Identification of Key Factors for Urban—Industrial Water Reuse: A Multi-Criteria Analysis Case Study
Abstract
:1. Introduction
2. Materials and Methods
2.1. Criteria Definition and Valuation
2.2. Real Scenario Analysis: Treated Effluent Characteristics and Potential Industrial Users Definition
2.2.1. Characterization of the Study Area
2.2.2. Effluent Quality
2.2.3. Definition of Potential End-Users
2.3. PayOff Matrix and Alternatives Hierarchy Sorting by Multi-Criteria Methods
2.3.1. Compromise Programming (CP)
2.3.2. Cooperative Game Theory (CGT)
3. Results and Discussion
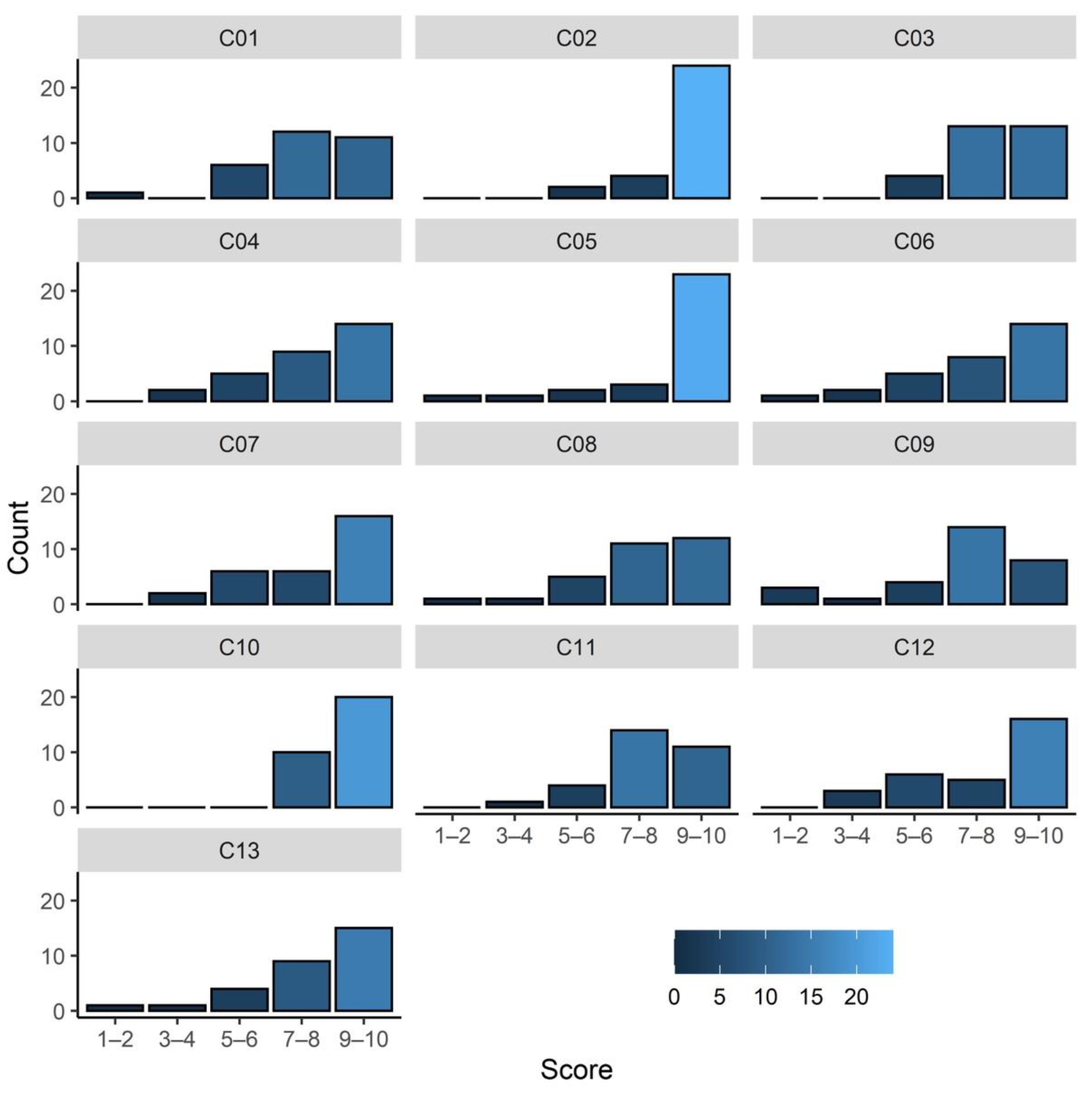
3.1. Identification and Valuation of Key Factors
3.2. Criteria Validation and End-User Hierarchy by MCA in a Real Scenario
4. Conclusions
Supplementary Materials
Author Contributions
Funding
Institutional Review Board Statement
Informed Consent Statement
Data Availability Statement
Acknowledgments
Conflicts of Interest
References
- Moreira, F.d.S.; Lopes, M.P.C.; De Freitas, M.A.V.; Antunes, A.M.d.S. Future scenarios for the development of the desalination industry in contexts of water scarcity: A Brazilian case study. Technol. Forecast. Soc. Chang. 2021, 167, 120727. [Google Scholar] [CrossRef]
- IBGE—Instituto Brasileiro de Geografia e Estatística. Censo Demográfico. 2010. Available online: https://censo2010.ibge.gov.br/ (accessed on 15 August 2021).
- IANAS—Inter-American Network of Academies of Sciences. Water Quality in the Americas: Risks and Opportunities. México. 2019. Available online: https://www.interacademies.org/publication/water-quality-americas-risks-and-opportunities (accessed on 15 August 2021).
- Soriano, É.; Londe, L.d.R.; Di Gregorio, L.T.; Coutinho, M.P.; Santos, L.B.L. Water crisis in São Paulo evaluated under the disaster’s point of view1. Ambiente Soc. 2016, 19, 21–42. [Google Scholar] [CrossRef] [Green Version]
- SNIS—Sistema Nacional de Informações Sobre Saneamento. Diagnóstico dos Serviços de Água e Esgoto. Brasília. 2019. Available online: http://www.snis.gov.br/diagnosticos (accessed on 15 August 2021).
- ANA—Agência Nacional de Águas e Saneamento Básico. Conjuntura dos Recursos Hídricos no Brasil 2020: Informe Anual. Brasília. 2020. Available online: http://conjuntura.ana.gov.br/ (accessed on 15 August 2021).
- USEPA—United States Environmental Protection Agency. Basic Information about Water Reuse. Available online: https://www.epa.gov/waterreuse/basic-information-about-water-reuse (accessed on 10 August 2021).
- Sa-Nguanduan, N.; Nititvattananon, V. Strategic decision making for urban water reuse application: A case from Thailand. Desalination 2011, 268, 141–149. [Google Scholar] [CrossRef]
- Arena, C.; Genco, M.; Mazzola, M.R. Environmental Benefits and Economical Sustainability of Urban Wastewater Reuse for Irrigation—A Cost-Benefit Analysis of an Existing Reuse Project in Puglia, Italy. Water 2020, 12, 2926. [Google Scholar] [CrossRef]
- Al-Saidi, M. From Acceptance Snapshots to the Social Acceptability Process: Structuring Knowledge on Attitudes towards Water Reuse. Front. Environ. Sci. 2021, 9, 50. [Google Scholar] [CrossRef]
- UN—United Nations. Sustainable Development Goals. 2015. Available online: https://www.un.org/sustainabledevelopment/ (accessed on 10 August 2021).
- Viegas, R.M.C.; Mesquita, E.; Campinas, M.; Inocêncio, P.; Paula Teixeira, A.; Martins, J.; Rosa, M.J. Water reclamation with hybrid coagulation–ceramic microfiltration: First part of a long-term pilot study in Portugal. J. Water Reuse Desalin. 2015, 5, 550–556. [Google Scholar] [CrossRef] [Green Version]
- Pronk, G.J.; Stofberg, S.F.; Van Dooren, T.C.G.W. Increasing Water System Robustness in the Netherlands: Potential of Cross-Sectoral Water Reuse. Water Resour. Manag. 2021, 35, 3721–3735. [Google Scholar] [CrossRef]
- Pietrucha-Urbanik, K.; Rak, J.R. Consumers’ perceptions of the supply of tap water in crisis situations. Energies 2020, 13, 3617. [Google Scholar] [CrossRef]
- USEPA. Guidelines for Water Reuse; United States Environmental Protection Agency: Washington, DC, USA, 2012; 643p. Available online: https://www.epa.gov/sites/default/files/2019-08/documents/2012-guidelines-water-reuse.pdf (accessed on 10 August 2021).
- BRASIL. Lei n° 14.026, de 15 de Julho de 2020. Marco Legal do Saneamento Básico. Brasília: Diário Oficial da União, 16 July 2020. Available online: https://www.in.gov.br/en/web/dou/-/lei-n-14.026-de-15-de-julho-de-2020-267035421 (accessed on 10 August 2021).
- Qureshi, M.; Harrison, S.; Wegener, M. Validation of multicriteria analysis models. Agric. Syst. 1999, 62, 105–116. [Google Scholar] [CrossRef]
- Chhipi-Shrestha, G.; Rodriguez, M.; Sadiq, R. Selection of sustainable municipal water reuse applications by multi-stakeholders using game theory. Sci. Total Environ. 2019, 650, 2512–2526. [Google Scholar] [CrossRef]
- Goyal, K.; Kumar, A. Multi-criteria analysis to identify the factors affecting water reuse scheme in India. Water Environ. J. 2021, 35, 451–462. [Google Scholar] [CrossRef]
- Opher, T.; Friedler, E.; Shapira, A. Comparative life cycle sustainability assessment of urban water reuse at various centralization scales. Int. J. Life Cycle Assess. 2019, 24, 1319–1332. [Google Scholar] [CrossRef]
- Aydiner, C.; Sen, U.; Koseoglu-ImerDerya, Y.; Can Dogan, E. Hierarchical prioritization of innovative treatment systems for sustainable dairy wastewater management. J. Clean. Prod. 2016, 112, 4605–4617. [Google Scholar] [CrossRef]
- Zeleny, M. Compromise Programming. In Multiple Criteria Decision Making; University of South Carolina Press: Columbia, SC, USA, 1973; pp. 262–301. [Google Scholar]
- Gershon, M.; Duckstein, L. Multiobjective Approaches to River Basin Planning. J. Water Plan. Manag. 1983, 109, 13–28. [Google Scholar] [CrossRef]
- IBGE—Instituto Brasileiro de Geografia e Estatística. IBGE Cidades. Available online: https://cidades.ibge.gov.br/brasil/sp/campinas/panorama/ (accessed on 15 August 2021).
- ANA—Agência Nacional de Águas e Saneamento Básico. Monitor de Secas. Available online: http://monitordesecas.ana.gov.br/ (accessed on 15 August 2021).
- Viegas, R.M.C.; Mesquita, E.; Campinas, M.; Rosa, M.J. Pilot Studies and Cost Analysis of Hybrid Powdered Activated Carbon/Ceramic Microfiltration for Controlling Pharmaceutical Compounds and Organic Matter in Water Reclamation. Water 2020, 12, 33. [Google Scholar] [CrossRef] [Green Version]
- Rodríguez-Romero, A.J.; Rico-Sánchez, A.E.; Mendoza-Martínez, E.; Gómez-Ruiz, A.; Sedeño-Díaz, J.E.; López-López, E. Impact of Changes of Land Use on Water Quality, from Tropical Forest to Anthropogenic Occupation: A Multivariate Approach. Water 2018, 10, 1518. [Google Scholar] [CrossRef] [Green Version]
- Gossweiler, B.; Wesström, I.; Messing, I.; Romero, A.M.; Joel, A. Spatial and Temporal Variations in Water Quality and Land Use in a Semi-Arid Catchment in Bolivia. Water 2019, 11, 2227. [Google Scholar] [CrossRef] [Green Version]
- Obraczka, M.; Faria, A.A.; Silva, L.C.S.d., Jr.; Ohnuma, A.A., Jr.; Oliveira, K.d.; Muricy, B.C. Quantitative evaluation of the potential for industrial reuse from the effluents of four sewage treatment plants in the Metropolitan Region of Rio de Janeiro, Brazil. SG J. 2021, 16, 196–213. Available online: https://revistasg.emnuvens.com.br/sg/article/view/1727/1494 (accessed on 1 February 2022).
- Urban, R.C.; Isaac, R.L.; Morita, D.M. Beneficial use of sludge from water and sewage treatment plants: State of the art. (Uso benéfico de lodo de estações de tratamento de água e de tratamento de esgoto: Estado da arte). Rev. DAE 2019, 67, 128–158. [Google Scholar] [CrossRef]





| Score | Importance Degree |
|---|---|
| 1–2 | Irrelevant |
| 3–4 | Minor Importance |
| 5–6 | Moderate Importance |
| 7–8 | Important |
| 9–10 | Very Important |
| Parameter | Average | ±sd 1 | Maximum | Minimum |
|---|---|---|---|---|
| pH | 7.4 | 0.5 | 7.9 | 5.2 |
| Color (mg Pt–Co/L) 2 | 122 | 61 | 275 | 47 |
| Turbidity (NTU) 3 | 13.4 | 11.1 | 49.3 | 2.5 |
| Temperature (°C) | 23.8 | 2.0 | 27.0 | 21.0 |
| Biochemical Oxygen Demand (mg/L O2) | 21.8 | 14.4 | 74.0 | 3.0 |
| Chemical Oxygen Demand (mg/L O2) | 44.9 | 19.4 | 102.0 | 12.0 |
| Ammoniacal Nitrogen (mg/L NH3) | 23.1 | 11.9 | 49.4 | 4.7 |
| Nitrate Nitrogen (mg/L NO3) | 13.07 | 9.25 | 30.30 | 3.45 |
| Nitrite Nitrogen (mg/L NO2) | 0.94 | 1.17 | 3.28 | 0.06 |
| Total Solids (mg/L) | 408.0 | 62.5 | 604.0 | 312.0 |
| Total Fixed Solids (mg/L) | 303.3 | 42.7 | 417.0 | 247.0 |
| Total Volatile Solids (mg/L) | 105.0 | 49.5 | 310.0 | 47.0 |
| Dissolved Solids (mg/L) | 382.5 | 63.3 | 588.0 | 296.0 |
| Total Suspended Solids (mg/L) | 23.9 | 27.8 | 202.0 | 3.0 |
| Fixed Suspended Solids (mg/L) | 9.1 | 24.4 | 190.0 | <0.1 |
| Volatile Suspended Solids (mg/L) | 14.8 | 10.8 | 52.0 | 2.0 |
| Sedimentable Solids (mg/L) | 0.84 | 2.01 | 8.50 | <0.01 |
| Total Coliforms (MPN/100 mL) 4 | 2.0 × 105 | 4.3 × 105 | 1.6 × 106 | 7.0 × 103 |
| Fecal Coliforms (MPN/100 mL) 4 | 5.1 × 105 | 1.4 × 105 | 5.0 × 106 | 2.2 × 103 |
| Profile | Description |
|---|---|
| I | Medium-sized company (up to 200 employees). Performs machining services and assembly of parts, machinery, and equipment. Average monthly consumption is 70 m3 of water and the supply source is the public distribution network. It is located 6.4 km from the WWTP. |
| II | Large company (over 200 employees). The company’s products are polyurethane (PU) and polyvinyl chloride (PVC) laminates, and the manufacturing process is thermal curing. Average monthly consumption is 500 m3 of water and the supply source is through wells, trucks, and the public distribution network. It is located 4.6 km from the WWTP. |
| III | Medium-sized company (up to 200 employees). The products of this company are detergents, finishes, and waterproofing products, among others. Average monthly consumption is 400 m3 of water and the supply source is the public distribution network. It is located 10 km from the WWTP. |
| IV | Medium-sized company (up to 200 employees). The main products are simple paste (lime or cement), mixed paste (lime and cement), normal concrete, high-performance concrete, and paving, among others. The average monthly consumption is 720 m3 of water, and the supply sources are the public distribution network and a well. It is located 5.1 km from the WWTP. |
| V | Medium-sized company (up to 200 employees). They carry out the machining of metal parts. Average monthly consumption is 300 m3 of water. Main supply source is the public distribution network and rainwater collection tanks. It is located 7.01 km from the WWTP. |
| VI | Small company (up to 25 employees). The products offered to the market are carbide tools and its manufacturing process consists of machining. Average monthly consumption is 60 m3 of water and the supply source is the public distribution network. It is located 5.5 km from the WWTP. |
| VII | Large company (over 200 employees). The main products are power tools, gasoline injection systems, and motors. Average monthly consumption is 7000 m3 of water and the supply sources are the public distribution network and a private network from a conceded source (industrial water). It is located 3.6 km from the WWTP. |
| VIII | Small company (up to 25 employees). The products offered to the market are PVC laminates. Average monthly consumption is 100 m3 of water and the supply sources are the public distribution network and truck. It is located 9.8 km from the WWTP. |
| IX | Small company (up to 25 employees). The products offered to the market are safety clothing for cold, heat, and chemical protection, through the processes of resin, cutting, sewing, finishing with safety closure, and eventual dyeing of cotton mesh. The average monthly consumption is 80 m3 of water and the supply source is the public distribution network. It is located 6.4 km from the WWTP. |
| Code | Criteria | Description |
|---|---|---|
| C01 | Distance | Distance between the supplier, the WWTP, and the potential user (metric measurement). |
| C02 | Quality of WWTP effluent | Compliance to physico-chemical and bacteriological patterns required for a given use. |
| C03 | Availability of reuse water | Sufficient quantitative supply (supply of reuse water), as required by the user (demand). |
| C04 | Qualified labor | Actions related to the care required, both in handling and transporting reuse water (training, safety equipment, and others). |
| C05 | Risks (Toxicity) | Considers the health risks (including waterborne diseases) due to the use of and possible physical contact of workers, consumers, and the environment with the reuse water. |
| C06 | Post-treatment need | Considers the need to improve or adapt the treatment at WWTP for a given use (purpose). If post-treatment is required, it is considered least favorable for the reuse. |
| C07 | Environmental Benefits | Environmental contribution of the reuse practice, measured by the ratio between the standards required for reuse and for discharge into water bodies. |
| C08 | Acceptability | Expresses the degree of sacrifice or openness to the use of a new source of non-potable water resource for less restrictive purposes. |
| C09 | Image | The concern about political or market projection for adopting water reuse by the end-user (environmental marketing). |
| C10 | Reliability | Expresses the degree of safety, by the end-user, over the effluent treatment for the preservation of the reuse practice. |
| C11 | Mean of transportation | Considers the importance degree of transportation in the implementation of water reuse (cost of implementing a distribution network or water tank truck). |
| C12 | Environmental costs | Considers monetary expenses related to the consumption of drinking water and the destination of the generated effluents (user-pays principle). |
| C13 | Maintenance and monitoring costs | Maintenance and monitoring costs, as well as monetary expenses for the maintenance of the wastewater reuse and monitoring system. |
| Scenario | Profile | |||||||||
|---|---|---|---|---|---|---|---|---|---|---|
| I | II | III | IV | V | VI | VII | VIII | IX | ||
| A | mean | 8° | 1° | 6° | 4° | 7° | 5° | 2° | 3° | 9° |
| B | maximum | 8° | 1° | 6° | 4° | 7° | 5° | 2° | 3° | 9° |
| C | minimum | 7° | 1° | 6° | 4° | 8° | 5° | 3° | 2° | 9° |
| D | mode | 8° | 1° | 6° | 4° | 7° | 5° | 2° | 3° | 9° |
| Scenario | Profile | |||||||||
|---|---|---|---|---|---|---|---|---|---|---|
| I | II | III | IV | V | VI | VII | VIII | IX | ||
| A | mean | 8° | 1° | 7° | 4° | 6° | 5° | 2° | 3° | 9° |
| B | maximum | 8° | 1° | 7° | 4° | 6° | 5° | 2° | 3° | 9° |
| C | minimum | 8° | 1° | 6° | 4° | 7° | 5° | 3° | 2° | 9° |
| D | mode | 8° | 1° | 6° | 4° | 7° | 5° | 2° | 3° | 9° |
Publisher’s Note: MDPI stays neutral with regard to jurisdictional claims in published maps and institutional affiliations. |
© 2022 by the authors. Licensee MDPI, Basel, Switzerland. This article is an open access article distributed under the terms and conditions of the Creative Commons Attribution (CC BY) license (https://creativecommons.org/licenses/by/4.0/).
Share and Cite
Isaac, R.; Viaro, V.; Fonseca, C.; Mânica, A. Identification of Key Factors for Urban—Industrial Water Reuse: A Multi-Criteria Analysis Case Study. Water 2022, 14, 1314. https://doi.org/10.3390/w14081314
Isaac R, Viaro V, Fonseca C, Mânica A. Identification of Key Factors for Urban—Industrial Water Reuse: A Multi-Criteria Analysis Case Study. Water. 2022; 14(8):1314. https://doi.org/10.3390/w14081314
Chicago/Turabian StyleIsaac, Ricardo, Vivien Viaro, Camila Fonseca, and Alana Mânica. 2022. "Identification of Key Factors for Urban—Industrial Water Reuse: A Multi-Criteria Analysis Case Study" Water 14, no. 8: 1314. https://doi.org/10.3390/w14081314
APA StyleIsaac, R., Viaro, V., Fonseca, C., & Mânica, A. (2022). Identification of Key Factors for Urban—Industrial Water Reuse: A Multi-Criteria Analysis Case Study. Water, 14(8), 1314. https://doi.org/10.3390/w14081314

