Study on the Removal Characteristics of IBP and DCF in Wastewater by CW-MFC with Different Co-Substrates
Abstract
:1. Introduction
2. Methods
2.1. Establishment and Operation of the CW-MFC
2.2. Water Sampling and Analysis
2.3. Substrate Sampling and Bacterial Community Analysis
2.4. Statistical Analysis
3. Results
3.1. PPCP Removal with Different Co-Substrates
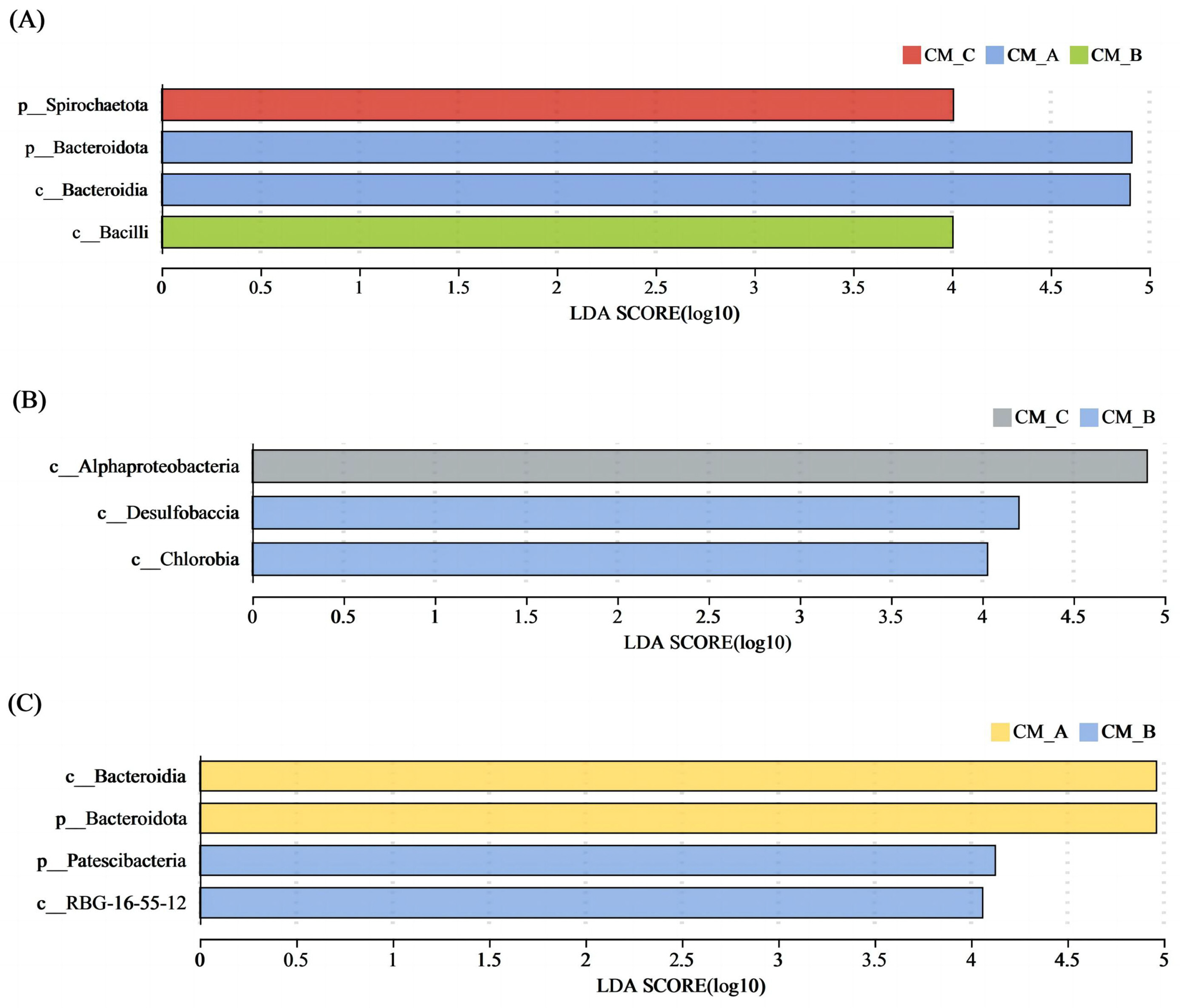
3.2. Bacterial Community Analysis
3.3. Nutrient Removal with Different Carbon Sources
3.4. The Electrical Characteristics of CW-MFCs
4. Discussion
4.1. Effects of Different Co-Substrates on PPCP Removal
4.2. Effects of Different Co-Substrates on Bacterial Community
4.3. Effect of Different Co-Substrates on the CW-MFC Performance
5. Conclusions
Supplementary Materials
Author Contributions
Funding
Data Availability Statement
Acknowledgments
Conflicts of Interest
References
- Ordóñez, C.; Pamela, D. Determination of HPLC/MS/MS Capabilities for the Monitoring of Trace Level Pharmaceuticals and Personal Care Products (PPCP) in Environmental Samples; California State University: Fresno, CA, USA, 2015. [Google Scholar]
- Daughton, C.G.; Ternes, T.A. Pharmaceuticals and personal care products in the environment: Agents of subtle change? Env. Health Perspect 1999, 107 (Suppl. 6), 907–938. [Google Scholar] [CrossRef] [PubMed]
- Guruge, K.S.; Goswami, P.; Tanoue, R.; Nomiyama, K.; Wijesekara, R.G.S.; Dharmaratne, T.S. First nationwide investigation and environmental risk assessment of 72 pharmaceuticals and personal care products from Sri Lankan surface waterways. Sci. Total Environ. 2019, 690, 683–695. [Google Scholar] [CrossRef] [PubMed]
- Ren, B.; Shi, X.; Jin, X.; Wang, X.C.; Jin, P. Comprehensive evaluation of pharmaceuticals and personal care products (PPCPs) in urban sewers: Degradation, intermediate products and environmental risk. Chem. Eng. J. 2021, 404, 127024. [Google Scholar] [CrossRef]
- Yang, H.; Lu, G.; Yan, Z.; Liu, J.; Dong, H.; Jiang, R.; Zhou, R.; Zhang, P.; Sun, Y.; Nkoom, M. Occurrence, spatial-temporal distribution and ecological risks of pharmaceuticals and personal care products response to water diversion across the rivers in Nanjing, China. Environ. Pollut. 2019, 255, 113132. [Google Scholar] [CrossRef] [PubMed]
- Menger, F.; Ahrens, L.; Wiberg, K.; Gago-Ferrero, P. Suspect screening based on market data of polar halogenated micropollutants in river water affected by wastewater. J. Hazard. Mater. 2021, 401, 123377. [Google Scholar] [CrossRef] [PubMed]
- Rainsford, K.D. Ibuprofen: Pharmacology, efficacy and safety. Inflammopharmacology 2009, 17, 275–342. [Google Scholar] [CrossRef]
- Zhao, J.-L.; Ying, G.-G.; Wang, L.; Yang, J.-F.; Yang, X.-B.; Yang, L.-H.; Li, X. Determination of phenolic endocrine disrupting chemicals and acidic pharmaceuticals in surface water of the Pearl Rivers in South China by gas chromatography–negative chemical ionization–mass spectrometry. Sci. Total Environ. 2009, 407, 962–974. [Google Scholar] [CrossRef]
- Bu, Q.W.; Wang, B.; Huang, J.; Deng, S.B.; Yu, G. Pharmaceuticals and personal care products in the aquatic environment in China: A review. J. Hazard. Mater. 2013, 262, 189–211. [Google Scholar] [CrossRef]
- Evgenidou, E.N.; Konstantinou, I.K.; Lambropoulou, D.A. Occurrence and removal of transformation products of PPCPs and illicit drugs in wastewaters: A review. Sci. Total Environ. 2015, 505, 905–926. [Google Scholar] [CrossRef]
- Mei, X.; Sui, Q.; Lyu, S.; Wang, D.; Zhao, W. Pharmaceuticals and personal care products in the urban river across the megacity Shanghai: Occurrence, source apportionment and a snapshot of influence of rainfall. J. Hazard. Mater. 2018, 359, 429–436. [Google Scholar] [CrossRef]
- Jia, Y.; Yin, L.; Khanal, S.K.; Zhang, H.; Oberoi, A.S.; Lu, H. Biotransformation of ibuprofen in biological sludge systems: Investigation of performance and mechanisms. Water Res. 2020, 170, 115303. [Google Scholar] [CrossRef] [PubMed]
- Al-Qaim, F.F.; Abdullah, M.P.; Othman, M.R.; Latip, J.; Zakaria, Z. Multi-residue analytical methodology-based liquid chromatography-time-of-flight-mass spectrometry for the analysis of pharmaceutical residues in surface water and effluents from sewage treatment plants and hospitals. J. Chromatogr. A 2014, 1345, 139–153. [Google Scholar] [CrossRef] [PubMed]
- Zhang, Y.; Geißen, S.-U.; Gal, C. Carbamazepine and diclofenac: Removal in wastewater treatment plants and occurrence in water bodies. Chemosphere 2008, 73, 1151–1161. [Google Scholar] [CrossRef] [PubMed]
- Landsdorp, D.; Vree, T.B.; Janssen, T.J.; Guelen, P.J. Pharmacokinetics of rectal diclofenac and its hydroxy metabolites in man. Int. J. Clin. Pharmacol. Ther. Toxicol. 1990, 28, 298–302. [Google Scholar]
- Heberer, T.; Feldmann, D. Contribution of effluents from hospitals and private households to the total loads of diclofenac and carbamazepine in municipal sewage effluents—modeling versus measurements. J. Hazard. Mater. 2005, 122, 211–218. [Google Scholar] [CrossRef]
- Minella, M.; Bertinetti, S.; Hanna, K.; Minero, C.; Vione, D. Degradation of ibuprofen and phenol with a Fenton-like process triggered by zero-valent iron (ZVI-Fenton). Environ. Res. 2019, 179, 108750. [Google Scholar] [CrossRef]
- Leverrier-Penna, S.; Mitchell, R.T.; Becker, E.; Lecante, L.; Ben Maamar, M.; Homer, N.; Lavoué, V.; Kristensen, D.M.; Dejucq-Rainsford, N.; Jégou, B.; et al. Ibuprofen is deleterious for the development of first trimester human fetal ovary ex vivo. Hum. Reprod. 2018, 33, 482–493. [Google Scholar] [CrossRef]
- Oaks, J.L.; Gilbert, M.; Virani, M.Z.; Watson, R.T.; Meteyer, C.U.; Rideout, B.A.; Shivaprasad, H.L.; Ahmed, S.; Iqbal Chaudhry, M.J.; Arshad, M.; et al. Diclofenac residues as the cause of vulture population decline in Pakistan. Nature 2004, 427, 630–633. [Google Scholar] [CrossRef]
- Brozinski, J.M.; Lahti, M.; Meierjohann, A.; Oikari, A.; Kronberg, L. The anti-inflammatory drugs diclofenac, naproxen and ibuprofen are found in the bile of wild fish caught downstream of a wastewater treatment plant. Env. Sci Technol 2013, 47, 342–348. [Google Scholar] [CrossRef]
- Zheng, M.; Chen, J.; Zhang, L.; Cheng, Y.; Lu, C.; Liu, Y.; Singh, A.; Trivedi, M.; Kumar, A.; Liu, J. Metal organic frameworks as efficient adsorbents for drugs from wastewater. Mater. Today Commun. 2022, 31, 103514. [Google Scholar] [CrossRef]
- Yadav, A.K.; Dash, P.; Mohanty, A.; Abbassi, R.; Mishra, B.K. Performance assessment of innovative constructed wetland-microbial fuel cell for electricity production and dye removal. Ecol. Eng. 2012, 47, 126–131. [Google Scholar] [CrossRef]
- Vymazal, J.; Zhao, Y.; Mander, Ü. Recent research challenges in constructed wetlands for wastewater treatment: A review. Ecol. Eng. 2021, 169, 106318. [Google Scholar] [CrossRef]
- Doherty, L.; Zhao, Y. Operating a two-stage microbial fuel cell-constructed wetland for fuller wastewater treatment and more efficient electricity generation. Water Sci. Technol. A J. Int. Assoc. Water Pollut. Res. 2015, 72, 421–428. [Google Scholar] [CrossRef] [PubMed]
- Healy, M.G.; Rodgers, M.; Mulqueen, J. Treatment of dairy wastewater using constructed wetlands and intermittent sand filters. Bioresour. Technol. 2007, 98, 2268–2281. [Google Scholar] [CrossRef]
- Patil, R.; Zahid, M.; Govindwar, S.; Khandare, R.; Vyavahare, G.; Gurav, R.; Desai, N.; Pandit, S.; Jadhav, J. Chapter 8—Constructed wetland: A promising technology for the treatment of hazardous textile dyes and effluent. In Development in Wastewater Treatment Research and Processes; Shah, M., Rodriguez-Couto, S., Biswas, J., Eds.; Elsevier: Amsterdam, The Netherlands, 2022; pp. 173–198. [Google Scholar]
- Sudarsan, J.S.; Annadurai, R.; Mukhopadhyay, M.; Chakraborty, P.; Nithiyanantham, S. Domestic wastewater treatment using constructed wetland: An efficient and alternative way. Sustain. Water Resour. Manag. 2018, 4, 781–787. [Google Scholar] [CrossRef]
- Vymazal, J. Constructed wetlands for treatment of industrial wastewaters: A review. Ecol. Eng. 2014, 73, 724–751. [Google Scholar] [CrossRef]
- Reyes-Contreras, C.; Matamoros, V.; Ruiz, I.; Soto, M.; Bayona, J.M. Evaluation of PPCPs removal in a combined anaerobic digester-constructed wetland pilot plant treating urban wastewater. Chemosphere 2011, 84, 1200–1207. [Google Scholar] [CrossRef]
- Hartl, M.; García-Galán, M.J.; Matamoros, V.; Fernández-Gatell, M.; Rousseau, D.P.L.; Du Laing, G.; Garfí, M.; Puigagut, J. Constructed wetlands operated as bioelectrochemical systems for the removal of organic micropollutants. Chemosphere 2021, 271, 129593. [Google Scholar] [CrossRef]
- Li, H.; Zhang, S.; Yang, X.-L.; Yang, Y.-L.; Xu, H.; Li, X.-N.; Song, H.-L. Enhanced degradation of bisphenol A and ibuprofen by an up-flow microbial fuel cell-coupled constructed wetland and analysis of bacterial community structure. Chemosphere 2019, 217, 599–608. [Google Scholar] [CrossRef]
- Wang, J.; Wang, S. Removal of pharmaceuticals and personal care products (PPCPs) from wastewater: A review. J. Environ. Manag. 2016, 182, 620–640. [Google Scholar] [CrossRef]
- Oon, Y.-L.; Ong, S.-A.; Ho, L.-N.; Wong, Y.-S.; Oon, Y.-S.; Lehl, H.K.; Thung, W.-E. Hybrid system up-flow constructed wetland integrated with microbial fuel cell for simultaneous wastewater treatment and electricity generation. Bioresour. Technol. 2015, 186, 270–275. [Google Scholar] [CrossRef] [PubMed]
- Doherty, L.; Zhao, Y.; Zhao, X.; Hu, Y.; Hao, X.; Xu, L.; Liu, R. A review of a recently emerged technology: Constructed wetland – Microbial fuel cells. Water Res. 2015, 85, 38–45. [Google Scholar] [CrossRef] [PubMed]
- Kadlec, R.H. Comparison of free water and horizontal subsurface treatment wetlands. Ecol. Eng. 2009, 35, 159–174. [Google Scholar] [CrossRef]
- Zhu, M.; Zhang, M.; Yuan, Y.; Zhang, P.; Du, S.; Ya, T.; Chen, D.; Wang, X.; Zhang, T. Responses of microbial communities and their interactions to ibuprofen in a bio-electrochemical system. J. Environ. Manag. 2021, 289, 112473. [Google Scholar] [CrossRef]
- Dai, M.; Zhang, Y.; Wu, Y.; Sun, R.; Zong, W.; Kong, Q. Mechanism involved in the treatment of sulfamethoxazole in wastewater using a constructed wetland microbial fuel cell system. J. Environ. Chem. Eng. 2021, 9, 106193. [Google Scholar] [CrossRef]
- Ge, X.Y.; Cao, X.; Song, X.S.; Wang, Y.H.; Si, Z.H.; Zhao, Y.F.; Wang, W.T.; Tesfahunegn, A.A. Bioenergy generation and simultaneous nitrate and phosphorus removal in a pyrite-based constructed wetland-microbial fuel cell. Bioresour. Technol. 2020, 296, 10. [Google Scholar] [CrossRef]
- Liu, X.; Guo, X.; Liu, Y.; Lu, S.; Xi, B.; Zhang, J.; Wang, Z.; Bi, B. A review on removing antibiotics and antibiotic resistance genes from wastewater by constructed wetlands: Performance and microbial response. Environ. Pollut. 2019, 254, 112996. [Google Scholar] [CrossRef]
- Pan, M.; Chu, L.M. Adsorption and degradation of five selected antibiotics in agricultural soil. Sci. Total Environ. 2016, 545–546, 48–56. [Google Scholar] [CrossRef]
- Du, L.; Zhao, Y.; Wang, C.; Zhang, H.; Chen, Q.; Zhang, X.; Zhang, L.; Wu, J.; Wu, Z.; Zhou, Q. Removal performance of antibiotics and antibiotic resistance genes in swine wastewater by integrated vertical-flow constructed wetlands with zeolite substrate. Sci. Total Environ. 2020, 721, 137765. [Google Scholar] [CrossRef]
- Chen, J.; Xie, S. Overview of sulfonamide biodegradation and the relevant pathways and microorganisms. Sci. Total Environ. 2018, 640–641, 1465–1477. [Google Scholar] [CrossRef]
- Kovalakova, P.; Cizmas, L.; McDonald, T.J.; Marsalek, B.; Feng, M.; Sharma, V.K. Occurrence and toxicity of antibiotics in the aquatic environment: A review. Chemosphere 2020, 251, 126351. [Google Scholar] [CrossRef] [PubMed]
- Nsenga Kumwimba, M.; Meng, F. Roles of ammonia-oxidizing bacteria in improving metabolism and cometabolism of trace organic chemicals in biological wastewater treatment processes: A review. Sci. Total Environ. 2019, 659, 419–441. [Google Scholar] [CrossRef] [PubMed]
- Popa, C.; Favier, L.; Dinica, R.; Semrany, S.; Djelal, H.; Amrane, A.; Bahrim, G. Potential of newly isolated wild Streptomyces strains as agents for the biodegradation of a recalcitrant pharmaceutical, carbamazepine. Environ. Technol. 2014, 35, 3082–3091. [Google Scholar] [CrossRef] [PubMed]
- Zhang, J.-J.; Chen, Y.-F.; Fang, T.; Zhou, N.-Y. Co-metabolic degradation of tribenuron methyl, a sulfonylurea herbicide, by Pseudomonas sp. strain NyZ42. Int. Biodeterior. Biodegrad. 2013, 76, 36–40. [Google Scholar] [CrossRef]
- Domaradzka, D.; Guzik, U.; Hupert-Kocurek, K.; Wojcieszyńska, D. Cometabolic Degradation of Naproxen by Planococcus sp. Strain S5. Water Air Soil Pollut. 2015, 226, 297. [Google Scholar] [CrossRef]
- Xie, S.; Liu, J.; Li, L.; Qiao, C. Biodegradation of malathion by Acinetobacter johnsonii MA19 and optimization of cometabolism substrates. J. Environ. Sci. 2009, 21, 76–82. [Google Scholar] [CrossRef]
- Pant, D.; Van Bogaert, G.; Diels, L.; Vanbroekhoven, K. A review of the substrates used in microbial fuel cells (MFCs) for sustainable energy production. Bioresour. Technol. 2010, 101, 1533–1543. [Google Scholar] [CrossRef]
- Wang, H.; Heil, D.; Ren, Z.J.; Xu, P. Removal and fate of trace organic compounds in microbial fuel cells. Chemosphere 2015, 125, 94–101. [Google Scholar] [CrossRef]
- Fadzli, F.S.; Bhawani, S.A.; Adam Mohammad, R.E.; Maneiro, M. Microbial Fuel Cell: Recent Developments in Organic Substrate Use and Bacterial Electrode Interaction. J. Chem. 2021, 2021, 4570388. [Google Scholar] [CrossRef]
- Wang, J.; Song, X.; Wang, Y.; Bai, J.; Li, M.; Dong, G.; Lin, F.; Lv, Y.; Yan, D. Bioenergy generation and rhizodegradation as affected by microbial community distribution in a coupled constructed wetland-microbial fuel cell system associated with three macrophytes. Sci. Total Environ. 2017, 607–608, 53–62. [Google Scholar] [CrossRef]
- Fang, Z.; Song, H.-l.; Cang, N.; Li, X.-n. Electricity production from Azo dye wastewater using a microbial fuel cell coupled constructed wetland operating under different operating conditions. Biosens. Bioelectron. 2015, 68, 135–141. [Google Scholar] [CrossRef] [PubMed]
- Hijosa-Valsero, M.; Reyes-Contreras, C.; Domínguez, C.; Bécares, E.; Bayona, J.M. Behaviour of pharmaceuticals and personal care products in constructed wetland compartments: Influent, effluent, pore water, substrate and plant roots. Chemosphere 2016, 145, 508–517. [Google Scholar] [CrossRef] [PubMed]
- Li, H.; Xu, H.; Song, H.-L.; Lu, Y.; Yang, X.-L. Antibiotic resistance genes, bacterial communities, and functions in constructed wetland-microbial fuel cells: Responses to the co-stresses of antibiotics and zinc. Environ. Pollut. 2020, 265, 115084. [Google Scholar] [CrossRef] [PubMed]
- APHA. Standard Methods for the Examination of Water and Wastewater, 23rd ed.; American Public Health Association: Washington, DC, USA; American Water Works Association: Washington, DC, USA, 2018. [Google Scholar]
- Fang, Z.; Song, H.L.; Yu, R.; Li, X.N. A microbial fuel cell-coupled constructed wetland promotes degradation of azo dye decolorization products. Ecol. Eng. 2016, 94, 455–463. [Google Scholar] [CrossRef]
- Bokulich, N.A.; Subramanian, S.; Faith, J.J.; Gevers, D.; Gordon, J.I.; Knight, R.; Mills, D.A.; Caporaso, J.G. Quality-filtering vastly improves diversity estimates from Illumina amplicon sequencing. Nat. Methods 2013, 10, 57–59. [Google Scholar] [CrossRef]
- Fang, Z.; Song, H.-L.; Cang, N.; Li, X.-N. Performance of microbial fuel cell coupled constructed wetland system for decolorization of azo dye and bioelectricity generation. Bioresour. Technol. 2013, 144, 165–171. [Google Scholar] [CrossRef]
- Yi, X.; Tran, N.H.; Yin, T.; He, Y.; Gin, K.Y.-H. Removal of selected PPCPs, EDCs, and antibiotic resistance genes in landfill leachate by a full-scale constructed wetlands system. Water Res. 2017, 121, 46–60. [Google Scholar] [CrossRef]
- Stülten, D.; Zühlke, S.; Lamshöft, M.; Spiteller, M. Occurrence of diclofenac and selected metabolites in sewage effluents. Sci. Total Environ. 2008, 405, 310–316. [Google Scholar] [CrossRef]
- Yang, Y.; Wang, Z.; He, T.; Dai, Y.; Xie, S. Sediment bacterial communities associated with anaerobic biodegradation of bisphenol A. Microb. Ecol. 2015, 70, 97–104. [Google Scholar] [CrossRef]
- Zhang, L.; Liu, Y.; Lv, S.; Wang, R.; Wang, Y.; Lin, K.; Hu, X.; Liu, Y.; Dong, Z.; Liu, L. An overview on constructed wetland-microbial fuel cell: Greenhouse gases emissions and extracellular electron transfer. J. Environ. Chem. Eng. 2023, 11, 109551. [Google Scholar] [CrossRef]
- Logan, B.E.; Regan, J.M. Microbial Fuel Cells—Challenges and Applications. Environ. Sci. Technol. 2006, 40, 5172–5180. [Google Scholar] [CrossRef] [PubMed]
- Xia, Z.; Xiao-chun, W.; Zhong-lin, C.; Hao, X.; Qing-fang, Z. Microbial community structure and pharmaceuticals and personal care products removal in a membrane bioreactor seeded with aerobic granular sludge. Appl. Microbiol. Biotechnol. 2015, 99, 425–433. [Google Scholar] [CrossRef] [PubMed]
- Xu, F.; Cao, F.Q.; Kong, Q.; Zhou, L.L.; Yuan, Q.; Zhu, Y.J.; Wang, Q.; Du, Y.D.; Wang, Z.D. Electricity production and evolution of microbial community in the constructed wetland-microbial fuel cell. Chem. Eng. J. 2018, 339, 479–486. [Google Scholar] [CrossRef]
- Zhu, C.-Y.; Wang, J.-F.; Li, Q.-S.; Wang, L.-L.; Tang, G.-H.; Cui, B.-S.; Bai, J. Integration of CW-MFC and anaerobic granular sludge to explore the intensified ammonification-nitrification-denitrification processes for nitrogen removal. Chemosphere 2021, 278, 130428. [Google Scholar] [CrossRef] [PubMed]
- Yang, Q.; Wu, Z.X.; Liu, L.F.; Zhang, F.X.; Liang, S.N. Treatment of Oil Wastewater and Electricity Generation by Integrating Constructed Wetland with Microbial Fuel Cell. Materials 2016, 9, 885. [Google Scholar] [CrossRef]
- Silambarasan, S.; Abraham, J. Biodegradation of carbendazim by a potent novel Chryseobacterium sp. JAS14 and plant growth promoting Aeromonas caviae JAS15 with subsequent toxicity analysis. 3 Biotech 2020, 10, 326. [Google Scholar] [CrossRef]
- Zhang, W.; Li, J.; Zhang, Y.; Wu, X.; Zhou, Z.; Huang, Y.; Zhao, Y.; Mishra, S.; Bhatt, P.; Chen, S. Characterization of a novel glyphosate-degrading bacterial species, Chryseobacterium sp. Y16C, and evaluation of its effects on microbial communities in glyphosate-contaminated soil. J. Hazard. Mater. 2022, 432, 128689. [Google Scholar] [CrossRef]
- Figueroa, D.; Capo, E.; Lindh, M.V.; Rowe, O.F.; Paczkowska, J.; Pinhassi, J.; Andersson, A. Terrestrial dissolved organic matter inflow drives temporal dynamics of the bacterial community of a subarctic estuary (northern Baltic Sea). Env. Microbiol 2021, 23, 4200–4213. [Google Scholar] [CrossRef]
- Xu, B.; Gao, P.; Liu, Z.; Xue, G.; Liu, Y.; Wu, F. Influence of Cosubstrates on Iopromide Degradation by Pseudomonas sp. I-24. Water Air Soil Pollut. 2014, 225, 1849. [Google Scholar] [CrossRef]
- Lawson, K. Emerging pharmacological strategies for the treatment of fibromyalgia. World J. Pharmacol. 2017, 6, 1–10. [Google Scholar] [CrossRef]
- Liu, C.; Liu, T.; Zheng, X.; Meng, J.; Chen, H.; Yuan, Z.; Hu, S.; Guo, J. Rapid formation of granules coupling n-DAMO and anammox microorganisms to remove nitrogen. Water Res. 2021, 194, 116963. [Google Scholar] [CrossRef] [PubMed]
- Corbella, C.; Guivernau, M.; Vinas, M.; Puigagut, J. Operational, design and microbial aspects related to power production with microbial fuel cells implemented in constructed wetlands. Water Res. 2015, 84, 232–242. [Google Scholar] [CrossRef] [PubMed]
- Huang, X.; Zheng, J.; Liu, C.; Liu, L.; Liu, Y.; Fan, H.; Zhang, T. Performance and bacterial community dynamics of vertical flow constructed wetlands during the treatment of antibiotics-enriched swine wastewater. Chem. Eng. J. 2017, 316, 727–735. [Google Scholar] [CrossRef]
- Zhao, X.; Chen, Z.; Wang, X.; Li, J.; Shen, J.; Xu, H. Remediation of pharmaceuticals and personal care products using an aerobic granular sludge sequencing bioreactor and microbial community profiling using Solexa sequencing technology analysis. Bioresour. Technol. 2015, 179, 104–112. [Google Scholar] [CrossRef]
- Vymazal, J. Constructed wetlands for wastewater treatment. Ecol. Eng. 2005, 25, 475–477. [Google Scholar] [CrossRef]
- Oon, Y.L.; Ong, S.A.; Ho, L.N.; Wong, Y.S.; Dahalan, F.A.; Oon, Y.S.; Teoh, T.P.; Lehl, H.K.; Thung, W.E. Constructed wetland-microbial fuel cell for azo dyes degradation and energy recovery: Influence of molecular structure, kinetics, mechanisms and degradation pathways. Sci. Total Environ. 2020, 720, 15. [Google Scholar] [CrossRef]
- Song, H.L.; Zhang, S.; Guo, J.H.; Yang, Y.L.; Zhang, L.M.; Li, H.; Yang, X.L.; Liu, X. Vertical up-flow constructed wetlands exhibited efficient antibiotic removal but induced antibiotic resistance genes in effluent. Chemosphere 2018, 203, 434–441. [Google Scholar] [CrossRef]
- Ebrahimi, A.; Sivakumar, M.; McLauchlan, C.; Ansari, A.; Vishwanathan, A.S. A critical review of the symbiotic relationship between constructed wetland and microbial fuel cell for enhancing pollutant removal and energy generation. J. Environ. Chem. Eng. 2021, 9, 105011. [Google Scholar] [CrossRef]
- Sonawane, J.M.; Yadav, A.; Ghosh, P.C.; Adeloju, S.B. Recent advances in the development and utilization of modern anode materials for high performance microbial fuel cells. Biosens. Bioelectron. 2017, 90, 558–576. [Google Scholar] [CrossRef]
- Sizirici, B.; Yildiz, I. Simultaneous removal of organics and metals in fixed bed using gravel and iron oxide coated gravel. Results Eng. 2020, 5, 100093. [Google Scholar] [CrossRef]
- Oon, Y.-L.; Ong, S.-A.; Ho, L.-N.; Wong, Y.-S.; Dahalan, F.A.; Oon, Y.-S.; Lehl, H.K.; Thung, W.-E. Synergistic effect of up-flow constructed wetland and microbial fuel cell for simultaneous wastewater treatment and energy recovery. Bioresour. Technol. 2016, 203, 190–197. [Google Scholar] [CrossRef] [PubMed]
- Zhao, C.C.; Shang, D.W.; Zou, Y.L.; Du, Y.D.; Wang, Q.; Xu, F.; Ren, L.; Kong, Q. Changes in electricity production and microbial community evolution constructed wetland -microbial fuel cell exposed to wastewater containing Pb(II). Sci. Total Environ. 2020, 732, 11. [Google Scholar] [CrossRef] [PubMed]
- González, T.; Puigagut, J.; Vidal, G. Organic matter removal and nitrogen transformation by a constructed wetland-microbial fuel cell system with simultaneous bioelectricity generation. Sci. Total Environ. 2021, 753, 142075. [Google Scholar] [CrossRef]
- Wu, D.; Yang, L.Y.; Gan, L.; Chen, Q.K.; Li, L.; Chen, X.; Wang, X.; Guo, L.Y.; Miao, A.J. Potential of novel wastewater treatment system featuring microbial fuel cell to generate electricity and remove pollutants. Ecol. Eng. 2015, 84, 624–631. [Google Scholar] [CrossRef]
- Saz, Ç.; Türe, C.; Türker, O.C.; Yakar, A. Effect of vegetation type on treatment performance and bioelectric production of constructed wetland modules combined with microbial fuel cell (CW-MFC) treating synthetic wastewater. Environ. Sci. Pollut. Res. 2018, 25, 8777–8792. [Google Scholar] [CrossRef]
- Araneda, I.; Tapia, N.F.; Allende, K.L.; Vargas, I.T. Constructed Wetland-Microbial Fuel Cells for Sustainable Greywater Treatment. Water 2018, 10, 940. [Google Scholar] [CrossRef]
- Liu, Q.; Zhou, B.X.; Zhang, S.C.; Xu, D.; Pan, R.; Xia, S.B. Embedding Microbial Fuel Cells into the Vertical Flow Constructed Wetland Enhanced Denitrogenation and Water Purification. Pol. J. Environ. Stud. 2019, 28, 1799–1804. [Google Scholar] [CrossRef]
- Zhang, S.; Song, H.-L.; Yang, X.-L.; Li, H.; Wang, Y.-W. A system composed of a biofilm electrode reactor and a microbial fuel cell-constructed wetland exhibited efficient sulfamethoxazole removal but induced sul genes. Bioresour. Technol. 2018, 256, 224–231. [Google Scholar] [CrossRef]
- Pepè Sciarria, T.; Arioli, S.; Gargari, G.; Mora, D.; Adani, F. Monitoring microbial communities’ dynamics during the start-up of microbial fuel cells by high-throughput screening techniques. Biotechnol. Rep. 2019, 21, e00310. [Google Scholar] [CrossRef]
- Zhang, L.; Zhu, X.; Li, J.; Liao, Q.; Ye, D. Biofilm formation and electricity generation of a microbial fuel cell started up under different external resistances. J. Power Sources 2011, 196, 6029–6035. [Google Scholar] [CrossRef]
- Chae, K.-J.; Choi, M.-J.; Lee, J.-W.; Kim, K.-Y.; Kim, I.S. Effect of different substrates on the performance, bacterial diversity, and bacterial viability in microbial fuel cells. Bioresour. Technol. 2009, 100, 3518–3525. [Google Scholar] [CrossRef] [PubMed]
- Dong, X.; Li, D.; Li, Y.; Sakiyama, H.; Muddassir, M.; Pan, Y.; Srivastava, D.; Kumar, A. A 3,8-connected Cd(ii)-based metal–organic framework as an appropriate luminescent sensor for the antibiotic sulfasalazine. CrystEngComm 2022, 24, 7157–7165. [Google Scholar] [CrossRef]
- Bin, H.-S.; Hu, H.; Wang, J.; Lu, L.; Muddassir, M.; Srivastava, D.; Chauhan, R.; Wu, Y.; Wang, X.; Kumar, A. New 5,5-(1,4-Phenylenebis(methyleneoxy)diisophthalic Acid Appended Zn(II) and Cd(II) MOFs as Potent Photocatalysts for Nitrophenols. Molecules 2023, 28, 7180. [Google Scholar] [CrossRef] [PubMed]









| Sample | IBP Concentration (mg·L−1) | ||||
|---|---|---|---|---|---|
| Sampling Port 4 | Sampling Port 5 | Sampling Port 10 | Effluent | Total Removal | |
| CM-A (IBP-Glu) | 8.10 ± 0.04 Ab | 2.96 ± 0.03 Ba | 2.68 ± 0.04 Ca | 0.86 ± 0.04 Dc | 9.14 ± 0.04 a |
| CM-C (IBP-SA) | 7.93 ± 0.07 Ac | 2.21 ± 0.05 Bc | 2.13 ± 0.08 Bb | 1.28 ± 0.05 Ca | 8.72 ± 0.05 c |
| CM-B (IBP-Suc) | 8.36 ± 0.03 Aa | 2.71 ± 0.02 Bb | 2.63 ± 0.02 Ca | 1.08 ± 0.05 Db | 8.92 ± 0.05 b |
| Sample | DCF Concentration (mg·L−1) | ||||
|---|---|---|---|---|---|
| Sampling Port 4 | Sampling Port 5 | Sampling Port 10 | Effluent | Total Removal | |
| CM-A (DCF-Glu) | 6.53 ± 0.13 Aa | 2.67 ± 0.18 Ba | 1.82 ± 0.03 Ca | 1.56 ± 0.03 Db | 8.44 ± 0.03 a |
| CM-C (DCF-SA) | 5.85 ± 0.09 Ac | 2.47 ± 0.09 Bab | 1.71 ± 0.02 Cb | 1.64 ± 0.03 Ca | 8.36 ± 0.03 b |
| CM-B (DCF-Suc) | 6.19 ± 0.01 Ab | 2.35 ± 0.06 Bb | 1.69 ± 0.03 Cb | 1.57 ± 0.03 Db | 8.43 ± 0.03 a |
| PPCPs | Electrodes | Co-Substrates | Sobs | Shannon | Simpson | Ace | Chao | Coverage |
|---|---|---|---|---|---|---|---|---|
| IBP | Anode | Glu | 2881.33 ± 49.01 a | 5.87 ± 0.24 a | 0.03 ± 0.01 a | 3892.87 ± 105.76 a | 3825.06 ± 56.04 a | 0.98 ± 0.00 a |
| Suc | 2757.00 ± 52.72 a | 6.23 ± 0.03 a | 0.01 ± 0.00 a | 3794.56 ± 142.26 a | 3796.97 ± 141.16 a | 0.98 ± 0.00 a | ||
| SA | 2762.00 ± 254.21 a | 5.93 ± 0.36 a | 0.03 ± 0.02 a | 3831.85 ± 275.12 a | 3799.76 ± 274.84 a | 0.97 ± 0.00 a | ||
| Cathode | Glu | 1749.33 ± 1029.82 a | 4.81 ± 0.51 a | 0.09 ± 0.11 a | 2184.98 ± 1455.08 a | 2189.47 ± 1424.96 a | 0.99 ± 0.01 a | |
| Suc | 1203.33 ± 238.83 a | 4.78 ± 0.52 a | 0.04 ± 0.02 a | 1537.54 ± 391.85 a | 1539.05 ± 390.24 a | 0.99 ± 0.00 a | ||
| SA | 1283.67 ± 136.45 a | 4.74 ± 0.20 a | 0.04 ± 0.01 a | 1695.22 ± 231.98 a | 1704.14 ± 243.42 a | 0.99 ± 0.00 a | ||
| DCF | Anode | Glu | 2756.00 ± 352.74 a | 6.17 ± 0.25 a | 0.01 ± 0.01 b | 3698.78 ± 357.71 ab | 3701.06 ± 349.67 b | 0.98 ± 0.00 a |
| Suc | 3063.67 ± 101.66 a | 6.39 ± 0.20 a | 0.01 ± 0.00 b | 4198.98 ± 55.07 a | 4204.49 ± 91.35 a | 0.97 ± 0.00 a | ||
| SA | 2076.00 ± 107.14 b | 4.35 ± 0.51 b | 0.17 ± 0.07 a | 3486.38 ± 310.01 b | 3035.99 ± 55.31 c | 0.97 ± 0.00 a | ||
| Cathode | Glu | 1524.33 ± 64.84 a | 5.18 ± 0.11 a | 0.02 ± 0.00 b | 1958.90 ± 14.05 a | 1921.94 ± 7.78 a | 0.99 ± 0.00 a | |
| Suc | 1616.67 ± 214.28 a | 5.42 ± 0.17 a | 0.02 ± 0.00 b | 2228.25 ± 285.18 a | 2218.17 ± 307.39 b | 0.98 ± 0.00 b | ||
| SA | 1124.00 ± 226.10 b | 4.26 ± 0.50 b | 0.05 ± 0.02 a | 1642.83 ± 429.71 a | 1569.71 ± 239.39 a | 0.99 ± 0.00 a |
| Pollutants | Samples | Concentration (mg·L−1) | ||||
|---|---|---|---|---|---|---|
| Sampling Port 4 | Sampling Port 5 | Sampling Port 10 | Effluent | Total Removal | ||
| COD | CM-A | 175.40 ± 2.29 Aa | 42.33 ± 7.22 Bb | 25.36 ± 6.69 Cb | 19.94 ± 6.98 Ca | 280.06 ± 6.98 a |
| CM-B | 170.70 ± 2.29 Ab | 64.92 ± 2.17 Ba | 47.48 ± 1.78 Ca | 43.46 ± 1.73 Db | 256.54 ± 1.73 b | |
| CM-C | 119.10 ± 0.70 Ac | 42.83 ± 2.00 Bb | 27.02 ± 2.22 Cb | 25.27 ± 2.27 Cb | 274.73 ± 2.27 a | |
| NH4+-N | CM-A | 23.61 ± 0.01 Aa | 17.30 ± 0.01 Bb | 16.86 ± 0.01 Cb | 9.60 ± 0.06 Dc | 25.20 ± 0.06 a |
| CM-B | 22.41 ± 0.02 Ab | 18.82 ± 0.01 Ba | 18.55 ± 0.02 Ca | 13.12 ± 0.06 Db | 21.68 ± 0.06 b | |
| CM-C | 18.99 ± 0.12 Ac | 16.34 ± 0.13 Bc | 16.25 ± 0.12 Bc | 14.46 ± 0.10 Ca | 20.34 ± 0.10 b | |
| TN | CM-A | 21.16 ± 0.01 Ab | 13.42 ± 0.08 Bc | 12.52 ± 0.15 Cc | 3.87 ± 0.19 Dc | 30.93 ± 0.19 a |
| CM-B | 22.04 ± 0.07 Aa | 16.59 ± 0.00 Ba | 15.97 ± 0.03 Ca | 9.64 ± 0.00 Db | 25.16 ± 0.00 b | |
| CM-C | 18.22 ± 0.11 Ac | 14.50 ± 0.04 Bb | 14.02 ± 0.08 Cb | 10.65 ± 0.04 Da | 24.15 ± 0.04 c | |
| TP | CM-A | 273.09 ± 0.30 Ac | 235.49 ± 0.39 Bc | 189.80 ± 0.87 Cc | 148.07 ± 0.39 Dc | 227.93 ± 0.39 a |
| CM-B | 274.86 ± 0.33 Ab | 243.06 ± 0.22 Bb | 203.72 ± 0.60 Cb | 163.95 ± 0.63 Db | 212.05 ± 0.63 b | |
| CM-C | 293.00 ± 0.30 Aa | 272.91 ± 1.39 Ba | 241.59 ± 0.96 Ca | 213.58 ± 1.32 Da | 162.42 ± 1.32 c | |
Disclaimer/Publisher’s Note: The statements, opinions and data contained in all publications are solely those of the individual author(s) and contributor(s) and not of MDPI and/or the editor(s). MDPI and/or the editor(s) disclaim responsibility for any injury to people or property resulting from any ideas, methods, instructions or products referred to in the content. |
© 2023 by the authors. Licensee MDPI, Basel, Switzerland. This article is an open access article distributed under the terms and conditions of the Creative Commons Attribution (CC BY) license (https://creativecommons.org/licenses/by/4.0/).
Share and Cite
Qin, G.; Feng, H.; Yu, R.; Zheng, F.; Jiang, X.; Xia, L.; An, S. Study on the Removal Characteristics of IBP and DCF in Wastewater by CW-MFC with Different Co-Substrates. Water 2023, 15, 3862. https://doi.org/10.3390/w15213862
Qin G, Feng H, Yu R, Zheng F, Jiang X, Xia L, An S. Study on the Removal Characteristics of IBP and DCF in Wastewater by CW-MFC with Different Co-Substrates. Water. 2023; 15(21):3862. https://doi.org/10.3390/w15213862
Chicago/Turabian StyleQin, Ge, Hongyu Feng, Rendong Yu, Fuchao Zheng, Xufei Jiang, Lu Xia, and Shuqing An. 2023. "Study on the Removal Characteristics of IBP and DCF in Wastewater by CW-MFC with Different Co-Substrates" Water 15, no. 21: 3862. https://doi.org/10.3390/w15213862
APA StyleQin, G., Feng, H., Yu, R., Zheng, F., Jiang, X., Xia, L., & An, S. (2023). Study on the Removal Characteristics of IBP and DCF in Wastewater by CW-MFC with Different Co-Substrates. Water, 15(21), 3862. https://doi.org/10.3390/w15213862

