World Heritage, Hydropower, and Earth’s Largest Freshwater Fish
Abstract
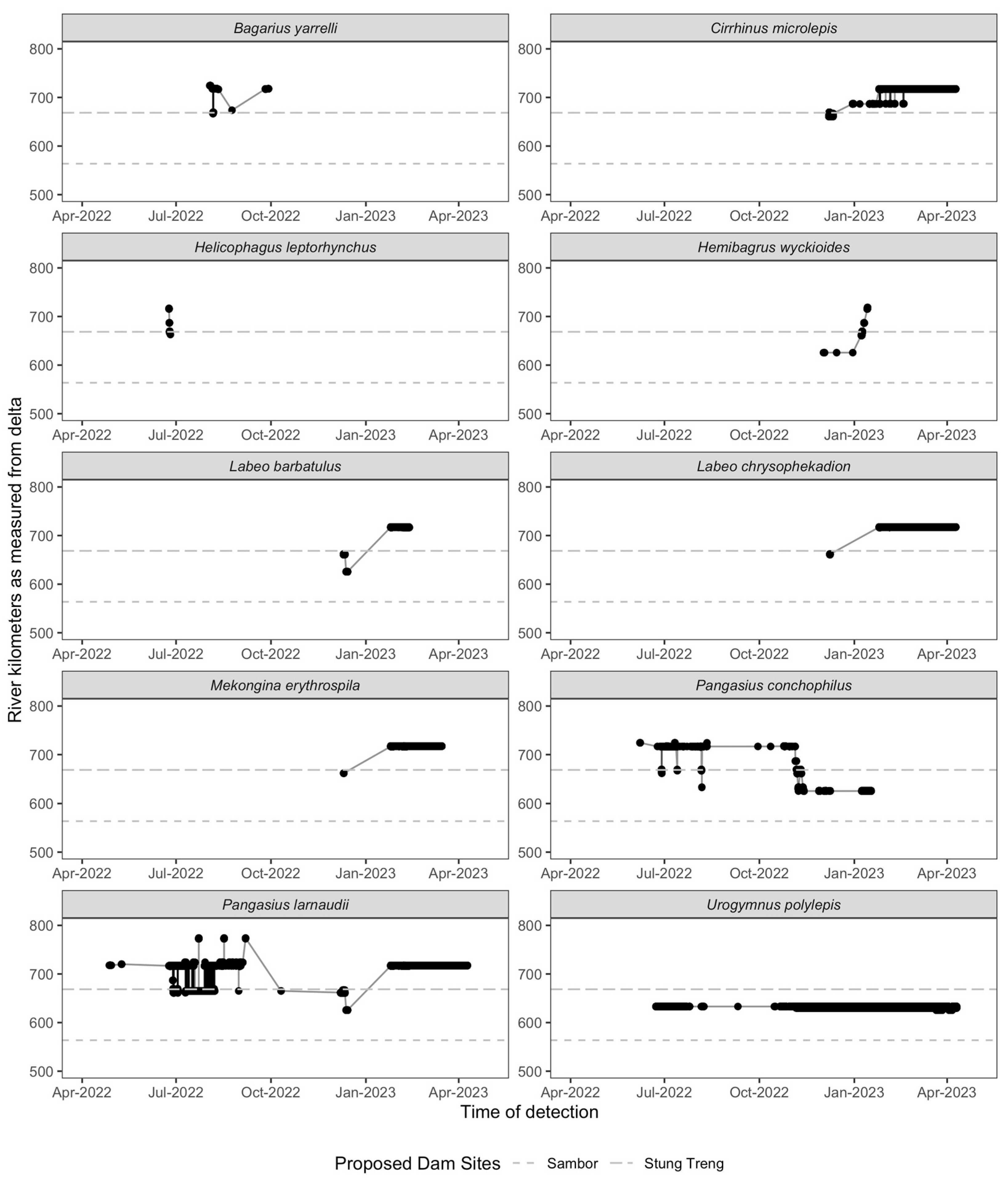
Urgent Communication of Preliminary Findings
Author Contributions
Funding
Data Availability Statement
Acknowledgments
Conflicts of Interest
References
- Baran, E.; Myschowoda, C. Dams and fisheries in the Mekong Basin. Aquat. Ecosyst. Health Manag. 2009, 12, 227–234. [Google Scholar] [CrossRef]
- Food and Agriculture Organization. The State of World Fisheries and Aquaculture 2020. In Sustainability in Action; FAO: Rome, Italy, 2020; p. 206. ISBN 978-92-5-132692-3. [Google Scholar]
- Baird, I.G. Fishes and forests: The importance of seasonally flooded riverine habitat for Mekong River fish feeding. Nat. Hist. Bull. Siam Soc. 2007, 55, 121–148. [Google Scholar]
- Baran, E. Fish Migration Triggers in the Lower Mekong Basin and Other Freshwater Tropical Systems; MRC Technical Paper No.14; Mekong River Commission: Phnom Penh, Cambodia, 2006. [Google Scholar]
- Chhuoy, S.; Hogan, Z.S.; Chandra, S.; Chheng, P.; Touch, B.; Utsugi, K.; Ngor, P.B. Daily otolith ring validation, age composition, and origin of the endangered striped catfish in the Mekong. Glob. Ecol. Conserv. 2022, 33, e01953. [Google Scholar] [CrossRef]
- Räsänen, T.A.; Koponen, J.; Lauri, H.; Kummu, M. Downstream Hydrological Impacts of Hydropower Development in the Upper Mekong Basin. Water Resour. Manag. 2012, 26, 3495–3513. [Google Scholar] [CrossRef]
- Halls, A.S.; Conlan, I.; Wisesjindawat, W.; Phouthavongs, K.; Viravong, S.; Chan, S.; Vu, V.A. Atlas of Deep Pools in the Lower Mekong River and Some of Its Tributaries; Mekong River Commission: Phnom Penh, Cambodia, 2013; p. 69. [Google Scholar]
- Loury, E.K.; Elliott, V.L.; Ainsley, S.M.; Baird, I.G.; Baumgartner, L.J.; Chhuoy, S.; Lee, D.J.; Ngor, P.B.; Touch, B.; Vu, A.V.; et al. Priority knowledge needs for management of migratory fish species in Cambodia. Fish. Manag. Ecol. 2021, 28, 393–416. [Google Scholar] [CrossRef]
- Winemiller, K.O.; McIntyre, P.B.; Castello, L.; Fluet-Chouinard, E.; Giarrizzo, T.; Nam, S.; Baird, I.G.; Darwall, W.; Lujan, N.K.; Harrison, M.L.J.; et al. Balancing hydropower and biodiversity in the Amazon, Congo, and Mekong. Science 2016, 351, 2. [Google Scholar] [CrossRef]
- Sabo, J.L.; Ruhi, A.; Holtgrieve, G.W.; Elliott, V.; Arias, M.E.; Ngor, P.B.; Rasanen, T.A.; Nam, S. Designing river flows to improve food security futures in the Lower Mekong Basin. Science 2017, 358, 11. [Google Scholar] [CrossRef]
- Ziv, G.; Baran, E.; Nam, S.; Rodriguez-Iturbe, I.; Levin, S.A. Trading-Off Fish Biodiversity, Food Security, and Hydropower in the Mekong River Basin. Proc. Natl. Acad. Sci. USA 2012, 109, 5609–5614. [Google Scholar] [CrossRef]
- Yoshida, Y.; Lee, H.S.; Trung, B.H.; Tran, H.-D.; Lall, M.K.; Kakar, K.; Xuan, T.D. Impacts of Mainstream Hydropower Dams on Fisheries and Agriculture in Lower Mekong Basin. Sustainability 2020, 12, 2408. [Google Scholar] [CrossRef]
- Campbell, I.; Barlow, C. Hydropower Development and the Loss of Fisheries in the Mekong River Basin. Front. Environ. Sci. 2020, 8, V001T10A009. [Google Scholar] [CrossRef]
- Dugan, P.J.; Barlow, C.; Agostinho, A.A.; Baran, E.; Cada, G.F.; Chen, D.; Cowx, I.; Ferguson, J.W.; Jutagate, T.; Mallen-Cooper, M.; et al. Fish Migration, Dams, and Loss of Ecosystem Services in the Mekong Basin. AMBIO 2010, 39, 344–348. [Google Scholar] [CrossRef] [PubMed]
- Hecht, J.S.; Lacombe, G.; Arias, M.E.; Duc Dang, T.; Piman, T. Hydropower dams of the Mekong River basin: A review of their hydrological impacts. J. Hydrol. 2018, 568, 285–300. [Google Scholar] [CrossRef]
- Kondolf, G.M.; Rubin, Z.K.; Minear, J.T. Dams on the Mekong: Cumulative sediment starvation. Water Resour. Res. 2014, 50, 5158–5169. [Google Scholar] [CrossRef]
- Brown, L.R.; Bauer, M.L. Effects of hydrologic infrastructure on flow regimes of California’s Central Valley rivers: Implications for fish populations. River Res. Appl. 2009, 26, 751–765. [Google Scholar] [CrossRef]
- Orr, S.; Pittock, J.; Chapagain, A.; Dumaresq, D. Dams on the Mekong River: Lost Fish Protein and the Implications for Land and Water Resources. Glob. Environ. Chang. 2012, 22, 925–932. [Google Scholar] [CrossRef]
- United States Agency for International Development. Wonders of the Mekong: A Foundation for Sustainable Development and Resilience. Available online: https://2012-2017.usaid.gov/cambodia/fact-sheets/wonders-mekong (accessed on 10 April 2023).
- Mekong River Commission. Piloting a Joint Environmental Monitoring Programme on Two Mekong Mainstream Dams ‘Don Sahong Hydropower Project and Xayaburi Hydropower Project’: An Inception Report; Mekong River Commission: Vientiane, Laos, 2020; p. 164. [Google Scholar]
- Millward, A. Record-Breaking Ray Confirmed as World’s Largest Freshwater Fish. Guiness World Records. Available online: https://www.guinnessworldrecords.com/news/2022/6/record-breaking-ray-confirmed-as-worlds-largest-freshwater-fish-708416 (accessed on 20 April 2023).
- Campbell, T.; Pin, K.; Ngor, P.; Hogan, Z. Conserving Mekong Megafishes: Current Status and Critical Threats in Cambodia. Water 2020, 12, 1820. [Google Scholar] [CrossRef]
- He, F.; Zarfl, C.; Bremerich, V.; David, J.N.W.; Hogan, Z.; Kalinkat, G.; Tockner, K.; Jahnig, S.C. The global decline of freshwater megafauna. Glob. Chang. Biol. 2019, 25, 3883–3892. [Google Scholar] [CrossRef]
- Allan, J.D.; Abell, R.; Hogan, Z.; Revenga, C.; Taylor, B.W.; Welcomme, R.L.; Winemiller, K. Overfishing of inland waters. BioScience 2005, 55, 1041–1051. [Google Scholar] [CrossRef]
- Ngor, P.B.; McCann, K.S.; Grenouillet, G.; So, N.; McMeans, B.C.; Fraser, E.; Lek, S. Evidence of indiscriminate fishing effects in one of the world’s largest inland fisheries. Sci. Rep. 2018, 8, 8947. [Google Scholar] [CrossRef]
- Mekong River Commission. Transboundary Fisheries Management Issues in the Mekong and Sekong Rivers; Mekong River Commission: Vientiane, Laos, 2017; p. 48. [Google Scholar]
- Ferguson, J.W.; Healey, M.; Dugan, P.; Barlow, C. Potential Effects of Dams on Migratory Fish in the Mekong River: Lessons from Salmon in the Fraser and Columbia Rivers. Environ. Manag. 2011, 47, 141–159. [Google Scholar] [CrossRef]
- Soukhaphon, A.; Baird, I.G.; Hogan, Z.S. The Impacts of Hydropower Dams in the Mekong River Basin: A Review. Water 2021, 13, 265. [Google Scholar] [CrossRef]
- Paragamian, V.L. Kootenai River white sturgeon: Synthesis of two decades of research. Endanger. Species Res. 2012, 17, 157–167. [Google Scholar] [CrossRef]
- Zhang, H.; Jaric, I.; Roberts, D.L.; He, Y.; Du, H.; Wu, J.; Wang, C.; Wei, Q. Extinction of one of the world’s largest freshwater fishes: Lessons for conserving the endangered Yangtze fauna. Sci. Total Environ. 2020, 710, 136242. [Google Scholar] [CrossRef]
- Compagno, L.; Cook, S. Giant Freshwater Stingray or Whipray Himantura chaophraya Monkolprasit & Roberts, 1990. In Sharks, Rays and Chimaeras: The Status of the Chondrichthyan Fishes; International Union for Conservation of Nature and Natural Resources: Fontainebleau, France, 2005; pp. 348–349. [Google Scholar]
- Grill, G.; Lehner, B.; Thieme, M.; Geenen, B.; Tickner, D.; Antonelli, F.; Babu, S.; Borrelli, P.; Cheng, L.; Crochetiere, H.; et al. Mapping the world’s free-flowing rivers. Nature 2019, 569, 215–221. [Google Scholar] [CrossRef]
- Grant, I.; Rigby, C.L.; Bin Ali, A.; Fahmi; Haque, A.B.; Hasan, V.; Sayer, C. Urogymnus polylepis. The IUCN Red List of Threatened Species 2021: e.T195320A104294071. Available online: https://www.iucnredlist.org/species/195320/104294071 (accessed on 11 February 2023).
- Crossin, G.T.; Heupel, M.R.; Holbrook, C.M.; Hussey, N.E.; Lowerre-Barbieri, S.K.; Nguyen, V.M.; Raby, G.D.; Cooke, S.J. Acoustic telemetry and fisheries management. Ecol. Appl. 2017, 27, 19. [Google Scholar] [CrossRef] [PubMed]
- Taylor, M.D.; Babcock, R.C.; Simpfendorfer, C.A.; Crook, D.A. Where technology meets ecology: Acoustic telemetry in contemporary Australian aquatic research and management. Mar. Freshw. Res. 2017, 68, 1397–1402. [Google Scholar] [CrossRef]
- Lees, K.J.; MacNeil, M.A.; Hedges, K.J.; Hussey, N.E. Estimating demographic parameters for fisheries management using acoustic telemetry. Rev. Fish Biol. Fish. 2021, 31, 25–51. [Google Scholar] [CrossRef]
- Fawthrop, T. Cambodia Seeks UNESCO World Heritage Status to Protect a Mekong Biodiversity Hotspot. Available online: https://thediplomat.com/2022/12/cambodia-seeks-unesco-world-heritage-status-to-protect-a-mekong-biodiversity-hotspot/ (accessed on 17 March 2023).
- Kheng, L. Conservation Success of Prek Toal Core Area; Tonle Sap Biosphere Reserve: Phnom Penh, Cambodia, 2016. [Google Scholar]
- Zakharenka, A.; Sharma, K.; Kochorov, C.; Rutherford, B.; Varma, K.; Seth, A.; Kushlin, A.; Lumpkin, S.; Seidensticker, J.; Laporte, B. The Global Snow Leopard and Ecosystem Protection Program. In Snow Leopards; Elsevier: Amsterdam, The Netherlands, 2016; pp. 559–573. [Google Scholar]
- United Nations Environment Programme. Convention on the Conservation of Migratory Species of Wild Animals. J. Int. Wildl. Law Policy 2010, 13, 91–94. [Google Scholar] [CrossRef]



Disclaimer/Publisher’s Note: The statements, opinions and data contained in all publications are solely those of the individual author(s) and contributor(s) and not of MDPI and/or the editor(s). MDPI and/or the editor(s) disclaim responsibility for any injury to people or property resulting from any ideas, methods, instructions or products referred to in the content. |
© 2023 by the authors. Licensee MDPI, Basel, Switzerland. This article is an open access article distributed under the terms and conditions of the Creative Commons Attribution (CC BY) license (https://creativecommons.org/licenses/by/4.0/).
Share and Cite
Lee, D.; Eschenroeder, J.C.; Baumgartner, L.J.; Chan, B.; Chandra, S.; Chea, S.; Chea, S.; Chhut, C.; Everest, E.; Hom, R.; et al. World Heritage, Hydropower, and Earth’s Largest Freshwater Fish. Water 2023, 15, 1936. https://doi.org/10.3390/w15101936
Lee D, Eschenroeder JC, Baumgartner LJ, Chan B, Chandra S, Chea S, Chea S, Chhut C, Everest E, Hom R, et al. World Heritage, Hydropower, and Earth’s Largest Freshwater Fish. Water. 2023; 15(10):1936. https://doi.org/10.3390/w15101936
Chicago/Turabian StyleLee, Dana, Jackman C. Eschenroeder, Lee J. Baumgartner, Bunyeth Chan, Sudeep Chandra, Seila Chea, Sothearoth Chea, Chheana Chhut, Elizabeth Everest, Radong Hom, and et al. 2023. "World Heritage, Hydropower, and Earth’s Largest Freshwater Fish" Water 15, no. 10: 1936. https://doi.org/10.3390/w15101936
APA StyleLee, D., Eschenroeder, J. C., Baumgartner, L. J., Chan, B., Chandra, S., Chea, S., Chea, S., Chhut, C., Everest, E., Hom, R., Heng, K., Lovgren, S., Ounboundisane, S., Robinson, W., Seat, L., Soth, S., & Hogan, Z. S. (2023). World Heritage, Hydropower, and Earth’s Largest Freshwater Fish. Water, 15(10), 1936. https://doi.org/10.3390/w15101936

