Abstract
Hydromelioration networks aim to expand the vadose zones of waterlogged and peaty sites, which is expected to provide more soil space for trees’ roots, thus improving forest stand stability and production. However, the recent climate is manifested by increasing air temperatures, changed distribution of precipitation and frequent droughts. This raises the issue of the suitability of such measures. Additionally, the impacts on the ground water table (GWT) level, drainage, and forest health are disputed. This study deals with the behaviour of the shallow-aquifer GWT level in a formerly deforested headwater catchment named U Dvou louček (UDL) which had been monitored for 30 years and placed at a mountain site in north-eastern Bohemia, Czech Republic. GWT (84 m long transect with 22 probes), precipitation, throughfall, discharge, air temperatures and stand parameters were measured. Young Norway spruce stands now dominate within the UDL area. Average precipitation of the open area reached 1285 mm, and precipitation in years 2003, 2015 and 2018 was minimal (910 to 950 mm). Calibration of the GWT measurement took place in 1992–1995. After a 5-year stabilisation period in 1996–2001 with gradually falling GWT levels, following the digging of new ditches, the GWT no longer fluctuated significantly. The discharge and GWT change responses to stand growth were modest, and the impact of forest tending was limited. Lower GWTs in dry years were temporary. The inter-annual water levels in the immediate vicinity of the ditches fluctuated the least. The small-scale technical hydromelioration intervention neither had a negative impact on the GWT level, nor threatened the water supply of growing forest stands even in dry years. The results confirmed the long-term potential of such measures to improve the water regime of reforested clear cuts on waterlogged forest soils in mountains with a minimal risk of threat in warming environments.
1. Introduction
Local adjustments made to the water regime of waterlogged forest sites, where problems with stability of forest stands and also with reforestation occur, have been employed in European conditions since the 18th century [1,2,3]. Beginning in the second half of the 19th century, it became an integral part of the forestry management of specific habitats. Technical (engineering) methods for adjusting the water regime [4,5] are often coupled with a biological approach, which includes selecting tree species that can tolerate adverse water-affected conditions and/or nursing tree species that improve conditions for the target tree species [6,7].
The engineering ameliorations are mostly supposed to lower the water table level in forest soil (drainage), and a controlled return of water to the forest (periodic irrigation) occurs less frequently [8]. To ensure the correct operation of a ditch network, its proper maintenance is necessary [9,10]. The elements of the systems currently affect (modify) the properties of many forest habitats worldwide [2]. Besides the lowering of the ground water table (GWT), on calamity clearings of water-affected sites on slopes, where the water regime has been disturbed by logging and skidding machinery, an additional effect of engineering amelioration acts as protection of the soil horizon from water erosion [11,12].
The recent climate has mainly manifested in the form of increased temperatures and both the amount and distribution of precipitation [13], which leads, among other things, to more frequent periods of soil drought [14,15,16]. This raises the issue of the usefulness and efficiency of hydromeliorations, which are primarily aimed at draining forest soils. In addition, it is important to question their impact on the groundwater level, on drainage from catchments, as well as on the health and development of forest stands [13]. In contrast to agricultural land with annual crop rotation cycles, the regeneration and long-term development of forest stands play a significant role in forest hydrology [17]. Specifically, one of the generally beneficial strategic goals of the future is to retain and maintain water in the landscape (in soil) so that it will be available for vegetation during periods of drought. It also indirectly helps the landscape stay cooler and form more favourable micro-climates (and meso-climates) [18,19]. Long-term monitoring can provide answers to the questions surrounding the development of the effects of engineering ameliorations on the hydric regime of soils, habitats, and vegetation. There is, however, only a limited number of studies of this nature (e.g., [13]) and each responds to specific site conditions, vegetation and climate. Our monitoring of the hydrological conditions of a small mountain headwater catchment that experienced temporary deforestation, offers potential for making a long-term assessment of the effect of drainage on the hydric regime of a developing forest. It can supplement the knowledge base needed for making relevant decisions of the appropriate approach to take with respect to soil drainage.
The aim of the study was to evaluate the behaviour of the upper-aquifer groundwater level in the monitored area over a period of 30 years from the stage of calamitous clearing to closed-canopy stands under the conditions of the ongoing climate. The null hypothesis was verified; that small-scale drainage did not negatively affect the development of the groundwater level, and posed no threat to the water supply of forest stands even in years with unfavourable precipitation resulting from the ongoing climate.
2. Materials and Methods
2.1. Study Site
The U Dvou louček catchment (hereinafter UDL) is a forest-hydrology experiment established at a summit site of the Orlice Mts., north-eastern Bohemia, Czech Republic. Its area is 32.6 ha and altitude ranges between 800 and 950 m above sea level (50.221 N, 16.498 E; Figure 1). There are remnants of an 80- to 120-year-old spruce-beech stand (Picea abies, Fagus sylvatica) in the south-western part of the catchment that recently covered 3.4 ha (10.5% of the area). Most of the catchment (79% of the area) is a former clear-cut resulting from an air-pollution salvage cut in the 1980s [20] on which 20- to 27-year-old Norway spruce stands now dominate. The height of the mean stem was 11 m, average DBH was 17 cm, stand density ranged from 1200 to 1600 trees.ha−1, and the basal area totaled about 31 cm2.ha−1 in 2020. Logging and skidding machinery rutted the soil surface, thus creating an unsuitable network of streams and ditches, which also increased the surface erosion of the lower part of the catchment at the beginning ([21]; Figure 2; see below). There was 2.5 ha of forest roads with an unconsolidated surface within the catchment area. The changing slope was about 7.5° at the bottom, 8.5° in the middle and 4.3° at the upper part of the catchment.
Figure 1.
Location and geomorphology/terrain of the experimental catchment UDL with soil water probe transect; the numbers represent individual probes. Source of the top-right picture: Google Maps.
Figure 2.
Details of the stream network caused by machinery before (left) and after its target regulation in 1996 (right).
The beech–spruce forest represents potentially dominating vegetation within the UDL, where various soil types such as podzol, cambisol and histosol are present. The bedrock is built up of mainly foliated two-mica gneisses and mica schists of a Stronie unit [22]. The Quaternary cover consists of 20 to 50% skeletal soils of deluvial and fluviodeluvial sand-to-clay origin; the thickness ranges from 1 to 2 m. In the lower part, the UDL is drained by a two-branch stream (see below). Direct communication of the upper and second aquifers of the watershed was not confirmed; compared to the upper aquifer the relationship of the second aquifer to precipitation and outflow was weak, noticeable during long periods of rain or drought only [23].
The annual average open area precipitation on the catchment from 1992 to 2021 was 1285 mm, 49% of which was winter precipitation. The average discharge from the catchment reached 919 mm. The mean evaporation from 1992 to 2002 was computed at 375 mm [24]. The average air temperature from 1996 to 2021 was 4.8 °C.
The experimental catchment UDL was used as a model area for making analyses of complex environmental issues (e.g., [25,26,27,28]).
2.2. Data Measurement and Analysis
Shallow GWT levels were measured using a line 84 m long (transect) oriented perpendicularly to drainage ditches (Figure 1). The depth of the 22 probes spaced 4 m from each other was 70–95 cm. The stratification of the soil horizon across the line varied: a humified organic layer reached up to 65 cm, while in higher parts, the B-horizon was missing (Figure 3). Other measured parameters on the UDL study site included precipitation via 8 manual (500 cm2) and 2 automated (200 cm2) rain gauges, and air temperature and outflow (measured as streamflow) at the discharge point (automated since 1996). Throughfall, as the base for making an interception estimation, was measured using 5 circular rain gauges (in summer 113 cm2 and in winter 167.5 cm2) below a young spruce canopy and 5 others installed in the old spruce–beech stand. Because the growing spruce stands were still young, stemflow was considered to be negligible. Approach of ignoring spruce stemflow was also used in other studies (e.g., [29,30]), because the share of stemflow is small even in adult spruce stands (it is less than 1% of incident rainfall only, see e.g., [31,32]). The mean annual precipitation of the catchment area was calculated using a polygon method (see [33]) and represents effective precipitation, that is, open-area precipitation modified by interception. The situation (topography) of the hydrographic network and of other measuring equipment was geodetically mapped.
Figure 3.
Soil profile horizons of the measuring probes (1 to 22; from lower to higher altitudes, see Figure 1) in the year of installation (1992). H—humified organic layer, A, B, C—mineral horizons. Arrows depict placement of the drainage ditches in 1995.
Beginning in 1992, the water-table was measured from May to October at intervals of 7 to 14 days. Precipitation in the automated stations and outflow were monitored all year long every 10 min, with winter precipitation being corrected by manual gauges. After the fourth year of calibration in 1996, the hydromelioration network was modified and optimised. Sporadic drainage ditches with a depth of 60 to 70 cm were dug manually and drained into a two-branch stream to restore the functionality of the existing drainage network and to interrupt slope erosion caused by skidding machinery [23]. It was carried out in the lower part of the catchment on mostly waterlogged soils and spring areas (Figure 2).
The clear-felled area was reforested from 1985 to cca 2000 using mostly Norway spruce (accompanied by European beech, silver fir and sycamore maple locally), and then the young plantation area shifted to the older stage as the new forest grew older (Figure 4) and the canopy was restored (Figure 5). The area of mature stands was reduced from 20 to 10% of the catchment between 1985 and 2011. The most important forest tending measures included: sanitary cleaning of the area above the middle northwest–southeast road (see Figure 5; cca 50% of the area) in autumn 2003 and sanitary cleaning and thinning of the parts above (2015) and below (2017) the middle road. Approximately 60% of the young spruces were attacked by the Ascocalyx abietina fungus from 2000 to 2003, which reduced their live crown as the foliage of 2 to 3 whorls from below was reduced. Up to 30% of the young trees were also damaged by snow (stem wounds and crown breakages) in 2005.
Figure 4.
Forest cover restoration on the experimental catchment. Young plantation—age < 9 years; young growth—age between 9 and 20 years; pole-stage stand—age between 21 and 32 (in 2018); the mature spruce stand was 64 years old in 1985; the mature beech stand was 74 years old in 1985.
Figure 5.
Forest cover of the experimental catchment in 2000 (left) and 2021 (right).
2.3. Data Processing
Data on GWT levels as well as manual precipitation and throughfall data from individual terms of measurements were cross-controlled to fix eventual measurement mistakes and typing errors. Average temperatures, precipitation and outflows were computed for hydrological years (May to April), hydrological summers (May to October) and hydrological winter (November to April).
The analyses were performed in R [34]. A linear regression was used to analyse trends of temperature and precipitation as well as to separate periods of double mass curves. The position of the years 2003 and 2015 in the double mass curve was isolated from neighbouring trends, and therefore they were excluded from the regressions. Statistical tests of the slopes of regression lines were performed by ANOVA using library lsmeans (version 2.30-0), the differences were considered to be significant when p <= 0.05. Trends of minimum and maximum ground water levels of individual probes were displayed by loess smoothing with spread intervals, span = 50 was used (library stats, version 4.2.1).
3. Results
3.1. Weather—Climate during the Observed Period
The average annual (hydrological year) precipitation of the open area reached 1285 mm, and years with minimal precipitation were 2003 (910 mm), 2015 (920 mm) and 2018 (950 mm)—Figure 6. The average precipitation in hydrological summer (May to October) was 650 mm, while in winter it was 635 mm. The average precipitation on the catchment calculated by a polygonal method including additional water due to horizontal precipitation increased the average summer value to 671 mm, the winter value to 842 mm, and the annual value to 1513 mm. A linear regression analysis showed a long-term significant decrease of winter precipitation (p = 0.04), while the trends of summer and annual precipitation were not significant (Figure 6).
Figure 6.
Precipitation trend on the experimental catchment UDL with linear regressions. Regression slope p: winter p = 0.04, summer p = 0.5, hydrol. year p = 0.3.
The annual air temperature ranged from 2.8 to 6.6 °C with an average of 4.8 °C. A significant increase of both summer (p = 0.01) and annual temperatures (p = 0.006) was observed during the years of observation, and the increase of winter temperatures was nearly significant (p = 0.07) (Figure 7).
Figure 7.
Average temperatures on the experimental catchment UDL with linear trends. Regression slope: winter p = 0.07, summer p = 0.01, hydrological year p = 0.006.
3.2. Outflow, Stand Development and Weather
Analyses of the double mass curve of precipitation and outflow sums showed differentiation during the monitored period to 6 different stages (Figure 8). The calibration years from 1992 to 1995 were followed by a period of higher outflows (1996 to 2001) with significantly different regression coeficients of slope from every other period (called the stabilisation period; Table 1) as well as an increase in summer outflow coeficients (Figure 9). Surplus water left the catchment with two times higher flow rates from the previous and following periods (the most frequent average daily discharge increased from 2 to 4 l.s−1 to 4 to 10 l.s−1, which occurred in 160 to 240 days). Continuous progress of the double mass curve in the period from 2002 to 2004 was probably interrupted by a delayed effect of the dry year 2003, which was accompanied by sanitary tending above the central road in autumn of 2003 (the measure was repeated in 2015, again in a dry year). However, the slopes of the regression lines in the 2002 to 2004 and 2006 to 2009 periods were not different. From 2010 to 2014, the outflow coeficient increased again, whereas the last period showed a significant reduction of outflow (Figure 8, Table 1). This was most likely a reaction to the years 2015 and 2018, which saw low precipitation; the most frequent average daily discharge decreased to 0.5 to 2 l.s−1 (with a duration of 280 days in 2015). Sanitary tending below the road in 2017 did not disrupt the run of the double mass curve (Figure 8).
Figure 8.
Double mass curve of the precipitation (Precip_sum) and outflow (Outflow_sum) on the catchment during the growing season (blue circles) with linear regressions of significant periods. Regression line of each period is represented by specific colour and year range. Years 1992–1995 represent calibration period before the hydromelioration network was modified and optimised. For regression coefficients, see Table 1.
Table 1.
Double mass curve regression coefficients of significant periods of precipitation and outflow. Notes: p = significance of the regression coefficients of slope; Statistical group = unlike letters depict statistically different groups of regression slopes.
The trend of the average, minimum and maximum GWT level during the monitored years after the hydromelioration network was optimised, documents the aeration of the topsoil horizons. Minimal GWT after the stabilisation period from 2002 ranged between −71 and −55 cm (in the calibration period from −56 to −32 cm), whereas THE maximum GWT was within the interval of −16 and −47 cm (compared to −5 to −12 cm before; Figure 10). A comparison of the first calibration period with the last one shows a lowering of the minimum GWT throughout the entire transect; however, the difference was small in its bottom part (Figure 11). Additionally, maximum GWT was generally reduced, but in certain positions (7, 13, 14 and 15), the water table levels tended to have their maximums again near the ground surface, similar to during the calibration period.
Figure 10.
Mean (Avg), minimum and maximum GWT levels in respective years—the averages of the measurement points are depicted in the line. Dashed vertical lines show break years of the double mass curve.
Figure 11.
Slope of the experimental transect area and the average minimum (above) and maximum (below) GWTs during the vegetation periods of 1992–1995 (a mostly deforested, calibration period before the drainage system was constructed) and 2016–2021 (the last period, forest cover restored). The numbers represent the position of the measuring probes.
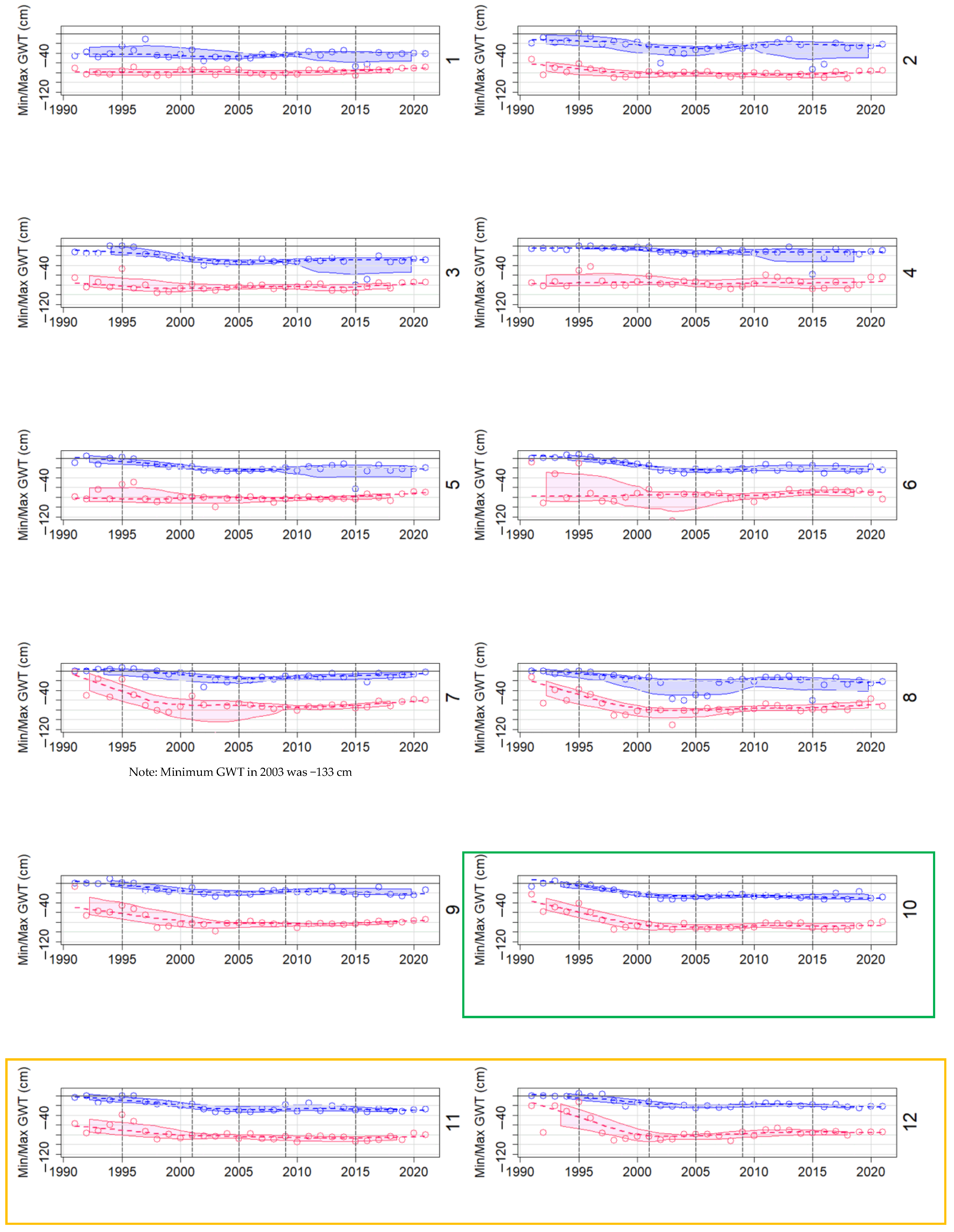
Additionally, the minimum and maximum GWT table levels in the individual years of the observed period demonstrate greater saturation of the soil profile by water in the first two (calibration and stabilisation) periods (Figure 12). The periods between 2002 and 2009 provided more intensively levelled GWT minima and maxima of the probes, which resulted in higher stabilisation of the soil water regime. On the other hand, the variation of the minimum and maximum GWT in the last two periods from 2010 increased, with the greatest influence seen in the extremely dry years 2015 and 2018. Contrary to most of the other probes, the maximal and minimal GWT of the probes located next to melioration ditches (10, 11, 12, 17, 18 and 19; Figure 12) were more stable and connected to the water levels in the ditches after the stabilisation period.

Figure 12.
The minimum (red) and maximum (blue) ground water levels of individual probes from lower to higher altitudes (probe 1 to 22) in individual years (x-axis) and smoothing by loess with spread intervals (span = 50). Green-framed charts exemplifying probes 10 and 17 are placed directly below the ditches; yellow framed probes 11, 12 and 18, 19 are next to the melioration ditches from above. Black horizontal line represents ground surface. The dashed vertical lines show the break years of the double mass curve (see Figure 8).
4. Discussion
On waterlogged sites, woody species roots need an aerated soil layer thick enough to grow. This is the reason why such sites particularly limit timber production. Reducing the high water table level using a technical amelioration can improve growing conditions [4,10]. When this measure is performed properly following the removal of stands, it has been proved that an intervention mitigating excessive soil water helps restore the hydrological conditions of the site [35]. Considering spruce-dominated stands, the issue of hydromelioration is particularly important at peaty and waterlogged sites [36]. If such stands are left without such treatment after clear-cutting, the GWT rises as the evapotranspiration (thereinafter ET) of the forest is lost [37] and rooting becomes shallow, both in peaty and in gleyic soils [38]. Despite preferential pathways that redirect water runoff from the UDL catchment prior to deliberate drainage [21], the ditches aerate more topsoil within the monitored transect, thus increasing the real retention of water, which was seen in this study, especially in its upper part (Figure 12). Additionally, this effect was reflected in lower culminations and amounts of small to medium discharge events over the stabilisation period [39,40].
Shallow rooting related to the GWT level generally leads to tree stability failure [41]. Such problems have not been found within the UDL catchment in question to date. This might, however, be related not only to the thicker vadose zone, but also to the young age (height) of the stands growing within the former clear-cut due to air pollution. Despite that, the UDL stands do show top breakages caused by snow load (the most frequent injury occurred in 2005).
At Finnish peaty sites dominated by Scots pine, a positive growth response of stands to drainage maintenance was found where shallower GWT levels initially ranged from 25–30 cm below the surface. The deeper levels ranging between 35 and 40 cm had no unambiguous effect on growth [42]. As for the UDL catchment, one can see a falling trend of mean ground-water table depths, which was likely attributable to the growth of the stands and their increased ET effect [43]. ET increases substantially in the youngest stands till the age of 10 years [44,45]. As for Norway spruce, the ET sum increases till the age of 40 years (see [44]) which allows us to expect an increasing effect of this hydrological balance component over the next 15 years. Besides that, there are also fluctuating precipitation totals resulting from rising air temperatures (Figure 7) and falling winter precipitation (Figure 6), which has an impact on the hydrological balance. Winter precipitation is particularly important for groundwater recharge [46]. Based on the shallow GWT behaviour in the studied UDL transect, it can be anticipated that ground water recharge deficits affect a deeper aquifer in the soil bedrock [23].
The increasing transpiration due to stand growth can be indirectly reflected in the falling trend of outflow coefficient values, which can be seen since the end of the 5-year stabilisation period (Figure 9). Although this happened, the previous results show transpiration saturated from precipitation and long-term ground water storage serves as the water supply for transpiration only rarely during the longest drought periods lasting three or more weeks [47].
Thinning conducted in 2003 and 2015 in the more distant part of the catchment above the central road had no direct effect on discharge—increased outflow coefficient (Figure 9) or on the GWT depth. On the other hand, the corrective measure taken in the proximity of the monitored transect in 2017 can be connected with the increase of the mean and maximum GWT in that year (Figure 10 and Figure 12). Mostly, however, it can be assumed that the thinning effects were outperformed by very low precipitation in 2003, 2015 and 2018 (Figure 6), which led to a water-supply deficit of water that would have otherwise been discharged. The exceptions are increased outflow coefficients in 2005, 2006, which were likely related to the 30% of trees with broken tops.
Technical measures reducing eroded ruts were employed in 1996 (Figure 2). These mitigated the annual fluctuation of the GWT levels measured by the probes located close to open ditches compared to probes located apart (Figure 12). The permeability of the mineral soil layers was not likely to have been substantially affected; it is actually dependent on the physical properties of the weathered mantle of particular bedrocks. Within the UDL catchment, these are more permeable two-mica gneiss and less permeable mica schist [22,23,48]. It can be assumed that even minimal GWT levels provided enough water to the rooted zones via capillary forces in micropores. The particular soil texture impacts both capillary fringe thickness (see e.g., [49]) and also total capillary rise. As for the UDL soils, the estimated value of capillary rise ranged between 80 and 90 cm [50]. The mean minimal GWT levels along the transect roughly reflect the depths of the ditches ranging between 60 and 70 cm (Figure 10).
Minimal GWT levels measured by individual probes ranged between −82 and −97.5 cm (95% confidence interval; the very deepest GWT −133 cm was found in probe 7 in 2003, and neighbouring probes also showed significantly low GWTs; Figure 12). The duration of these events was usually short. The health of the stands proved that the trees did not suffer from water shortages, not even during the 2015 [25] and 2018 droughts. This shows the maximal capillary rise, which was estimated to be up to 1.2 m under the UDL conditions [46]. In addition, the fluctuating GWT levels during the growing periods (the difference between the minimal and maximal GWT depth in each year), which depending on the position and year, ranged between 3 cm (calibration period) and 114 cm (2003), did not stress the stands substantially even though spruce is one of the species most prone to flooding [7]. Under the UDL conditions, an effect similar to flooding could manifest itself as water saturation of the rooted zone. A relatively short duration of events with high GWT levels was observed, which is also true for when periodical culminations of GWT levels rose up to the soil surface (positions 7, 13, 14 and 15; Figure 11 and Figure 12).
Despite certain shifts of shallow GWT levels that were related to precipitation, outflow, and forest stand growth within the UDL catchment [23], the mean minimal GWT levels fluctuated only slightly near a depth of −70 cm below the surface after 2014 (Figure 10), which is also the lowest limit of the depth of the ditches. In 2019, following the 2018 dry year, the GWT levels began to return to the levels common between 1999 and 2013. Deeper GWTs were found in the upper transect probes (no. 16 and higher). The lowest part (to probe no. 5) showed less divergent GWT depths when comparing the calibration period and the closing period (Figure 11). The Czech standard [47,51] estimated a drainage effect reaching 9 m perpendicularly from both sides of the ditches. However, this effect is likely to be reduced in the lower part of the UDL due to the specific hydraulic properties of the soil.
This study presented long-term monitoring, which is unique and offers a view on the effects of engineering ameliorations in the forest. However, its partial limitations originated in the conditions of the UDL catchment, because no natural catchments have identical replications. The conditions are represented especially by local soil, precipitation and temperature ranges. The results from the UDL can be, nevertheless, implemented in the management of the other waterlogged clearings with realized or intended engineering ameliorations.
5. Conclusions
An analysis of the 30-year hydropedological monitoring of the UDL catchment showed the following outcomes: Though the pre-treatment stream channel net with many ruts made by timber-skidding machinery already affected the catchment drainage conditions at the beginning, the establishment of a less dense, regulated hydromelioration network lowered GWT levels, thus making the aerated topsoil thicker. When the 5-year stabilisation period of increased outflow and gradually decreasing GWT levels was over, the long-term fluctuation of GWT levels substantially stabilised. The effect of forest stand growth on GWT and outflow was modest and the impact of forest tending was minimal. Significant temporary lowering of the GWT was observed in dry years, especially in 2003 and 2015. The near-ditch GWT changes related to inter-annual precipitation oscillations were the least. Winter precipitation sums showed a moderately decreasing trend, whereas mean air temperatures slightly increased. Minimal GWTs (maximum depth) of the shallow aquifer decreased until the low-precipitation year of 2018, then GWTs showed a gradual increase.
Under the conditions of this small mountain catchment, small-scale technical drainage using open ditches did not negatively impact the development of GWT, nor did it threaten the water supply for forest transpiration even in the poor precipitation years of the previous periods of ongoing climate.
Author Contributions
V.Č. designed the experiment and supervised the measurements, O.Š. analysed the data and led the writing of the original draft of Material and methods and Results, D.K. cooperated with co-authors in terms of rewriting the earlier drafts, commented on all sections and cooperated with O.Š. in writing the Introduction and Discussion. All authors have read and agreed to the published version of the manuscript.
Funding
The study was supported by the Ministry of Agriculture of the Czech Republic, project QK21020386 “Categorisation and optimisation of management of hydromelioration districts to increase the retention function of the forest”.
Data Availability Statement
Not applicable.
Acknowledgments
The authors would like to thank Jitka Richterová and her staff (Dušan Bartoš, Jarmila Coufalová) for years of measurements on the experimental catchment U Dvou louček. We would also like to thank Jitka Součková, for her help with the laborious adjustment of the references to the specific format of the journal. We all look forward to a practice, when every publisher gives up using his unique type of the cited references.
Conflicts of Interest
The authors declare no conflict of interest. The funders had no role in the design of the study; in the collection, analyses, or interpretation of data; in the writing of the manuscript; or in the decision to publish the results.
References
- Nožička, J. Přehled vývoje našich lesů; Státní Zemědělské Nakladatelství: Prague, Czech Republic, 1957; 459p. (In Czech) [Google Scholar]
- Skaggs, R.W.; Tian, S.; Chescheir, G.M.; Amatya, D.M.; Youssef, M.A. Forest drainage. In Forest Hydrology: Processes, Management and Assessment; Amatya, D., Williams, T., Bren, L., De Jong, C., Eds.; CABI Publishers: Wallingford, UK, 2016; pp. 124–140. [Google Scholar]
- Babikov, B.V.; Subota, M.B. Hydromelioration in forestry: History of research. Russ. For. J. 2022, 3, 103–118. [Google Scholar] [CrossRef]
- Paavilainen, E.; Päivänen, J. Forest drainage. In Peatland Forestry; Ecological Studies; Springer: Berlin/Heidelberg, Germany, 1995; Volume 111, pp. 103–124. [Google Scholar]
- Kociecka, J.; Liberacki, D. Planning of small retention in forests based on natural factors that increase water resources. Rocz. Ochr. Srodowiska 2018, 20, 1302–1317. [Google Scholar]
- Niinemets, U.; Valladares, F. Tolerance to shade, drought, and waterlogging of temperate Northern Hemisphere trees and shrubs. Ecol. Monogr. 2006, 4, 521–547. [Google Scholar] [CrossRef]
- Glenz, C.; Schlaepfer, R.; Iorgulescu, I.; Kienast, F. Flooding tolerance of Central European tree and shrub species. For. Ecol. Manag. 2006, 235, 1–13. [Google Scholar] [CrossRef]
- Pilas, I.; Planinsek, S. The reconstruction of the water regime in lowland forests in support of sustainable management. Šumar. List 2011, 135, 138–148. [Google Scholar]
- Nieminen, M.; Piirainen, S.; Sikstrom, U.; Lofgren, S.; Marttila, H.; Sarkkola, S.; Lauren, A.; Finer, L. Ditch network maintenance in peat-dominated boreal forests: Review and analysis of water quality management options. Ambio 2018, 5, 535–545. [Google Scholar] [CrossRef]
- Sikström, U.; Hökkä, H. Interactions between soil water conditions and forest stands in boreal forests with implications for ditch network maintenance. Silva Fenn. 2016, 50, 1416. [Google Scholar] [CrossRef]
- Jourgholami, M.; Labelle, E.R. Effects of plot length and soil texture on runoff and a sediment yield occurring on machine-trafficked soils in a mixed deciduous forest. Ann. For. Sci. 2020, 77, 19. [Google Scholar] [CrossRef]
- Mohr, C.H.; Coppus, R.; Iroumé, A.; Huber, A.; Bronstert, A. Runoff generation and a soil erosion processes after clear cutting. J. Geophys. Res. Earth Surf. 2013, 118, 814–831. [Google Scholar] [CrossRef]
- Strohmenger, L.; Ackerer, P.; Belfort, B.; Pierret, M.C. Local and seasonal climate change and its influence on the hydrological cycle in a mountainous forested catchment. J. Hydrol. 2022, 610, 127914. [Google Scholar] [CrossRef]
- Raisanen, J. Probabilistic forecasts of near-term climate change: Verification for temperature and precipitation changes from years 1971–2000 to 2011–2020. Clim. Dyn. 2022, 59, 1175–1188. [Google Scholar] [CrossRef]
- Tarek, M.; Brissette, F.; Arsenault, R. Uncertainty of gridded precipitation and temperature reference datasets in climate change impact studies. Hydrol. Earth Syst. Sci. 2021, 6, 3331–3350. [Google Scholar] [CrossRef]
- Vrac, M.; Thao, S.; Yiou, P. Changes in temperature-precipitation correlations over Europe: Are climate models reliable? Clim. Dyn. 2022. [Google Scholar] [CrossRef]
- Jones, J.; Ellison, D.; Ferraz, S.; Lara, A.; Wei, X.H.; Zhang, Z.Q. Forest restoration and hydrology. For. Ecol. Manag. 2022, 520, 120342. [Google Scholar] [CrossRef]
- European Commission, Directorate-General for Environment. EU Policy Document on Natural Water Retention Measures; Technical Report 2014–082; Publications Office: Luxembourg, 2015. [Google Scholar] [CrossRef]
- Bieroza, M.Z.; Bol, R.; Glendell, M. What is the deal with the Green Deal: Will the new strategy help to improve European freshwater quality beyond the Water Framework Directive? Sci. Total Environ. 2021, 791, 148080. [Google Scholar] [CrossRef] [PubMed]
- Černohous, V. Hladina podzemní vody a půdní vláha v zamokřeném povodí po imisních těžbách [Groundwater table and soil moisture in a mountain forest catchment waterlogged after immission logging]. Rep. For. Res. 1996, 41, 5–8. (In Czech) [Google Scholar]
- Černohous, V.; Švihla, V.; Šach, F.; Kacálek, D. Influence of drainage system maintenance on storm runoff from a reforested, waterlogged mountain catchment. Soil Water Res. 2014, 9, 90–96. [Google Scholar] [CrossRef]
- Opletal, M.; Domečka, K. (Eds.) Synoptic Geological Map of the Orlické Hory Mts; Scale 1:100 000; Geological Survey: Prague, Czech Republic, 1983.
- Černohous, V.; Dušek, D.; Šach, F. Změny hladiny podzemní vody pod vlivem hydromelioračního zásahu a odrůstání obnovených lesních porostů [Influence of drainage treatment and growing of renewed forest stands on changes in groundwater table]. Rep. For. Res. 2011, 56, 1–8. (In Czech) [Google Scholar]
- Černohous, V. Vliv evapotranspirace na odtok z povodí [Influence of evapotranspiration on outflow from basin]. Rep. For. Res. 2002, 47, 144–145. (In Czech) [Google Scholar]
- Černohous, V.; Švihla, V.; Šach, F. Projevy sucha ve smrkové tyčovině v létě 2015 [Manifestation of drought in spruce pole-stage stand in summer 2015]. Rep. For. Res. 2018, 63, 10–19. (In Czech) [Google Scholar]
- Sach, F.; Cernohous, V.; Erbanova, E.; Kacalek, D. Trend of nitrogen load affecting the special-interest region of the Orlicke Hory Mts. (Czech Republic). Rep. For. Res. 2018, 63, 222–235. [Google Scholar]
- Petrash, D.A.; Buzek, F.; Novak, M.; Cejkova, B.; Kram, P.; Chuman, T.; Curik, J.; Veselovsky, F.; Stepanova, M.; Myska, O.; et al. Spatially resolved soil solution chemistry in a central European atmospherically polluted high-elevation catchment. Soil 2019, 2, 205–221. [Google Scholar] [CrossRef]
- Novak, M.; Farkas, J.; Kram, P.; Hruska, J.; Stepanova, M.; Veselovsky, F.; Curik, J.; Andronikov, A.V.; Sebek, O.; Simecek, M.; et al. Controls on delta(26) Mg variability in three Central European headwater catchments characterized by contrasting bedrock chemistry and contrasting inputs of atmospheric pollutants. PLoS ONE 2020, 15, e0242915. [Google Scholar] [CrossRef] [PubMed]
- Abbasian, P.; Attarod, P.; Sadeghi, S.M.M.; Van Stan, J.T.; Hojjati, S.M. Throughfall nutrients in a degraded indigenous Fagus orientalis forest and a Picea abies plantation in the North of Iran. For. Syst. 2015, 24, e035. [Google Scholar] [CrossRef]
- Panahandeh, T.; Attarod, P.; Sadeghi, S.M.M.; Bayramzadeh, V.; Tang, Q.H.; Liu, X.C. The performance of the reformulated Gash rainfall interception model in the Hyrcanian temperate forests of northern Iran. J. Hydrol. 2022, 612, 128092. [Google Scholar] [CrossRef]
- Viville, D.; Biron, P.; Granier, A.; Dambrine, E.; Probst, A. Interception in a Mountainous Declining Spruce Stand in the Strengbach Catchment (Vosges, France). J. Hydrol. 1993, 144, 273–282. [Google Scholar] [CrossRef]
- Dohnal, M.; Černý, T.; Votrubová, J.; Tesař, M. Rainfall interception and spatial variability of throughfall in spruce stand. J. Hydrol. Hydromech. 2014, 62, 277–284. [Google Scholar] [CrossRef]
- Thiessen, A.H. Precipitation for large areas. Mon. Weather Rev. 1911, 39, 1082–1084. [Google Scholar]
- R Core Team. R: A Language and Environment for Statistical Computing; R Foundation for Statistical Computing: Vienna, Austria, 2022; Available online: https://www.R-project.org/ (accessed on 18 January 2022).
- Marcotte, P.; Roy, V.; Plamondon, A.P.; Auger, I. Ten-year water table recovery after clearcutting and draining boreal forested wetlands of eastern Canada. Hydrol. Process. 2008, 22, 4163–4172. [Google Scholar] [CrossRef]
- Klempířová, B.; Dragoun, L.; Marušák, R. Impact of soil drainage to the radial stem growth of Norway spruce (Picea abies L. Karst.) in peatland forests. For. J. 2013, 59, 241–247. [Google Scholar] [CrossRef]
- Sutmoller, J.; Meesenburg, H. Impact of forest stand development and climate change on the water budget of the Lange Bramke basin, Harz Mountains, Germany. Hydrol. Wasserbewirtsch. 2018, 3, 184–198. [Google Scholar]
- Mauer, O.; Houšková, K. Zpevňující funkce smrku ztepilého. In Soil Improving and Stabilising Functions of Forest Trees; Kacálek, D., Mauer, O., Podrázský, V., Slodičák, M., Eds.; Lesnická Práce: Kostelec nad Černými lesy, Czech Republic, 2017; pp. 78–87. (In Czech) [Google Scholar]
- Černohous, V.; Kovář, P. Forest watershed runoff changes determined using the unit hydrograph method. J. For. Sci. 2009, 55, 89–95. [Google Scholar] [CrossRef]
- Černohous, V.; Šach, F.; Kacálek, D. Effects of drainage treatment and stand growth on changes in runoff components from a forested watershed. J. For. Sci. 2010, 56, 307–313. [Google Scholar] [CrossRef]
- Ray, D.; Nicoll, B.C. The effect of soil water-table depth on root-plate development and stability of Sitka spruce. Forestry 1998, 71, 169–182. [Google Scholar] [CrossRef]
- Sarkkola, S.; Hökkä, H.; Ahti, E.; Koivusalo, H.; Nieminen, M. Depth of water table prior to ditch network maintenance is a key factor for tree growth response. Scand. J. For. Res. 2012, 27, 649–658. [Google Scholar] [CrossRef]
- Leppa, K.; Korkiakoski, M.; Nieminen, M.; Laiho, R.; Hotanen, J.P.; Kieloaho, A.J.; Korpela, L.; Laurila, T.; Lohila, A.; Minkkinen, K.; et al. Vegetation controls of water and energy balance of a drained peatland forest: Responses to alternative harvesting practices. Agric. For. Meteorol. 2020, 295, 108198. [Google Scholar] [CrossRef]
- Duncker, P.S.; Raulund-Rasmussen, K.; Gundersen, P.; Katzensteiner, K.; De Jong, J.; Ravn, H.P.; Smith, M.; Eckmüllner, O.; Spiecker, H. How forest management affects ecosystem services, including timber production and economic return: Synergies and trade-offs. Ecol. Soc. 2012, 17, 50. [Google Scholar] [CrossRef]
- Aguilos, M.; Sun, G.; Noormets, A.; Domec, J.-C.H.; Mcnulty, S.; Gavazzi, M.; Minick, K.; Mitra, B.; Prajapati, P.; Yang, Y.; et al. Effects of land-use change and drought on decadal evapotranspiration and water balance of natural and managed forested wetlands along the southeastern US lower coastal plain. Agric. For. Meteorol. 2021, 303, 108381. [Google Scholar] [CrossRef]
- Wright, S.N.; Novakowski, K.S. Numerical analysis of midwinter infiltration along the soil-rock interface: A pathway for enhanced bedrock recharge. Adv. Water Resour. 2022, 166, 104261. [Google Scholar] [CrossRef]
- Černohous, V.; Šach, F. Daily baseflow variations and forest evapotranspiration. Ekológia 2008, 27, 189–195. [Google Scholar]
- Švihla, V.; Černohous, V.; Kulhavý, Z.; Šach, F. říspěvek k hydrologické analýze povodí U Dvou louček v Orlických horách [Contribution to a hydrology analysis of “U Dvou louček” experimental forest catchment in the Orlické hory Mts.]. In Soil and Water, Scientific Studies 4/2005; Výzkumný ústav meliorací a ochrany půdy: Prague, Czech Republic, 2005; pp. 95–105. (In Czech) [Google Scholar]
- Shen, R.; Pennell, K.G.; Suuberg, E.M. Influence of soil moisture on soil gas vapor concentration for vapor intrusion. Environ. Eng. Sci. 2013, 30, 628–637. [Google Scholar] [CrossRef] [PubMed]
- Švihla, V.; Šach, F.; Černohous, V. Příspěvek k řešení problému vzlínání podzemní vody na povodí U Dvou louček v Orlických horách [Contribution to solving problem of capillary rise of groundwater on the catchment U Dvou louček in the Orlické hory Mts]. Rep. For. Res. 2005, 50, 53–57. (In Czech) [Google Scholar]
- ČSN 75 4200; Hydromeliorace. Úprava vodního režimu zemědělských půd odvodněním [Amelioration. Control of Sub-Surface Water Management of Agricultural Lands by Draining]. Český normalizační institut: Prague, Czech Republic, 1993.
Disclaimer/Publisher’s Note: The statements, opinions and data contained in all publications are solely those of the individual author(s) and contributor(s) and not of MDPI and/or the editor(s). MDPI and/or the editor(s) disclaim responsibility for any injury to people or property resulting from any ideas, methods, instructions or products referred to in the content. |
© 2023 by the authors. Licensee MDPI, Basel, Switzerland. This article is an open access article distributed under the terms and conditions of the Creative Commons Attribution (CC BY) license (https://creativecommons.org/licenses/by/4.0/).












