Water-Use Strategies and Habitat Adaptation of Four Tree Species in Karstic Climax Forest in Maolan
Abstract
1. Introduction
2. Materials and Methods
2.1. Overview of Study Area and Selection of Tree Species
2.2. Sample Collection of Stable Hydrogen and Oxygen Isotope
2.2.1. Plant Sampling
2.2.2. Soil Sampling
2.2.3. Water Sampling
2.3. Stable Hydrogen and Oxygen Isotope Measurement
2.3.1. Sample Analysis
2.3.2. LC-Excess Calculation for Various Water Bodies
2.3.3. Measurement of Proportion of Plant Water Sources
2.4. Data Collection and Analysis
3. Results
3.1. Atmospheric Precipitation and Seasonal Variation in Isotopic Composition in Precipitation
3.2. Seasonal Variation in Soil Temperature, Soil Humidity and Isotopic Compositions
3.3. LC-Excess Distribution Characteristics in Different Water Bodies by Season
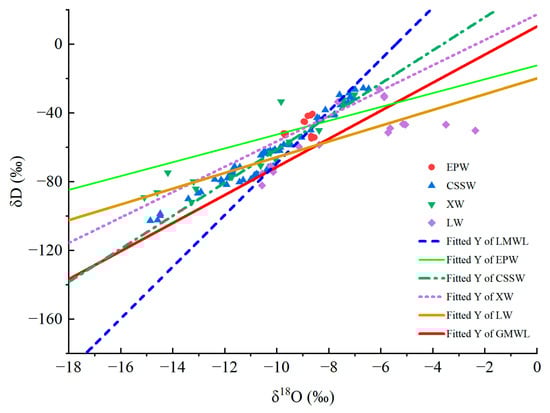
3.4. Plant Hydrogen and Oxygen Isotope Response to Precipitation
3.5. Relation between Tree Stem Isotopic Compositions and Potential Water Sources
3.6. Water Sources for Plant Use and Their Contributions
4. Discussion
4.1. Characteristics of Isotopic Variation
4.2. Characteristics of LC-Excess Value Variation
4.3. Water-Use Sources and Strategies of Plants in Karstic Areas
5. Conclusions
Author Contributions
Funding
Data Availability Statement
Acknowledgments
Conflicts of Interest
Abbreviations
| SL | Symplocos lancifolia |
| CG | Cyclobalanopsis glauca |
| CS | Celtis sinensis |
| KS | Kalopanax septemlobus |
| AP | atmospheric precipitation |
| EPW | epikarstic water |
| SW | soil water |
| ST | soil temperature |
| SD | soil depth |
| XW | xylem water |
| LW | leaf water |
| CSSW | community sample site soil water |
| CSSTW | community sample site top soil water |
| CSSSW | community sample site sub-soil water |
| RTSSL | rhizosphere top soil of Symplocos lancifolia |
| RTSCG | rhizosphere top soil of Cyclobalanopsis glauca |
| RTSCS | rhizosphere top soil of Celtis sinensis |
| RTSKS | Rhizosphere Top soil of Kalopanax septemlobus |
| RSSSL | rhizosphere sub-soil of Symplocos lancifolia |
| RSSCG | rhizosphere sub-soil of Cyclobalanopsis glauca |
| RSSCS | rhizosphere sub-soil of Celtis sinensis |
| RSSKS | rhizosphere sub-soil of Kalopanax septemlobus |
| ETST | evergreen tree species top soil |
| ETSS | evergreen tree species sub-soil |
| DTST | deciduous tree species top soil |
| DTSS | deciduous tree species sub-soil |
| SWSI | soil water stable isotope compositions |
| SWC | soil water content |
References
- Shi, H.; Liu, S.R.; Zhao, X.G. Application of stable hydrogen and oxygen isotope in water circulation. J. Soil Water Conserv. 2003, 17, 163–166. [Google Scholar]
- Duan, D.Y.; Ouyang, H. Application of stable hydrogen and oxygen isotope in analyzing plant water use sources. Ecol. Environ. 2007, 16, 655–660. [Google Scholar]
- Nie, Y.P.; Cheng, H.S.; Wang, K.L.; Susanne, S. Challenges and probable solutions for using stable isotope techniques to identify plant water sources in karst regions: A review. Chin. J. Appl. Ecol. 2017, 28, 2361–2368. [Google Scholar]
- Miguez-Macho, G.; Fan, Y. Spatiotemporal origin of soil water taken up by vegetation. Nature 2021, 598, 624–628. [Google Scholar] [CrossRef]
- Yu, J.J.; Li, Y.F. Uncertainties in the usage of stable hydrogen and oxygen isotopes for the quantification of plant water sources. Acta Ecol. Sin. 2018, 38, 7942–7949. [Google Scholar]
- Yang, K.Y.; Jia, Z.Q.; Li, Q.X.; Feng, L.L.; He, L.X.Z. Research progress in plant water use strategy and its threshold. World For. Res. 2017, 30, 13–18. [Google Scholar]
- Sprenger, M.; Tetzlaff, D.; Tunaley, C.; Dick, J.; Soulsby, C. Evaporation fractionation in a peatland drainage network affects stream water isotope composition. Water Resour. Res. 2017, 53, 851–866. [Google Scholar] [CrossRef]
- Liu, L.; Jia, G.D.; Yu, X.X.; Zhang, Y.E. Daily variations of δ~(18)O and its quantitative distinction in evapotranspiration components of Platycladus orientalis plantation during the rapid growth season in the mountainous area of Beijing. J. Beijing For. Univ. 2017, 39, 61–70. [Google Scholar]
- Zhang, G.L.; Jiao, Y.M.; He, L.P.; Liu, X.; Liu, C.J.; Yan, X.J.; Wang, M. Hydrogen and oxygen isotopes in precipitation in Southwest China:progress and prospects. J. Glaciol. Geocryol. 2015, 37, 1094–1103. [Google Scholar]
- Liu, Z.Q.; Yu, X.X.; Lou, Y.H.; Jia, J.B.; Jia, G.D.; Lu, W.W. Water use strategy of Quercus variabilis in Beijing mountainous area. J. Beijing For. Univ. 2016, 38, 40–47. [Google Scholar]
- Li, X.S.; Jia, D.B.; Qian, L.J.; Feng, Y. Water use strategy of poplar (Populus alba) in different growing seasons based on isotopic analysis. Chin. J. Ecol. 2018, 37, 840–846. [Google Scholar]
- Wang, X.; Jia, G.D.; Deng, W.P.; Liu, Z.Q.; Liu, Z.H.; Qiu, G.F.; Li, W.L. Long-term water use characteristics and patterns of typical tree species in seasonal drought regions. Chin. J. Appl. Ecol. 2021, 32, 1943–1950. [Google Scholar]
- Feng, Y.; Jia, D.B.; Li, X.S.; Zhang, Y.Q. Study on water sources of poplar in arid and semiarid regions based on stable isotopes. Water Sav. Irrig. 2019, 4, 27–31. [Google Scholar]
- Du, X.L.; Wang, S.J.; Luo, X.Q. Characteristics of water sources of common plant species in various microhabitats in karst rocky desertification area in central Guizhou Province. Resour. Environ. Yangtze Basin 2015, 24, 1168–1176. [Google Scholar]
- Cheng, L.P.; Liu, W.Z. Characteristics of stable isotopes in soil water under several typical land use patterns on Loess Tableland. Chin. J. Appl. Ecol. 2012, 23, 651–658. [Google Scholar]
- Zhu, X.Q.; Fan, T.; Guan, W.; Qin, N. Soil-water utilization levels in a Cyclobalanopsis glaucoides virgin forest on the Central Yunnan Karst Plateau. J. Zhejiang A F Univ. 2014, 31, 690–696. [Google Scholar]
- Wang, R.; Zhang, X.P.; Dai, J.J. Variation in water uptake sources of typical plants in subtropical area based on stable isotope measurements. J. Soil Water Conserv. 2020, 166, 205–212. [Google Scholar]
- Rong, L.; Wang, S.J.; Yu, G.S.; Deng, X.Q.; Ran, J.C. Stable isotope analysis of water wources of four woody species in the Libo karst forest. Sci. Silvae Sin. 2012, 48, 14–22. [Google Scholar]
- Yang, R.; Yu, L.F.; An, M.T. Analysis on microhabitat characteristic in karst region—Taking Maolan nature reserve as an example. Guizhou Agric. Sci. 2008, 36, 168–169. [Google Scholar]
- Long, J.; Wu, Q.S.; Li, J.; Liao, H.K.; Liu, L.F.; Huang, B.C.; Zhang, J.M. Effects of different microhabitat types on rock dissolution in Maolan karst forest, Southwest China. Acta Pedologica Sinica 2021, 58, 151–161. [Google Scholar]
- Li, H.X.; Zhou, H.Y.; Wei, X.H.; Lu, N.; Liang, Z.X. Variations in sap flow of Zenia insignis under different rock bareness rate in North Guangdong, China. J. Mt. Sci.-Engl. 2019, 16, 2320–2334. [Google Scholar] [CrossRef]
- Smith, D.M.; Jarvis, P.G. Physiological and environmental control of transpiration by trees in windbreaks. For. Ecol. Manag. 1998, 105, 159–173. [Google Scholar] [CrossRef]
- Zhang, Z.F.; You, Y.M.; Huang, Y.Q.; Li, X.C.; Zhang, J.C.; Zhang, D.N.; He, C.X. Effects of drought stress on Cyclobalanopsis glauca seedlings under simulating karst environment condition. Acta Ecol. Sin. 2012, 32, 6318–6325. [Google Scholar] [CrossRef]
- Zhang, Y.Q.; Zhang, Z.C.; Chen, X.; Wang, G.; Cheng, Q.B.; Liu, H.; Peng, T. Spatiotemporal features of deuterium and oxygen-18 in karst water and its relation to hydrological regime in the karst catchment of Southwest China—A case study of Houzhai catchment. Earth Environ. 2022, 50, 1–9. [Google Scholar]
- Hu, K.; Chen, H.; Nie, Y.P.; Yang, J.; Wang, K.L. Characteristics of seasonal variation of deuterium and oxygen-18 isotope composition of precipitation in karst peak-cluster depression area, northwest Guangxi of China. Trans. Chin. Soc. Agric. Eng. 2013, 29, 53–62. [Google Scholar]
- Zou, Q.Y.; Chen, H.S.; Ma, X.Y.; Nie, Y.P. Water source identification for plants growing on karst rock outcrops based on rainfall-exclusion experiment. J. Appl. Ecol. 2019, 30, 759–767. [Google Scholar]
- Mou, Y.; Fan, T.; Hu, H.H. Stable isotope analysis of soil water sources and migrations under different microhabitats in karst forest-lake basin of southeast Yunnan Province. J. Fujian Agric. For. Univ. 2020, 49, 540–549. [Google Scholar]
- Hu, H.H.; Chen, J.H.; Mou, Y.; Fang, W.; Kuang, Y.Y.; Fan, T. Differences of water use strategies of Pinus yunnanensis in different rescovery modes in karst mountainous in Southeast Yunnan. J. Northwest For. Univ. 2021, 36, 37–44. [Google Scholar]
- Liu, W.; Wang, S.J.; Luo, W.J. The response of epikarst spring to precipitation and its implications in karst peak-cluster region of Libo County, Guizhou Province, China. Geochimica 2011, 40, 487–496. [Google Scholar]
- Yu, L.F.; Zhu, S.Q.; Ye, J.Z.; Wei, L.M.; Chen, Z.R. Dynamics of a degraded karst forest in the process of natural restoration. Sci. Silvae Sin. 2002, 38, 1–7. [Google Scholar]
- Yuan, C.J.; Ding, F.J.; Liu, Y.H. Effects of weather conditions on sap flow of dominant tree species Acer wangchii in Karst forest. Jiangsu Agric. Sci. 2018, 46, 118–122. [Google Scholar]
- Dai, J.J.; Zhang, X.P.; Luo, Z.D.; Wang, R.; Liu, F.J.; He, X.G. Variation of stable isotopes in soil water under Cinnamomum camphora woods in Changsha and its influencing factors. Acta Pedol. Sin. 2020, 57, 1514–1525. [Google Scholar]
- Phillips, D.L.; Gregg, J.W. Source partitioning using stable isotopes: Coping with too many sources. Oecologia 2003, 136, 261–269. [Google Scholar] [CrossRef] [PubMed]
- Gong, G.L.; Chen, H.; Duan, D.Y. Comparison of the methods using stable hydrogen and oxygen isotope to distinguish the water source of Nitraria Tangutorum. Acta Ecol. Sin. 2011, 31, 7533–7541. [Google Scholar]
- Han, L.; Han, Y.G.; Huang, X.Y.; Gao, Y.; Sun, Z.J. Hydrogen and oxygen stable isotope tracer plant water source and water use strategy in arid region. J. Anhui Agric. Univ. 2020, 47, 435–441. [Google Scholar]
- Luo, L.; Yu, W.S.; Wan, S.M.; Zhou, P. Advances in the study of stable isotope composition of leaf water in plants. Acta Ecol. Sin. 2013, 33, 1031–1041. [Google Scholar] [CrossRef]
- Xu, Q.; Wang, T.; Gao, D.Q. Application of carbon, hydrogen and oxygen stable isotope on hydrologic cycle of grassland ecosystem. For. Res. 2019, 32, 130–136. [Google Scholar]
- Zhao, M.; Hu, Y.D.; Zeng, C.; Liu, Z.H.; Yang, R.; Chen, B. Effects of land cover on variations in stable hydrogen and oxygen isotopes in karst groundwater: A comparative study of three karst catchments in Guizhou Province, Southwest China. J. Hydrol. 2018, 565, 374–385. [Google Scholar] [CrossRef]
- Zhang, Z.C.; Chen, X.; Chen, Q.B.; Li, S.L.; Yue, F.J.; Peng, T.; Waldron, S.; Oliver, D.M.; Soulsby, C. Coupled hydrological and biogeochemical modelling of nitrogen transport in the karst critical zone. Sci. Total Environ. 2020, 732, 138902. [Google Scholar] [CrossRef]
- Ding, Y.L.; Nie, Y.P.; Chen, H.S.; Wang, K.L.; Querejeta, J.I. Water uptake depth is coordinated with leaf water potential, water-use efficiency and drought vulnerability in karst vegetation. New Phytol. 2020, 229, 1339–1353. [Google Scholar] [CrossRef]
- Liu, Q.; Wang, T.; Liu, C. Characterizing the spatiotemporal dynamics of soil water stable isotopes on a karst hillslope in southwestern China. J. Hydrol. 2021, 610, 127964. [Google Scholar] [CrossRef]
- Zhang, T.; Li, J.H.; Pu, J.B.; Huo, W.J.; Wang, S.N. Spatiotemporal variations of soil water stable isotopes in a small karst sinkhole basin. Environ. Earth Sci. 2021, 80, 29. [Google Scholar] [CrossRef]
- Craig, H. Isotopic variations in meteoric waters. Science 1961, 133, 1702–1703. [Google Scholar] [CrossRef] [PubMed]
- Landwehr, J.M.; Coplen, T.B. Line-conditioned excess: A new method for characterizing stable hydrogen and oxygen isotope ratios in hydrologic systems. In Isotopes in Environmental Studies; IAEA: Vienna, Austria, 2004. [Google Scholar]
- Sprenger, M.; Leistert, H.; Gimbel, K.; Weiler, M. Illuminating hydrological processes at the soil-vegetation-atmosphere interface with water stable isotopes. Rev. Geophys. 2016, 54, 674–704. [Google Scholar]
- McCutcheon, R.J.; McNamara, J.P.; Kohn, M.J.; Evans, S.L. An evaluation of the ecohydrological separation hypothesis in a semiarid catchment. Hydrol. Process. 2016, 31, 783–799. [Google Scholar] [CrossRef]
- Xiang, W.; Si, B.C.; Li, M.; Lu, Y.W.; Yl, A.; Zhao, M.H.; Feng, H. Stable isotopes of deep soil water retain long-term evaporation loss on China’s loess plateau. Sci. Total Environ. 2021, 784, 147153. [Google Scholar] [CrossRef] [PubMed]
- Liu, W.; Wang, S.J.; Luo, W.J.; Rong, L. Comparative research on soil water movement between karst and non-karst plots in Libo county of Guizhou province, China. Earth Environ. 2011, 39, 137–149. [Google Scholar]
- Allison, G.B.; Gat, J.R.; Leaney, F.W.J. The relationship between deuterium and oxygen-18 delta values in leaf water. Chem. Geol. 1985, 58, 145–156. [Google Scholar] [CrossRef]
- Wang, Y.P.; Liu, W.J.; Li, P.J.; Li, J.T. Advances in studies on plant water use strategy. Guihaia 2010, 30, 82–88. [Google Scholar]
- Looker, N.; Martin, J.; Hoylman, Z.; Jencso, K.; Hu, J. Diurnal and seasonal coupling of conifer sap flow and vapor pressure deficit across topoclimatic gradients in a subalpine catchment. Ecohydrology 2018, 11, e1994. [Google Scholar] [CrossRef]
- Casa, J.D.L.; Barbeta, A.; Rodríguez-Ua, A.; Wingate, L.; Ogée, J.; Gimeno, T.E. Revealing a significant isotopic offset between plant water and its sources using a global meta-analysis. Copernic. GmbH 2021, 1–31. [Google Scholar] [CrossRef]
- Fu, Y.H.; Yu, L.F.; Huang, Z.S.; Li, H.X.; Hou, D.H. Study on root habitat and typesin typical karst rocky desertification areas. Sci. Soil Water Conserv. 2012, 10, 66–72. [Google Scholar]
- Liu, H.; Gleason, S.M.; Hao, G.; Hua, L.; He, P.; Goldstein, G.; Ye, Q. Hydraulic traits are coordinated with maximum plant height at the global scale. Sci. Adv. 2019, 5, v1332. [Google Scholar] [CrossRef] [PubMed]
- Huang, T.L.; Tang, L.X.; Chen, L.; Zhang, Q.Y. Root architecture and ecological adaptation strategy of three shrubs in karst area. Sci. Soil Water Conserv. 2019, 17, 89–94. [Google Scholar]
- Zhang, X.; Yang, Z.; Zhang, J.P. Lithologic types on hill slopes and revegetation zoning in the Yuanmou hot and dry valley. Sci. Silvae Sin. 2003, 39, 16–22. [Google Scholar]
- Wen, X.F.; Zhang, S.C.; Sun, X.M. Recent advances in H218O enrichment in leaf water. J. Plant Ecol. 2008, 32, 961–966. [Google Scholar]
- Fu, S.L.; Liu, S.Q. Drought relief characters of several species on limestone area. J. Soil Water Conserv. 2001, 2001, 89–90. [Google Scholar]
- Schwendenmann, L.; Pendall, E.; Sanchez-Bragado, R.; Kunert, N.; Hölscher, D. Tree water uptake in a tropical plantation varying in tree diversity: Interspecific differences, seasonal shifts and complementarity. Ecohydrology 2015, 8, 1–12. [Google Scholar] [CrossRef]
- Fan, T.; Wang, Y.H.; Guo, L.J.; Li, J. Stable isotope analysis of water uptake sources of secondary forests in the central Yunnan karst plateau. Adv. Mater. Res. 2014, 955–959, 3795–3799. [Google Scholar] [CrossRef]
- Penna, D.; Geris, J.; Hopp, L.; Scandellari, F. Water sources for root water uptake: Using stable isotopes of hydrogen and oxygen as a research tool in agricultural and agroforestry systems. Agr. Ecosyst. Environ. 2020, 291, 106790. [Google Scholar] [CrossRef]












| Tree Species (Code) | Life Form | Leaf Life | Leaf Size | Leaf Texture | Tree Height/m | DBH/cm | CW/m2 |
|---|---|---|---|---|---|---|---|
| Cyclobalanopsis glauca (CG) | Big tree | Evergreen | Medium | Leathery | 21.4 ± 0.2 | 22.3 ± 0.3 | 16.2 ± 0.4 |
| Symplocos lancifolia (SL) | Small tree | Evergreen | Small | Filmy | 16.8 ± 0.1 | 18.4 ± 0.2 | 13.6 ± 0.3 |
| Celtis sinensis (CS) | Big tree | Deciduous | Medium | Thick papery | 17.6 ± 0.3 | 17.2 ± 0.4 | 11.3 ± 0.5 |
| Kalopanax septemlobus (KS) | Big tree | Deciduous | Large | Papery | 13.2 ± 0.1 | 15.4 ± 0.2 | 10.4 ± 0.4 |
Disclaimer/Publisher’s Note: The statements, opinions and data contained in all publications are solely those of the individual author(s) and contributor(s) and not of MDPI and/or the editor(s). MDPI and/or the editor(s) disclaim responsibility for any injury to people or property resulting from any ideas, methods, instructions or products referred to in the content. |
© 2023 by the authors. Licensee MDPI, Basel, Switzerland. This article is an open access article distributed under the terms and conditions of the Creative Commons Attribution (CC BY) license (https://creativecommons.org/licenses/by/4.0/).
Share and Cite
Ding, F.; Yuan, C.; Zhou, T.; Cheng, J.; Wu, P.; Ye, Y. Water-Use Strategies and Habitat Adaptation of Four Tree Species in Karstic Climax Forest in Maolan. Water 2023, 15, 203. https://doi.org/10.3390/w15010203
Ding F, Yuan C, Zhou T, Cheng J, Wu P, Ye Y. Water-Use Strategies and Habitat Adaptation of Four Tree Species in Karstic Climax Forest in Maolan. Water. 2023; 15(1):203. https://doi.org/10.3390/w15010203
Chicago/Turabian StyleDing, Fangjun, Congjun Yuan, Ting Zhou, Juan Cheng, Peng Wu, and Yuyan Ye. 2023. "Water-Use Strategies and Habitat Adaptation of Four Tree Species in Karstic Climax Forest in Maolan" Water 15, no. 1: 203. https://doi.org/10.3390/w15010203
APA StyleDing, F., Yuan, C., Zhou, T., Cheng, J., Wu, P., & Ye, Y. (2023). Water-Use Strategies and Habitat Adaptation of Four Tree Species in Karstic Climax Forest in Maolan. Water, 15(1), 203. https://doi.org/10.3390/w15010203

