Distribution of Nine Organic UV Filters along the Shore Next to the Harbor Canals in the Middle Pomeranian Region (Northern Poland)
Abstract
1. Introduction
2. Materials and Methods
2.1. Beach Description
2.2. Sampling
2.3. Sample Preparation and Analytical Methods
2.4. Quality Assurance and Quality Control
2.5. Statistical Procedure
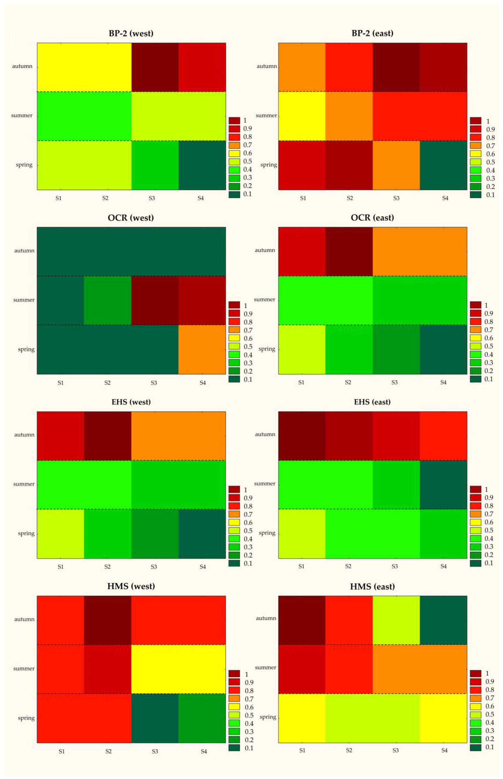
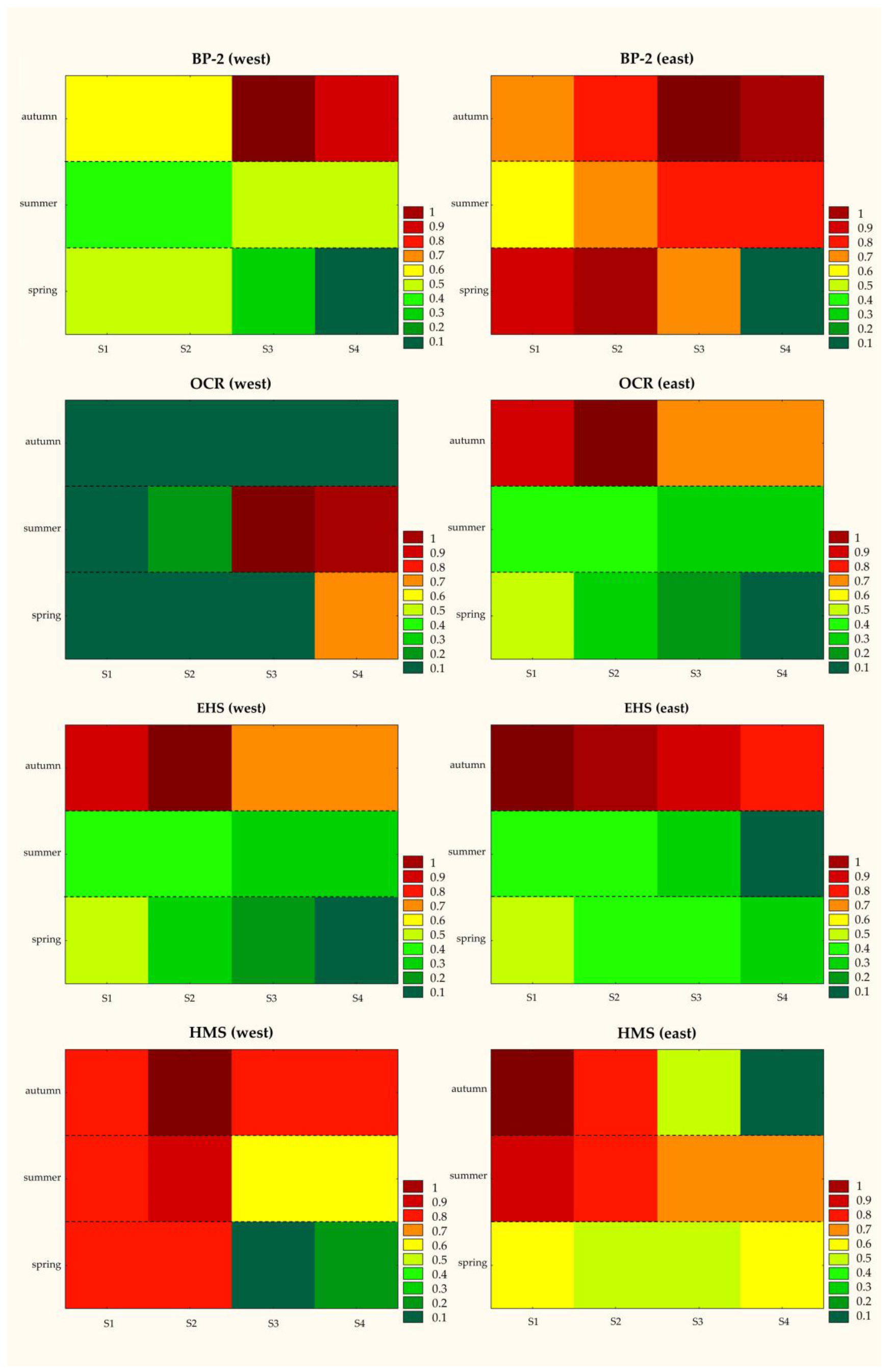
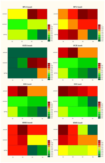
3. Results
4. Discussion
5. Conclusions
Supplementary Materials
Author Contributions
Funding
Data Availability Statement
Conflicts of Interest
References
- Schlarer, T.A.; Schoeman, D.S.; Dugan, J.; Lastra, M.; Jones, A.; Scapini, F.; McLachlan, A. Sandy beach ecosystems: Key features, sampling issues, management challenges and climate change impacts. Marin. Ecol. 2008, 29, 70. [Google Scholar] [CrossRef]
- Łabuz, T. Environmental impacts—Coastal erosion and coastline changes. In Second Assessment of Climate Change for the Baltic Sea Basin; Bolle, H.J., Menenti, M., Rasool, S.I., Eds.; Springer: Cham, Switzerland, 2015; pp. 381–396. [Google Scholar]
- Michałowska, K.; Głowienka, E. Multi-Temporal Analysis of Changes of the Southern Part of the Baltic Sea Coast Using Aerial Remote Sensing Data. Remote Sens. 2022, 14, 1212. [Google Scholar] [CrossRef]
- Martínez, M.L.; Intralawan, A.; Vázquez, G.; Pérez-Maqueo, O.; Sutton, P.; Landgrave, R. The coasts of our world: Ecological, economic and social importance. Ecol. Econ. 2007, 63, 254–272. [Google Scholar] [CrossRef]
- Flayou, L.; Snoussi, M.; Raji, O. Evaluation of the economic costs of beach erosion due to the loss of the recreational services of sandy beaches—The case of Tetouan coast (Morocco). J. Afr. Earth Sci. 2021, 182, 104257. [Google Scholar] [CrossRef]
- Yang, Z.; Yang, Z.; Deng, Z.; Chen, Y.; Yang, B.; Hou, Y.; Deng, Z.; Tong, M. Multi-Timescale Analysis of the Evolution of Sandy Coastline: A Case Study in South China. J. Mar. Sci. Eng. 2022, 10, 1609. [Google Scholar] [CrossRef]
- Tsoukala, V.K.; Katsardi, V.; Hadjibiros, K.; Moutzouris, C.I. Beach Erosion and Consequential Impacts Due to the Presence of Harbours in Sandy Beaches in Greece and Cyprus. Environ. Process. 2015, 2, 55–71. [Google Scholar] [CrossRef]
- Vousdoukas, M.I.; Ranasinghe, R.; Mentaschi, L.; Plomaritis, T.A.; Athanasiou, P.; Luijendijk, A.; Feyen, L. Sandy coastlines under threat of erosion. Nat. Clim. Chang. 2020, 10, 260–263. [Google Scholar] [CrossRef]
- Fitri, A.; Hashim, R.; Abolfathi, S.; Abdul Maulud, K.N. Dynamics of Sediment Transport and Erosion-Deposition Patterns in the Locality of a Detached Low-Crested Breakwater on a Cohesive Coast. Water 2019, 11, 1721. [Google Scholar] [CrossRef]
- Athanasiou, P.; van Dongeren, A.; Giardino, A.; Vousdoukas, M.I.; Ranasinghe, R.; Kwadijk, J. Uncertainties in projections of sandy beach erosion due to sea level rise: An analysis at the European scale. Sci. Rep. 2020, 10, 11895. [Google Scholar] [CrossRef]
- Hojan, M.; Rurek, M.; Krupa, A. The Impact of Sea Shore Protection on Aeolian Processes Using the Example of the Beach in Rowy, N Poland. Geosciences 2019, 9, 179. [Google Scholar] [CrossRef]
- Nilsen, E.; Smalling, K.L.; Ahrens, L.; Gros, M.; Miglioranza, K.S.B.; Pico, Y.; Schoenfuss, H.L. Grand Challenges In Assessing The Adverse Effects Of Contaminants Of Emerging Concern On Aquatic Food Webs. Environ. Toxicol. Chem. 2019, 38, 46–60. [Google Scholar] [CrossRef] [PubMed]
- Galgani, F.; Ellerbrake, K.; Fries, E.; Goreux, C. Marine pollution: Let us not forget beach sand. Environ. Sci. Eur. 2011, 23, 40. [Google Scholar] [CrossRef]
- Ramírez-Malule, H.; Quiñones-Murillo, D.H.; Manotas-Duque, D. Emerging contaminants as global environmental hazards. A bibliometric analysis. Emerg. Contam. 2020, 6, 179–193. [Google Scholar] [CrossRef]
- Vasilachi, I.C.; Asiminicesei, D.M.; Fertu, D.I.; Gavrilescu, M. Occurrence and Fate of Emerging Pollutants in Water Environment and Options for Their Removal. Water 2021, 13, 181. [Google Scholar] [CrossRef]
- Manaia, E.B.; Kaminski, R.C.K.; Corrêa, M.A.; Chiavacci, L.A. Inorganic UV filters. Braz. J. Pharm. Sci. 2013, 49, 201–209. [Google Scholar] [CrossRef]
- Tovar-Sánchez, A.; Sánchez-Quiles, D.; Basterretxea, G.; Benedé, J.L.; Chisvert, A.; Salvador, A.; Moreno-Garrido, I.; Blasco, J. Sunscreen Products as Emerging Pollutants to Coastal Waters. PLoS ONE 2013, 8, e65451. [Google Scholar] [CrossRef]
- Giokas, D.L.; Salvador, A.; Chisvert, A. UV filters: From sunscreens to human body and the environment. TrAC 2007, 26, 360–374. [Google Scholar] [CrossRef]
- Sharifan, H.; Klein, D.; Morse, A.N. UV filters are an environmental threat in the Gulf of Mexico: A case study of Texas coastal zones. Oceanology 2016, 58, 327–335. [Google Scholar] [CrossRef]
- Vassalle, L.; Sunyer-Caldú, A.; Díaz-Cruz, M.S.; Arashiro, L.T.; Ferrer, I.; Garfí, M.; García-Galán, M.J. Behavior of UV filters, UV blockers and pharmaceuticals in high rate algal ponds treating urban wastewater. Water 2020, 12, 2658. [Google Scholar] [CrossRef]
- Ramos, S.; Homem, V.; Alves, A.; Santos, L. A review of organic UV filters in wastewater treatment plants. Environ. Int. 2016, 86, 24–44. [Google Scholar] [CrossRef]
- Cadena-Aizaga, M.I.; Montesdeoca-Esponda, S.; Sosa-Ferrera, Z.; Santana-Rodríguez, J.J. Occurrence and environmental hazard of organic UV filters in seawater and wastewater from Gran Canaria Island (Canary Islands, Spain). Environ. Pollut. 2022, 300, 118843. [Google Scholar] [CrossRef]
- Fisch, K.; Waniek, J.J.; Schulz-Bull, D.E. Occurrence of pharmaceuticals and UV-filters in riverine run-offs and waters of the German Baltic Sea. Mar. Pollut. Bull. 2017, 124, 388–399. [Google Scholar] [CrossRef]
- Barón, E.; Gago-Fererro, P.; Gorga, M.; Rudolph, I. Occurrence of hydrophobic organic pollutants (BFRs and UV filters) in sediments from South America. Chemosphere 2013, 92, 309–316. [Google Scholar] [CrossRef]
- Fagervold, S.K.; Rodrigues, A.S.; Rohée, C.; Roe, R.; Bourrain, M.; Stien, D.; Lebaron, P. Occurrence and Environmental Distribution of 5 UV Filters During the Summer Season in Different Water Bodies. Water Air Soil Pollut. 2019, 230, 172. [Google Scholar] [CrossRef]
- Wang, W.; Lee, I.S.; Oh, J.E. Specific-accumulation and trophic transfer of UV filters and stabilizers in marine food web. Sci. Total. Environ. 2022, 825, 154079. [Google Scholar] [CrossRef] [PubMed]
- Giokas, D.L.; Sakkas, V.A.; Albanis, T.A. Determination of residues of UV filters in natural waters by solid–phase extraction coupled to liquid chromatography-photodiode array detection and gas chromatography-mass spectrometry. J. Chromatogr. A 2004, 1026, 289–293. [Google Scholar] [CrossRef] [PubMed]
- Sánchez Rodríguez, A.; Rodrigo Sanz, M.; Betancort Rodríguez, J.R. Occurrence of eight UV filters in beaches of Gran Canaria (Canary Islands). An approach to environmental risk assessment. Chemosphere 2015, 131, 85–90. [Google Scholar] [CrossRef] [PubMed]
- Labille, J.; Slomberg, D.; Catalano, R.; Robert, S.; Apres-Termelo, M.L.; Boudenne, J.L.; Manasfi, T.; Radakovitch, O. Assessing UV filter inputs into beach waters during recreational activity: A field study of three French Mediterranean beaches from consumer survey to water analysis. Sci. Total Environ. 2020, 706, 136010. [Google Scholar] [CrossRef] [PubMed]
- Cuderman, P.; Heath, E. Determination of UV filters and antimicrobial agents in environmental water samples. Anal. Bioanal. Chem. 2007, 387, 1343–1350. [Google Scholar] [CrossRef]
- Wick, A.; Fink, G.; Ternes, T.A. Comparison of electrospray ionization and atmospheric pressure chemical ionization for multi-residue analysis of biocides, UV-filters and benzothiazoles in aqueous matrices and activated sludge by liquid chromatography-tandem mass spectrometry. J. Chromatogr. A 2010, 1217, 2088–2103. [Google Scholar] [CrossRef]
- Ekpeghere, K.I.; Un-Jung, K.; Sung-Hee, O.; Hee-Young, K.; Jeong-Eun, O. Distribution and seasonal occurrence of UV filters in rivers and wastewater treatment plants in Korea. Sci. Total Environ. 2016, 542, 121–128. [Google Scholar] [CrossRef] [PubMed]
- Poiger, T.; Buser, H.R.; Balmer, M.E.; Bergqvist, P.A.; Müller, M.D. Occurrence of UV filter compounds from sunscreens in surface waters: Regional mass balance in two Swiss lakes. Chemosphere 2004, 55, 951–963. [Google Scholar] [CrossRef] [PubMed]
- Ziemblińska-Barnart, J.; Nowak, I.; Rykowska, I. Fast dispersive liquid-liquid microextraction based on magnetic retrieval of in situ formed an ionic liquid for the preconcentration and determination of benzophenone–type UV filters from environmental water samples. J. Iran. Chem. Soc. 2019, 16, 661–671. [Google Scholar] [CrossRef]
- Tsui, M.M.P.; Leung, H.W.; Kwan, B.K.Y.; Ng, K.Y.; Yamashita, N.; Taniyasu, S.; Lam, P.K.S.; Murphy, M.B. Occurrence, distribution and ecological risk assessment of multiple classes of UV filters in marine sediments in Hong Kong and Japan. J. Hazard. Mater. 2015, 292, 180–187. [Google Scholar] [CrossRef]
- Apel, C.; Joerss, H.; Ebinghaus, R. Environmental occurrence and hazard of organic UV stabilizers and UV filters in the sediment of European North and Baltic Sea. Chemosphere 2018, 212, 254–261. [Google Scholar] [CrossRef]
- Tarazona, I.; Chisvert, A.; Salvador, A. Development of a gas chromatography-mass spectrometry method for the determination of ultraviolet filters in beach sand samples. Anal. Methods. 2014, 6, 7772–7780. [Google Scholar] [CrossRef]
- Benedé, J.L.; Chisvert, A.; Moyano, C.; Giokas, D.L. Expanding the application of stir bar sorptive–dispersive microextraction approach to solid matrices: Determination of ultraviolet filters in coastal sand samples. J. Chromatogr. A 2018, 1564, 25–33. [Google Scholar] [CrossRef]
- Vila, M.; Llompart, M.; Gracia-Jares, C.; Homem, V.; Dagnac, T. Development and optimization of a solid-phase microextraction gas chromatography-tandem mass spectrometry methodology to analyze ultraviolet filters in beach sand. J. Chromatogr. A 2018, 1564, 59–68. [Google Scholar] [CrossRef]
- Vila, M.; Llompart, M.; Gracia-Jares, C.; Dagnac, T. Different miniaturized extraction methodologies followed by GC–MS/MS analysis for the determination of UV filters in beach sand. J. Sep.Sci. 2018, 41, 3347–3502. [Google Scholar] [CrossRef]
- Capela, D.; Vila, M.; Llompart, M.; Dagnac, T.; García-Jares, C.; Alves, A.; Homem, V. Footprints in the sand—Assessing the seasonal trends of volatile methylsiloxanes and UV-filters. Mar. Pollut. Bull. 2019, 140, 9–16. [Google Scholar] [CrossRef]
- Astel, A.; Stec, M.; Rykowska, I. Occurrence and distribution of UV filters in beach sediments of the Southern Baltic Sea Coast. Water 2020, 12, 3024. [Google Scholar] [CrossRef]
- Spagnoli, F.; De Marco, R.; Dinelli, E.; Frapiccini, E.; Frontalini, F.; Giordano, P. Sources and Metal Pollution of Sediments from a Coastal Area of the Central Western Adriatic Sea (Southern Marche Region, Italy). Appl. Sci. 2021, 11, 1118. [Google Scholar] [CrossRef]
- Tsui, M.M.P.; Leung, H.W.; Wai, T.C.; Yamashita, N.; Taniyasu, S.; Li, W.; Lam, P.K.S.; Murphy, M.B. Occurrence, distribution and ecological risk assessment of multiple classes of UV filters in surface waters from different countries. Water Res. 2014, 67, 55–65. [Google Scholar] [CrossRef] [PubMed]
- D’Amicoa, M.; Gambaro, A.; Barbante, C.; Barbaro, E.; Caiazzo, L.; Vecchiato, M. Occurrence of the UV filter 2-Ethylhexyl 4-methoxycinnimate (EHMC) in Antarctic snow: First results. Microchem. J. 2022, 183, 108060. [Google Scholar] [CrossRef]
- Bargar, T.A.; Alvarez, D.A.; Garrison, V.H. Synthetic ultraviolet light filtering chemical contamination of coastal waters of Virgin Islands National Park, St. John, U.S. Virgin Islands. Mar. Pollut. Bull. 2015, 101, 193–199. [Google Scholar] [CrossRef] [PubMed]
- Clergeaud, F.; Fagervold, S.K.; Rodrigues, A.M.S.; Thorel, E.; Stien, D.; Lebaron, P. Transfer of 7 Organic UV Filters from Sediment to the Ragworm Hediste diversicolor: Bioaccumulation of Benzophenone-3 and Further Proof of Octocrylene Metabolism. Pollutants 2022, 2, 23–31. [Google Scholar] [CrossRef]
- Bigus, K.; Astel, A.; Niedzielski, P. Seasonal distribution of metals in vertical and horizontal profiles of sheltered and exposed beaches on Polish coast. Mar. Pollut. Bull. 2016, 106, 347–359. [Google Scholar] [CrossRef]
- Perliński, P.; Mudryk, Z.J.; Zdanowicz, M.; Kubera, Ł. Abundance of Live and Dead Bacteriopsammon Inhabiting Sandy Ecosystems of Recreational Marine Beaches of the Southern Baltic Sea. Microb. Ecol. 2023, 86, 350–363. [Google Scholar] [CrossRef]
- Downs, C.A.; Diaz-Cruz, M.S.; White, W.T.; Rice, M.; Jim, L.; Punihaole, C.; Dant, M.; Gautam, K.; Woodley, C.M.; Walsh, K.O.; et al. Beach showers as sources of contamination for sunscreen pollution in marine protected areas and areas of intensive beach tourism in Hawaii, USA. J. Hazard. Mat. 2022, 15, 129546. [Google Scholar] [CrossRef]
- PN-ISO 10381-2:2007; Soil Quality—Sampling—Part 2. Requirements Concerning Sampling Techniques. International Organization for Standardization: Geneva, Switzerland, 2002.
- Schoeman, D.S.; Nel, R.; Soares, A.G. Measuring species richness on sandy beach transects: Extrapolative estimators and their implications for sampling effort. Marine Ecol. 2008, 29, 134–149. [Google Scholar] [CrossRef]
- Mudryk, Z.; Skórczewski, P.; Perliński, P.; Wielgat, M. Studies concerning heterotrophic bacteria decomposing macromolecular compounds at two marine beaches. Oceanol. Hydrobiol. St. 2011, 40, 74–83. [Google Scholar] [CrossRef]
- Webster, R.; Oliver, M.A. Sample Adequate to Estimate Variograms of Soil Properties. Eur. J. Soil Sci. 2006, 43, 177–192. [Google Scholar] [CrossRef]
- Yasrebi, J.; Saffari, M.; Fathi, H.; Karimian, N.; Moazallahi, M.; Gazni, R. Evaluation and Comparison of Ordinary Kriging and Inverse Distance Weighting Methods for Prediction of Spatial Variability of Some Soil Chemical Parameters. Res. J. Biol. Sci. 2009, 4, 93–102. [Google Scholar]
- Jeon, H.K.; Chung, Y.; Ryu, J.C. Simultaneous determination of benzophenone-type UV filters in water and soil by gas chromatography-mass spectrometry. J. Chromatogr. A 2006, 113, 192–202. [Google Scholar] [CrossRef]
- Peruchi, L.M.; Rath, S. Development and application of a HPLC method for eight sunscreen agents in suncare products. Int. J. Cosmet. Sci. 2012, 34, 226–233. [Google Scholar] [CrossRef]
- EC. European Commission Decision 2002/7657/EC of 12 August 2002 Implementing Council Directive 96/23/EC Concerning the Performance of Analytical Methods and the Interpretation of Results. Off. J. Eur. Comm. 2002, 221, 8–36. Available online: https://eur-lex.europa.eu/LexUriServ/LexUriServ.do?uri=OJ:L:2002:221:0008:0036:EN:PDF (accessed on 17 February 2023).
- Huong, S.P.; Andrieu, V.; Reynier, J.P.; Rocher, E.; Fourneron, J.D. The photoisomerization of the sunscreen ethylhexyl p–methoxycinnamate and its influence on the sun protection factor. J. Photochem. Photobiol. A 2007, 186, 65–70. [Google Scholar] [CrossRef]
- Santos, J.; Margarida, S.; Miranda, M.; Esteves da Silva, J. The degradation products of UV filters in aqueous and chlorinated aqueous solutions. Water Res. 2012, 46, 3167–3176. [Google Scholar] [CrossRef]
- Imamović, B.; Trebše, P.; Omeragić, E.; Bečić, E.; Pečet, A.; Dedić, M. Stability and Removal of Benzophenone-Type UV Filters from Water Matrices by Advanced Oxidation Processes. Molecules 2022, 27, 1874. [Google Scholar] [CrossRef]
- Sayre, R.M.; Dowdy, J.C.; Gerwig, A.J.; Shields, W.J.; Lloyd, R.V. Unexpected photolysis of the sunscreen octinoxate in the presence of the sunscreen avobenzone. Photochem. Photobiol. 2005, 81, 452. [Google Scholar] [CrossRef]
- Scientific Committee on Consumer Safety. Opinion on Benzophenone-3 2021. Available online: https://health.ec.europa.eu/system/files/2022-08/sccs_o_247.pdf (accessed on 22 March 2023).
- Scientific Committee on Consumer Safety. Opinion on 4-Methylbenzylidene Camphor (4-MBC) 2022. Available online: https://health.ec.europa.eu/system/files/2022-05/sccs_o_262.pdf (accessed on 22 March 2023).
- Kunz, P.Y.; Fent, K. Estrogenic activity of UV filter mixtures. Toxicol. Appl. Pharmacol. 2006, 217, 86–99. [Google Scholar] [CrossRef] [PubMed]
- Fent, K.; Kunz, P.Y.; Gomez, E. UV Filters in the aquatic environment induce hormonal effects and affect fertility and reproduction in fish. Chimia 2008, 62, 368–375. [Google Scholar] [CrossRef]
- Schlumpf, M.; Kypke, K.; Vökt, C.C.; Birchler, M.; Durrer, S.; Faass, O.; Ehnes, C.; Fuetsch, M.; Gaille, C.; Henseler, M.; et al. Endocrine active UV filters: Developmental toxicity and exposure through breast milk. Chimia 2008, 62, 345–351. [Google Scholar] [CrossRef]
- Kim, S.; Jung, D.; Kho, Y.; Choi, K. Effects of benzophenone-3 exposure on endocrine disruption and reproduction of Japanese medaka (Oryzias latipes)—A two-generation exposure study. Aquat. Toxicol. 2018, 155, 244–252. [Google Scholar] [CrossRef]
- Commission Regulation (EU) 2017/238 of 10 February 2017 Amending Annex VI to Regulation (EC) No 1223/2009 of the European Parliament and of the Council on Cosmetic Products. Available online: https://eur-lex.europa.eu/legal-content/EN/TXT/?uri=CELEX%3A32017R0238 (accessed on 29 March 2023).
- Commission Regulation (EU) 2022/1176 of 7 July 2022 Amending Regulation (EC) No 1223/2009 of the European Parliament and of the Council as Regards the Use of Certain UV Filters in Cosmetic Products. Available online: https://eur-lex.europa.eu/eli/reg/2022/1176 (accessed on 29 March 2023).
- Annex, V.I. List of UV Filters Allowed in Cosmetic Products, Last Update: 31 January 2023. Available online: https://ec.europa.eu/growth/tools-databases/cosing/pdf/COSING_Annex%20VI_v2.pdf (accessed on 29 March 2023).
- Girjatowicz, J.P.; Świątek, M. Effects of atmospheric circulation on water temperature along the southern Baltic Sea coast. Oceanologia 2018, 61, 38–49. [Google Scholar] [CrossRef]
- Miętus, M. Variability of Air Temperature and Precipitation in the Polish Baltic Coast and Its Expected Course until 2030; Materiały Badawcze: Meteorologia, Poland, 1996. [Google Scholar]
- Institute of Meteorology and Water Management; National Research Institute. Characteristics of Selected Climate Elements in Poland in August 2022. Summary of the Summer Season. Available online: https://eur-lex.europa.eu/legal-content/EN/TXT/PDF/?uri=CELEX:32022R1176&from=PLe (accessed on 29 March 2023).
- Rydz, E.; Jażewicz, I. Spatialstructure of Ustka and tendencies of changes in a period of system transformations. Baltic Coastal Zone. 2007, 11, 115–129. [Google Scholar]
- Resolution NO XXXI/252/2020 of the Town Council in Darłowo. Available online: https://um.darlowo.ibip.pl/public/get_file.php?id=376578 (accessed on 29 March 2023). (In Polish).
- Krawczyk, Ł.; Iskra, K.; Przygoda-Kuś, P.; Józefiak, P. Wastewater treatment plant in Rowy (Poland). In Directions of Development of Municipal Wastewater Treatment Plants—Innovative Solutions in the Face of the Circular Economy; Krawczyk, Ł., Ed.; Institute of Environmental Protection—National Research Institute: Warsaw, Poland, 2022; pp. 72–73. (In Polish) [Google Scholar]
- Krzyżewska, A.; Wereski, S.; Dobek, M. Summer UTCI variability in Poland in the twenty-first century. Int. J. Biometeorol. 2021, 65, 1497–1513. [Google Scholar] [CrossRef]
- Rodrigues, A.M.; Sniehotta, F.F.; Birch-Machin, M.A.; Araujo-Soares, V. Aware, motivated and striving for a ‘safe tan’: An exploratory mixed-method study of sun-protection during holidays. Health. Psychol. Behav. Med. 2017, 5, 276–298. [Google Scholar] [CrossRef]
- Łabuz, T. Polish coastal dunes—Affecting factors and morphology. Landf. Anal. 2013, 22, 33–59. [Google Scholar] [CrossRef]
- Staniszewska, M.; Boniecka, H.; Cylkowska, H. Dredging works in the Polish open sea ports as an anthropogenic factor of development of sea coastal zones. Bull. Marit. Inst. Gdańsk 2016, 31, 173–180. [Google Scholar] [CrossRef]
- Hannides, A.; Elko, N.; Humiston, K. An ASBPA white paper: The state of understanding of the effects of beach nourishment activities on coastal biogeochemical processes and conditions. Shore Beach 2019, 87, 46–57. [Google Scholar] [CrossRef]
- Danovaro, R.; Bongiorni, L.; Corinaldesi, C.; Giovannelli, D.; Damiani, E.; Astolfi, P.; Greci, L.; Pusceddu, A. Sunscreens cause coral bleaching by promoting viral infections. Environ. Health. Perspect. 2008, 116, 441–447. [Google Scholar] [CrossRef] [PubMed]






| UV Filter | Site | Direction | n | % | Mean | Median | Min | Max | Lower Quartile | Upper Quartile | S.D. |
|---|---|---|---|---|---|---|---|---|---|---|---|
| BP-1 | Ustka | east | 2 | 2.8 | 113.8 | 113.8 | 69.9 | 157.7 | 69.9 | 157.7 | 62.1 |
| BP-2 | 72 | 100.0 | 171.9 | 148.4 | 74.2 | 1340.4 | 114.2 | 175.4 | 151.9 | ||
| BP-3 | 13 | 18.1 | 173.8 | 40.8 | 28.3 | 667.2 | 36.8 | 246.2 | 220.2 | ||
| OCR | 30 | 41.7 | 1331.6 | 187.8 | 39.7 | 12,369.4 | 79.8 | 1730.0 | 2571.7 | ||
| 4-MBC | 5 | 6.9 | 107,986.3 | 120.0 | 59.3 | 539,534.3 | 60.3 | 157.6 | 241,242.7 | ||
| EHMC | 11 | 15.3 | 90.9 | 74.4 | 28.9 | 295.4 | 50.4 | 93.4 | 74.1 | ||
| EHS | 66 | 91.7 | 778.0 | 444.6 | 43.7 | 2714.1 | 314.8 | 878.2 | 757.3 | ||
| HMS | 53 | 73.6 | 454.7 | 277.8 | 19.2 | 5888.8 | 187.2 | 381.2 | 904.8 | ||
| BMDM | 2 | 2.8 | 68,099.9 | 68,099.9 | 53,311.5 | 82,888.3 | 53,311.5 | 82,888.3 | 20,914.0 | ||
| BP-1 | west | 2 | 2.8 | 74.9 | 74.9 | 29.0 | 120.9 | 29.0 | 120.9 | 64.9 | |
| BP-2 | 72 | 100.0 | 200.4 | 167.0 | 56.8 | 518.7 | 136.3 | 230.2 | 97.8 | ||
| BP-3 | 9 | 12.5 | 79.6 | 69.9 | 33.5 | 141.8 | 49.4 | 98.2 | 37.7 | ||
| OCR | 17 | 23.6 | 610.4 | 304.0 | 27.0 | 2358.9 | 98.1 | 799.6 | 711.6 | ||
| 4-MBC | 0 | 0.0 | |||||||||
| EHMC | 7 | 9.7 | 79.4 | 70.9 | 29.9 | 160.7 | 38.7 | 115.9 | 45.3 | ||
| EHS | 59 | 81.9 | 756.0 | 664.5 | 103.6 | 1966.3 | 382.4 | 1078.5 | 492.7 | ||
| HMS | 42 | 58.3 | 306.9 | 302.7 | 87.3 | 546.1 | 204.7 | 399.6 | 130.1 | ||
| BMDM | 0 | 0.0 | |||||||||
| BP-1 | Rowy | east | 4 | 5.6 | 57.6 | 53.9 | 28.8 | 93.8 | 39.5 | 75.7 | 27.1 |
| BP-2 | 71 | 98.6 | 3205.9 | 147.7 | 43.9 | 23,845.6 | 101.1 | 410.5 | 7273.4 | ||
| BP-3 | 33 | 45.8 | 564.0 | 192.9 | 34.0 | 6821.4 | 83.6 | 734.9 | 1182.3 | ||
| OCR | 25 | 34.7 | 473.1 | 127.9 | 27.5 | 5789.1 | 61.3 | 308.1 | 1152.7 | ||
| 4-MBC | 1 | 1.4 | 25.8 | 25.8 | 25.8 | 25.8 | 25.8 | 25.8 | |||
| EHMC | 13 | 18.1 | 7679.0 | 101.3 | 40.2 | 98,704.2 | 75.6 | 121.9 | 27,349.7 | ||
| EHS | 46 | 63.9 | 571.9 | 488.1 | 59.1 | 1279.9 | 319.1 | 789.7 | 315.9 | ||
| HMS | 38 | 52.8 | 307.9 | 303.8 | 57.3 | 621.9 | 239.4 | 381.3 | 116.2 | ||
| BMDM | 0 | 0.0 | |||||||||
| BP-1 | west | 3 | 4.2 | 48.6 | 29.7 | 25.4 | 90.8 | 25.4 | 90.8 | 36.6 | |
| BP-2 | 71 | 98.6 | 184.9 | 150.7 | 38.8 | 535.3 | 93.2 | 246.4 | 124.1 | ||
| BP-3 | 14 | 19.4 | 131.5 | 122.9 | 43.2 | 285.8 | 83.9 | 155.6 | 71.8 | ||
| OCR | 37 | 51.4 | 943.5 | 98.9 | 31.5 | 10,149.6 | 56.4 | 259.3 | 2250.0 | ||
| 4-MBC | 0 | 0.0 | |||||||||
| EHMC | 11 | 15.3 | 354.7 | 82.3 | 40.7 | 2309.6 | 54.9 | 153.0 | 694.7 | ||
| EHS | 57 | 79.2 | 504.4 | 393.5 | 69.1 | 1566.6 | 182.2 | 739.9 | 401.2 | ||
| HMS | 41 | 56.9 | 280.6 | 280.4 | 32.8 | 648.9 | 154.9 | 363.3 | 136.4 | ||
| BMDM | 0 | 0.0 | |||||||||
| BP-1 | Darłowo | east | 1 | 1.4 | 9845.7 | 9845.7 | 9845.7 | 9845.7 | 9845.7 | 9845.7 | |
| BP-2 | 72 | 100.0 | 237.3 | 145.3 | 44.0 | 2781.1 | 112.6 | 178.3 | 355.5 | ||
| BP-3 | 19 | 26.4 | 7966.8 | 103.3 | 25.8 | 137,090.5 | 46.9 | 241.3 | 31,340.9 | ||
| OCR | 41 | 56.9 | 2598.2 | 192.3 | 30.6 | 44,828.6 | 68.8 | 976.7 | 7753.3 | ||
| 4-MBC | 4 | 5.6 | 11,063.5 | 942.0 | 45.1 | 42,324.9 | 297.1 | 21,829.9 | 20,847.7 | ||
| EHMC | 8 | 11.1 | 564.3 | 219.0 | 50.1 | 3040.0 | 132.5 | 360.9 | 1008.0 | ||
| EHS | 39 | 54.2 | 497.8 | 291.9 | 42.7 | 1386.4 | 191.7 | 901.2 | 403.7 | ||
| HMS | 24 | 33.3 | 457.2 | 268.2 | 46.4 | 3825.8 | 192.6 | 439.3 | 739.3 | ||
| BMDM | 0 | 0.0 | |||||||||
| BP-1 | west | 0 | 0.0 | ||||||||
| BP-2 | 71 | 98.6 | 231.3 | 172.2 | 63.0 | 1718.1 | 133.1 | 220.0 | 240.9 | ||
| BP-3 | 16 | 22.2 | 78.5 | 66.5 | 25.1 | 147.9 | 52.4 | 103.6 | 37.3 | ||
| OCR | 37 | 51.4 | 1923.0 | 222.1 | 61.1 | 11,320.6 | 129.4 | 1518.2 | 3321.1 | ||
| 4-MBC | 3 | 4.2 | 149.4 | 196.5 | 49.6 | 202.2 | 49.6 | 202.2 | 86.5 | ||
| EHMC | 10 | 13.9 | 295.7 | 72.2 | 41.2 | 1687.4 | 63.2 | 190.6 | 521.5 | ||
| EHS | 41 | 56.9 | 663.8 | 658.9 | 62.7 | 1657.7 | 396.4 | 948.0 | 361.6 | ||
| HMS | 28 | 38.9 | 360.1 | 331.6 | 31.2 | 875.3 | 174.8 | 489.0 | 221.4 | ||
| BMDM | 0 | 0.0 |
| UV Filter | Season | n | % | Mean | Median | Min | Max | Lower Quartile | Upper Quartile | S.D. |
|---|---|---|---|---|---|---|---|---|---|---|
| BP-1 | spring | 1 | 0.7 | 9845.7 | 9845.7 | 9845.7 | 9845.7 | 9845.7 | 9845.7 | |
| BP-2 | 143 | 99.3 | 1668.8 | 157.0 | 38.8 | 23,845.6 | 104.8 | 195.2 | 5332.1 | |
| BP-3 | 49 | 34.0 | 3375.2 | 138.6 | 36.8 | 137,090.5 | 68.1 | 426.7 | 19,562.5 | |
| OCR | 23 | 16.0 | 3145.6 | 84.0 | 30.6 | 44,828.6 | 43.4 | 1147.5 | 9485.0 | |
| 4-MBC | 4 | 2.8 | 11,063.5 | 942.0 | 45.1 | 42,324.9 | 297.1 | 21,829.9 | 20,847.7 | |
| EHMC | 5 | 3.5 | 114.6 | 78.8 | 41.2 | 199.3 | 63.2 | 190.6 | 74.6 | |
| EHS | 63 | 43.8 | 502.7 | 347.2 | 42.7 | 1966.3 | 180.1 | 732.3 | 425.1 | |
| HMS | 48 | 33.3 | 308.5 | 234.9 | 31.2 | 3825.8 | 85.9 | 358.0 | 541.1 | |
| BMDM | 0 | 0.0 | ||||||||
| BP-1 | summer | 5 | 3.5 | 52.0 | 50.2 | 28.8 | 93.8 | 29.7 | 57.6 | 26.6 |
| BP-2 | 142 | 98.6 | 175.4 | 133.9 | 42.7 | 2698.3 | 110.7 | 157.0 | 275.9 | |
| BP-3 | 36 | 25.0 | 216.6 | 61.6 | 25.1 | 3683.8 | 42.0 | 117.3 | 614.9 | |
| OCR | 120 | 83.3 | 1565.1 | 273.4 | 27.0 | 19,610.4 | 116.8 | 1381.0 | 3150.8 | |
| 4-MBC | 1 | 0.7 | 25.8 | 25.8 | 25.8 | 25.8 | 25.8 | 25.8 | ||
| EHMC | 45 | 31.3 | 282.7 | 87.7 | 28.9 | 3040.0 | 65.8 | 148.3 | 598.0 | |
| EHS | 142 | 98.6 | 409.5 | 370.3 | 59.1 | 955.1 | 243.4 | 538.5 | 205.5 | |
| HMS | 142 | 98.6 | 387.3 | 297.9 | 19.2 | 5888.8 | 216.8 | 412.1 | 564.2 | |
| BMDM | 2 | 1.4 | 68,099.9 | 68,099.9 | 53,311.5 | 82,888.3 | 53,311.5 | 82,888.3 | 20,914.0 | |
| BP-1 | autumn | 6 | 4.2 | 82.3 | 80.4 | 25.4 | 157.7 | 29.0 | 120.9 | 51.9 |
| BP-2 | 144 | 100.0 | 260.6 | 197.3 | 72.0 | 1225.0 | 139.9 | 365.4 | 173.5 | |
| BP-3 | 19 | 13.2 | 151.2 | 109.5 | 28.3 | 667.2 | 64.6 | 161.3 | 151.4 | |
| OCR | 44 | 30.6 | 331.5 | 102.2 | 27.5 | 5845.1 | 66.3 | 182.3 | 968.8 | |
| 4-MBC | 8 | 5.6 | 67,547.5 | 138.8 | 49.6 | 539,534.3 | 59.8 | 199.4 | 190,711.5 | |
| EHMC | 10 | 6.9 | 9946.0 | 68.9 | 40.7 | 98,704.2 | 50.4 | 100.3 | 31,186.5 | |
| EHS | 103 | 71.5 | 1046.8 | 984.1 | 51.0 | 2714.1 | 650.0 | 1279.9 | 606.0 | |
| HMS | 36 | 25.0 | 318.0 | 339.7 | 31.1 | 648.9 | 229.6 | 395.4 | 134.9 | |
| BMDM | 0 | 0.0 |
| Compound | Categorized Variable | Number (n) of Concentrations above LOQ | Test Statistics | p-Value | K-W Multiple Comparison Test p-Value (Only Statistically Significant p Values Are Presented) |
|---|---|---|---|---|---|
| BP-2 | location | Darłówko (n = 143) Ustka (n = 144) Rowy (n = 142) | K-W(H): 1.014 | p = 0.602 | |
| location and direction | Darłówko west (n = 71) Darłówko east (n = 72) | M-W(U): 2092.0 | p = 0.061 | ||
| Ustka west (n = 72) Ustka east (n = 72) | M-W(U): 1881.0 | p = 0.004 | |||
| Rowy west (n = 71) Rowy east (n = 71) | M-W(U): 2208.0 | p = 0.203 | |||
| season | spring (n = 143) summer (n = 142) autumn (n = 144) | K-W(H): 55.126 | p < 0.001 | spring vs. summer p = 0.009 spring vs. autumn p < 0.001 | |
| season and direction | spring west (n = 24) spring east (n = 24) | M-W(U): 244.0 | p = 0.370 | ||
| summer west (n = 24) summer east (n = 24) | M-W(U): 181.0 | p = 0.044 | |||
| autumn west (n = 23) autumn east (n = 24) | M-W(U): 225.0 | p = 0.197 | |||
| location and season | Darłówko spring (n = 48) Darłówko summer (n = 47) Darłówko autumn (n = 48) | K-W(H): 26.543 | p < 0.001 | Darłówko spring vs. Darłówko autumn p < 0.001 | |
| Ustka spring (n = 48) Ustka summer (n = 48) Ustka autumn (n = 48) | K-W(H): 20.134 | p < 0.001 | Ustka summer vs. Ustka spring p = 0.002 Ustka summer vs. Ustka autumn p < 0.001 | ||
| Rowy spring (n = 47) Rowy summer (n = 47) Rowy autumn (n = 48) | K-W(H): 14.517 | p < 0.001 | Rowy summer vs. Rowy autumn p < 0.001 | ||
| OCR | location | Darłówko (n = 78) Ustka (n = 47) Rowy (n = 62) | K-W(H): 9.768 | p = 0.008 | Darłówko vs. Rowy p = 0.008 |
| location and direction | Darłówko west (n = 37) Darłówko east (n = 41) | M-W(U): 655.0 | p = 0.030 | ||
| Ustka west (n = 17) Ustka east (n = 30) | M-W(U): 255.0 | p = 0.990 | |||
| Rowy west (n = 10) Rowy east (n = 1) | M-W(U): 2208.0 | p = 1.000 | |||
| season | spring (n = 23) summer (n = 120) autumn (n = 44) | K-W(H): 22.130 | p < 0.001 | summer vs. spring p = 0.007 summer vs. autumn p < 0.001 | |
| season and direction | spring west (n = 1) spring east (n = 8) | M-W(U): 0.0 | p = 1.000 | ||
| summer west (n = 23) summer east (n = 24) | M-W(U): 234.0 | p = 0.377 | |||
| autumn west (n = 13) autumn east (n = 9) | M-W(U): 50.0 | p = 0.593 | |||
| location and season | Darłówko spring (n = 9) Darłówko summer (n = 47) Darłówko autumn (n = 22) | K-W(H): 15.432 | p < 0.001 | Darłówko summer vs. Darłówko spring p = 0.028 Darłówko summer vs. Darłówko autumn p < 0.002 | |
| Ustka spring (n = 3) Ustka summer (n = 33) Ustka autumn (n = 11) | K-W(H): 8.199 | p = 0.166 | |||
| Rowy spring (n = 11) Rowy summer (n = 40) Rowy autumn (n = 11) | K-W(H): 4.154 | p = 0.125 | |||
| EHS | location | Darłówko (n = 80) Ustka (n = 125) Rowy (n = 103) | K-W(H): 6.762 | p = 0.034 | Ustka vs. Rowy p = 0.033 |
| location and direction | Darłówko west (n = 39) Darłówko east (n = 41) | M-W(U): 568.0 | p = 0.545 | ||
| Ustka west (n = 59) Ustka east (n = 66) | M-W(U): 1671.0 | p = 0.017 | |||
| Rowy west (n = 57) Rowy east (n = 46) | M-W(U): 1053.0 | p = 0.807 | |||
| season | spring (n = 63) summer (n = 142) autumn (n = 103) | K-W(H): 93.637 | p < 0.001 | autumn vs. spring p < 0.001 autumn vs. summer p < 0.001 | |
| season and direction | spring west (n = 5) spring east (n = 3) | M-W(U): 0.0 | p = 1.000 | ||
| summer west (n = 24) summer east (n = 24) | M-W(U): 48.0 | p < 0.001 | |||
| autumn west (n = 12) autumn east (n = 12) | M-W(U): 66.0 | p = 0.751 | |||
| location and season | Darłówko spring (n = 8) Darłówko summer (n = 48) Darłówko autumn (n = 24) | K-W(H): 52.424 | p < 0.001 | Darłówko autumn vs. Darłówko spring p < 0.001 Darłówko autumn vs. Darłówko summer p < 0.001 | |
| Ustka spring (n = 42) Ustka summer (n = 48) Ustka autumn (n = 35) | K-W(H): 18.547 | p < 0.001 | Ustka autumn vs. Ustka spring p = 0.026 Ustka autumn vs. Ustka summer p < 0.001 | ||
| Rowy spring (n = 13) Rowy summer (n = 46) Rowy autumn (n = 44) | K-W(H): 52.993 | p < 0.001 | Rowy autumn vs. Rowy spring p < 0.001 Rowy autumn vs. Rowy summer p < 0.001 | ||
| HMS | location | Darłówko (n = 52) Ustka (n = 95) Rowy (n = 79) | K-W(H): 1.212 | p = 0.545 | |
| location and direction | Darłówko west (n = 28) Darłówko east (n = 24) | M-W(U): 299.0 | p = 0.501 | ||
| Ustka west (n = 42) Ustka east (n = 53) | M-W(U): 1020.0 | p = 1.000 | |||
| Rowy west (n = 38) Rowy east (n = 41) | M-W(U): 692.0 | p = 0.396 | |||
| season | spring (n = 48) summer (n = 142) autumn (n = 36) | K-W(H): 9.256 | p = 0.01 | spring vs. summer p = 0.01 | |
| season and direction | spring west (n = 4) spring east (n = 2) | M-W(U): 0.000 | p = 0.105 | ||
| summer west (n = 24) summer east (n = 22) | M-W(U): 176.0 | p = 0.054 | |||
| autumn west (n = 12) autumn east (n = 12) | M-W(U): 66.0 | p = 0.751 | |||
| location and season | Darłówko spring (n = 6) Darłówko summer (n = 46) Darłówko autumn (n = 0) | K-W(H): 0.000 | p = 1.0 | ||
| Ustka spring (n = 33) Ustka summer (n = 48) Ustka autumn (n = 14) | K-W(H): 1.373 | p = 0.503 | |||
| Rowy spring (n = 9) Rowy summer (n = 48) Rowy autumn (n = 22) | K-W(H): 19.370 | p < 0.001 | Rowy spring vs. Rowy summer p = 0.001 Rowy spring vs. Rowy autumn p < 0.001 |
Disclaimer/Publisher’s Note: The statements, opinions and data contained in all publications are solely those of the individual author(s) and contributor(s) and not of MDPI and/or the editor(s). MDPI and/or the editor(s) disclaim responsibility for any injury to people or property resulting from any ideas, methods, instructions or products referred to in the content. |
© 2023 by the authors. Licensee MDPI, Basel, Switzerland. This article is an open access article distributed under the terms and conditions of the Creative Commons Attribution (CC BY) license (https://creativecommons.org/licenses/by/4.0/).
Share and Cite
Stec, M.; Astel, A.M. Distribution of Nine Organic UV Filters along the Shore Next to the Harbor Canals in the Middle Pomeranian Region (Northern Poland). Water 2023, 15, 2403. https://doi.org/10.3390/w15132403
Stec M, Astel AM. Distribution of Nine Organic UV Filters along the Shore Next to the Harbor Canals in the Middle Pomeranian Region (Northern Poland). Water. 2023; 15(13):2403. https://doi.org/10.3390/w15132403
Chicago/Turabian StyleStec, Marcin, and Aleksander Maria Astel. 2023. "Distribution of Nine Organic UV Filters along the Shore Next to the Harbor Canals in the Middle Pomeranian Region (Northern Poland)" Water 15, no. 13: 2403. https://doi.org/10.3390/w15132403
APA StyleStec, M., & Astel, A. M. (2023). Distribution of Nine Organic UV Filters along the Shore Next to the Harbor Canals in the Middle Pomeranian Region (Northern Poland). Water, 15(13), 2403. https://doi.org/10.3390/w15132403

