.; Yuanyuan, L. Distribution Characteristics and Ecological Risk Assessment of Heavy Metals under Reclaimed Water Irrigation and Water Level Regulations in Paddy Field. Pol. J. Environ. Stud. 2022, 31, 2355–2365. [Google Scholar] [CrossRef]
- Ullah, S.; Shahbaz, A.; Aslam, M.Z. Impact Of Irrigation Water On the Quality Attributes of Selected Indigenous Plants. J. Turk. Chem. Soc. Sect. A Chem. 2022, 9, 639–650. [Google Scholar] [CrossRef]
- Iwu, C.D.; Okoh, A.I. Preharvest Transmission Routes of Fresh Produce Associated Bacterial Pathogens with Outbreak Potentials: A Review. Int. J. Environ. Res. Public Health 2019, 16, 4407. [Google Scholar] [CrossRef]
- Lin, H.; Wang, Z.; Liu, C.; Dong, Y. Technologies for removing heavy metal from contaminated soils on farmland: A review. Chemosphere 2022, 305, 135457. [Google Scholar] [CrossRef]
- Dandie, C.E.; Ogunniyi, A.D.; Ferro, S.; Hall, B.; Drigo, B.; Chow, C.W.K.; Venter, H.; Myers, B.; Deo, P.; Donner, E.; et al. Disinfection options for irrigation water: Reducing the risk of fresh produce contamination with human pathogens. Crit. Rev. Environ. Sci. Technol. 2020, 50, 2144–2174. [Google Scholar] [CrossRef]
- Munyengabe, A.; Zvinowanda, C.; Ramontja, J.; Zvimba, J.N. Effective Desalination of Acid Mine Drainage Using an Advanced Oxidation Process: Sodium Ferrate (VI) Salt. Water 2021, 13, 2619. [Google Scholar] [CrossRef]
- Hong, C.X.; Moorman, G.W. Plant Pathogens in Irrigation Water: Challenges and Opportunities. Crit. Rev. Plant Sci. 2005, 24, 189–208. [Google Scholar] [CrossRef]
- Liu, L.; Li, W.; Song, W.; Guo, M. Remediation techniques for heavy metal-contaminated soils: Principles and applicability. Sci. Total Environ. 2018, 633, 206–219. [Google Scholar] [CrossRef]
- Qian, W.; Liang, J.Y.; Zhang, W.X.; Huang, S.T.; Diao, Z.H. A porous biochar supported nanoscale zero-valent iron material highly efficient for the simultaneous remediation of cadmium and lead contaminated soil. J. Environ. Sci. 2022, 113, 231–241. [Google Scholar] [CrossRef]
- Dong, F.X.; Yan, L.; Zhou, X.H.; Huang, S.T.; Liang, J.Y.; Zhang, W.X.; Guo, Z.W.; Guo, P.R.; Qian, W.; Kong, L.J.; et al. Simultaneous adsorption of Cr(VI) and phenol by biochar-based iron oxide composites in water: Performance, kinetics and mechanism. J. Hazard. Mater. 2021, 416, 125930. [Google Scholar] [CrossRef] [PubMed]
- Diao, Z.H.; Zhang, W.X.; Liang, J.Y.; Huang, S.T.; Dong, F.X.; Yan, L.; Qian, W.; Chu, W. Removal of herbicide atrazine by a novel biochar based iron composite coupling with peroxymonosulfate process from soil: Synergistic effect and mechanism. Chem. Eng. J. 2021, 409, 127684. [Google Scholar] [CrossRef]
- Gurtler, J.B.; Gibson, K.E. Irrigation water and contamination of fresh produce with bacterial foodborne pathogens. In Current Opinion in Food Science; Elsevier Ltd.: Amsterdam, The Netherlands, 2022; Volume 47, p. 100889. [Google Scholar] [CrossRef]
- Thomas, M.; Drzewicz, P.; Więckol-Ryk, A.; Panneerselvam, B. Effectiveness of potassium ferrate (VI) as a green agent in the treatment and disinfection of carwash wastewater. Environ. Sci. Pollut. Res. 2022, 29, 8514–8524. [Google Scholar] [CrossRef] [PubMed]
- Levia, L.; Lalhmunsiama, L.; Chhakchhuak, V.; Diwakar, T.; Soon, C.S.; Seung-Mok, L. Newer Insights on Ferrate(VI) Reactions with Various Water Pollutants: A Review. Appl. Chem. Eng. 2022, 33, 258–271. [Google Scholar] [CrossRef]
- Reimers, R.S.; Reinhart, D.R.; Sharma, V.K.; Austin, G.C. The Application of the Green Oxidant Ferrate for Wastewater Disinfection and Reuse to Be Utilized for Wetland Restoration, Irrigation and Groundwater Recharge. 2018. Available online: https://www.accesswater.org/?id=-294247 (accessed on 4 February 2023).
- Lim, M.; Kim, M.-J. Effectiveness of Potassium Ferrate (K2FeO4) for Simultaneous Removal of Heavy Metals and Natural Organic Matters from River Water. Water Air Soil Pollut. 2010, 211, 313–322. [Google Scholar] [CrossRef]
- Guo, Y.; Ma, B.; Yuan, S.; Zhang, Y.; Yang, J.; Zhang, R.; Liu, L. Simultaneous Removal of CODMn and Ammonium from Water by Potassium Ferrate-Enhanced Iron-Manganese Co-Oxide Film. Water 2022, 14, 2651. [Google Scholar] [CrossRef]
- Wang, Y.; Fang, W.; Wang, X.; Zhou, L.; Zheng, G. Spatial distribution of fecal pollution indicators in sewage sludge flocs and their removal and inactivation as revealed by qPCR/viability-qPCR during potassium ferrate treatment. J. Hazard. Mater. 2023, 443, 130262. [Google Scholar] [CrossRef]
- Jiang, J.-Q.; Zhang, S.; Petri, M.; Mosbach, C. Exploration of Ferrate(VI) Potential in Treating Lake Constance Water. Environments 2023, 10, 25. [Google Scholar] [CrossRef]
- Alsheyab, M.; Jiang, J.-Q.; Stanford, C. On-line production of ferrate with an electrochemical method and its potential application for wastewater treatment—A review. J. Environ. Manag. 2009, 90, 1350–1356. [Google Scholar] [CrossRef]
- Lipps, W.C.; Baxter, T.E.; Braun-Howland, E. (Eds.) 3125 Metals by inductively coupled plasma-mass spectrometry. In Standard Methods for the Examination of Water and Wastewater; American Public Health Association: Washington, DC, USA, 2017. [Google Scholar] [CrossRef]
- Heredia, N.; Solís-Soto, L.; Venegas, F.; Bartz, F.E.; de Aceituno Anna Fabiszewski Jaykus, L.-A.; Leon, J.S.; García, S. Validation of a Novel Rinse and Filtration Method for Efficient Processing of Fresh Produce Samples for Microbiological Indicator Enumeration. J. Food Prot. 2015, 78, 525–530. [Google Scholar] [CrossRef] [PubMed]
- Sleimi, N.; Bankaji, I.; Kouki, R.; Dridi, N.; Duarte, B.; Caçador, I. Assessment of Extraction Methods of Trace Metallic Elements in Plants: Approval of a Common Method. Sustainability 2022, 14, 1428. [Google Scholar] [CrossRef]
- Abi Saab, M.T.; Jomaa, I.; Hage, R.E.; Skaf, S.; Fahed, S.; Rizk, Z.; Massaad, R.; Romanos, D.; Khairallah, Y.; Azzi, V.; et al. Are Fresh Water and Reclaimed Water Safe for Vegetable Irrigation? Empirical Evidence from Lebanon. Water 2022, 14, 1437. [Google Scholar] [CrossRef]
- R Core Team. R: A Language and Environment for Statistical ## Computing; R Foundation for Statistical Computing: Vienna, Austria, 2022; Available online: https://www.R-project.org/ (accessed on 9 January 2023).
- Li, N. Ferrate as a New Treatment Chemical for Removal of Effluent Organic Matter (EfOM) and Emerging Micro-Pollutants in Treated Municipal Wastewater for Water Reuse. Theses, Dissertations and Culminating Projects 37, 2017. Available online: https://digitalcommons.montclair.edu/etd/37 (accessed on 18 July 2022).
- Alshahri, A.H.; Giagnorio, M.; Dehwah, A.H.A.; Obaid, M.; Missimer, T.M.; Leiknes, T.; Ghaffour, N.; Fortunato, L. Advanced coagulation with liquid ferrate as SWRO desalination pretreatment during severe algal bloom. Process performance, environmental impact, and cost analysis. Desalination 2022, 537, 115864. [Google Scholar] [CrossRef]
- Jin, Y.; Li, P.; Xu, B.; Wang, L.; Ma, G.; Chen, S.; Tan, F.; Shao, Y.; Zhang, L.; Yang, Z.; et al. A novel technology using iron in a coupled process of moderate preoxidation–hybrid coagulation to remove cyanobacteria in drinking water treatment plants. J. Clean. Prod. 2022, 342, 130947. [Google Scholar] [CrossRef]
- D’Anna, F.; Incalcaterra, G.; Moncada, A.; Miceli, A. Effects of different levels of electrical conductivity on strawberry grown in soilless culture. ISHS Acta Hortic. 2003, 609, 355–360. [Google Scholar] [CrossRef]
- Abou-Hadid, A.F.; Abd-Elmoniem, E.M.; El-Shinawy, M.Z.; Abou-Elsoud, M. Effect of electrical conductivity on growth and mineral composition of lettuce plants in the hydroponic system. Acta Hortic. 1996, 434, 59–66. [Google Scholar] [CrossRef]
- Amer, K.H. Corn crop response under managing different irrigation and salinity levels. Agric. Water Manag. 2010, 97, 1553–1563. [Google Scholar] [CrossRef]
- Arienzo, M.; Christen, E.W.; Jayawardane, N.S.; Quayle, W.C. The relative effects of sodium and potassium on soil hydraulic conductivity and implications for winery wastewater management. Geoderma 2012, 173–174, 303–310. [Google Scholar] [CrossRef]
- Ali, A.; Biggs AJ, W.; Marchuk, A.; Bennett, J.M. Effect of Irrigation Water pH on Saturated Hydraulic Conductivity and Electrokinetic Properties of Acidic, Neutral, and Alkaline Soils. Soil Sci. Soc. Am. J. 2019, 83, 1672–1682. [Google Scholar] [CrossRef]
- Irrigation Water Quality Criteria-0.506. Extension. Available online: https://extension.colostate.edu/topic-areas/agriculture/irrigation-water-quality-criteria-0-506/ (accessed on 4 February 2023).
- Harris, L.J.; Berry, E.D.; Blessington, T.; Erickson, M.; Jay-Russell, M.; Jiang, X.; Killinger, K.; Michel, F.C., Jr.; Millner, P.A.T.; Schneider, K.; et al. A Framework for Developing Research Protocols for Evaluation of Microbial Hazards and Controls during Production That Pertain to the Application of Untreated Soil Amendments of Animal Origin on Land Used To Grow Produce That May Be Consumed Raw. J. Food Prot. 2013, 76, 1062–1084. [Google Scholar] [CrossRef]
- López-Gálvez, F.; Truchado, P.; Sánchez, G.; Aznar, R.; Gil, M.I.; Allende, A. Occurrence of enteric viruses in reclaimed and surface irrigation water: Relationship with microbiological and physicochemical indicators. J. Appl. Microbiol. 2016, 121, 1180–1188. [Google Scholar] [CrossRef] [PubMed]
- Sengupta, M.E.; Keraita, B.; Olsen, A.; Boateng, O.K.; Thamsborg, S.M.; Pálsdóttir, G.R.; Dalsgaard, A. Use of Moringa oleifera seed extracts to reduce helminth egg numbers and turbidity in irrigation water. Water Res. 2012, 46, 3646–3656. [Google Scholar] [CrossRef] [PubMed]
- Chen, F.; Khan, Z.I.; Zafar, A.; Ma, J.; Nadeem, M.; Ahmad, K.; Mahpara, S.; Wajid, K.; Bashir, H.; Munir, M.; et al. Evaluation of toxicity potential of cobalt in wheat irrigated with wastewater: Health risk implications for public. Environ. Sci. Pollut. Res. 2021, 28, 21119–21131. [Google Scholar] [CrossRef]











| Metal (mg/kg) | Irrigation with Treated Water (BAF) | Irrigation with Untreated Water (BAF) | Significance * |
|---|---|---|---|
| Cu | 2.897 (0.045) | 2.719 (0.042) | ns |
| Cr | 0.4249 (0.023) | 0.3663 (0.020) | ns |
| Ni | 0.1813 (0.039) | 0.1783 (0.039) | ns |
| Pb | 0.5502 (0.004) | 0.54 (0.004) | ns |
| Zn | 11.98 (0.036) | 11.01 (0.033) | ns |
| Metal (mg/kg) | Irrigation with Treated Water (BAF) | Irrigation with Untreated Water (BAF) | Significance * |
|---|---|---|---|
| Cu | 0.06243 (0.000) | 0.055535 (0.056) | ns |
| Cr | 0.09214 (0.004) | 0.05084 (0.003) | ns |
| Ni | 2.4626 (0.531) | 2.4328 (0.528) | ns |
| Pb | 0.358095 (0.002) | 0.326555 (0.002) | ns |
| Zn | 0.039575 (0.000) | 0.03607 (0.000) | ns |
Disclaimer/Publisher’s Note: The statements, opinions and data contained in all publications are solely those of the individual author(s) and contributor(s) and not of MDPI and/or the editor(s). MDPI and/or the editor(s) disclaim responsibility for any injury to people or property resulting from any ideas, methods, instructions or products referred to in the content. |
© 2023 by the authors. Licensee MDPI, Basel, Switzerland. This article is an open access article distributed under the terms and conditions of the Creative Commons Attribution (CC BY) license (https://creativecommons.org/licenses/by/4.0/).
Share and Cite
Gutiérrez, K.A.V.; Meza, M.E.R.; Larroca, F.P.; Olschewski, E.S.; Quino-Favero, J. Assessment of the Application of Ferrate(VI) in the Treatment of Agricultural Irrigation Water: Presence of Metals and Escherichia coli in Fresh Produce. Water 2023, 15, 748. https://doi.org/10.3390/w15040748
Gutiérrez KAV, Meza MER, Larroca FP, Olschewski ES, Quino-Favero J. Assessment of the Application of Ferrate(VI) in the Treatment of Agricultural Irrigation Water: Presence of Metals and Escherichia coli in Fresh Produce. Water. 2023; 15(4):748. https://doi.org/10.3390/w15040748
Chicago/Turabian StyleGutiérrez, Kryss Araceli Vargas, María Elena Rojas Meza, Fabricio Paredes Larroca, Erich Saettone Olschewski, and Javier Quino-Favero. 2023. "Assessment of the Application of Ferrate(VI) in the Treatment of Agricultural Irrigation Water: Presence of Metals and Escherichia coli in Fresh Produce" Water 15, no. 4: 748. https://doi.org/10.3390/w15040748
APA StyleGutiérrez, K. A. V., Meza, M. E. R., Larroca, F. P., Olschewski, E. S., & Quino-Favero, J. (2023). Assessment of the Application of Ferrate(VI) in the Treatment of Agricultural Irrigation Water: Presence of Metals and Escherichia coli in Fresh Produce. Water, 15(4), 748. https://doi.org/10.3390/w15040748

