A Proposed Method for Calculating the Rainfall Threshold Based on the Multi-Method to Provide Heavy Rain Disaster Impact Information
Abstract
:1. Introduction
2. Theoretical Background
2.1. Threshold Rainfall Calculation Based on the Multi-Method
2.2. Threshold Rainfalls in Standard Watershed Units
2.3. Grid-Based Threshold Rainfalls in Urban Areas Using the G2G Method
3. Calculation and Verification of Threshold Rainfalls
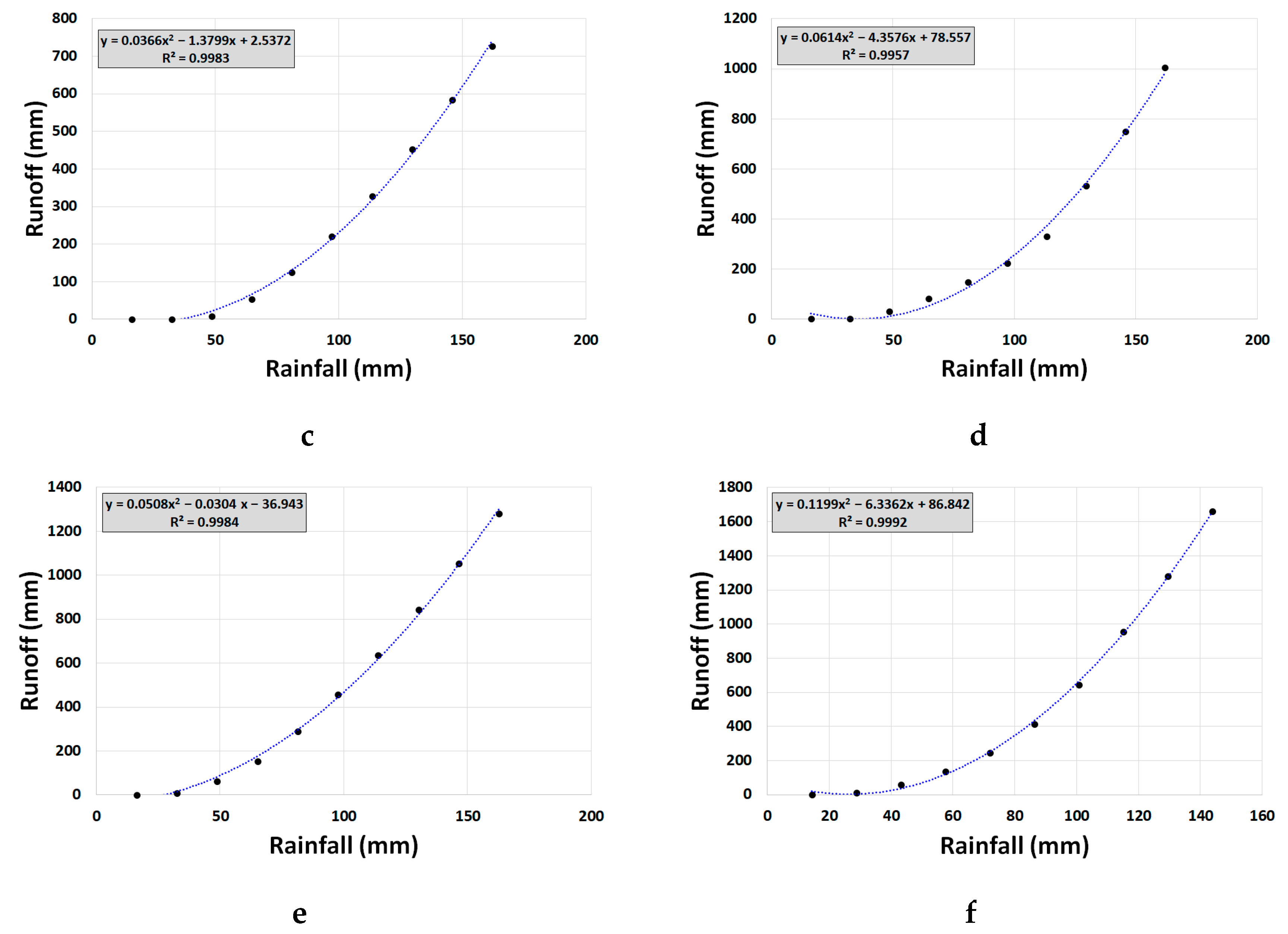
3.1. Results of Threshold Rainfall Calculation for Standard Watershed Units
3.2. Grid-Based Threshold Rainfall Calculation for Urban Areas Using the G2G Method
3.3. Result of the National Threshold Rainfall Estimation
3.4. Selection of Events for Threshold Rainfall Verification
3.5. Verification of Threshold Rainfalls Using Actual Damage Data
4. Conclusions
Author Contributions
Funding
Data Availability Statement
Conflicts of Interest
References
- Korean Meteorological Society. Planning Study on Introduction Plan of Influence Forecast. 2016. Available online: https://scienceon.kisti.re.kr/commons/util/originalView.do?cn=TRKO201800035577&dbt=TRKO&rn= (accessed on 20 March 2020).
- Lee, S.-H.; Kang, D.-H.; Kim, B.-S. A Study on the Method of Calculating the Threshold Rainfall for Rainfall Impact Forecasting. J. Korean Soc. Hazard Mitig. 2018, 18, 93–102. [Google Scholar] [CrossRef]
- KMA (Korea Meteorological Administration). A Study on the Construction of Integrated Data for Meteorological Disaster Impact Forecasting. 2012. Available online: https://www.kma.go.kr/kma/archive/pub.jsp#gal_cate14 (accessed on 20 March 2020).
- Yeh, S.W. A suggestion for expanding impact prediction services. Meteorol. Technol. Policy 2017, 10, 6–17. [Google Scholar]
- FFC. Flood Guidance Statement User Guide, 4th ed.; Flood Forecasting Centre: Devon, UK, 2017. [Google Scholar]
- Cole, S. Flood Forecasting at national scales: Some UK experiences. In Proceedings of the National Flood Management Conference, Dublin, Ireland, 15 March 2018. [Google Scholar]
- Price, D.; Hudson, K.; Boyce, G.; Schellekens, J.; Moore, R.J.; Clark, P.; Harrison, T.; Connolly, E.; Pilling, C. Operational use of a grid-based model for flood forecasting. Water Manag. 2012, 165, 65–77. [Google Scholar] [CrossRef]
- Cranston, M.; Maxey, R.; Tavendale, A.; Buchanan, P.; Motion, A.; Cole, S.; Robson, A.; Moore, R.J.; Minett, A. Countrywide flood forecasting in Scotland: Challenges for hydrometeorological model uncertainty and prediction. In Weather Radar and Hydrology, Proceedings of the Symposium, Exeter, UK, 18–21 April 2011; Moore, R.J., Cole, S.J., Illingworth, A.J., Eds.; IAHS Publications: Wallingford, UK, 2012; Volume 351, pp. 538–543. [Google Scholar]
- Liu, S.; Zang, Z.; Wang, W.; Wu, Y. Spatial-temporal evolution of urban heat Island in Xi’an from 2006 to 2016. Phys. Chem. Earth 2019, 110, 185–194. [Google Scholar] [CrossRef]
- Wang, W.; Du, Y.; Chau, K.; Chen, H.; Liu, C.; Ma, Q. A Comparison of BPNN, and ARIMA for Monthly Rainfall Forecasting Based on Wavelet Packet Decomposition. Water 2021, 13, 2871. [Google Scholar] [CrossRef]
- Rözer, V.; Peche, A.; Berkhahn, S.; Feng, Y.; Fuchs, L.; Graf, T.; Haberlandt, U.; Kreibich, H.; Sämann, R.; Sester, M.; et al. Impact-Based Forecasting for Pluvial Floods. Earth’s Future 2021, 9, 2020EF001851. [Google Scholar] [CrossRef]
- Chen, J.; Li, Y.; Zhang, S. Impact of Different Design Rainfall Pattern Peak Factors on Urban Flooding. Water 2023, 15, 2468. [Google Scholar] [CrossRef]
- Williams, S.; Griffiths, J.; Miville, B.; Romeo, E.; Leiofi, M.; O’Driscoll, M.; Iakopo, M.; Mulitalo, S.; Ting, J.C.; Paulik, R.; et al. An Impacts-Based Flood Decision Support System for a Tropical Pacific Island Catchment with Short Warnings Lead Time. Water 2021, 13, 3371. [Google Scholar] [CrossRef]
- Sidel, L.M.; Basri, H.; Mohammed, M.H.; Marufuzzaman, M.; Ishak, N.A.; Ishak, A.M.; Omar, B.Z.; Osman, S.; Ramly, S.; Hassan, M.H. Towards Impact-Based Flood Forecasting and Warning in Malaysia: A Case Study at Kelantan River. IOP Conf. Ser. Earth Environ. Sci. 2021, 704, 012001. [Google Scholar]
- Fabio, S.; Lydia, C.; Albrecht, W.; Biswa, B.; Raihanul, H.K. Towards impact-basded flood forecasting and warning in Bangladesh: A case study oat the local level in Sirajganj district. Nat. Hazards Earth Syst. Sci. 2018. [Google Scholar] [CrossRef]
- Kołodziejczyk, K.; Rutkowska, A. Estimation of the Peak over Threshold-Based Design Rainfall and Its Spatial Variability in the Upper Vistula River Basin, Poland. Water 2023, 15, 1316. [Google Scholar] [CrossRef]
- Ma, B.; Wu, Z.; Wang, H.; Guo, Y. Study on the Classification of Urban Waterlogging Rainstorms and Rainfall Thresholds in Cities Lacking Actual Data. Water 2020, 12, 3328. [Google Scholar] [CrossRef]
- Liao, H.-Y.; Pan, T.-Y.; Chang, H.-K.; Hsieh, C.-T.; Lai, J.-S.; Tan, Y.-C.; Su, M.-D. Using Tabu Search Adjusted with Urban Sewer Flood Simulation to Improve Pluvial Flood Warning via Rainfall Thresholds. Water 2019, 11, 348. [Google Scholar] [CrossRef]
- Jang, J.-H. An Advanced Method to Apply Multiple Rainfall Thresholds for Urban Flood Warnings. Water 2015, 7, 6056–6078. [Google Scholar] [CrossRef]
- Kim, H.-M.; Min, K.-R.; Kim, I.-G.; Lim, B.-H.; Youn, M.-J.; Kim, S.-B. Paradigm shift to impact-based forecasting and warning services for natural hazard response. Innov. Stud. Korea Soc. Innov. 2017, 12, 161–178. [Google Scholar]
- Lee, B.-J. Analysis on inundation characteristics for flood impact forecasting in Gangnam drainage basin. Atmos. Korean Meteorol. Soc. 2017, 27, 189–197. [Google Scholar]
- Keum, H.-J.; Kim, H.-I.; Han, K.-Y. Real-Time Forecast of Rainfall Impact on Urban Inundation. J. Korean Assoc. Geogr. Inf. Stud. 2018, 21, 76–92. [Google Scholar]
- Lee, S.-W.; Jung, S.-K. A Study on the Establishment of Quantitative Criteria for the Prediction Stage of Heavy Rainfall Impact-Based Forecasting Using k-means Clustering. Crisisonomy 2021, 17, 91–102. [Google Scholar] [CrossRef]
- Lee, K.-K.; Shim, J.-K.; Cho, S.-J. Estimation of Risk Levels of Impact Forecast for Heavy Snow Event by Using Big Data of Media Articles. e-Bus. Stud. 2022, 23, 233–245. [Google Scholar] [CrossRef]
- Song, Y.-S.; Lee, H.-S.; Kim, B.-S.; Park, M.-J. Developing a Rainfall Impact Forecasting Model for Disaster Mitigation around the River. Crisisonomy 2020, 16, 35–47. [Google Scholar] [CrossRef]
- Ko, C.-M.; Jeong, Y.-Y.; Lee, Y.-M.; Kim, B.-S. The Development of a Quantitative Precipitation Forecast Correction Technique Based on Machine Learning for Hydrological Applications. Atmosphere 2020, 11, 111. [Google Scholar] [CrossRef]
- Ministry of Construction & Transportation. High Spatiotemporal Resolution Flood Forecasting to Secure Enough Lead Time. 2016. Available online: https://www.kaia.re.kr/portal/landmark/readTskView.do?tskId=101706&yearCnt=1&menuNo=200060 (accessed on 20 March 2020).
- Kim, H.-S.; Yoon, S.-K.; Yang, D.-M.; Kwon, H.-H. Development of Grid-Based Conceptual Hydrologic Model. J. Korea Water Resour. Assoc. 2010, 43, 667–679. [Google Scholar] [CrossRef]
- Choo, K.-S.; Kang, D.-H.; Kim, B.-S. A Study on the Estimation of the Threshold Rainfall in Standard Watershed Units. J. Korean Soc. Disaster Secur. 2021, 14, 1–11. [Google Scholar]
- Software Packages FLO-2D Manual. 2009. Available online: https://www.flo-2d.com/download/ (accessed on 20 March 2020).














| Term | Description |
|---|---|
| Threshold discharge | When analyzing a standard watershed unit, which is a non-urban area analysis method, threshold discharge refers to the maximum outflow of the relevant basin. If the rainfall exceeds the marginal outflow, damage occurs in the relevant basin. |
| Rainfall–runoff curve | A curve showing the relationship between rainfall and runoff. |
| Receptor | In this study, receptors are people, vehicles, and facilities were selected as objects, and the impacts of each object correspond to walking, traffic, and buildings. |
| Threshold rainfall | Rainfall that causes inconvenience to the daily life of a receptor due to rainfall. |
| Rainfall–depth curve | The amount of rainfall that causes the depth of flooding that affects an object due to rainfall. The depth of flooding for each object is assumed for walking (0.1 m), traffic (0.2 m), and building (0.5 m). |
| Design flood | Flood volume used in the design of water structures such as dams and river structures. |
| Around Daechi Station | ||||||||
| Time | 12:00 | 13:00 | 14:00 | 15:00 | 16:00 | 17:00 | 18:00 | 19:00 |
| Accumulated rainfall (mm/3 h) | 0 | 28 | 42.5 | 45 | 22 | 8.5 | 20 | 18.5 |
| Flood depth (m) | 0 | 0 | 0.1 | 0.1 | 0 | 0 | 0 | 0 |
| Time | 20:00 | 21:00 | 22:00 | 23:00 | 00:00 | 01:00 | 02:00 | 03:00 |
| Accumulated rainfall (mm/3 h) | 40.5 | 118.5 | 199.5 | 244 | 170 | 86 | 22.5 | 26 |
| Flood depth (m) | 0.1 | 0.3 | 0.6 | 0.7 | 0.5 | 0.2 | 0 | 0 |
| Around Gangnam Station | ||||||||
| Time | 12:00 | 13:00 | 14:00 | 15:00 | 16:00 | 17:00 | 18:00 | 19:00 |
| Accumulated rainfall (mm/3 h) | 0 | 28 | 42.5 | 45 | 22 | 8.5 | 20 | 18.5 |
| Flood depth (m) | 0 | 0 | 0.1 | 0.1 | 0 | 0 | 0 | 0 |
| Time | 20:00 | 21:00 | 22:00 | 23:00 | 00:00 | 01:00 | 02:00 | 03:00 |
| Accumulated rainfall (mm/3 h) | 40.5 | 118.5 | 199.5 | 244 | 170 | 86 | 22.5 | 26 |
| Flood depth (m) | 0 | 0.7 | 1.3 | 1.7 | 1.1 | 0.4 | 0 | 0 |
| Around Jinheung Apartment | ||||||||
| Time | 12:00 | 13:00 | 14:00 | 15:00 | 16:00 | 17:00 | 18:00 | 19:00 |
| Accumulated rainfall (mm/3 h) | 0 | 28 | 42.5 | 45 | 22 | 8.5 | 20 | 18.5 |
| Flood depth (m) | 0 | 0 | 0.1 | 0.1 | 0 | 0 | 0 | 0 |
| Time | 20:00 | 21:00 | 22:00 | 23:00 | 00:00 | 01:00 | 02:00 | 03:00 |
| Accumulated rainfall (mm/3 h) | 40.5 | 118.5 | 199.5 | 244 | 170 | 86 | 22.5 | 26 |
| Flood depth (m) | 0 | 0.7 | 1.3 | 1.7 | 1.1 | 0.4 | 0 | 0 |
| Around Hadan Station | |||||||
| Time | 13:00 | 14:00 | 15:00 | 16:00 | 17:00 | 18:00 | 19:00 |
| Accumulated rainfall (mm/3 h) | 1.8 | 2.2 | 10.1 | 21.6 | 24 | 24 | 22.1 |
| Flood depth (m) | 0 | 0 | 0 | 0 | 0 | 0 | 0 |
| Time | 20:00 | 21:00 | 22:00 | 23:00 | 00:00 | 01:00 | 02:00 |
| Accumulated rainfall (mm/3 h) | 28.4 | 44.2 | 104.1 | 107.8 | 91.7 | 21.4 | 8.1 |
| Flood depth (m) | 0 | 0 | 0.3 | 0.3 | 0.2 | 0 | 0 |
| Around Gwangbok Street | |||||||
| Time | 13:00 | 14:00 | 15:00 | 16:00 | 17:00 | 18:00 | 19:00 |
| Accumulated rainfall (mm/3 h) | 1.8 | 2.2 | 10.1 | 21.6 | 24 | 24 | 22.1 |
| Flood depth (m) | 0 | 0 | 0 | 0 | 0 | 0 | 0 |
| Time | 20:00 | 21:00 | 22:00 | 23:00 | 00:00 | 01:00 | 02:00 |
| Accumulated rainfall (mm/3 h) | 28.4 | 44.2 | 104.1 | 107.8 | 91.7 | 21.4 | 8.1 |
| Flood depth (m) | 0 | 0.1 | 0.3 | 0.3 | 0.2 | 0 | 0 |
| Around Busanjin-gu Gaya Underpass | |||||||
| Time | 13:00 | 14:00 | 15:00 | 16:00 | 17:00 | 18:00 | 19:00 |
| Accumulated rainfall (mm/3 h) | 1.8 | 2.2 | 10.1 | 21.6 | 24 | 24 | 22.1 |
| Flood depth (m) | 0 | 0 | 0 | 0 | 0 | 0 | 0 |
| Time | 20:00 | 21:00 | 22:00 | 23:00 | 00:00 | 01:00 | 02:00 |
| Accumulated rainfall (mm/3 h) | 28.4 | 44.2 | 104.1 | 107.8 | 91.7 | 21.4 | 8.1 |
| Flood depth (m) | 0 | 0 | 1.1 | 1.2 | 0.9 | 0 | 0 |
| Around Ojukheon | |||||||
| Time | 23:00 | 00:00 | 01:00 | 02:00 | 03:00 | 04:00 | 05:00 |
| Accumulated rainfall (mm/3 h) | 21 | 30 | 40.5 | 52 | 96 | 124 | 136.5 |
| Flood depth (m) | 0 | 0.1 | 0.2 | 0.3 | 0.6 | 0.8 | 0.9 |
| Time | 06:00 | 07:00 | 08:00 | 09:00 | 10:00 | 11:00 | 12:00 |
| Accumulated rainfall (mm/3 h) | 155 | 136.5 | 118.5 | 47 | 24.5 | 15 | 9.5 |
| Flood depth (m) | 1.1 | 0.9 | 0.8 | 0.2 | 0.1 | 0 | 0 |
| Around Yeonnam-dong, Mapo-gu | |||||||
| Time | 12:00 | 13:00 | 14:00 | 15:00 | 16:00 | 17:00 | 18:00 |
| Accumulated rainfall (mm/3 h) | 2 | 11.5 | 15.5 | 14 | 7 | 5.5 | 23.5 |
| Flood depth (m) | 0 | 0 | 0 | 0 | 0 | 0 | 0.1 |
| Time | 19:00 | 20:00 | 21:00 | 22:00 | 23:00 | 00:00 | 01:00 |
| Accumulated rainfall (mm/3 h) | 28 | 41 | 52 | 45.5 | 33.5 | 5 | 5 |
| Flood depth (m) | 0.2 | 0.2 | 0.2 | 0.2 | 0.2 | 0 | 0 |
| Around Sangam-dong, Mapo-gu | |||||||
| Time | 12:00 | 13:00 | 14:00 | 15:00 | 16:00 | 17:00 | 18:00 |
| Accumulated rainfall (mm/3 h) | 2 | 11.5 | 15.5 | 14 | 7 | 5.5 | 23.5 |
| Flood depth (m) | 0 | 0 | 0 | 0 | 0 | 0 | 0 |
| Time | 19:00 | 20:00 | 21:00 | 22:00 | 23:00 | 00:00 | 01:00 |
| Accumulated rainfall (mm/3 h) | 28 | 41 | 52 | 45.5 | 33.5 | 5 | 5 |
| Flood depth (m) | 0 | 0.2 | 0.4 | 0.3 | 0.1 | 0 | 0 |
Disclaimer/Publisher’s Note: The statements, opinions and data contained in all publications are solely those of the individual author(s) and contributor(s) and not of MDPI and/or the editor(s). MDPI and/or the editor(s) disclaim responsibility for any injury to people or property resulting from any ideas, methods, instructions or products referred to in the content. |
© 2023 by the authors. Licensee MDPI, Basel, Switzerland. This article is an open access article distributed under the terms and conditions of the Creative Commons Attribution (CC BY) license (https://creativecommons.org/licenses/by/4.0/).
Share and Cite
Kang, D.H.; Nam, D.H.; Song, Y.S.; Kim, B.S. A Proposed Method for Calculating the Rainfall Threshold Based on the Multi-Method to Provide Heavy Rain Disaster Impact Information. Water 2023, 15, 3366. https://doi.org/10.3390/w15193366
Kang DH, Nam DH, Song YS, Kim BS. A Proposed Method for Calculating the Rainfall Threshold Based on the Multi-Method to Provide Heavy Rain Disaster Impact Information. Water. 2023; 15(19):3366. https://doi.org/10.3390/w15193366
Chicago/Turabian StyleKang, Dong Ho, Dong Ho Nam, Young Seok Song, and Byung Sik Kim. 2023. "A Proposed Method for Calculating the Rainfall Threshold Based on the Multi-Method to Provide Heavy Rain Disaster Impact Information" Water 15, no. 19: 3366. https://doi.org/10.3390/w15193366
APA StyleKang, D. H., Nam, D. H., Song, Y. S., & Kim, B. S. (2023). A Proposed Method for Calculating the Rainfall Threshold Based on the Multi-Method to Provide Heavy Rain Disaster Impact Information. Water, 15(19), 3366. https://doi.org/10.3390/w15193366

