Optimized Planting Density and Nitrogen Rate Increased Grain Yield and Water-Nitrogen Use Efficiency of Two Maize Cultivars under Mulched Drip Fertigation by Improving Population Photosynthesis and Grain-Filling Characteristics
Abstract
1. Introduction
2. Materials and Methods
2.1. Experimental Site Description
2.2. Experimental Design
2.3. Sampling and Measurements
2.3.1. Meteorological Data
2.3.2. Individual and Population Photosynthetic Rates
2.3.3. Grain-Filling Process and Grain Weight Dynamics
2.3.4. Yield and Its Components
2.3.5. Evapotranspiration, Water Use Efficiency, and Irrigation Water Use Efficiency
2.3.6. Nitrogen Use Efficiency
2.4. Statistical Analysis
3. Results
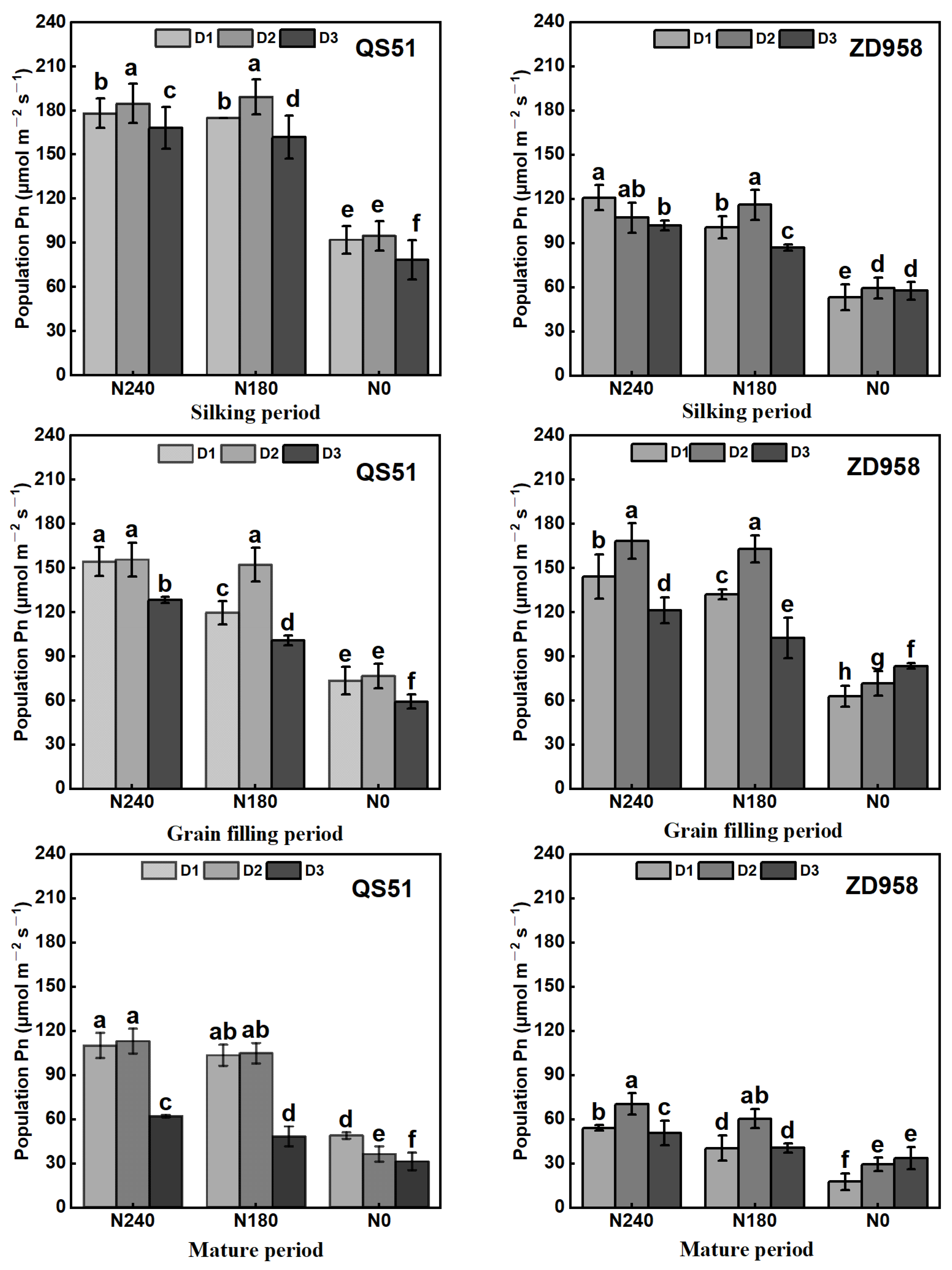
3.1. Individual and Population Photosynthesis Rates
3.2. Grain-Filling Process and Grain Weight Dynamics
3.3. Grain Yield and Its Components
3.4. Water Use Efficiency and Nitrogen Partial Factor Productivity
4. Discussion
4.1. Effects of Planting Density and Nitrogen Rate on Photosynthesis, Grain-Filling Characteristics, and Grain Weight Dynamics
4.2. Effects of Planting Density and Nitrogen Rate on Grain Yield and Its Components
4.3. Effects of Planting Density and Nitrogen Rate on Water-Nitrogen Use Efficiency
5. Conclusions
Author Contributions
Funding
Data Availability Statement
Conflicts of Interest
References
- Cassman, K.G.; Dobermann, A.; Walters, D.T.; Yang, H. Meeting cereal demand while protecting natural resources and improving environmental quality. Annu. Rev. Environ. Resour. 2003, 28, 315–358. [Google Scholar] [CrossRef]
- Cassman, K.G.; Liska, A.J. Food and fuel for all: Realistic or foolish? Biofuels Bioprod. Biorefin. 2007, 1, 18–23. [Google Scholar] [CrossRef]
- Grassini, P.; Thorburn, J.; Burr, C.; Cassman, K.G. High-yield irrigated maize in the Western U. S. corn belt: I. On-farm yield, yield potential, and impact of agronomic practices. Field Crop Res. 2011, 120, 142–150. [Google Scholar] [CrossRef]
- Muhammad, K.; Su, W.; Ahmad, I.; Meng, X.; Cui, W.; Zhang, X.; Mou, S.; Aaqil, K.; Han, Q.; Liu, T. Application of paclobutrazol affect maize grain yield by regulating root morphological and physiological characteristics under a semi-arid region. Sci. Rep. 2018, 8, 4818. [Google Scholar]
- Jiang, Q.; Du, Y.; Tian, X.; Wang, Q.; Xiong, R.; Xu, G.; Yan, C.; Ding, Y. Effect of panicle nitrogen on grain filling characteristics of high-yielding rice cultivars. Eur. J. Agron. 2016, 74, 185–192. [Google Scholar] [CrossRef]
- Okamura, M.; Arai-Sanoh, Y.; Yoshida, H.; Mukouyama, T.; Adachi, S.; Yabe, S.; Nakagawa, H.; Tsutsumi, K.; Taniguchi, Y.; Kobayashi, N.; et al. Characterization of high-yielding rice cultivars with different grain-filling properties to clarify limiting factors for improving grain yield. Field Crops Res. 2018, 2191, 39–147. [Google Scholar] [CrossRef]
- Li, Y.; Pang, H.; Li, H.; Li, Y.; Xue, Y.; Dong, G.; Gao, L.; Wang, X. Effects of deep vertically rotary tillage on grain filling and yield of spring maize in North Huang-Huai-Hai region. Sci. Agric. Sin. 2013, 46, 3055–3064, (In Chinese with English abstract). [Google Scholar]
- Shen, L.; Chao, X. Research on grain filling characteristics of different nitrogen efficiency genotypes of maize. J. Henan Agric. Sci. 2017, 46, 7–12, (In Chinese with English abstract). [Google Scholar]
- Shen, L.; Hunag, Y.; Li, T. Top-grain filling characteristics at an early stage of maize (Zea mays L.) with different nitrogen use efficiencies. J. Integr. Agric. 2017, 16, 626–639. [Google Scholar] [CrossRef]
- Tollenaar, M.; Wu, J. Yield improvement in temperate maize is attributable to greater stress tolerance. Crop Sci. 1999, 39, 1597–1604. [Google Scholar] [CrossRef]
- Tokatlidis, I.S.; Koutroubas, S.D. A review of maize hybrids’ dependence on high plant populations and its implications for crop yield stability. Field Crops Res. 2004, 88, 103–114. [Google Scholar] [CrossRef]
- Liu, G.; Hou, P.; Xie, R.; Ming, B.; Wang, K.; Xu, W.; Liu, W.; Yang, Y.; Li, S. Canopy characteristics of high-yield maize with yield potential of 22.5 Mg ha-1. Field Crops Res. 2017, 213, 221–230. [Google Scholar] [CrossRef]
- Xu, W.J.; Liu, C.W.; Wang, K.R.; Xie, R.Z.; Ming, B.; Wang, Y.H.; Zhang, G.Q.; Liu, G.Z.; Zhao, R.L.; Fan, P.P.; et al. Adjusting maize plant density to different climatic conditions across a large longitudinal distance in China. Field Crops Res. 2017, 212, 126–134. [Google Scholar] [CrossRef]
- Assefa, Y.; Prasad, P.V.V.; Carter, P.; Hinds, M.; Bhalla, G.; Schon, R.; Jeschke, M.; Paszkiewicz, S.; Ciampitti, I.A. Yield responses to planting density for US modern corn hybrids: A synthesis-analysis. Crop Sci. 2016, 56, 2802. [Google Scholar] [CrossRef]
- Assefa, Y.; Carter, P.; Hinds, M.; Bhalla, G.; Schon, R.; Jeschke, M.; Paszkiewicz, S.; Smith, S.; Ciampitti, I.A. Analysis of long-term study indicates both agronomic optimal plant density and increase maize yield per plant contributed to Yield Gain. Sci. Rep. 2018, 8, 4937. [Google Scholar] [CrossRef]
- Jia, Q.M.; Sun, L.F.; Wang, J.J.; Li, J.; Shahzad, A.; Liu, T.N.; Zhang, P.; Lian, Y.H.; Ding, R.X.; Ren, X.L.; et al. Limited irrigation and planting densities for enhanced water productivity and economic returns under the ridge-furrow system in semi-arid regions of China. Field Crops Res. 2018, 221, 207–218. [Google Scholar] [CrossRef]
- Zhou, B.; Sun, X.; Wang, D.; Ding, Z.; Li, C.; Ma, W.; Zhao, M. Integrated agronomic practice increases maize grain yield and nitrogen use efficiency under various soil fertility conditions. Crop J. 2019, 7, 527–538. [Google Scholar] [CrossRef]
- Cheng, M.; Wang, H.; Fan, J.; Zhang, F.; Wang, X. Effects of Soil Water Deficit at Different Growth Stages on Maize Growth, Yield, and Water Use Efficiency under Alternate Partial Root-Zone Irrigation. Water 2021, 13, 148. [Google Scholar] [CrossRef]
- Chen, K.; Kumudini, S.V.; Tollenaar, M.; Vyn, T.J. Plant biomass and nitrogen partitioning changes between silking and maturity in newer versus older maize hybrids. Field Crops Res. 2015, 183, 315–328. [Google Scholar] [CrossRef]
- Le, C.; Zha, Y.; Sun, Y.; Lu, D.; Yin, H. Eutrophication of lake waters in China: Cost, causes, and control. Environ. Manag. 2010, 45, 662–668. [Google Scholar] [CrossRef]
- Aerts, R. Nutrient resorption from senescing leaves of perennials: Are there general patterns? J. Ecol. 1996, 84, 597–608. [Google Scholar] [CrossRef]
- Jongkaewwattana, S.; Geng, S.; Brandon, M.D.; Hill, J.E. Effect of nitrogen and harvest grain moisture on head rice yield. Agron. J. 1993, 85, 1143–1146. [Google Scholar] [CrossRef]
- Hua, L.M.; Squires, V. Managing China’s pastoral lands: Current problems and future prospects. Land Use Policy 2015, 43, 129–137. [Google Scholar] [CrossRef]
- Wang, X.; Zhang, L.; Liu, S.; Cao, Y.; Wei, W.; Liu, C.; Wang, Y.; Bian, S.; Wang, L. Grain filling characteristics of maize hybrids differing in maturities. Sci. Agric. Sin. 2014, 47, 3557–3565, (In Chinese with English abstract). [Google Scholar]
- Zou, H.; Fan, J.; Zhang, F.; Xiang, Y.; Wu, L.; Yan, S. Optimization of drip irrigation and fertilization regimes for high grain yield, crop water productivity and economic benefits of spring maize in Northwest China. Agric. Water Manag. 2020, 230, 105986. [Google Scholar] [CrossRef]
- Lai, Z.; Fan, J.; Yang, R.; Xu, X.; Liu, L.; Li, S.; Zhang, F.; Li, Z. Interactive effects of plant density and nitrogen rate on grain yield, economic benefit, water productivity and nitrogen use efficiency of drip-fertigated maize in northwest China. Agric. Water Manag. 2022, 263, 107453. [Google Scholar] [CrossRef]
- Ren, B.; Dong, S.; Liu, P.; Zhao, B.; Zhang, J. Ridge tillage improves plant growth and grain yield of waterlogged summer maize. Agric. Water Manag. 2016, 177, 392–399. [Google Scholar] [CrossRef]
- Duan, W.; Zhao, H.; Guo, C.; Xiao, K.; Li, Y. Photosynthetic characteristics of summer maize in response to nitrogen dosage. J. Crop Sci. 2007, 6, 949–954, (In Chinese with English abstract). [Google Scholar]
- Chen, S.; Yin, M.; Zheng, X.; Liu, S.; Chu, G.; Xu, C.; Wang, D.; Zhang, X. Effect of dense planting of hybrid rice on grain yield and solar radiation use in Southeastern China. Agron. J. 2019, 111, 1229–1238. [Google Scholar] [CrossRef]
- Wang, H.; Li, J.; Cheng, M.; Zhang, F.; Wang, X.; Fan, J.; Wu, L.; Fang, D.; Zou, H.; Xiang, Y. Optimal drip fertigation management improves yield, quality, water and nitrogen use efficiency of greenhouse cucumber. Sci. Hortic. 2019, 243, 357–3664. [Google Scholar] [CrossRef]
- Shi, J.; Cui, H.; Zhao, B.; Dong, S.; Liu, P.; Zhang, J. Effect of light on yield and characteristics of grain-filling of summer maize from flowering to maturity. Sci. Agric. Sin. 2013, 46, 4427–4434, (In Chinese with English abstract). [Google Scholar]
- Xu, T.; Lyu, T.; Zhao, J.; Wang, R.; Chen, C.; Liu, Y.; Liu, X.; Wang, Y.; Liu, C. Photosynthetic characteristics, dry matter accumulation and translocation, grain filling parameter of three main maize cultivars in production. Acta Agron. Sin. 2018, 44, 414–422, (In Chinese with English abstract). [Google Scholar] [CrossRef]
- Jia, B.; Fu, J. Nitrogen Uptake and Nitrogen Deficit Model of Drip Irrigation Maize in Ningxia Based on Critical Nitrogen Concentration. Trans. Chin. Soc. Agri. Mach. 2020, 51, 256–263, (In Chinese with English abstract). [Google Scholar]
- Sylvesterbradley, R.; Kindred, D.R. Analysing nitrogen responses of cereals to prioritize routes to the improvement of nitrogen use efficiency. J. Exp. Bot. 2009, 60, 1939–1951. [Google Scholar] [CrossRef] [PubMed]
- Yang, J.; Zhang, J.; Wang, Z.; Zhu, Q.; Liu, L. Water deficit–Induced senescence and its relationship to the remobilization of pre-stored carbon in wheat during grain filling. Agron. J. 2001, 93, 196–206. [Google Scholar] [CrossRef]
- Sarula; Yang, H.; Zhang, R.; Li, Y.; Meng, F.; Ma, J. Impact of Drip Irrigation and Nitrogen Fertilization on Soil Microbial Diversity of Spring Maize. Plants 2022, 11, 3206. [Google Scholar] [CrossRef]
- Alves, S.S.; Higino, V.J.; Bispo, D.; Da, S.; Cabral, A.C. Impact of Irrigation Frequency and Planting Density on Bean’s Morpho-Physiological and Productive Traits. Water 2020, 12, 2468. [Google Scholar] [CrossRef]
- Dou, C.Y.; Yu, X.Q.; Yu, J.C. Effects of planting density on plant growth and water consumption of ZhongDi77 maize under controlled irrigation. Agric. Res. Arid Areas 2013, 31, 141–145. [Google Scholar]
- Xu, L.; Yan, Y.; Mei, P.P.; Chen, S.L.; Wang, S.D. Effect of planting density on grain filling characteristics of different maize varieties. Shan East Agri. Sci. 2020, 52, 20–23, (In Chinese with English abstract). [Google Scholar]
- Zhang, P.; Chen, G.; Geng, P.; Gao, Y.; Zheng, L.; Zhang, S.; Wang, P. Effects of high temperature during grain filling period on superior and inferior kernels’ development of different heat sensitive maize cultivars. Sci. Agric. Sin. 2017, 50, 2061–2070, (In Chinese with English abstract). [Google Scholar]
- Guo, Q.; Huang, G.; Guo, Y.; Zhang, M.; Zhou, Y.; Duan, L. Optimizing irrigation and planting density of spring maize under mulch drip irrigation system in the arid region of Northwest China. Field Crops Res. 2021, 266, 108141. [Google Scholar] [CrossRef]
- Ciampitti, I.A.; Vyn, T.J. A comprehensive study of plant density consequences on nitrogen uptake dynamics of maize plants from vegetative to reproductive stages. Field Crops Res. 2011, 121, 2–18. [Google Scholar] [CrossRef]
- Lamptey, S.; Li, L.; Xie, J.; Zhang, R.; Yeboah, S.; Antille, D.L. Photosynthetic response of maize to nitrogen fertilization in the semiarid western loess plateau of China. Crop Sci. 2017, 57, 2739–2752. [Google Scholar] [CrossRef]
- Rudnick, D.R.; Irmak, S.; Djaman., K.; Sharma, V. Impact of irrigation and nitrogen fertilizer rate on soil water trends and maize evapotranspiration during the vegetative and reproductive periods. Agric. Water Manag. 2017, 191, 77–84. [Google Scholar] [CrossRef]
- Wang, Y.; Zhang, X.Y.; Chen, J.; Chen, A.J.; Wang, L.Y.; Guo, X.Y.; Niu, Y.L.; Liu, S.R.; Mi, G.H.; Gao, Q. Reducing basal nitrogen rate to improve maize seedling growth, water and nitrogen use efficiencies under drought stress by optimizing root morphology and distribution. Agric. Water Manag. 2019, 212, 328–337. [Google Scholar] [CrossRef]
- AlKaisi, M.; Yin, X. Effects of nitrogen rate irrigation rate, and plant population on corn yield and water use efficiency. Agron. J. 2003, 95, 1475–1482. [Google Scholar] [CrossRef]
- Peake, A.S.; Huth, N.I.; Kelly, A.M.; Bell, K.L. Variation in water extraction with maize plant density and its impact on model application. Field Crops Res. 2013, 146, 31–37. [Google Scholar] [CrossRef]






| Cultivar | Treatment | tmax (d) | te (d) | GFRmax (g d−1) | AGFR (g d−1) |
|---|---|---|---|---|---|
| QS51 | D1 | 24.5 ± 5.3 a | 44.0 ± 1.8 a | 0.96 ± 0.03 a | 0.81 ± 0.02 a |
| D2 | 22.6 ± 6.3 b | 43.8 ± 2.3 a | 0.94 ± 0.08 b | 0.8 ± 0.07 a | |
| D3 | 20.6 ± 6.6 c | 38.3 ± 0.8 b | 0.89 ± 00.04 c | 0.75 ± 0.03 b | |
| N240 | 26.6 ± 1.8 a | 42.8 ± 3.2 a | 0.97 ± 0.04 a | 0.82 ± 0.04 a | |
| N180 | 25.5 ± 1.9 a | 43.1 ± 4.2 a | 0.94 ± 0.04 b | 0.80 ± 0.04 a | |
| N0 | 15.6 ± 2.8 b | 40.2 ± 2.4 b | 0.88 ± 0.05 c | 0.74 ± 0.04 b | |
| ZD958 | D1 | 22.31 ± 4.76 a | 42.8 ± 1.31 a | 1.09 ± 0.09 a | 0.92 ± 0.08 b |
| D2 | 21.97 ± 4.88 a | 41.15 ± 0.89 b | 1.08 ± 0.15 a | 0.98 ± 0.08 a | |
| D3 | 21.12 ± 5.22 a | 37.81 ± 1.07 c | 0.92 ± 0.06 b | 0.79 ± 0.06 c | |
| N240 | 25.72 ± 1.25 a | 41.4 ± 2.37 a | 1.11 ± 0.16 a | 0.96 ± 0.12 a | |
| N180 | 25.09 ± 0.97 a | 41.36 ± 3.25 a | 1.09 ± 0.11 a | 0.93 ± 0.11 b | |
| N0 | 15.83 ± 0.65 c | 39.46 ± 2.4 a | 0.91 ± 0.07 b | 0.81 ± 0.08 c | |
| ANOVA | D | * | * | ns | ns |
| N | * | * | * | * | |
| C | * | * | * | * | |
| D × N | ns | ns | ns | ns | |
| D × C | ns | ns | ns | ns | |
| C × N | * | ns | ns | ns | |
| D × N × C | ns | ns | ns | ns |
| Treatment | Tmax (d) | Te (d) | GWRmax (kg ha−1 d−1) | AGWRmean (kg d−1 ha−1 d−1) | R2 | ||
|---|---|---|---|---|---|---|---|
| QS51 | D1 | N240 | 27.88 a | 44.67 a | 474.11 c | 316.07 c | 0.998 |
| N180 | 27.86 a | 44.51 a | 483.51 c | 322.34 c | 0.999 | ||
| N0 | 17.9 d | 42.79 b | 343.96 e | 229.31 e | 0.998 | ||
| D2 | N240 | 27.13 ab | 44.93 a | 622.51 a | 415.01 a | 0.998 | |
| N180 | 26.05 b | 44.01 a | 639.44 a | 426.29 a | 0.998 | ||
| N0 | 15.62 e | 41.22 b | 536.21 b | 357.47 b | 0.999 | ||
| D3 | N240 | 24.6 c | 39.98 c | 533.33 b | 355.55 b | 0.997 | |
| N180 | 24.35 d | 38.81 d | 477.91 c | 318.61 c | 0.996 | ||
| N0 | 12.99 f | 36.95 e | 462.01 d | 308.01 d | 0.997 | ||
| ZD958 | D1 | N240 | 26.31 a | 43.7 a | 470.48 e | 313.65 e | 0.997 |
| N180 | 25.86 a | 43.94 a | 505.13 d | 336.75 d | 0.998 | ||
| N0 | 16.46 e | 40.98 c | 396.64 g | 264.43 g | 0.999 | ||
| D2 | N240 | 26.26 a | 41.02 ab | 672.82 a | 448.55 a | 0.998 | |
| N180 | 25.24 ab | 42.67 a | 670.34 a | 446.89 a | 0.998 | ||
| N0 | 16.01 f | 40.33 d | 398.58 g | 265.72 g | 0.997 | ||
| D3 | N240 | 24 c | 38.52 e | 596.35 b | 397.57 b | 0.998 | |
| N180 | 23.23 d | 37.57 f | 546.47 c | 364.31 c | 0.991 | ||
| N0 | 15.04 g | 36.29 g | 408.49 f | 272.33 f | 0.995 | ||
| D | * | * | * | * | |||
| N | * | * | * | * | |||
| C | * | * | * | * | |||
| D × N | ns | ns | ns | ns | |||
| D × C | ns | ns | ns | ns | |||
| C × N | ns | ns | ns | ns | |||
| D × C × N | ns | ns | ns | ns | |||
| Maize Cultivar | Treatment | Ear Length (cm) | 100-Grain Weight (g) | Ear Diameter (mm) | Bare Tip Length (cm) | Ear Number | Grain Number per Ear | Grain Yield (kg ha−1) |
|---|---|---|---|---|---|---|---|---|
| QS51 | D1N240 | 21.96 a | 35.24 cde | 54.74 a | 1.30 e | 39 a | 398 a | 11,207 e |
| D1N180 | 21.01 a | 35.98 bc | 53.86 a | 1.18 d | 38 a | 387 a | 11,136 ef | |
| D1N0 | 19.91 cd | 34.51 cde | 50.56 d | 1.98 b | 34 c | 303 e | 8362 g | |
| D2N240 | 20.50 b | 38.34 abc | 52.27 b | 1.95 b | 36 b | 391 a | 14,195 b | |
| D2N180 | 20.58 b | 38.56 a | 53.15 ab | 1.86 c | 36 b | 370 b | 15,093 a | |
| D2N0 | 18.36 e | 33.85 cd | 48.11 ef | 2.54 ab | 31 e | 336 c | 11,368 f | |
| D3N240 | 19.99 c | 33.74 cde | 51.63 c | 1.92 bc | 34 c | 325 cd | 13,141 c | |
| D3N180 | 19.28 d | 32.60 de | 50.78 d | 1.86 c | 32 d | 324 d | 12,672 d | |
| D3N0 | 18.77 e | 32.41 e | 49.42 e | 2.58 a | 33 cd | 293 f | 11,392 ef | |
| ZD958 | D1N240 | 23.67 a | 44.35 a | 54.01 b | 0.68 d | 37 a | 400 b | 13,235 e |
| D1N180 | 21.51 b | 42.03 d | 53.68 bc | 0.69 d | 36 a | 433 a | 14,560 d | |
| D1N0 | 19.01 c | 34.28 h | 53.13 cd | 0.78 c | 35 b | 359 d | 9847 h | |
| D2N240 | 18.53 cd | 42.85 c | 53.10 cd | 0.64 d | 36 a | 407 b | 17,444 a | |
| D2N180 | 18.02 d | 43.67 b | 58.23 a | 0.67 d | 36 a | 404 b | 17,644 a | |
| D2N0 | 17.79 e | 35.19 g | 53.28 c | 1.08 ab | 35 b | 340 e | 11,977 fg | |
| D3N240 | 17.61 e | 34.01 h | 55.47 b | 0.95 b | 34 c | 393 bc | 16,037 b | |
| D3N180 | 17.01 f | 33.50 i | 54.32 b | 1.05 ab | 34 c | 382 c | 15,400 c | |
| D3N0 | 17.53 ef | 29.43 j | 54.31 b | 1.14 a | 33 d | 303 f | 12,333 f | |
| ANOVA | D | ** | ** | ** | ns | * | ** | ** |
| N | ** | ** | * | * | ns | ** | ** | |
| C | ns | * | ns | * | * | * | * | |
| D × N | * | ns | ** | ns | ns | ** | ** | |
| D × C | * | ns | ns | ns | ns | ** | ** | |
| C × N | ns | * | ns | * | * | * | * | |
| D × N ×C | ns | ns | ns | ns | ns | * | * |
| Planting Density | Nitrogen Rate | ET (mm) | WUE (kg kg−1) | IWUE (kg kg−1) | NPFP (kg kg−1) | ||||
|---|---|---|---|---|---|---|---|---|---|
| QS51 | ZD958 | QS51 | ZD958 | QS51 | ZD958 | QS51 | ZD958 | ||
| D1 | N0 | 343.06 k | 333.79 k | 2.91 cde | 2.51 def | 3.10 i | 2.64 h | / | / |
| N180 | 446.02 gh | 424.23 h | 3.30 b | 2.62 d | 4.59 e | 3.51 d | 81.21 c | 61.64 c | |
| N240 | 465.02 f | 460.79 f | 2.87 ef | 2.43 ef | 4.17 f | 3.53 e | 55.03 f | 46.67 f | |
| D2 | N0 | 451.19 g | 441.15 g | 2.714 f | 2.58 de | 3.78 g | 3.58 fg | / | / |
| N180 | 519.06 b | 494.96 c | 3.42 b | 3.05 a | 5.56 a | 4.76 a | 98.37 a | 83.93 a | |
| N240 | 486.80 e | 472.36 e | 3.64 a | 3.01 ab | 5.50 a | 4.47 a | 73.51 d | 58.91 d | |
| D3 | N0 | 419.19 i | 403.47 i | 2.96 cde | 2.83 c | 3.89 g | 3.59 f | / | / |
| N180 | 513.36 c | 498.01 b | 3.09 cd | 2.54 de | 4.85 c | 4.00 c | 85.92 b | 70.43 b | |
| N240 | 548.97 a | 508.39 a | 3.00 cde | 2.58 de | 5.06 b | 4.14 b | 67.87 e | 54.57 e | |
| ANOVA | D | ** | ** | ** | ** | ** | ** | ** | ** |
| N | ** | ** | ** | ** | * | ** | ** | ** | |
| C | * | ns | * | ns | * | ns | * | ns | |
| D × N | ** | ** | ** | ** | |||||
| D × C | * | * | * | * | |||||
| C × N | * | * | * | * | |||||
| D × N ×C | * | * | * | * | |||||
Disclaimer/Publisher’s Note: The statements, opinions and data contained in all publications are solely those of the individual author(s) and contributor(s) and not of MDPI and/or the editor(s). MDPI and/or the editor(s) disclaim responsibility for any injury to people or property resulting from any ideas, methods, instructions or products referred to in the content. |
© 2022 by the authors. Licensee MDPI, Basel, Switzerland. This article is an open access article distributed under the terms and conditions of the Creative Commons Attribution (CC BY) license (https://creativecommons.org/licenses/by/4.0/).
Share and Cite
Lai, Z.; Kou, H.; Fan, J.; Yang, R.; Xu, X.; Zhang, F.; Li, S. Optimized Planting Density and Nitrogen Rate Increased Grain Yield and Water-Nitrogen Use Efficiency of Two Maize Cultivars under Mulched Drip Fertigation by Improving Population Photosynthesis and Grain-Filling Characteristics. Water 2023, 15, 163. https://doi.org/10.3390/w15010163
Lai Z, Kou H, Fan J, Yang R, Xu X, Zhang F, Li S. Optimized Planting Density and Nitrogen Rate Increased Grain Yield and Water-Nitrogen Use Efficiency of Two Maize Cultivars under Mulched Drip Fertigation by Improving Population Photosynthesis and Grain-Filling Characteristics. Water. 2023; 15(1):163. https://doi.org/10.3390/w15010163
Chicago/Turabian StyleLai, Zhenlin, Hongtai Kou, Junliang Fan, Rui Yang, Xinyu Xu, Fucang Zhang, and Sien Li. 2023. "Optimized Planting Density and Nitrogen Rate Increased Grain Yield and Water-Nitrogen Use Efficiency of Two Maize Cultivars under Mulched Drip Fertigation by Improving Population Photosynthesis and Grain-Filling Characteristics" Water 15, no. 1: 163. https://doi.org/10.3390/w15010163
APA StyleLai, Z., Kou, H., Fan, J., Yang, R., Xu, X., Zhang, F., & Li, S. (2023). Optimized Planting Density and Nitrogen Rate Increased Grain Yield and Water-Nitrogen Use Efficiency of Two Maize Cultivars under Mulched Drip Fertigation by Improving Population Photosynthesis and Grain-Filling Characteristics. Water, 15(1), 163. https://doi.org/10.3390/w15010163

