Analysis of Variation Trend and Driving Factors of Baseflow in Typical Yellow River Basins
Abstract
:1. Introduction
2. Materials and Methods
2.1. Study Area
2.2. Datasets
2.3. Methods
2.3.1. Cooperative Kriging Interpolation
2.3.2. Baseflow Index
2.3.3. Baseflow Separation
2.3.4. NDVI Processing
2.3.5. Correlation Analysis
3. Results and Discussion
3.1. Variation Characteristics of Baseflow
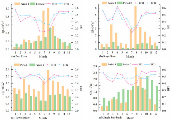
3.1.1. Intra-Annual Variation Characteristics of Baseflow and BFI
3.1.2. Inter-Annual Variation Characteristics of Baseflow and BFI
3.1.3. Characteristics of Baseflow and BFI
3.2. Analysis of Driving Factors of Baseflow Change
3.2.1. Effects of Climate Change on Baseflow
- Intra-annual and inter-annual changes in precipitation and average temperature
- II.
- Correlation analysis of annual precipitation, annual mean temperature, and annual baseflow
3.2.2. Effects of Human-Impact Factors on Baseflow
4. Conclusions
- (1)
- The baseflow primarily followed a downward trend for most parts of the basins, and the proportion of baseflow in streamflow increased. The intra-annual variations of baseflow and the BFI were steady and the distribution was more uniform; the inter-annual fluctuation tended to be stable. Compared with the decreasing streamflow trend in most rivers, the increase in the BFI indicated that baseflow is becoming increasingly important for the development and utilization of water resources in the Yellow River basin.
- (2)
- The baseflow was affected by climate change and human activities. The influence of precipitation weakened while the influence of soil and water conservation measures increased; coal mining had a great impact in the Kuye River basin and Tuwei River basin. Under the comprehensive action of precipitation change, coal mining, water conservancy measures, and other human-impact factors, baseflow showed a downward trend.
- (3)
- When NDVI < 0.375, the baseflow index was negatively correlated with the NDVI; when 0.375 < NDVI < 0.65, the baseflow index was positively correlated with the NDVI; when NDVI > 0.6, the correlation between the baseflow index and the NDVI weakened. The vegetation coverage of the underlying surface of the basin increased to a certain extent; however, the baseflow index did not increase dramatically, and the soil and water conservation capacity of the underlying surface of the basin tended to be stable.
Author Contributions
Funding
Data Availability Statement
Conflicts of Interest
References
- Duan, C.; Liu, C.; Chen, X.; Liu, W.; Zheng, H. Preliminary Research on Regional Water Resources Carrying Capacity Conception and Method. Acta Geogr. Sin. 2010, 65, 82–90. [Google Scholar]
- Xu, Z.; Wu, W.; Yu, S. Ecological baseflow: Progress and challenge. J. Glaciol. Geocryol. 2016, 35, 1–11. [Google Scholar]
- Chen, L.; Liu, C.; Hao, F.; Liu, J.; Dai, D. Change of the Baseflow and It’s Impacting Factors in the Source Regions of Yellow River. J. Glaciol. Geo. 2006, 28, 141–148. [Google Scholar]
- Santhi, C.; Allen, P.M.; Muttiah, R.S. Regional estimation of base flow for the conterminous United States by hydrologic landscape regions. J. Hydrol. 2008, 351, 139–153. [Google Scholar] [CrossRef]
- Singh, S.K.; Pahlow, M.; Booker, D.J.; Shankar, U.; Chamorro, A. Towards baseflow index characterisation at national scale in New Zealand. J. Hydrol. 2019, 568, 646–657. [Google Scholar] [CrossRef]
- Ni, Y. Advancement and Assessment of Low Flow Hydrology. Master’s Thesis, Wuhan University, Wuhan, China, 2005. [Google Scholar]
- Li, F.; Zhang, G.; Li, H.; Lu, W. Land Use Change Impacts on Hydrology in the Nenjiang River Basin, Northeast China. Forests 2019, 10, 476. [Google Scholar] [CrossRef]
- Liu, Z.; Liu, S.; Ye, J.; Sheng, F.; You, K.; Xiong, X.; Lai, G. Application of a Digital Filter Method to Separate Baseflow in the Small Watershed of Pengchongjian in Southern China. Forests 2019, 10, 1065. [Google Scholar] [CrossRef]
- Zomlot, Z.; Verbeiren, B.; Huysmans, M. Spatial distribution of groundwater recharge and base flow: Assessment of controlling factors. J. Hydrol. 2015, 4, 349–368. [Google Scholar] [CrossRef]
- Zhang, J.; Zhang, Y.; Song, J.; Cheng, L. Evaluating relative merits of four baseflow separation methods in Eastern Australia. J. Hydrol. 2017, 549, 252–263. [Google Scholar] [CrossRef]
- Lyu, S.; Guo, C.; Zhai, Y. Characterising baseflow signature variability in the Yellow River Basin. J. Environ. Manag. 2023, 345, 118565. [Google Scholar] [CrossRef]
- Mu, Z.; Liu, G.; Lin, S.; Fan, J.; Qin, T.; Li, Y.; Cheng, Y.; Zhou, B. Base Flow Variation and Attribution Analysis Based on the Budyko Theory in the Weihe River Basin. Water 2022, 14, 334. [Google Scholar] [CrossRef]
- Wilby, R.; Greenfield, B.; Glenny, C. A coupled synoptic-hydrological model for climate change impact assessment. J. Hydrol. 1994, 153, 265–290. [Google Scholar] [CrossRef]
- Lyu, S.; Zhai, Y.; Zhang, Y.; Cheng, L.; Paul, P.K.; Song, J.; Wang, Y.; Huang, M.; Fang, H.; Zhang, J. Baseflow signature behaviour of mountainous catchments around the North China Plain. J. Hydrol. 2022, 606, 127450. [Google Scholar] [CrossRef]
- Liu, W.; Zhang, D.; Guan, Y.; Yang, Z.; Huang, J.; Liu, B. Analysis of the base flow variation and cause in huangfuchuan from 1954 to 2010. Yellow River 2014, 36, 21–27. [Google Scholar]
- Zhang, Y.; He, Y.; Mu, X. Base-flow segmentation and character analysis of the Huangfuchuan Basin in the middle reaches of the Yellow River, China. Front. Environ. Sci. 2022, 10, 831122. [Google Scholar] [CrossRef]
- Zhang, H.; Zhang, B.; Zhao, C. Annual base flow change and its causes in the upper reaches of Heihe River. Geogr. Res. 2011, 30, 1421–1430. [Google Scholar]
- Yang, Q.; Li, Z.; Han, Y.; Gao, H. Responses of Baseflow to Ecological Construction and Climate Change in Different Geomorphological Types in The Middle Yellow River, China. Water 2020, 12, 304. [Google Scholar] [CrossRef]
- Stewart, M.K. Promising new baseflow separation and recession analysis methods applied to streamflow at Glendhu Catchment, New Zealand. Hydrol. Earth Syst. Sci. 2015, 19, 2587–2603. [Google Scholar] [CrossRef]
- Kissel, M.; Schmalz, B. Comparison of Baseflow Separation Methods in the German Low Mountain Range. Water 2020, 12, 1740. [Google Scholar] [CrossRef]
- Schwarzel, K.; Zhang, L.; Strecker, A.; Podlasly, C. Improved Water Consumption Estimates of Black Locust Plantations in China’s Loess Plateau. Forests 2018, 9, 201. [Google Scholar] [CrossRef]
- Zhang, J.; Zhang, X.; Li, R.; Chen, L.; Lin, P. Did streamflow or suspended sediment concentration changes reduce sediment load in the middle reaches of the Yellow River? J. Hydrol. 2017, 546, 357–369. [Google Scholar] [CrossRef]
- Aboelnour, M.; Gitau, M.W.; Engel, B.A. A Comparison of Streamflow and Baseflow Responses to Land-Use Change and the Variation in Climate Parameters Using SWAT. Water 2020, 12, 191. [Google Scholar] [CrossRef]
- Li, N. Study on the Mechanism of Streamflow Production and Confluence in the Loess Plateau under the Change of Underlying Surface. Master’s Thesis, Zhengzhou University, Zhengzhou, China, 2018. [Google Scholar]
- Su, J. Variation of streamflow and Vegetation’s’ Water-Sediment Effect on Kuye River in Recent 55 Years. Master’s Thesis, Northwest University, Xi’an, China, 2016. [Google Scholar]
- Sun, T. Study of Annual Streamflow and Forecast in the Tuwei River Basin. Master’s Thesis, Northwest A & F University, Yangling, China, 2010. [Google Scholar]
- Hu, C.; Gao, S.; Wu, Z.; Gao, Z.; Zhang, Z. Simulation Study on Effects of Land-use Change on Streamflow in Typical Areas in Fenhe River Basin. Pearl River 2017, 38, 25–28. [Google Scholar]
- He, H.; Guo, Z.; Xiao, W. Review on spatial interpolation techniques of rainfall. Chin. J. Ecol. 2005, 24, 1187–1191. [Google Scholar]
- Mwakalila, S.; Feyen, J.; Wyseure, G. The influence of physical catchment properties on baseflow in semi-arid environments. J. Arid. Environ. 2002, 52, 245–258. [Google Scholar] [CrossRef]
- Eckhardt, K. A comparison of baseflow indices, which were calculated with seven different baseflow separation methods. Hydrology 2008, 352, 168–173. [Google Scholar] [CrossRef]
- Lewinska, K.; Ivits, E.; Schardt, M.; Zebisch, M. Drought Impact on Phenology and Green Biomass Production of Alpine Mountain Forest Case Study of South Tyrol 2001–2012 Inspected with MODIS Time Series. Forests 2018, 9, 91. [Google Scholar] [CrossRef]
- Xie, B. Vegetation Dynamics and Climate Change on the Loess Plateau, China: 1982–2014. Master’s Thesis, Northwest A & F University, Yangling, China, 2016. [Google Scholar]
- Guzman, P.; Batelaan, O.; Huysmans, M.; Wyseure, G. Comparative analysis of baseflow characteristics of two Andean catchments, Ecuador. Hydrol. Process. 2015, 29, 3051–3064. [Google Scholar] [CrossRef]
- Asuero, A.G.; Sayago, A.; Gonzalez, A.G. The correlation coefficient: An overview. J. Crit. Rev. Anal. Chem. 2006, 36, 41–59. [Google Scholar] [CrossRef]
- Liu, Q.; Yang, Z.; Cui, B. Spatial and temporal variability of annual precipitation during 1961–2006 in Yellow River Basin, China. J. Hydrol. 2008, 361, 330–338. [Google Scholar] [CrossRef]
- Huang, M.; Zhang, L. Hydrological responses to conservation practices in a catchment of the Loess Plateau, China. Hydrol. Process. 2010, 18, 1885–1898. [Google Scholar] [CrossRef]
- Li, R.; Zhang, S. Comparative study on two automatic baseflow separation methods in the arid and semi-arid regions. Prog. Geogr. 2017, 36, 864–872. [Google Scholar]
- Liu, J.; Cao, X.; Li, B.; Yu, Z. Analysis of Blue and Green Water Consumption at the Irrigation District Scale. Sustainability 2018, 10, 305. [Google Scholar] [CrossRef]
- Ahn, K.; Merwade, V. Quantifying the relative impact of climate and human activities on streamflow. J. Hydrol. 2014, 515, 257–266. [Google Scholar] [CrossRef]
- Sui, J.; He, Y.; Liu, C. Changes in sediment transport in the Kuye River in the Loess Plateau in China. J. Int. J. Sediment Res. 2009, 24, 201–213. [Google Scholar] [CrossRef]
- Gao, Z.; Zhang, L.; Zhang, X.; Cheng, L.; Potter, N.; Cowan, T.; Cai, W. Long-term streamflow trends in the middle reaches of the Yellow River Basin: Detecting drivers of change. Hydrol. Process. 2016, 30, 1315–1329. [Google Scholar] [CrossRef]
- Hu, C.; Wu, Q.; Li, H.; Jian, S.; Li, N.; Lou, Z. Deep Learning with a Long Short-Term Memory Networks Approach for Rainfall-Streamflow Simulation. Water 2018, 10, 1543. [Google Scholar] [CrossRef]











| Basin | Outlet Station | Long. (Degree) | Lat. (Degree) | Area (km2) | Precip. (mm) | Streamflow (mm) | Evap. (mm) | Potential Evap. (mm) |
|---|---|---|---|---|---|---|---|---|
| ZLB | Jingyuan | 104.67 | 36.55 | 10,653 | 341 | 13 | 328 | 1507 |
| KYB | Wejiachuan | 110.75 | 39.48 | 8706 | 387 | 79 | 308 | 1300 |
| TWB | Gaojiachuan | 110.48 | 39.25 | 3294 | 422 | 116 | 306 | 1120 |
| JLB | Jingle | 111.92 | 38.35 | 2799 | 578 | 93 | 485 | 1267 |
| Period | Period 1 | Period 2 | |||||||
|---|---|---|---|---|---|---|---|---|---|
| Statistics | M | CI | SD | CV | M | CI | SD | CV | |
| ZLB | A | 0.354 | 1.854 | 0.052 | 0.146 | 0.443 | 1.314 | 0.036 | 0.080 |
| B | 0.302 | 2.402 | 0.060 | 0.198 | 0.434 | 1.448 | 0.047 | 0.108 | |
| C | 0.345 | 1.930 | 0.053 | 0.155 | 0.445 | 1.335 | 0.037 | 0.083 | |
| KYB | A | 0.408 | 1.492 | 0.038 | 0.093 | 0.463 | 1.134 | 0.021 | 0.046 |
| B | 0.365 | 1.677 | 0.047 | 0.130 | 0.426 | 1.247 | 0.034 | 0.079 | |
| C | 0.404 | 1.528 | 0.041 | 0.102 | 0.458 | 1.151 | 0.023 | 0.050 | |
| TWB | A | 0.492 | 1.123 | 0.017 | 0.034 | 0.502 | 1.049 | 0.009 | 0.017 |
| B | 0.492 | 1.224 | 0.022 | 0.044 | 0.501 | 1.114 | 0.020 | 0.041 | |
| C | 0.492 | 1.128 | 0.017 | 0.035 | 0.502 | 1.056 | 0.010 | 0.020 | |
| JLB | A | 0.480 | 1.196 | 0.018 | 0.037 | 0.496 | 1.037 | 0.006 | 0.011 |
| B | 0.461 | 1.253 | 0.024 | 0.053 | 0.483 | 1.082 | 0.015 | 0.030 | |
| C | 0.479 | 1.184 | 0.017 | 0.036 | 0.495 | 1.033 | 0.005 | 0.011 | |
| Basin | Elements | Period 1 | Period 2 | Multi-Year Average | ||||
|---|---|---|---|---|---|---|---|---|
| 1950s | 1960s | 1970s | 1980s | Average | ||||
| ZLB | Average annual streamflow/mm | 18.21 | 12.86 | 15.02 | 9.29 | 12.86 | 5.82 | 11.36 |
| Average annual baseflow/mm | 4.88 | 4.51 | 3.57 | 3.38 | 4.13 | 2.53 | 3.66 | |
| Average annual BFI | 0.28 | 0.36 | 0.35 | 0.38 | 0.34 | 0.45 | 0.37 | |
| KYB | Average annual streamflow/mm | 89.48 | 84.65 | 83.05 | 59.15 | 79.14 | 14.70 | 66.16 |
| Average annual baseflow/mm | 33.31 | 35.03 | 33.31 | 23.89 | 31.36 | 7.24 | 27.57 | |
| Average annual BFI | 0.39 | 0.43 | 0.41 | 0.40 | 0.41 | 0.46 | 0.42 | |
| TWB | Average annual streamflow/mm | 125.08 | 131.15 | 116.27 | 91.68 | 115.97 | 61.02 | 105.04 |
| Average annual baseflow/mm | 58.59 | 64.66 | 57.07 | 45.84 | 56.47 | 30.66 | 52.52 | |
| Average annual BFI | 0.47 | 0.49 | 0.49 | 0.50 | 0.49 | 0.50 | 0.49 | |
| JLB | Average annual streamflow/mm | 126.47 | 103.97 | 83.96 | 55.38 | 92.53 | 118.61 | 97.53 |
| Average annual baseflow/mm | 61.81 | 64.31 | 39.66 | 26.80 | 48.23 | 58.95 | 45.73 | |
| Average annual BFI | 0.49 | 0.48 | 0.47 | 0.48 | 0.48 | 0.50 | 0.48 | |
| Basin | Year | Terrace (km2) | Forest (km2) | Grass (km2) | Silt Dams (km2) |
|---|---|---|---|---|---|
| ZLB | 1969 | 67.6 | 45.1 | 31.6 | 0 |
| 1989 | 810.8 | 672.4 | 470.7 | 50 (seat) | |
| 2006 | 1817.1 | 1691.3 | 1183.9 | 218 (seat) | |
| KYB | 1969 | 32.9 | 97.3 | 51.5 | 2.4 |
| 1989 | 67 | 1004.3 | 353.1 | 12.1 | |
| 2006 | 98.3 | 2638.7 | 1378.1 | 49.9 | |
| TWB | 1969 | 10.8 | 77.1 | 6.1 | 1.7 |
| 1989 | 45.5 | 754.5 | 28.8 | 11.1 | |
| 2006 | 82.1 | 779.3 | 331.9 | 24.1 | |
| JLB | The main soil and water conservation measures were the harnessing of the Fen River in the last century. The area of forest and grassland increased in abundance. | ||||
| Basin | Coal Mining | Water Conservancy Projects |
|---|---|---|
| KYB | In 1991, 60 million tons were mined. In 2011, 173 million tons were mined. | In the 1950s, the construction began. In 1988, there were 844 reservoirs and ponds. |
| TWB | The mine displacement in 1991 was 1.30 × 106 m3. In 2011 it was 3.42 × 107 m3. | By 2010, there were two medium-sized reservoirs and four diversion channels. |
| ZLB | None | Jinghui diversion irrigation project, the annual water volume was 9.7 million m3 in 1973 and 86.97 million m3 in 2005. There are 21 small reservoirs in upstream. |
| JLB | None | Almost none. |
Disclaimer/Publisher’s Note: The statements, opinions and data contained in all publications are solely those of the individual author(s) and contributor(s) and not of MDPI and/or the editor(s). MDPI and/or the editor(s) disclaim responsibility for any injury to people or property resulting from any ideas, methods, instructions or products referred to in the content. |
© 2023 by the authors. Licensee MDPI, Basel, Switzerland. This article is an open access article distributed under the terms and conditions of the Creative Commons Attribution (CC BY) license (https://creativecommons.org/licenses/by/4.0/).
Share and Cite
Quan, L.; Liu, C.; Niu, C.; Zhao, D.; Luo, Q.; Xu, Y.; Zhao, C.; Liu, S.; Hu, C. Analysis of Variation Trend and Driving Factors of Baseflow in Typical Yellow River Basins. Water 2023, 15, 3647. https://doi.org/10.3390/w15203647
Quan L, Liu C, Niu C, Zhao D, Luo Q, Xu Y, Zhao C, Liu S, Hu C. Analysis of Variation Trend and Driving Factors of Baseflow in Typical Yellow River Basins. Water. 2023; 15(20):3647. https://doi.org/10.3390/w15203647
Chicago/Turabian StyleQuan, Liyu, Chengshuai Liu, Chaojie Niu, Dong Zhao, Qingyuan Luo, Yingying Xu, Chenchen Zhao, Shangbin Liu, and Caihong Hu. 2023. "Analysis of Variation Trend and Driving Factors of Baseflow in Typical Yellow River Basins" Water 15, no. 20: 3647. https://doi.org/10.3390/w15203647
APA StyleQuan, L., Liu, C., Niu, C., Zhao, D., Luo, Q., Xu, Y., Zhao, C., Liu, S., & Hu, C. (2023). Analysis of Variation Trend and Driving Factors of Baseflow in Typical Yellow River Basins. Water, 15(20), 3647. https://doi.org/10.3390/w15203647

