A Quantitative Approach to the Watershed Governance Prism: The Duero River Basin, Mexico
Abstract
1. Introduction
1.1. The Duero River Basin (DRB)
1.2. DRB Problematic
1.3. Factors Impacting Water Resources in the DRB
2. Materials and Methods
2.1. Conceptual Model
2.2. Surface Water and Groundwater Hydrologic Modeling
2.3. Methods for Determining Environmental Flows
2.4. Water-Planning Model
2.5. Relationship between the Indices and WGP Axes
2.6. Proposal of the Watershed Governance Prism Index (WGPI)
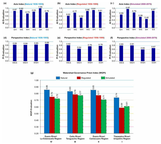
3. Results
3.1. Indices for Prism Axes and Perspectives
3.2. Watershed Governance Prism Index (WGPI)
4. Discussion
- For “good condition” evaluations, few improvements will be necessary to implement in the watershed.
- For “acceptable” evaluations, improvements will be recommended to maximize resources and verify that they are in good condition.
- For “marginal” evaluations, significant improvements will be necessary for multiple watershed areas.
- For “inadequate” evaluations, many improvements will be necessary for many areas throughout the watershed.
- For “unacceptable” evaluations, the situation will be considered untenable.
5. Conclusions
Author Contributions
Funding
Institutional Review Board Statement
Informed Consent Statement
Data Availability Statement
Acknowledgments
Conflicts of Interest
References
- Nava, L.F. Gobernanza global del agua. In Gobernanza Global en un Mundo Interconectado [Global Governance in an Interconnected World]; Autonomous University of Baja California, Mexican Association of International Studies, Popular Autonomous University of the State of Puebla: Mexicali, Mexico, 2013; pp. 113–121. [Google Scholar]
- Nowlan, L.; Bakker, K. Delegating Water Governance: Issues and Challenges in the BC Context; UBC Water Governance Project: Vancouver, BC, Canada, 2007; Available online: https://www.obwb.ca/fileadmin/docs/fbc_watergovernance_final.pdf (accessed on 24 January 2023).
- Domínguez, S.J. Hacia una Buena Gobernanza para la Gestión Integrada de los Recursos Hídricos. Documento de Posicionamiento: Meta 2.1 y 2.2. Proceso Regional de las Américas VI foro Mundial del Agua, Marsella, Francia [Towards Good Governance for the Integrated Management of Water Resources. Position Paper: Goal 2.1 and 2.2. Regional Process of the Americas VI World Water Forum, Marseille, France]. 2012. Available online: https://www.gwp.org/globalassets/global/gwp-cam_files/gobernanza-para-girh-2012.pdf (accessed on 24 January 2023).
- Fischhendler, I. Institutional conditions for IWRM: The Israeli case. Groundwater 2008, 46, 91–102. [Google Scholar] [CrossRef] [PubMed]
- Grigg, N.S. Integrated water resources management: Balancing views and improving practice. Water Int. 2008, 33, 279–292. [Google Scholar] [CrossRef]
- Cardwell, H.E.; Cole, R.A.; Cartwright, L.A.; Martin, L.A. Integrated water resources management: Definitions and conceptual musings. J. Contemp. Water Res. Educ. 2006, 135, 8–18. [Google Scholar] [CrossRef]
- Savenije, H.H.G.; van der Zaag, P. Integrated water resources management: Concepts and issues. Phys. Chem. Earth Parts A/B/C 2008, 33, 290–297. [Google Scholar] [CrossRef]
- Lebel, J. Health: An Ecosystem Approach; International Development Research Centre (IDRC): Ottawa, ON, Canada, 2003. [Google Scholar]
- CBD. Ecosystem Approach. 2014. Available online: http://www.cbd.int/ecosystem/ (accessed on 13 September 2022).
- WFD. Directive 2000/60/EC of the European Parliament, and of the Council of 23 October 2000 Establishing a Framework for Community Action in the Field of Water Policy. 2000. Available online: https://eur-lex.europa.eu/eli/dir/2000/60/oj (accessed on 13 February 2021).
- Parkes, M.W.; Morrison, K.E.; Bunch, M.J.; Hallström, L.K.; Neudoerffer, R.C.; Venema, H.D.; Waltner-Toews, D. Towards integrated governance for water, health, and social-ecological systems: The watershed governance prism. Glob. Environ. Chang. 2010, 20, 693–704. [Google Scholar] [CrossRef]
- Schneider, F.; Bonriposi, M.; Graefe, O.; Herwega, K.; Homewoodc, C.; Huss, M.; Kauzlaric, M.; Liniger, H.; Rey, E.; Reynard, E.; et al. Assessing the sustainability of water governance systems: The sustainability wheel. J. Environ. Plan. Manag. 2014, 58, 1577–1600. [Google Scholar] [CrossRef]
- Pahl-Wostl, C. Water governance in times of change. Environ. Sci. Policy 2010, 13, 567–570. [Google Scholar] [CrossRef]
- Bunch, M.J.; Waltner-Toews, D. Grappling with complexity: The context for one health and the ecohealth approach. In One Health: The Theory and Practice of Integrated Health Approaches; Zinsstag, J., Schelling, E., Waltner-Toews, D., Whittaker, M., Marce, T., Eds.; CAB International: Wallingford, UK, 2015; pp. 415–426. [Google Scholar]
- Singh, R.K.; Murty, H.R.; Gupta, S.K.; Dikshit, A.K. An overview of sustainability assessment methodologies. Ecol. Indic. 2009, 9, 189–212. [Google Scholar] [CrossRef]
- Taylor, P. Integrated Water Resources Management for River Basin Organizations: Training Manual; United Nations Development Programme (UNDP): New York, NY, USA, 2008. [Google Scholar]
- Gupta, J.; Termeer, K.; Klostermann, J.; Meijerink, S.; Van den Brink, M.; Jong, P.; Nooteboom, S.; Bergsma, E. The Adaptive Capacity Wheel: A Method to Assess the Inherent Characteristics of Institutions to Enable the Adaptive Capacity of Society. Environ. Sci. Policy 2010, 13, 459–471. [Google Scholar] [CrossRef]
- Grecksch, K. Adaptive capacity and water governance in the Keiskamma River Catchment, Eastern Cape Province, South Africa. Water SA 2015, 41, 359–368. [Google Scholar] [CrossRef]
- Tinoco, C.; Julio, N.; Meirelles, B.; Pineda, R.; Figueroa, R.; Urrutia, R.; Parra, Ó. Water Resources Management in Mexico, Chile and Brazil: Comparative Analysis of Their Progress on SDG 6.5.1 and the Role of Governance. Sustainability 2022, 14, 5814. [Google Scholar] [CrossRef]
- Yilmaz, B.; Harmancioglu, N.B. An Indicator Based Assessment for Water Resources Management in Gediz River Basin, Turkey. Water Resour. Manag. 2010, 24, 4359–4379. [Google Scholar] [CrossRef]
- Mersha, A.N.; Masih, I.; De Fraiture, C.; Wenninger, J.; Alamirew, T. Evaluating the impacts of IWRM policy actions on demand satisfaction and downstream water availability in the upper Awash Basin, Ethiopia. Water 2018, 10, 892. [Google Scholar] [CrossRef]
- Javadinejad, S.; Ostad-Ali-Askari, K.; Eslamian, S. Application of multi-index decision analysis to management scenarios considering climate change prediction in the Zayandeh Rud River Basin. Water Conserv. Sci. Eng. 2019, 4, 53–70. [Google Scholar] [CrossRef]
- Fulton, E.A.; Smith AD, M.; Smith, D.C.; Johnson, P. An Integrated Approach Is Needed for Ecosystem Based Fisheries Management: Insights from Ecosystem-Level Management Strategy Evaluation. PLoS ONE 2014, 9, e84242. [Google Scholar] [CrossRef]
- Velázquez, M. Diagnóstico Para el Saneamiento del río Duero. Informe Técnico [Diagnosis for the sanitation of the Duero River. Technical Report]; SAGARPA–COEFREM, A.C.: Zamora, México, 2005. [Google Scholar]
- CONAGUA-IPN. Programa Detallado de Acciones Para el Proyecto Emblemático: Saneamiento Integral de la Cuenca del Río Duero, Michoacán, México [Detailed Program of Actions for the Emblematic Project: Comprehensive Sanitation of the Duero River Basin, Michoacán, Mexico]; CONAGUA-IPN: Mexico City, Mexico, 2009. [Google Scholar]
- Pimentel-Equihua, J.L. Construyendo la Problemática de la Gestión de las Aguas Superficiales y Subterráneas de la Cuenca del río Duero, Michoacán, México. In Proceedings of the XXVI Congreso de la Asociación Latinoamericana de Sociología [Constructing the Problem of Surface and Groundwater Management in the Duero River Basin, Michoacan, Mexico]; Asociación Latinoamericana de Sociología: Guadalajara, Mexico, 2007; pp. 1–14. Available online: https://www.aacademica.org/000-066/1093 (accessed on 24 January 2023).
- Pérez, Á.; Le Blas, F.N. Lineamientos Para la Aplicación del Enfoque Ecosistémico a la Gestión Integral del Recurso Hídrico [Guidelines for the Application of the Ecosystem Approach to the Integral Management of Water Resources]; United Nations Environment Program: Mexico City, Mexico, 2004. [Google Scholar]
- Loucks, D.P.; van Beek, E.; Stedinger, J.R.; Dijkman, J.P.; Villars, M.T. Water Resources Systems Planning and Management: An Introduction to Methods, Models, and Applications; UNESCO: Paris, France, 2005. [Google Scholar]
- Hsieh, A.P.; Bra, M.J.; Doe, W.T.; Flint, L.A. Conceptual Models of Flow and Transport in the Fractured Vadose Zone; National Academy Press: Washington, DC, USA, 2001. [Google Scholar]
- Harbaugh, A.W.; Banta, E.R.; Hill, M.C.; McDonald, M.G. Modflow-2000, the U.S. Geological Survey Modular Groundwater Model-User Guide to Modularization Concepts and the Groundwater Flow Process, Open File Report 00–92; U.S. Geological Survey: Reston, VA, USA, 2000.
- Yates, D.; Sieber, J.; Purkey, D.; Huber-Lee, A. WEAP21-A demand-, priority-, and preference-driven water planning model. Part 1: Model Characteristics. Water Int. 2005, 30, 487–500. [Google Scholar] [CrossRef]
- Silva-Hidalgo, H.; Martín-Domínguez, I.R.; Alarcón-Herrera, M.T.; Granados-Olivas, A. Mathematical modelling for the integrated management of water resources in hydrological basins. Water Resour. Manag. 2009, 23, 721–730. [Google Scholar] [CrossRef]
- Yates, D.; Purkey, D.; Sieber, J.; Huber-Lee, A.; Galbraith, H. WEAP21-A demand-, priority-, and preference-driven water planning model. Part 2: Aiding Freshwater Ecosystem Service Evaluation. Water Int. 2005, 30, 501–512. [Google Scholar] [CrossRef]
- Legates, D.R.; McCabe, G.J. Evaluating the use of “goodness-of-fit” measures in hydrologic and hydroclimatic model validation. Water Resour. Res. 1999, 35, 233–241. [Google Scholar] [CrossRef]
- Dyson, M.; Bergkamp, G.; Scanlon, J. Flow: The Essentials of Environmental Flows; International Union for Conservation of Nature: Gland, Switzerland, 2008. [Google Scholar]
- Waddle, T.J. PHABSIM for Windows User’s Manual and Exercises, Open-File Report No. 340; U.S. Geological Survey: Fort Collins, CO, USA, 2001.
- Armas-Vargas, F.; Escolero, O.; de Jalón, D.G.; Zambrano, L.; del Tánago, M.G.; Kralisch, S. Proposing environmental flows based on physical habitat simulation for five fish species in the Lower Duero River Basin, Mexico. Hidrobiológica 2017, 27, 185–200. [Google Scholar] [CrossRef]
- SEI. Water Evaluation Analysis System (WEAP). 2014. Available online: http://www.weap21.org/webhelp/FDCShift.htm (accessed on 11 August 2022).
- LAN. Ley de Aguas Nacionales. Publicada en el Diario Oficial de la Federación el 1º de Diciembre de 1992. 2018. Available online: https://www.diputados.gob.mx/LeyesBiblio/pdf/LAN.pdf (accessed on 29 June 2022).
- IPCC. SRES Emissions Scenarios. Intergovernmental Panel on Climate Change. 2019. Available online: https://sedac.ciesin.columbia.edu/ddc/sres/index.html (accessed on 19 July 2022).
- Sandoval-Solis, S.; McKinney, D.C.; Loucks, D.P. Sustainability index for water resources planning and management. J. Water Resour. Plan. Manag. 2011, 137, 381–390. [Google Scholar] [CrossRef]
- Dumont, E.; Williams, R.; Keller, V.; Voß, A.; Tattari, S. Modelling indicators of water security, water pollution, and aquatic biodiversity in Europe. Hydrol. Sci. J. 2012, 57, 1378–1403. [Google Scholar] [CrossRef]
- Mazvimavi, D.; Madamombe, E.; Makurira, H. Assessment of environmental flow requirements for river basin planning in Zimbabwe. Phys. Chem. Earth Parts A/B/C 2007, 32, 995–1006. [Google Scholar] [CrossRef]
- Abebe, A.; Foerch, G. Catchment characteristics as predictors of base flow index (BFI) in Wabi Shebele River Basin, East Africa. In Proceedings of the Conference on International Agricultural Research for Development, Siegen, Germany, 11 October 2006. [Google Scholar]
- Giddings, L.; Soto, M.; Rutherford, B.M.; Maarouf, A. Standardized Precipitation Index Zones for México. Atmósfera 2005, 18, 33–56. Available online: http://www.scielo.org.mx/scielo.php?script=sci_arttext&pid=S0187-62362005000100003&lng=es&tlng=en (accessed on 24 January 2023).
- Nalbantis, I. Evaluation of a hydrological drought index. Eur. Water 2008, 23/24, 67–77. [Google Scholar]
- Fallas-Gamboa, J. CFA88: Un programa versátil para el análisis de eventos hidrometeorológicos extremos: I. Teoría [CFA88: A versatile program for the analysis of extreme hydrometeorological events: I. Theory]. Rev. Geográfica De América Cent. 1992, 1, 99–113. [Google Scholar]
- Baker, V.R. Stream channel response to floods with examples from central Texas. Geol. Soc. Am. Bull. 1977, 88, 1057–1071. [Google Scholar] [CrossRef]
- Martínez-Santa María, C.; Fernández-Yuste, J.A. Régimen Ambiental de Caudales. Manual de Referencia Metodológica [Environmental Flow Regime. Methodological Reference Manual]; Dirección General del Agua (MITECORD): Madrid, Spain, 2021. [Google Scholar]
- Guo, D.; DeFrancia, K.; Chen, M.; Filiatraut, B.; Zhang, C. Assessing Sustainability: Frameworks and Indices (White Paper #3); Columbia University Academic Commons: New York, NY, USA, 2015. [Google Scholar]
- Clark-Carter, D. Measures of Central Tendency. In International Encyclopedia of Education, 3rd ed.; Peterson, P., Baker, E., McGraw, B., Eds.; Elsevier: Oxford, UK, 2010; pp. 264–266. [Google Scholar]
- Shelton, K. A Quality Scorecard for the Administration of Online Education Programs: A Delphi Study. Ph.D. Thesis, The University of Nebraska, Lincoln, Nebraska, 2010. [Google Scholar]
- Richter, B.D.; Mathews, R.; Harrison, D.L.; Wigington, R. Ecologically sustainable water management: Managing river flows for ecological integrity. Ecol. Appl. 2003, 13, 206–224. [Google Scholar] [CrossRef]
- Valle de Carvalho, M.V.; Angulo, R. Gobernanza de los Sistemas Locales de Gestión del agua en Bolivia. Asociación Internacional para la Gobernanza, la Ciudadanía y la Empresa [Governance of Local Water Management Systems in Bolivia. International Association for Governance, Citizenship and Business]. 2014. Available online: http://www.aigob.org/gobernanza-de-los-sistemas-locales-de-gestion-del-agua-en-bolivia/ (accessed on 29 August 2021).
- Moncayo-Estrada, R.; Lyons, J.; Ramirez-Herrejon, J.P.; Escalera-Gallardo, C.; Campos-Campos, O. Status and trends in biotic integrity in a sub-tropical river drainage: Analysis of the fish assemblage over a three-decade period. River Res. Appl. 2015, 31, 808–824. [Google Scholar] [CrossRef]
- Brandes, O.M.; Ferguson, K.; M’Gonigle, M.; Sandborn, C. At a Watershed: Ecological Governance and Sustainable Water Management in Canada; POLIS Project on Ecological Governance; University of Victoria: Victoria, BC, Canada, 2005. [Google Scholar]
- Hirji, R.; Davis, R. Environmental Flows in Water Resources Policies, Plans, and Projects: Findings and Recommendations; The International Bank for Reconstruction and Development/The World Bank: Washington, DC, USA, 2009. [Google Scholar]
- Monterroso, A.; Fernández, A.; Trejo, R.; Conde, C.; Escandón, J.; Villers, L.; Gay, C. Vulnerabilidad y Adaptación a los Efectos del Cambio Climático en México [Vulnerability and Adaptation to the Effects of Climate Change in Mexico]; UNAM, Centro de Ciencias de la Atmósfera, México [Center for Atmospheric Sciences, Mexico], Universidad Nacional Au-tónoma de Mexico: Mexico City, Mexico, 2014; Available online: http://atlasclimatico.unam.mx/VyA (accessed on 24 January 2023).
- Bressers, H.; de Boer, C.; Lordkipanidze, M.; Özerol, G.; Vinke-De Kruijf, J.; Furusho, C.; Lajeunesse, I.; Larrue, C.; Ramos, M.H.; Kampa, E.; et al. Water Governance Assessment Tool: With an Elaboration for Drought Resilience; Report to the DROP Project; CSTM University of Twente: Enschede, The Netherlands, 2013. [Google Scholar]












| Gauging Station | BANDAS Keys | RMS (m3/s) | nRMS (%) | r | IA | NS |
|---|---|---|---|---|---|---|
| Urepetiro | 12,395–12,533 | 0.9 | 10.3 | 0.84 | 0.92 | 0.70 |
| Camecuaro | 12,396 | 2.0 | 8.7 | 0.90 | 0.93 | 0.68 |
| La Estanzuela | 12,310 | 2.3 | 5.6 | 0.98 | 0.98 | 0.94 |
| # | Index/Factor | Data Source | Equation | Parameter | Theme |
|---|---|---|---|---|---|
| 1 | Sustainability Index (SI) | [41] | SI = Reli ×Resi × (1 − Vuli) × (1 − Maxdefi) | Rel: reliability, Res: resilience, Vul: vulnerability, Maxdef: maximum deficit. | Measures the water resource sustainability. Improve water management for the future and identify areas of potential improvement by analyzing its variables. |
| 2 | Water Availability Index (WAI) | [42] | WAI = (R + G − D)/(R + G + D) | R: surface runoff time series; G: groundwater resource time series; D: sum of the demands of all sectors. | Indicates the risk to water safety, considering the demand for water use and water availability. |
| 3 | Environmental Flow Regime (EFR) | [38] | Flow duration curves, FDC (Hydrological Method) | No change; A: natural flow; B: slightly modified; C: moderately modified; D: significantly modified; E: seriously modified; F: critically modified. | Used to estimate the recommended flow in a modified stream, uniformly reducing the natural flow regime. This estimated time series represents the environmental flow requirement. |
| 4 | Coefficient Variability Baseflow (CVB) | [43] | CV = SD/Mean; CVB = CV/BFI | CV: coefficient of variation; the standard deviation (SD), and the mean are calculated from the historical series of natural flows (dry and wet months). CVB: coefficient variability baseflow. | The CV is essential in hydrological changes over time and in comparing river regimes. The CVB is a reflection of climate variability (dry and wet periods) |
| 5 | Benefit/Cost Ratio (B/C) | [20] | (∑Benefits)/(∑Costs) | Financial analysis was carried out for each crop in irrigation district (average cost of water, $/m3). | The quotient of updated values between income and costs (expenses) at a discount rate. |
| 6 | Baseflow Index (BFI) | [44] | BFI = Q90%/Q50% | Median (Q50) (flow exceeded 50% of the time). The Q90 or Q95 are commonly used for low flow rates. The ratio of Q90/Q50 is used as an index of the baseflow contribution. | Flow duration curves (FDC) represent the flow characteristics of a stream under natural or regulated conditions. A BFI close to 1 has less variability than a value close to 0. |
| 7 | Standardized Precipitation Index (SPI) | [45] | SPI = (Xi − MXi)/S | SPI: standardized precipitation index; X: annual precipitation of year i; MX: mean annual precipitation in period i; S: standard deviation of the annual precipitation series of the period analyzed. | Improves the detection of the beginning of the drought. It is based on probabilities of precipitation for a given period. Quantifies the precipitation deficit to consider the different impacts on water resources. |
| 8 | Streamflow Drought Index (SDI) | [46] | SDIi,k = (Ui,k − Ūk)/Sk; i = 1, 2,…n; k = 1, 2, 3, 4 | Ūk and Sk are the mean and standard deviation of the cumulative runoff volumes of the reference period k. Ui,k: the volume of the accumulated flow in the i-th year, and k is the reference period. | Based on accumulated runoff volumes (for periods of 3, 6, 9, and 12 months of a hydrological year). The SDI is used for the characterization of hydrological drought. The hydrological year is Oct. to Dec., Oct. to Mar., Oct. to Jun., and Oct. to Sep. |
| 9 | Return Period (RP) | [47] | Tr = 1/P(x); P(x) = (m − 0.4)/(n + 0.2) | Tr: return period (years); n: number of years of registration; m: order number; P(x): probability of an event (Cunnane equation). | Expressed as an average number of years in which an event of magnitude equal to or greater than “x” will occur in the future. The Tr was applied at both maximum and minimum flow rates. |
| 10 | Flash Flood Magnitude Index (FFMI) | [48] | Iv = (Σ(log xi − log x)2/(n − 1))0.5 | Iv: used to characterize the annual variability of peak flood flows; log x: the mean flood event; log xi: the annual maximum event; n: number of events. | The flash flood index. Streams with high Iv values are prone to flash-flooding behavior; they may also have lower species diversity and stream abundance. |
| 11 | Useful Available Habitat (UAH) | [36,49] | WUA = WUAREG/WUANAT | WUANAT: weighted useful natural area; WUAREG: weighted useful regulated area. | The relationship between the surface of a flooded riverbed (flows) and the microhabitat at the preferential disposal of a species or a fluvial community. |
| 12 | Treated Factor (TreaF) | Proposed factor | TreaF = QTreaF/QDRF | TreaF: treated flow rate; QFRconT: treated flow or return flow; QDRF: downstream river flow. | Treated volumetric factor. |
| 13 | Untreated Factor (UntreaF) | Proposed factor | UntreaF = QUntreaF/QDRF | UntreaF: untreated flow rate; QFRsinT: untreated flow or return flow; QDRF: downstream river flow. | Untreated volumetric factor. |
| Count | Index | Source | EH | WE | WH | WS | SH | ES |
|---|---|---|---|---|---|---|---|---|
| 1 | Sustainability Index (SI) | [41] | X | X | X | X | X | |
| 2 | Water Availability Index (WAI) | [42] | X | |||||
| 3 | Environmental Flow Regime (EFR) | [38] | X | X | ||||
| 4 | Coefficient Variability Baseflow (CVB) | [43] | X | |||||
| 5 | Benefit–cost ratio (BCR) | [20] | X | |||||
| 6 | Baseflow Index (BFI) | [44] | X | |||||
| 7 | Standardized Precipitation Index (SPI) | [45] | X | |||||
| 8 | Streamflow Drought Index (SDI) | [46] | X | |||||
| 9 | Return Period (RP) | [47] | X | |||||
| 10 | Flash Flood Magnitude Index (FFMI) | [48] | X | |||||
| 11 | Useful Available Habitat (UAH) | [36,49] | X | |||||
| 12 | Treated Factor (TreaF) | Proposed | X | |||||
| 13 | Untreated Factor (UntreaF) | Proposed | X |
| Historical | MPIECHAM5 (B2) * | Historical | UKHADGEM1 (B2) * | ||||
|---|---|---|---|---|---|---|---|
| 1950–2000 | 2030 | 2050 | 2070 | 1950–2000 | 2030 | 2050 | 2070 |
| 7.5 (°C) | 18.6 | 19.1 | 20 | 906 (mm) | 912 | 898 | 882 |
| Δ (°C) | 1.1 | 1.6 | 2.5 | Δ (mm) | 6.4 | −8.0 | −24.3 |
| Δ (%) | +6.3 | +9.3 | +14 | Δ (%) | +0.7 | −0.88 | −2.6 |
| Historical | MPIECHAM5 (A2) * | Historical | MPIECHAM5 (A2) * | ||||
|---|---|---|---|---|---|---|---|
| 1950–2000 | 2030 | 2050 | 2070 | 1950–2000 | 2030 | 2050 | 2070 |
| 17.5 (°C) | 18.6 | 19.4 | 21 | 906 (mm) | 909 | 918 | 945 |
| Δ (°C) | 1.1 | 1.9 | 3.5 | Δ (mm) | 3.0 | 12.1 | 38.7 |
| Δ (%) | +6.0 | +10.8 | +20 | Δ (%) | +0.3 | +1.3 | +4.3 |
Disclaimer/Publisher’s Note: The statements, opinions and data contained in all publications are solely those of the individual author(s) and contributor(s) and not of MDPI and/or the editor(s). MDPI and/or the editor(s) disclaim responsibility for any injury to people or property resulting from any ideas, methods, instructions or products referred to in the content. |
© 2023 by the authors. Licensee MDPI, Basel, Switzerland. This article is an open access article distributed under the terms and conditions of the Creative Commons Attribution (CC BY) license (https://creativecommons.org/licenses/by/4.0/).
Share and Cite
Armas Vargas, F.; Escolero, O.; Sandoval Solis, S.; Nava, L.F.; Mazari Hiriart, M.; Rojas Serna, C.; López-Corona, O. A Quantitative Approach to the Watershed Governance Prism: The Duero River Basin, Mexico. Water 2023, 15, 743. https://doi.org/10.3390/w15040743
Armas Vargas F, Escolero O, Sandoval Solis S, Nava LF, Mazari Hiriart M, Rojas Serna C, López-Corona O. A Quantitative Approach to the Watershed Governance Prism: The Duero River Basin, Mexico. Water. 2023; 15(4):743. https://doi.org/10.3390/w15040743
Chicago/Turabian StyleArmas Vargas, Felipe, Oscar Escolero, Samuel Sandoval Solis, Luzma Fabiola Nava, Marisa Mazari Hiriart, Claudia Rojas Serna, and Oliver López-Corona. 2023. "A Quantitative Approach to the Watershed Governance Prism: The Duero River Basin, Mexico" Water 15, no. 4: 743. https://doi.org/10.3390/w15040743
APA StyleArmas Vargas, F., Escolero, O., Sandoval Solis, S., Nava, L. F., Mazari Hiriart, M., Rojas Serna, C., & López-Corona, O. (2023). A Quantitative Approach to the Watershed Governance Prism: The Duero River Basin, Mexico. Water, 15(4), 743. https://doi.org/10.3390/w15040743

