Evaluation of the Groundwater and Irrigation Quality in the Zhuoshui River Alluvial Fan between Wet and Dry Seasons
Abstract
:1. Introduction
2. Materials and Methods
2.1. Study Area
2.2. Study Methods
3. Results and Discussion
3.1. Groundwater Level Variation
3.2. Groundwater Quality Variation in the Shallow Aquifer of the Alluvial Fan
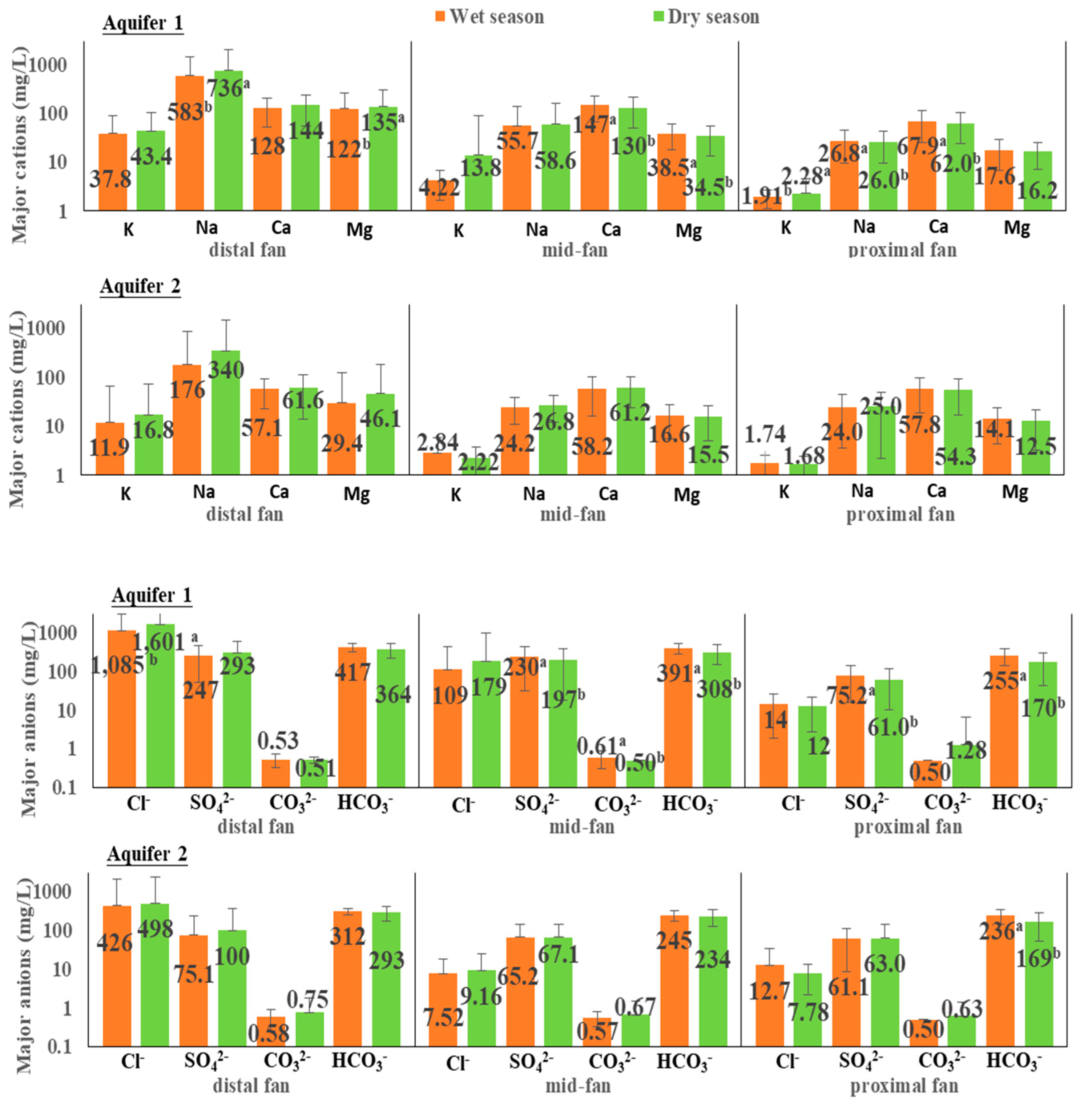
3.3. Groundwater Quality Variation in Aquifer 1 and Aquifer 2 of the Alluvial Fan
3.4. Groundwater Quality Variation in the Proximal Fan, Mid-Fan, and Distal Fan Areas
4. Conclusions
Author Contributions
Funding
Institutional Review Board Statement
Informed Consent Statement
Data Availability Statement
Conflicts of Interest
References
- Water Resources Agency. Available online: https://wellmis.wra.gov.tw/wellmis/Login.aspx?ReturnUrl=%2Fwellmis%2F (accessed on 4 March 2022).
- Agricultural Statistics Yearbook. 2020. Available online: https://agrstat.coa.gov.tw/sdweb/public/book/Book.aspx (accessed on 22 February 2022).
- Tsai, W.P.; Chiang, Y.M.; Huang, J.L.; Chang, F.J. Exploring the Mechanism of Surface and Ground Water through Data-Driven Techniques with Sensitivity Analysis for Water Resources Management. Int. Ser. Prog. Waters. 2016, 30, 4789–4806. [Google Scholar] [CrossRef]
- Hsu, H.S. Taiwan Climate Change Science Report 2017—Physical Phenomenon and Mechanism (General Abstract); Ministry of Science and Technology: Taipei, Taiwan, 2018. (In Chinese)
- Chen, S.K.; Tsai, C.B. Analysis of groundwater-level response to heavy rainfall and recharge potential in the shallow aquifer, central Taiwan. In Proceedings of the 20th EGU General Assembly, Vienna, Austria, 4–13 April 2018. [Google Scholar]
- Chang, F.J.; Lin, C.H.; Chang, K.C.; Kao, Y.H.; Chang, L.C. Investigating the interactive mechanisms between surface water and groundwater over the Jhuoshuei river basin in central Taiwan. Paddy Water Environ. 2014, 12, 365–377. [Google Scholar] [CrossRef]
- National Chiao Tung University. The Investigation of Hydrogeology and Groundwater Resources—The Utilization Improvement and Capacity Assessment of Underground Reservoir (1/4); Central Geological Survey: New Taipei City, Taiwan, 2017. (In Chinese)
- Water Resources Agency. Available online: https://epaper.wra.gov.tw/Article_Detail.aspx?s=F3070EB87D1A051D (accessed on 22 February 2022).
- Li, F.M.; Hsu, S.M.; Wang, Y.M. Research on the correlation between GPS, rainfall and groundwater level. In Proceedings of the 8th Groundwater Resources and Water Quality Protection Seminar and 2014 Cross-Strait Groundwater and Hydrogeological Application Seminar Proceedings, Tainan, Taiwan, 17–18 November 2014. (In Chinese). [Google Scholar]
- Chen, W.Y. A Study of Interaction Mechanism between Surface Water and Groundwater during Typhoon Period in Zhuoshui alluvial Fan. Master’s Thesis, Department of Water Resources and Environmental Engineering, Tamkang University, New Taipei City, Taiwan, 2015. (In Chinese). [Google Scholar]
- Yang, W.C. Rainfall and Groundwater Levels Trends and Fluctuation Analysis at Upper Choshui River Alluvial by Time Series Analysis. Master’s Thesis, Department of Soil and Water Conservation, National Chung Hsing University, Taichung, Taiwan, 2002. (In Chinese). [Google Scholar]
- Wang, Y.L.; Yeh, T.C.; Wen, J.C.; Huang, S.Y.; Zha, Y.; Tsai, J.P.; Hao, Y.; Liang, Y. Characterizing subsurface hydraulic heterogeneity of alluvial fan using riverstage fluctuations. J. Hydrol. 2017, 547, 650–663. [Google Scholar] [CrossRef]
- Wang, Y.L. Characterizing Subsurface Hydraulic Characteristics at Zhuoshui River Alluvial Fan. Taiwan. Master Thesis, Department of Hydrology and Water Resources, University of Arizona, Tucson, AZ, USA, 2016. [Google Scholar]
- Hydraulic Research Institute of the National Taiwan University. Collection and Display of Essential Results of Groundwater Observation Network and Stratum Subsidence Prevention; Water Resources Agency of the Ministry of Economic Affairs: Taichung, Taiwan, 2012. (In Chinese)
- Central Geological Survey. General Report on Hydrogeological Survey and Research of Zhuoshui River Alluvial Fan; Water Resources Bureau of the Ministry of Economic Affairs: Taichung, Taiwan, 2000. (In Chinese)
- Central Geological Survey. Groundwater Recharge Geologically Sensitive area Delineation Plan—G0001 Zhuoshui River Alluvial Fan; Ministry of Economic Affairs: Taipei, Taiwan, 2014. (In Chinese)
- Jiang, C.R. General Report on Hydrogeological Survey and Research of Zhuoshui River Alluvial Fan in the First Phase of the Taiwan Groundwater Observation Network; Central Geological Survey: New Taipei City, Taiwan, 1999. (In Chinese)
- World Health Organization. Guidelines for Drinking-water Quality, 4th ed.; World Health Organization: Geneva, Switzerland, 2011. [Google Scholar]
- Agricultural and Food Agency. Available online: https://https://gisvm.aerc.org.tw/landhmc/ (accessed on 11 March 2022).
- Mora, A.; Torres-Martínez, J.A.; Moreau, C.; Bertrand, G.; Mahlknecht. Mapping salinization and trace element abundance (including As and other metalloids) in the groundwater of north-central Mexico using a double-clustering approach. Water Res. 2021, 205, 117709. [Google Scholar] [CrossRef] [PubMed]
- Mihajlov, I.; Mozumder, R.; Bostick, B.; Stute, M.; Mailloux, B.J.; Knappett, P.S.K.; Choudhury, I.; Ahmed, K.M.; Schlosser, P.; van Geen, A. Arsenic contamination of Bangladesh aquifers exacerbated by clay layers. Nat. Commun. 2020, 11, 2244. [Google Scholar] [CrossRef] [PubMed]
- Banning, A. Geogenic arsenic and uranium in Germany: Large-scale distribution control in sediments and groundwater. J. Hazard. Mater. 2021, 405, 124186. [Google Scholar] [CrossRef] [PubMed]
- Saha, D.; Sarangam, S.S.; Dwivedi, S.N.; Bhartariya, K.G. Evaluation of hydrogeochemical processes in arsenic-contaminated alluvial aquifers in parts of Mid-Ganga Basin, Bihar, Eastern India. Environ. Earth Sci. 2010, 61, 799–811. [Google Scholar] [CrossRef]
- Chiou, H.Y. Epidemiologic Studies on Inorganic Arsenic Methylation Capacity and Inorganic Arsenic Induced Health Effects among Residents in the Blackfoot Disease Endemic Area and Lanyang Basin in Taiwan. Doctoral Dissertation, Institute of Epidemiology, National Taiwan University, Taipei, Taiwan, 1996. [Google Scholar]
- Lu, K.L.; Liu, C.W.; Wang, S.W.; Jang, C.S.; Lin, K.H.; Liao, H.C.; Liao, C.M.; Chang, F.J. Primary sink and source of geogenic arsenic in sedimentary aquifers in the southern Choushui River alluvial fan, Taiwan. Appl. Geochem. 2010, 25, 684–695. [Google Scholar] [CrossRef]
- Chen, K.Y.; and Liu, T.K. Major factors controlling arsenic occurrence in the groundwater and sediments of the Chianan coastal Plain, SW Taiwan. Terr. Atmos. Ocean. Sci. 2007, 18, 975–994. [Google Scholar] [CrossRef] [Green Version]
- Knobeloch, L.; Salna, B.; Hogan, A.; Postle, J.; Anderson, H. Blue babies and nitrate-contaminated well water. Environ. Health Perspect. 2000, 108, 675–678. [Google Scholar] [CrossRef] [PubMed]
- Chen, S.K.; Liao, T.L. Analysis of the relationship between regional groundwater quality variation trend of shallow aquifer and the cropping pattern in Choushui River alluvial fan. In Proceedings of the Annual Agricultural Water Conservancy Science and Technology Seminar in 2021, Zhongli, Taiwan, 30 November 2021; pp. 51–75. (In Chinese). [Google Scholar]
- Wang, X. The Relationship of Land Use and Groundwater Quality: A Case Study of Rhode Island. Master’s Thesis, Department of Community Planning and Area Development, University of Rhode Island, Kingston, RI, USA, 1989. Available online: https://digitalcommons.uri.edu/theses/660 (accessed on 15 October 2021).
- Lerner, D.N.; Harris, B. The relationship between land use and groundwater resources and quality. Land Use Policy 2009, 26, 165–273. [Google Scholar] [CrossRef]
- Liu, C.W.; Lin, C.N.; Jang, C.S.; Ling, M.P.; Tsai, J.W. Assessing nitrate contamination and its potential health risk to Kinmen residents. Environ. Geochem. Health 2011, 33, 503–514. [Google Scholar] [CrossRef] [PubMed]
- Wilson, S.; Chanut, P.; Rissmann, C.; Ledgard, G. Estimating Time Lags for Nitrate Response in Shallow Southland Groundwater; Southland Regional Council: Waikiwi, Invercargill, New Zealand, 2014; p. 1.
- Agricultural Engineering Research Center. Groundwater Quality Inspection, Analysis and Evaluation in 2016; Water Resources Agency of the Ministry of Economic Affairs: Taichung, Taiwan, 2016. (In Chinese)
- Agricultural Engineering Research Center. Groundwater Quality Inspection, Analysis and Evaluation in 2019; Water Resources Agency of the Ministry of Economic Affairs: Taichung, Taiwan, 2019. (In Chinese)
- Bai, T.; Tsai, W.P.; Chiang, Y.M.; Chang, F.J.; Chang, W.Y.; Chang, L.C.; Chang, K.C. Modeling and Investigating the Mechanisms of Groundwater Level Variation in the Jhuoshui River Basin of Central Taiwan. Water 2019, 11, 1554. [Google Scholar] [CrossRef] [Green Version]









| Aquifer | Aquifer 1 | Aquifer 2 | Aquifer 3 | Aquifer 4 |
|---|---|---|---|---|
| Depth distribution (m) | 0~103 | 35~217 | 140~275 | 238~313 |
| Aquifer thickness (m) (mean) | 19~103 (42) | 76~145 (95) | 42 ~122 (86) | 6~51 (24) |
| Aquifer | Aquifer 1 (n = 297) | Aquifer 2 (n = 440) | |||
|---|---|---|---|---|---|
| Hydrologic conditions | Wet season | Dry season | Wet season | Dry season | |
| Mean groundwater level (m) (sample numbers: n) | 25.38 (n = 123) | 32.16 (n = 174) | 9.84 (n = 185) | 12.17 (n = 255) | |
| Significance (p-value) | 0.211 | 0.657 | |||
| Proximal fan (n = 148) | Mean groundwater level (m) (sample numbers: n) | 75.16 (n = 29) | 78.66 (n = 54) | 81.43 (n = 23) | 83.64 (n = 42) |
| Significance (p-value) | 0.849 | 0.806 | |||
| Mid- fan (n = 290) | Mean groundwater level (m) (sample numbers: n) | 21.69 (n = 51) | 22.45 (n = 72) | 13.46 (n = 67) | 9.79 (n = 100) |
| Significance (p-value) | 0.734 | 0.902 | |||
| Distal fan (n = 299) | Mean groundwater level (m) (sample numbers: n) | −3.83 (n = 43) | −5.57 (n = 48) | −10.05 (n = 95) | −12.28 (n = 113) |
| Significance (p-value) | 0.176 | 0.135 | |||
| Water Quality Parameters | Temp (℃) | pH (-) | EC (μS/cm) | DO (mg/L) | ORP (mV) | Fe (mg/L) | Mn (mg/L) | As (mg/L) | TOC (mg/L) | E.Coli (CFU/100 mL) | |
|---|---|---|---|---|---|---|---|---|---|---|---|
| Hydrological Conditions | |||||||||||
| Irrigation water quality standard in Taiwan | <35 | 6~9 | <750 | >3.0 | - | - | - | <0.05 | - | - | |
| Wet season mean (n = 308) | 25.5 | 7.16 | 1225 | 0.73 | −82 | 4.504 | 0.281 | 0.0490 | 0.780 | 1991 | |
| Dry season mean (n = 429) | 24.8 | 7.08 | 1230 | 0.96 | −62 | 4.967 | 0.306 | 0.0400 | 1.750 | 2647 | |
| Significance (p-value) | 0.0000 * | 0.0840 | 0.9820 | 0.0230 * | 0.0230 * | 0.7550 | 0.4440 | 0.1720 | 0.0000 * | 0.5710 | |
| Water quality parameters | Ca (mg/L) | Mg (mg/L) | K (mg/L) | Na (mg/L) | CO32− (mg/L) | HCO3− (mg/L) | Cl− (mg/L) | SO42− (mg/L) | NO3−-N (mg/L) | NH4+-N (mg/L) | |
| Hydrological conditions | |||||||||||
| Irrigation water quality standard in Taiwan | - | - | - | - | - | - | <175 | <200 | - | <3.0 | |
| Wet season mean (n = 308) | 80.9 | 38.1 | 10.5 | 159 | 0.56 | 312 | 313 | 119 | 1.445 | 1.662 | |
| Dry season mean (n = 429) | 81.7 | 40.7 | 12.9 | 200 | 0.71 | 261 | 357 | 123 | 1.686 | 1.562 | |
| Significance (p-value) | 0.8660 | 0.7020 | 0.4590 | 0.4090 | 0.1680 | 0.0000 * | 0.6780 | 0.7870 | 0.4450 | 0.6700 | |
Publisher’s Note: MDPI stays neutral with regard to jurisdictional claims in published maps and institutional affiliations. |
© 2022 by the authors. Licensee MDPI, Basel, Switzerland. This article is an open access article distributed under the terms and conditions of the Creative Commons Attribution (CC BY) license (https://creativecommons.org/licenses/by/4.0/).
Share and Cite
Chang, T.; Wang, K.; Wang, S.; Hsu, C.; Hsu, C. Evaluation of the Groundwater and Irrigation Quality in the Zhuoshui River Alluvial Fan between Wet and Dry Seasons. Water 2022, 14, 1494. https://doi.org/10.3390/w14091494
Chang T, Wang K, Wang S, Hsu C, Hsu C. Evaluation of the Groundwater and Irrigation Quality in the Zhuoshui River Alluvial Fan between Wet and Dry Seasons. Water. 2022; 14(9):1494. https://doi.org/10.3390/w14091494
Chicago/Turabian StyleChang, Tawei, Kuoliang Wang, Shengwei Wang, Chinghsuan Hsu, and Chialian Hsu. 2022. "Evaluation of the Groundwater and Irrigation Quality in the Zhuoshui River Alluvial Fan between Wet and Dry Seasons" Water 14, no. 9: 1494. https://doi.org/10.3390/w14091494
APA StyleChang, T., Wang, K., Wang, S., Hsu, C., & Hsu, C. (2022). Evaluation of the Groundwater and Irrigation Quality in the Zhuoshui River Alluvial Fan between Wet and Dry Seasons. Water, 14(9), 1494. https://doi.org/10.3390/w14091494

