The Impact of Partial Deforestation on Solute Fluxes and Stream Water Ionic Composition in a Headwater Catchment
Abstract
1. Introduction
- Characterizing the stream water ionic composition before deforestation in the Wüstebach catchment and an adjacent undisturbed control catchment.
- Identifying changes in stream water ionic composition and solute fluxes after deforestation in both catchments.
2. Study Area
2.1. Site Description and Initial Conditions before the Deforestation Experiment
2.2. Deforestation Experiment and Its Effect on the Catchment Hydrology
3. Materials and Methods
3.1. Data Collection
3.2. Data Analysis
4. Results and Discussion
4.1. Ionic Composition of Streams and Groundwater in the Pre-Deforestation Period
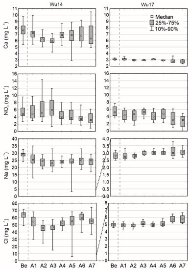
4.2. Changes in the Stream Water and Groundwater Chemistry Due to Deforestation
4.3. Ion Fluxes in the Headwater Catchment after Partial Deforestation
5. Conclusions
Author Contributions
Funding
Data Availability Statement
Acknowledgments
Conflicts of Interest
References
- Spiecker, H. Growth of Norway Spruce (Picea abies [L.] Karst.) under Changing Environmental Conditions in Europe. In Spruce Monocultures in Central Europe—Problems and Prospects; Klimo, E., Hager, H., Kulhavý, J., Eds.; EFI Proceedings No. 33; European Forest Institute: Joensuu, Finland, 2000; pp. 11–26. [Google Scholar]
- Matthes, U.; Ammer, U. Conversion of Norway Spruce (Picea abies L.) Stands into Mixed Stands with Norway Spruce and Beech (Fagus sylvatica L.)—Effects on the Stand Structure in Two Different Test Areas. In Spruce Monocultures in Central Europe—Problems and Prospects; Klimo, E., Hager, H., Kulhavý, J., Eds.; EFI Proceedings No. 33; European Forest Institute: Joensuu, Finland, 2000; pp. 71–79. [Google Scholar]
- European Environment Agency. European Waters—Assessment of Status and Pressures 2018; EEA Report 7; European Environment Agency: Copenhagen, Denmark, 2018; pp. 1–85.
- Keller, H.M. Der Chemismus kleiner Bache in teilweise bewaldeten Einzugsgebieten in der Flyschzone eines Voralpentales. Mitteilgn. Schweizerischen Anstalt forstliche Versuchswesen 1970, 46, 113–155. [Google Scholar]
- Swank, W.T. Stream Chemistry Responses to Disturbance. In Forest Hydrology and Ecology at Coweeta; Swank, W.T., Crossley, D.A., Jr., Eds.; Springer: New York, NY, USA, 1998; pp. 339–358. [Google Scholar]
- Feller, M.C. Forest harvesting and streamwater inorganic chemistry in Western North America: A review. J. Am. Water Resour. Assoc. 2005, 41, 785–811. [Google Scholar] [CrossRef]
- Swank, W.T.; Vose, J.M.; Elliott, K.J. Long-term hydrologic and water quality responses following commercial clearcutting of mixed hardwoods on a southern Appalachian catchment. For. Ecol. Manag. 2001, 143, 163–178. [Google Scholar] [CrossRef]
- Deval, C.; Brooks, E.S.; Gravelle, J.A.; Link, T.E.; Dobre, M.; Elliot, W.J. Long-term response in nutrient load from commercial forest management operations in a mountainous watershed. For. Ecol. Manag. 2021, 494, 119312. [Google Scholar] [CrossRef]
- Zetterberg, T.; Olsson, B.A.; Löfgren, S.; von Brömssen, C.; Brandtberg, P.-O. The effect of harvest intensity on long-term calcium dynamics in soil and soil solution at three coniferous sites in Sweden. For. Ecol. Manag. 2013, 302, 280–294. [Google Scholar] [CrossRef]
- Webster, K.L.; Leach, J.A.; Hazlett, P.W.; Buttle, J.M.; Emilson, E.J.S.; Creed, I.F. Long-term stream chemistry response to harvesting in a northern hardwood forest watershed experiencing environmental change. For. Ecol. Manag. 2022, 519, 120345. [Google Scholar] [CrossRef]
- Futter, M.N.; Ring, E.; Högbom, L.; Entenmann, S.; Bishop, K.H. Consequences of nitrate leaching following stem-only harvesting of Swedish forests are dependent on spatial scale. Environ. Pollut. 2010, 158, 3552–3559. [Google Scholar] [CrossRef]
- Kastendick, D.N.; Zenner, E.K.; Palik, B.J.; Kolka, R.K.; Blinn, C.R. Effects of harvesting on nitrogen and phosphorus availability in riparian management zone soils in Minnesota, USA. Can. J. For. Res. 2012, 42, 1784–1791. [Google Scholar] [CrossRef]
- Reuss, J.O.; Johnson, D.W. Acid Deposition and the Acidification of Soils and Waters; Springer: New York, NY, USA, 1986; pp. 1–115. [Google Scholar]
- Clinton, B.D. Stream water responses to timber harvest: Riparian buffer width effectiveness. For. Ecol. Manag. 2011, 261, 979–988. [Google Scholar] [CrossRef]
- Moldan, F.; Stadmark, J.; Fölster, J.; Jutterström, S.; Futter, M.N.; Cosby, B.J.; Wright, R.F. Consequences of intensive forest harvesting on the recovery of Swedish lakes from acidification and on critical load exceedances. Sci. Total Environ. 2017, 603–604, 562–569. [Google Scholar] [CrossRef]
- Kosmowska, A.; Żelazny, M.; Małek, S.; Stańczyk, T. Impact of deforestation on water chemistry in the western Tatras and Beskid Śląski range in the Polish Carpathians. Acta Sci. Pol. Form. Circumiectus 2018, 18, 89–99. [Google Scholar] [CrossRef]
- Sajdak, M.; Siwek, J.P.; Wasak-Sęk, K.; Kosmowska, A.; Stańczyk, T.; Małek, S.; Żelazny, M.; Woźniak, G.; Jelonkiewicz, Ł.; Żelazny, M. Stream water chemistry changes in response to deforestation of variable origin (case study from the Carpathians, southern Poland). Catena 2021, 202, 105237. [Google Scholar] [CrossRef]
- Montzka, C.; Bayat, B.; Tewes, A.; Mengen, D.; Vereecken, H. Sentinel-2 analysis of spruce crown transparency levels and their environmental drivers after summer drought in the Northern Eifel (Germany). Front. For. Glob. Change 2021, 4, 667151. [Google Scholar] [CrossRef]
- Röös, M.; Mauerhof, J. Nationalpark Eifel: Aktive Waldentwicklung bei Fichte und Douglasie. Natur NRW 2014, 4/14, 11–15. [Google Scholar]
- Zacharias, S.; Bogena, H.; Samaniego, L.; Mauder, M.; Fuß, R.; Pütz, T.; Frenzel, M.; Schwank, M.; Baessler, C.; Butterbach-Bahl, K.; et al. A network of terrestrial environmental observatories in Germany. Vadose Zone J. 2011, 10, 955–973. [Google Scholar] [CrossRef]
- Bogena, H.R.; Bol, R.; Borchard, N.; Brüggemann, N.; Diekkrüger, B.; Drüe, C.; Groh, J.; Gottselig, N.; Huisman, J.A.; Lücke, A.; et al. A terrestrial observatory approach to the integrated investigation of the effects of deforestation on water, energy, and matter fluxes. Sci. China Earth Sci. 2015, 58, 61–75. [Google Scholar] [CrossRef]
- Bogena, H.R.; Montzka, J.A.H.; Graf, A.; Schmidt, M.; Stockinger, M.; von Hebel, C.; Hendricks-Franssen, H.J.; van der Kruk, J.; Tappe, W.; Lücke, A.; et al. The TERENO-Rur hydrological observatory: A multiscale multi-compartment research platform for the advancement of hydrological science. Vadose Zone J. 2018, 17, 1–22. [Google Scholar] [CrossRef]
- Meyer, E. Geologie der Eifel; Schweizerbart: Stuttgart, Germany, 2013; pp. 28–34. [Google Scholar]
- Flehming, W. Mineral composition of pelitic sediments in the Rhenohercynian Zone. In Intracontinental Fold Belts; Martin, H., Eder, F.W., Eds.; Springer: Berlin, Germany, 1983; pp. 257–265. [Google Scholar]
- Borchardt, H. Einfluss periglazialer Deckschichten auf Abflusssteuerung am Beispel des Anthropogen Überprägten Wüstebaches (Nationalpark Eifel). Ph.D. Thesis, RWTH Aachen University, Aachen, Germany, 2012. [Google Scholar]
- Graf, A.; Bogena, H.R.; Drüe, C.; Hardelauf, H.; Pütz, T.; Heinemann, G.; Vereecken, H. Spatiotemporal relations between water budget components and soil water content in a forested tributary catchment. Water Resour. Res. 2014, 50, 4837–4857. [Google Scholar] [CrossRef]
- Bogena, H.R.; Stockinger, M.P.; Lücke, A. Long-term stable water isotope and runoff data for the investigation of deforestation effects on the hydrological system of the Wüstebach catchment, Germany. Hydrol. Process. 2020, 35, e14006. [Google Scholar] [CrossRef]
- Wiekenkamp, I.; Huisman, J.A.; Bogena, H.R.; Graf, A.; Lin, H.S.; Drüe, C.; Vereecken, H. Changes in measured spatiotemporal patterns of hydrological response after partial deforestation in a headwater catchment. J. Hydrol. 2016, 542, 648–661. [Google Scholar] [CrossRef]
- Deckers, J. Feinkartierung eines Fichtenforstes als Basis für ein Langzeitmonitoring. Natur NRW 2010, 4/10, 26–29. [Google Scholar]
- Baatz, R.; Bogena, H.R.; Hendricks Franssen, H.-J.; Huisman, J.A.; Montzka, C.; Vereecken, H. An empirical vegetation correction for soil water content quantification using cosmic ray probes. Water Resour. Res. 2015, 51, 2030–2046. [Google Scholar] [CrossRef]
- Siebers, N.; Kruse, J. Short-term impacts of forest clear-cut on soil structure and consequences for organic matter composition and nutrient speciation: A case study. PLoS ONE 2019, 14, e0220476. [Google Scholar] [CrossRef] [PubMed]
- Ney, P.; Graf, A.; Bogena, H.; Diekkrüger, B.; Drüe, C.; Esser, O.; Heinemann, G.; Klosterhalfen, A.; Pick, K.; Pütz, T.; et al. CO2 fluxes before and after partial deforestation of a Central European spruce forest. Agric. For. Meteorol. 2019, 274, 61–74. [Google Scholar] [CrossRef]
- Wiekenkamp, I.; Huisman, J.A.; Bogena, H.R.; Lin, H.S.; Vereecken, H. Spatial and temporal occurrence of preferential flow in a forested headwater catchment. J. Hydrol. 2016, 534, 139–149. [Google Scholar] [CrossRef]
- Allen, R.G.; Pereira, L.S.; Raes, D.; Smith, M. Crop Evapotranspiration—Guidelines for Computing Crop Water Requirements; FAO Irrigation and drainage paper 56; Food and Agriculture Organization: Rome, Italy, 1998. [Google Scholar]
- Mishra, P.; Singh, U.; Pandey, C.M.; Mishra, P.; Pandey, G. Application of Student’s t-test, Analysis of Variance, and Covariance. Ann. Card. Anaesth. 2019, 22, 407–411. [Google Scholar] [CrossRef] [PubMed]
- Schütt, B. Der Stoffhaushalt der Kall/Nordeifel—Untersuchungen zum Wasserhaushalt, Schwebstoffhaushalt und Haushalt gelöster Stoffe in einem Flußeinzugsgebiet auf silikatischen Gesteinen. Aachen. Geogr. Arb. 1993, 27, 1–357. [Google Scholar]
- Piper, A.M. A graphic procedure in the geochemical interpretation of water analyses. Eos Trans. Am. Geophys. Union 1944, 25, 914–928. [Google Scholar] [CrossRef]
- Hem, J.D. Study and Interpretation of the Chemical Characteristics of Natural Water, 3rd ed.; USGS: Alexandria, VI, USA, 1985; pp. 117–120.
- Armbruster, M.; Abiy, M.; Feger, K.-H. The biogeochemistry of two forested catchments in the Black Forest and the eastern Ore Mountains (Germany). Biogeochemistry 2003, 65, 341–368. [Google Scholar] [CrossRef]
- Ruth, O. The effects of de-icing in Helsinki urban streams, Southern Finland. Water Sci. Technol. 2003, 48, 33–43. [Google Scholar] [CrossRef]
- Kelly, V.R.; Lovett, G.M.; Weathers, K.C.; Findlay, S.E.G.; Strayer, D.L.; Burns, D.J.; Likens, G.E. Long-term sodium chloride retention in a rural watershed: Legacy effects of road salt on streamwater concentration. Environ. Sci. Technol. 2008, 42, 410–415. [Google Scholar] [CrossRef] [PubMed]
- Sucker, C.; von Wilpert, K.; Puhlmann, H. Acidification reversal in low mountain range streams of Germany. Environ. Monit. Assess. 2011, 174, 65–89. [Google Scholar] [CrossRef]
- Tiwari, A.; Rachlin, J.W. A Review of Road Salt Ecological Impacts. Northeast. Nat. 2018, 25, 123–142. [Google Scholar] [CrossRef]
- Ludin, L.; Bergquist, B. Effects on water chemistry after drainage of a bog for forestry. Hydrobiologia 1990, 196, 167–181. [Google Scholar] [CrossRef]
- Piñol, J.; Ávila, A.; Rodà, F. The seasonal variation of streamwater chemistry in three forested Mediterranean catchments. J. Hydrol. 1992, 140, 119–141. [Google Scholar] [CrossRef]
- Caissie, D.; Pollock, T.L.; Cunjak, R.A. Variation in stream water chemistry and hydrograph separation in a small drainage basin. J. Hydrol. 1996, 178, 137–157. [Google Scholar] [CrossRef]
- Siwek, J.P.; Żelazny, M.; Chełmicki, W. Influence of Catchment Characteristics and Flood Type on Relationship Between Streamwater Chemistry and Streamflow: Case Study from Carpathian Foothills in Poland. Water Air Soil Pollut. 2011, 214, 547–563. [Google Scholar] [CrossRef]
- Knapp, J.L.A.; von Freyberg, J.; Studer, B.; Kiewiet, L.; Kirchner, J.W. Concentration–discharge relationships vary among hydrological events, reflecting differences in event characteristics. Hydrol. Earth Syst. Sci. 2020, 24, 2561–2576. [Google Scholar] [CrossRef]
- Edwards, A.M.C. The variation of dissolved constituents with discharge in some Norfolk rivers. J. Hydrol. 1973, 18, 219–242. [Google Scholar] [CrossRef]
- Holloway, J.; Dahlgren, R.A. Seasonal and event-scale variations in solute chemistry for four Sierra Nevada catchments. J. Hydrol. 2001, 250, 106–121. [Google Scholar] [CrossRef]
- Bol, R.; Lücke, A.; Tappe, W.; Kummer, S.; Krause, M.; Weigand, S.; Pütz, T.; Vereecken, H. Spatio-temporal Variations of Dissolved Organic Matter in a German Forested Mountainous Headwater Catchment. Vadose Zone J. 2015, 14, 1–12. [Google Scholar] [CrossRef]
- Reimann, C.; Koller, F.; Frengstad, B.; Kashulina, G.; Niskavaara, H.; Englmaier, P. Comparison of the element composition in several plant species and their substrate from a 1,500,000-km2 area in Northern Europe. Sci. Total Environ. 2001, 278, 87–112. [Google Scholar] [CrossRef] [PubMed]
- Płaczkowska, E.; Wasak-Sęk, K.; Żelazny, M.; Jelonkiewicz, L.; Syvänperä, I.; Paavola, R.; Sippola, K.; Partanen, R.; Leuchner, M. Headwater chemistry in subarctic areas with different plant communities (Finnish Lapland). Episodes 2022. [Google Scholar] [CrossRef]
- Rosén, K.; Aronson, J.A.; Eriksson, H.M. Effects of clear-cutting on streamwater quality in forest catchments in central Sweden. For. Ecol. Manag. 1996, 83, 237–244. [Google Scholar] [CrossRef]
- Bormann, F.H.; Likens, G.E. Pattern and Process in a Forested Ecosystem: Disturbance, Development and the Steady State Based on the Hubbard Brook Ecosystem Study; Springer: New York, NY, USA, 1994; pp. 103–137. [Google Scholar]
- Johnson, D.W.; Turner, J. Nutrient cycling in forests: A historical look and newer developments. For. Ecol. Manag. 2019, 444, 344–373. [Google Scholar] [CrossRef]
- Berg, B.; Erhagen, B.; Johansson, M.-B.; Nilsson, M.; Stendahl, J.; Trum, F.; Vesterdal, L. Manganese in the litter fall-forest floor continuum of boreal and temperate pine and spruce forest ecosystems—A review. For. Ecol. Manag. 2015, 358, 248–260. [Google Scholar] [CrossRef]
- Johnson, P.L.; Swank, W.T. Studies of cation budgets in the southern Appalachians on four experimental watersheds with contrasting vegetation. Ecology 1973, 54, 70–80. [Google Scholar] [CrossRef]
- Vitousek, P.M.; Reiners, W.A. Ecosystem succession and nutrient retention: A hypothesis. BioScience 1975, 25, 376–381. [Google Scholar] [CrossRef]
- Jewett, K.; Daugharty, D.; Krause, H.H.; Arp, P.A. Watershed responses to clear-cutting: Effects on soil solutions and stream water discharge in central New Brunswick. Can. J. Soil Sci. 1995, 75, 475–490. [Google Scholar] [CrossRef]
- Balogh-Brunstad, Z.; Keller, C.K.; Bormann, B.T.; O’Brien, R.; Wang, D.; Hawley, G. Chemical weathering and chemical denudation dynamics through ecosystem development and disturbance. Glob. Biogeochem. Cycles 2008, 22, GB1007. [Google Scholar] [CrossRef]
- Rothe, A.; Huber, C.; Kreutzer, K.; Weis, W. Deposition and soil leaching in stands of Norway spruce and European Beech: Results from the Höglwald research in comparison with other European case studies. Plant Soil 2002, 240, 33–45. [Google Scholar] [CrossRef]
- Robinson, K.-L.; Bogena, H.R.; Cammeraat, E.; Bol, R. Effects of Deforestation on Dissolved Organic Carbon and Nitrate in Catchment Stream Water revealed by Wavelet Analysis. Front. Water 2022, 4, 1003693. [Google Scholar] [CrossRef]
- Houlton, B.Z.; Driscol, C.T.; Fahey, T.J.; Likens, G.E.; Groffman, P.M.; Bernhardt, E.S.; Buso, D.C. Nitrogen Dynamics in Ice Storm Damaged Forest Ecosystems: Implications for Nitrogen Limitation Theory. Ecosystems 2003, 6, 431–443. [Google Scholar] [CrossRef]
- Wang, Q.; Qu, Y.; Robinson, K.; Bogena, H.; Graf, A.; Vereecken, H.; Tietema, A.; Bol, R. Deforestation alters dissolved organic carbon and sulfate dynamics in a mountainous headwater catchment—A wavelet analysis. Front. For. Glob. Change 2022, 5, 1044447. [Google Scholar] [CrossRef]









| Wu14 | Wu17 | |||||||
|---|---|---|---|---|---|---|---|---|
| Characteristics | Min | Average | Max | St.Dev. | Min | Average | Max | St.Dev. |
| Q (L s−1) | 0.42 | 8.98 | 75.34 | 11.92 | 0.00 | 2.63 | 23.45 | 3.85 |
| Tw (°C) | 0.46 | 7.27 | 14.18 | 3.54 | 0.01 | 7.19 | 13.36 | 2.92 |
| pH (-) | 4.10 | 6.28 | 7.83 | 0.76 | 4.00 | 5.89 | 7.25 | 0.62 |
| EC (μS cm−1) | 122.51 | 249.52 | 281.00 | 20.50 | 42.00 | 61.18 | 84.00 | 6.99 |
| Na (mg L−1) | 24.00 | 28.99 | 32.50 | 1.76 | 2.36 | 2.82 | 3.52 | 0.26 |
| Ca (mg L−1) | 5.40 | 7.64 | 9.76 | 0.94 | 2.60 | 3.12 | 4.35 | 0.22 |
| Mg (mg L−1) | 3.47 | 4.46 | 5.04 | 0.37 | 2.25 | 2.63 | 3.57 | 0.23 |
| K (mg L−1) | 0.11 | 0.73 | 3.00 | 0.35 | 0.05 | 0.44 | 1.97 | 0.19 |
| NO3 (mg L−1) | 2.76 | 5.49 | 9.58 | 1.54 | 2.78 | 5.56 | 9.17 | 1.58 |
| SO4 (mg L−1) | 4.65 | 7.58 | 10.90 | 1.64 | 8.75 | 10.94 | 14.80 | 1.20 |
| Cl (mg L−1) | 48.90 | 63.13 | 71.30 | 4.96 | 3.37 | 5.01 | 6.12 | 0.40 |
| Fe (mg L−1) | 0.04 | 0.11 | 0.62 | 0.08 | 0.00 | 0.02 | 0.07 | 0.02 |
| Al (mg L−1) | 0.00 | 0.09 | 0.27 | 0.04 | 0.00 | 0.07 | 0.18 | 0.03 |
| Mn (mg L−1) | 0.04 | 0.11 | 0.33 | 0.04 | 0.00 | 0.01 | 0.07 | 0.02 |
| HCO3 (mg L−1) | 0.01 | 2.13 | 13.51 | 3.41 | 0.04 | 3.51 | 14.76 | 2.49 |
| Lons | Na | Ca | Mg | K | NO3 | SO4 | Cl |
|---|---|---|---|---|---|---|---|
| S_road | 393.00 | 9.94 | 1.44 | 3.06 | 1.00 | 7.00 | 600.00 |
| S_riparian | 5.63 | 0.46 | 0.67 | 0.54 | 1.20 | 2.10 | 9.40 |
| Pfeb | 1.17 | 0.21 | 0.17 | 0.07 | 0.46 | 0.50 | 2.49 |
| Lon | Wu14 | Wu17 |
|---|---|---|
| Na | 5 | 56 |
| Ca | 15 | 38 |
| Mg | 16 | 28 |
| K | 91 | 176 |
| NO3 | 46 | 60 |
| SO4 | 21 | 18 |
| Cl | 4 | 49 |
Disclaimer/Publisher’s Note: The statements, opinions and data contained in all publications are solely those of the individual author(s) and contributor(s) and not of MDPI and/or the editor(s). MDPI and/or the editor(s) disclaim responsibility for any injury to people or property resulting from any ideas, methods, instructions or products referred to in the content. |
© 2022 by the authors. Licensee MDPI, Basel, Switzerland. This article is an open access article distributed under the terms and conditions of the Creative Commons Attribution (CC BY) license (https://creativecommons.org/licenses/by/4.0/).
Share and Cite
Płaczkowska, E.; Mostowik, K.; Bogena, H.R.; Leuchner, M. The Impact of Partial Deforestation on Solute Fluxes and Stream Water Ionic Composition in a Headwater Catchment. Water 2023, 15, 107. https://doi.org/10.3390/w15010107
Płaczkowska E, Mostowik K, Bogena HR, Leuchner M. The Impact of Partial Deforestation on Solute Fluxes and Stream Water Ionic Composition in a Headwater Catchment. Water. 2023; 15(1):107. https://doi.org/10.3390/w15010107
Chicago/Turabian StylePłaczkowska, Eliza, Karolina Mostowik, Heye Reemt Bogena, and Michael Leuchner. 2023. "The Impact of Partial Deforestation on Solute Fluxes and Stream Water Ionic Composition in a Headwater Catchment" Water 15, no. 1: 107. https://doi.org/10.3390/w15010107
APA StylePłaczkowska, E., Mostowik, K., Bogena, H. R., & Leuchner, M. (2023). The Impact of Partial Deforestation on Solute Fluxes and Stream Water Ionic Composition in a Headwater Catchment. Water, 15(1), 107. https://doi.org/10.3390/w15010107

