On the Indirect Estimation of Wind Wave Heights over the Southern Coasts of Caspian Sea: A Comparative Analysis
Abstract
:1. Introduction
2. Materials and Methods
2.1. Study Site
2.2. Buoy-Based Wind Waves Data
2.3. Satellite Data
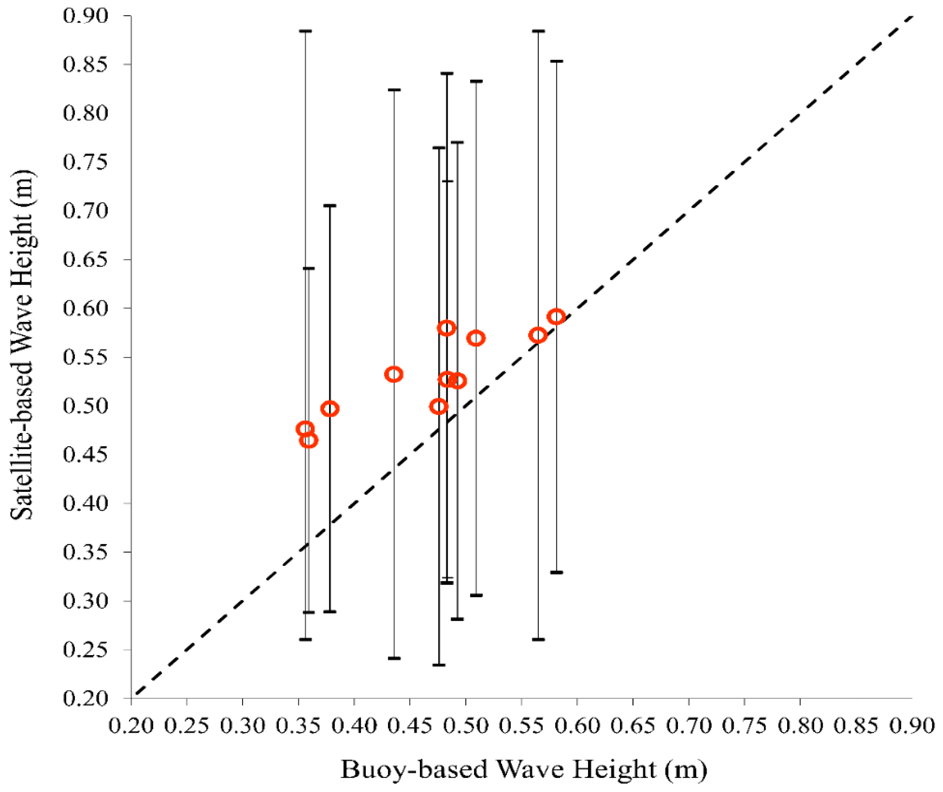
3. Results and Discussion
3.1. Wind Speed Frequency Diagrams
3.2. Analysis of Wave Height Data
3.2.1. In Situ Data
3.2.2. Satellite-Based Data
3.3. Comparative Analysis
4. Conclusions
Author Contributions
Funding
Informed Consent Statement
Data Availability Statement
Acknowledgments
Conflicts of Interest
References
- Jia, N.; Zhao, D. The Influence of Wind Speed and Sea States on Whitecap Coverage. J. Ocean Univ. China 2019, 18, 282–292. [Google Scholar] [CrossRef]
- Crimaldi, M.; Lama, G.F.C. Impact of riparian plants biomass assessed by UAV-acquired multispectral images on the hydrodynamics of vegetated streams. In Proceedings of the 29th European Biomass Conference and Exhibition, Online, 26–29 April 2021; pp. 1157–1161. [Google Scholar]
- Capolupo, A.; Monterisi, C.; Saponieri, A.; Addona, F.; Damiani, L.; Archetti, R.; Tarantino, E. An Interactive WebGIS Framework for Coastal Erosion Risk Management. J. Mar. Sci. Eng. 2021, 9, 567. [Google Scholar] [CrossRef]
- Lama, G.F.C.; Crimaldi, M. Assessing the role of Gap Fraction on the Leaf Area Index (LAI) estimations of riparian vegetation based on Fisheye lenses. In Proceedings of the 29th European Biomass Conference and Exhibition, Online, 26–29 April 2021; pp. 1172–1176. [Google Scholar]
- Marcos, M.; Wöppelmann, G.; Matthews, A.; Ponte, R.M.; Birol, F.; Ardhuin, F.; Chambers, D. Coastal Sea level and related fields from existing observing systems. Surv. Geophys. 2019, 40, 1293–1317. [Google Scholar] [CrossRef] [Green Version]
- Divinsky, B.V.; Fomin, V.V.; Kosyan, R.D.; Ratner, Y.D. Extreme wind waves in the Black Sea. Oceanologia 2021, 62, 23–30. [Google Scholar] [CrossRef]
- Hwang, P.A.; Reul, N.; Meissner, T.; Yueh, S.H. Whitecap and Wind Stress Observations by Microwave Radiometers: Global Coverage and Extreme Conditions. J. Phys. Oceanogr. 2019, 49, 2291–2307. [Google Scholar] [CrossRef]
- Meucci, A.; Young, I.R.; Aarnes, O.J.; Breivik, Ø. Comparison of Wind Speed and Wave Height Trends from Twentieth-Century Models and Satellite Altimeters. J. Clim. 2020, 33, 611–624. [Google Scholar] [CrossRef]
- Lama, G.F.C.; Chirico, G.B. Effects of reed beds management on the hydrodynamic behaviour of vegetated open channels. In Proceedings of the 2020 IEEE International Workshop on Metrology for Agriculture and Forestry (MetroAgriFor), Trento, Italy, 4–6 November 2020; pp. 149–154. [Google Scholar] [CrossRef]
- Dodet, G.; Mélet, A.; Ardhuin, F.; Bertin, X.; Idier, D.; Almar, R. The contribution of wind-generated waves to coastal sea-level changes. Surv. Geophys. 2019, 40, 1563–1601. [Google Scholar] [CrossRef] [Green Version]
- Lama, G.F.C.; Errico, A.; Francalanci, S.; Solari, L.; Preti, F.; Chirico, G.B. Evaluation of Flow Resistance Models Based on Field Experiments in a Partly Vegetated Reclamation Channel. Geosciences 2020, 10, 47. [Google Scholar] [CrossRef] [Green Version]
- Bishop, C.T.; Donelan, M.A.; Kahma, K.K. Shore protection manual’s wave prediction reviewed. Coast. Eng. 1992, 17, 25–48. [Google Scholar] [CrossRef]
- Shore Protection Manual; U.S. Govt. Printing Office: Washington, DC, USA, 1984; Volume 1–2.
- Altunkaynak, A. Prediction of significant wave height using geno-multilayer perceptron. Ocean Eng. 2013, 58, 144–153. [Google Scholar] [CrossRef]
- Duffy, M.; Devoy, R. Contemporary process controls on the evolution of sedimentary coasts under low to high energy regimes: Western Ireland. Geol. Mijnb. 1998, 77, 333–349. [Google Scholar] [CrossRef] [Green Version]
- Etemad-Shahidi, A.; Mahjoobi, J. Comparison between M5′ model tree and neural networks for prediction of significant wave height in Lake Superior. Ocean Eng. 2009, 36, 1175–1181. [Google Scholar] [CrossRef]
- Durán-Rosal, A.M.; Hervás-Martínez, C.; Tallón-Ballesteros, A.J.; Martínez-Estudillo, A.C.; Salcedo-Sanz, S. Massive missing data reconstruction in ocean buoys with evolutionary product unit neural networks. Ocean Eng. 2016, 117, 292–301. [Google Scholar] [CrossRef]
- Eleveld, M.A. Wind-induced resuspension in a shallow lake from Medium Resolution Imaging Spectrometer (MERIS) full-resolution reflectances. Water Resour. Res. 2012, 48, W04508. [Google Scholar] [CrossRef] [Green Version]
- Kang, S.-L.; Won, H. Spectral structure of 5 year time series of horizontal wind speed at the Boulder Atmospheric Observatory. J. Geophys. Res. Atmos. 2016, 121, 11946–11967. [Google Scholar] [CrossRef]
- West, C.G.; Smith, R.B. Global patterns of offshore wind variability. Wind Energy 2021, 24, 1466–1481. [Google Scholar] [CrossRef]
- Sarno, L.; Wang, Y.; Tai, Y.-C.; Martino, R.; Carravetta, A. Asymptotic analysis of the eigenstructure of the two-layer model and a new family of criteria for evaluating the model hyperbolicity. Adv. Water Resour. 2021, 154, 103966. [Google Scholar] [CrossRef]
- Fontana, M.; Casalone, P.; Sirigu, S.A.; Giorgi, G.; Bracco, G.; Mattiazzo, G. Viscous Damping Identification for a Wave Energy Converter Using CFD-URANS Simulations. J. Mar. Sci. Eng. 2020, 8, 355. [Google Scholar] [CrossRef]
- Lesani, S.; Niksokhan, M.H. Climate change impact on Caspian Sea wave conditions in the Noshahr Port. Ocean Dyn. 2019, 69, 1287–1310. [Google Scholar] [CrossRef]
- Davidson, J.; Costello, R. Efficient Nonlinear Hydrodynamic Models for Wave Energy Converter Design—A Scoping Study. J. Mar. Sci. Eng. 2020, 8, 35. [Google Scholar] [CrossRef] [Green Version]
- Ogawa, H.; Dickson, M.E.; Kench, P.S. Hydrodynamic constraints and storm wave characteristics on a sub-horizontal shore platform. Earth Surf. Process. Landf. 2014, 40, 65–77. [Google Scholar] [CrossRef]
- Berta, M.; Bellomo, L.; Griffa, A.; Magaldi, M.G.; Molcard, A.; Mantovani, C.; Gasparini, G.P.; Marmain, J.; Vetrano, A.; Béguery, L.; et al. Wind-induced variability in the Northern Current (northwestern Mediterranean Sea) as depicted by a multi-platform observing system. Ocean Sci. 2018, 14, 689–710. [Google Scholar] [CrossRef] [Green Version]
- Melet, A.; Meyssignac, B.; Almar, R.; Le Cozannet, G. Under-estimated wave contribution to coastal sea-level rise. Nat. Clim. Chang. 2018, 8, 234–239. [Google Scholar] [CrossRef]
- Cecilio, R.O.; Dillenburg, S.R. An ocean wind-wave climatology for the Southern Brazilian Shelf. Part II: Variability in space and time. Dyn. Atmos. Ocean. 2019, 88, 101103. [Google Scholar] [CrossRef]
- Lama, G.F.C.; Rillo Migliorini Giovannini, M.; Errico, A.; Mirzaei, S.; Padulano, R.; Chirico, G.B.; Preti, F. Hydraulic Efficiency of Green-Blue Flood Control Scenarios for Vegetated Rivers: 1D and 2D Unsteady Simulations. Water 2021, 13, 1333. [Google Scholar] [CrossRef]
- Grigorieva, V.G.; Gulev, S.K.; Sharmar, V.D. Validating Ocean Wind Wave Global Hindcast with Visual Observations from VOS. Oceanology 2020, 60, 9–19. [Google Scholar] [CrossRef]
- Penna, N.T.; Morales Maqueda, M.A.; Martin, I.; Guo, J.; Foden, P.R. Sea surface height measurement using a GNSS Wave Glider. Geophys. Res. Lett. 2018, 45, 5609–5616. [Google Scholar] [CrossRef]
- Badulin, S.I. A physical model of sea wave period from altimeter data. J. Geophys. Res. Oceans 2014, 119, 856–869. [Google Scholar] [CrossRef] [Green Version]
- Rosmorduc, V.; Srinivasan, M.; Richardson, A.; Cipollini, P. The first 25 years of altimetry outreach. Adv. Space Res. 2020, 68, 1225–1241. [Google Scholar] [CrossRef]
- Lebedev, S.A. Mean Sea Surface Model of the Caspian Sea Based on TOPEX/Poseidon and Jason-1 Satellite Altimetry Data. In Geodesy for Planet Earth. International Association of Geodesy Symposia; Kenyon, S., Pacino, M., Marti, U., Eds.; Springer: Berlin/Heidelberg, Germany, 2012; Volume 136. [Google Scholar] [CrossRef]
- Zecchetto, S. Wind Direction Extraction from SAR in Coastal Areas. Remote Sens. 2018, 10, 261. [Google Scholar] [CrossRef] [Green Version]
- Sorkhabi, O.M.; Asgari, J.; Amiri-Simkooei, A. Monitoring of Caspian Sea-level changes using deep learning-based 3D reconstruction of GRACE signal. Measurement 2021, 174, 109004. [Google Scholar] [CrossRef]
- Khatibi, R.; Ghorbani, M.A.; Naghshara, S.; Aydin, H.; Karimi, V. A framework for ‘Inclusive Multiple Modelling’ with critical views on modelling practices—Applications to modelling water levels of Caspian Sea and Lakes Urmia and Van. J. Hydrol. 2020, 587, 124923. [Google Scholar] [CrossRef]
- Arnell, N.W.; Gosling, S.N. The impacts of climate change on river flood risk at the global scale. Clim. Chang. 2016, 134, 387–401. [Google Scholar] [CrossRef] [Green Version]
- Tao, J.; Guosheng, L. Contemporary monitoring of storm surge activity. Prog. Phys. Geogr. 2019, 44, 299–314. [Google Scholar] [CrossRef]
- Giorgi, F.; Bi, X.; Pal, J. Mean, interannual variability and trends in a regional climate change experiment over Europe. II: Climate change scenarios (2071–2100). Clim. Dyn. 2004, 23, 839–858. [Google Scholar] [CrossRef]
- Lo Feudo, T.; Mel, R.A.; Sinopoli, S.; Maiolo, M. Wave Climate and Trends for the Marine Experimental Station of Capo Tirone Based on a 70-Year-Long Hindcast Dataset. Water 2022, 14, 163. [Google Scholar] [CrossRef]
- Lebedev, S.A.; Kostianoy, A.G. Integrated use of satellite altimetry in the investigation of the meteorological- hydrological, and hydrodynamic regime of the Caspian Sea. Terr. Atmos. Ocean. Sci. 2008, 19, 71–82. [Google Scholar] [CrossRef] [Green Version]
- Lama, G.F.C.; Crimaldi, M.; Pasquino, V.; Padulano, R.; Chirico, G.B. Bulk Drag Predictions of Riparian Arundo donax Stands through UAV-Acquired Multispectral Images. Water 2021, 13, 1333. [Google Scholar] [CrossRef]
- De Padova, D.; Calvo, L.; Carbone, P.M.; Maraglino, D.; Mossa, M. Comparison between the Lagrangian and Eulerian Approach for Simulating Regular and Solitary Waves Propagation, Breaking and Run-Up. Appl. Sci. 2021, 11, 9421. [Google Scholar] [CrossRef]
- Mossa, M.; Meftah, M.B.; De Serio, F.; Nepf, H.M. How vegetation in flows modifies the turbulent mixing and spreading of jets. Sci. Rep. 2017, 7, 6587. [Google Scholar] [CrossRef] [Green Version]
- Ribal, A.; Young, I.R. 33 years of globally calibrated wave height and wind speed data based on altimeter observations. Sci. Data 2019, 6, 77. [Google Scholar] [CrossRef] [PubMed] [Green Version]
- Derkani, M.H.; Alberello, A.; Nelli, F.; Bennetts, L.G.; Hessner, K.G.; MacHutchon, K.; Reichert, K.; Aouf, L.; Khan, S.; Toffoli, A. Wind, waves, and surface currents in the Southern Ocean: Observations from the Antarctic Circumnavigation Expedition. Earth Syst. Sci. Data 2021, 13, 1189–1209. [Google Scholar] [CrossRef]
- Heron, S.F.; Heron, M.L. A Comparison of Algorithms for Extracting Significant Wave Height from HF Radar Ocean Backscatter Spectra. J. Atmos. Ocean Technol. 1998, 15, 1157–1163. [Google Scholar] [CrossRef]
- Roarty, H.; Cook, T.; Hazard, L.; George, D.; Harlan, J.; Cosoli, S.; Wyatt, L.; Alvarez Fanjul, E.; Terrill, E.; Otero, M.; et al. The Global High Frequency Radar Network. Front. Mar. Sci. 2019, 6, 164. [Google Scholar] [CrossRef]
- Zhou, H.; Wen, B. Wave height estimation using the singular peaks in the sea echoes of high frequency radar. Acta Oceanol. Sin. 2018, 37, 108–114. [Google Scholar] [CrossRef]
- Lai, Y.; Wang, Y.; Zhou, H. First-Order Peaks Determination for Direction-Finding High-Frequency Radar. J. Mar. Sci. Eng. 2021, 9, 8. [Google Scholar] [CrossRef]
- Wyatt, L.R.; Green, J.J.; Middleditch, A. HF radar data quality requirements for wave measurement. Coast. Eng. 2011, 58, 327–336. [Google Scholar] [CrossRef]
- You, J.; Faltinsen, O.M. A numerical investigation of second-order difference-frequency forces and motions of a moored ship in shallow water. J. Ocean Eng. Mar. Energy 2015, 1, 157–179. [Google Scholar] [CrossRef] [Green Version]
- Barrick, D.; Fernandez, V.; Ferrer, M.I.; Whelan, C.; Breivik, Ø. A short-term predictive system for surface currents from a rapidly deployed coastal HF radar network. Ocean Dyn. 2012, 62, 725–740. [Google Scholar] [CrossRef]
- Coe, R.G.; Bacelli, G.; Forbush, D. A practical approach to wave energy modeling and control. Renew. Sustain. Energy Rev. 2021, 142, 110791. [Google Scholar] [CrossRef]
- Rijnsdorp, D.P.; Zijlema, M. Simulating waves and their interactions with a restrained ship using a non-hydrostatic wave-flow model. Coast. Eng. 2016, 114, 119–136. [Google Scholar] [CrossRef] [Green Version]
- Wang, X.; Ichikawa, K. Effect of High-Frequency Sea Waves on Wave Period Retrieval from Radar Altimeter and Buoy Data. Remote Sens. 2016, 8, 764. [Google Scholar] [CrossRef] [Green Version]
- Dyakonov, G.S.; Ibrayev, R.A. Long-term evolution of Caspian Sea thermohaline properties reconstructed in an eddy-resolving ocean general circulation model. Ocean Sci. 2019, 15, 527–541. [Google Scholar] [CrossRef] [Green Version]
- Dubey, A.K.; Gupta, P.K.; Dutta, S.; Singh, R.P. An improved methodology to estimate river stage and discharge using Jason-2 satellite data. J. Hydrol. 2015, 529, 1776–1787. [Google Scholar] [CrossRef]
- Yu, H.; Li, J.; Wu, K.; Wang, Z.; Yu, H.; Zhang, S.; Hou, Y.; Kelly, R.M. A global high-resolution ocean wave model improved by assimilating the satellite altimeter significant wave height. Int. J. Appl. Earth Obs. Geoinf. 2018, 70, 43–50. [Google Scholar] [CrossRef]
- Xie, J.; Wang, X.; Yang, Z.; Hao, S. Virtual monitoring method for hydraulic supports based on digital twin theory. Min. Technol. 2019, 128, 77–87. [Google Scholar] [CrossRef]
- Yan, J.; Ma, Y.; Wang, L.; Choo, K.-K.R.; Jie, W. A cloud-based remote sensing data production system. Future Gener. Comput. Syst. 2018, 86, 1154–1166. [Google Scholar] [CrossRef] [Green Version]
- Carlson, D.F.; Griffa, A.; Zambianchi, E.; Suaria, G.; Corgnati, L.; Magaldi, M.G.; Poulain, P.-M.; Russo, A.; Bellomo, L.; Mantovani, C.; et al. Observed and modeled surface Lagrangian transport between coastal regions in the Adriatic Sea with implications for marine protected areas. Cont. Shelf Res. 2016, 118, 23–48. [Google Scholar] [CrossRef]
- Kostianoy, A.G.; Ginzburg, A.I.; Lavrova, O.Y.; Lebedev, S.A.; Mityagina, M.I.; Sheremet, N.A.; Soloviev, D.M. Comprehensive Satellite Monitoring of Caspian Sea Conditions. In Remote Sensing of the Asian Seas; Barale, V., Gade, M., Eds.; Springer: Cham, Switzerland, 2019. [Google Scholar] [CrossRef]
- Padulano, R.; Lama, G.F.C.; Rianna, G.; Santini, M.; Mancini, M.; Stojiljkovic, M. Future rainfall scenarios for the assessment of water availability in Italy. In Proceedings of the 2020 IEEE International Workshop on Metrology for Agriculture and Forestry (MetroAgriFor), Trento, Italy, 4–6 November 2020; pp. 241–246. [Google Scholar] [CrossRef]
- Severino, G.; Leveque, S.; Toraldo, G. Uncertainty quantification of unsteady source flows in heterogeneous porous media. J. Fluid Mech. 2019, 870, 5–26. [Google Scholar] [CrossRef]
- Lama, G.F.C.; Errico, A.A.; Francalanci, S.; Solari, L.; Preti, F.; Chirico, G.B. Comparative analysis of modelled and measured vegetative Chézy’s flow resistance coefficients in a drainage channel vegetated by dormant riparian reed. In Proceedings of the International IEEE Workshop on Metrology for Agriculture and Forestry, Portici, Italy, 24–26 October 2019; pp. 180–184. [Google Scholar] [CrossRef]
- Szeląg, B.; Suligowski, R.; Drewnowski, J.; De Paola, F.; Fernandez-Morales, F.J.; Bąk, Ł. Simulation of the number of storm overflows considering changes in precipitation dynamics and the urbanisation of the catchment area: A probabilistic approach. J. Hydrol. 2021, 598, 126275. [Google Scholar] [CrossRef]
- Lama, G.F.C.; Rillo Migliorini Giovannini, M.; Errico, A.; Mirzaei, S.; Chirico, G.B.; Preti, F. The impacts of Nature Based Solutions (NBS) on vegetated flows’ dynamics in urban areas. In Proceedings of the 2021 IEEE International Workshop on Metrology for Agriculture and Forestry (MetroAgriFor), Trento-Bolzano, Italy, 3–5 November 2021; pp. 58–63. [Google Scholar] [CrossRef]
- Severino, G.; Cuomo, S.; Sommella, A.; D’Urso, G. On the longitudinal dispersion in conservative transport through heterogeneous porous formations at finite Peclet numbers. Water Resour. Res. 2017, 53, 8614–8625. [Google Scholar] [CrossRef]
- Lama, G.F.C.; Crimaldi, M.; De Vivo, A.; Chirico, G.B.; Sarghini, F. Eco-hydrodynamic characterization of vegetated flows derived by UAV-based imagery. In Proceedings of the 2021 IEEE International Workshop on Metrology for Agriculture and Forestry (MetroAgriFor), Trento-Bolzano, Italy, 3–5 November 2021; pp. 273–278. [Google Scholar] [CrossRef]
- Di Cristo, C.; Iervolino, M.; Vacca, A.; Zanuttigh, B. Roll-waves prediction in dense granular flows. J. Hydrol. 2009, 77, 50–58. [Google Scholar] [CrossRef]
- Lama, G.F.C.; Errico, A.; Francalanci, S.; Solari, L.; Chirico, G.B.; Preti, F. Hydraulic Modeling of Field Experiments in a Drainage Channel Under Different Riparian Vegetation Scenarios. In Innovative Biosystems Engineering for Sustainable Agriculture, Forestry and Food Production; Lecture Notes in Civil Engineering; Coppola, A., Di Renzo, G., Altieri, G., D’Antonio, P., Eds.; Springer International Publishing: Cham, Switzerland, 2020; pp. 69–77. [Google Scholar] [CrossRef]
- Fallico, C.; De Bartolo, S.; Brunetti, G.F.A.; Severino, G. Use of fractal models to define the scaling behavior of the aquifers’ parameters at the mesoscale. Stoch. Environ. Res. Risk Assess. 2021, 35, 971–984. [Google Scholar] [CrossRef]
- Sadeghifar, T.; Lama, G.F.C.; Sihag, P.; Bayram, A.; Kisi, O. Wave height predictions in complex sea flows through soft computing models: Case study of Persian Gulf. Ocean Eng. 2022, 245, 110467. [Google Scholar] [CrossRef]
- Avino, A.; Manfreda, S.; Cimorelli, L.; Pianese, D. Trend of annual maximum rainfall in Campania region (Southern Italy). Hydrol. Process. 2021, 35, e14447. [Google Scholar] [CrossRef]
- Sadeghifar, T.; Nouri Motlagh, M.; Torabi Azad, M.; Mohammad Mahdizadeh, M. Coastal wave height prediction using Recurrent Neural Networks (RNNs) in the south Caspian Sea. Mar. Geod. 2017, 40, 454–465. [Google Scholar] [CrossRef]
- Buccino, M.; Tuozzo, S.; Ciccaglione, M.C.; Calabrese, M. Predicting Crenulate Bay Profiles from Wave Fronts: Numerical Experiments and Empirical Formulae. Geosciences 2021, 11, 208. [Google Scholar] [CrossRef]
- Errico, A.; Lama, G.F.C.; Francalanci, S.; Chirico, G.B.; Solari, L.; Preti, F. Flow dynamics and turbulence patterns in a drainage channel colonized by common reed (Phragmites australis) under different scenarios of vegetation management. Ecol. Eng. 2019, 133, 39–52. [Google Scholar] [CrossRef]
- Saponaro, M.; Agapiou, A.; Hadjimitsis, D.G.; Tarantino, E. Influence of Spatial Resolution for Vegetation Indices’ Extraction Using Visible Bands from Unmanned Aerial Vehicles’ Orthomosaics Datasets. Remote Sens. 2021, 13, 3238. [Google Scholar] [CrossRef]






Publisher’s Note: MDPI stays neutral with regard to jurisdictional claims in published maps and institutional affiliations. |
© 2022 by the authors. Licensee MDPI, Basel, Switzerland. This article is an open access article distributed under the terms and conditions of the Creative Commons Attribution (CC BY) license (https://creativecommons.org/licenses/by/4.0/).
Share and Cite
Lama, G.F.C.; Sadeghifar, T.; Azad, M.T.; Sihag, P.; Kisi, O. On the Indirect Estimation of Wind Wave Heights over the Southern Coasts of Caspian Sea: A Comparative Analysis. Water 2022, 14, 843. https://doi.org/10.3390/w14060843
Lama GFC, Sadeghifar T, Azad MT, Sihag P, Kisi O. On the Indirect Estimation of Wind Wave Heights over the Southern Coasts of Caspian Sea: A Comparative Analysis. Water. 2022; 14(6):843. https://doi.org/10.3390/w14060843
Chicago/Turabian StyleLama, Giuseppe Francesco Cesare, Tayeb Sadeghifar, Masoud Torabi Azad, Parveen Sihag, and Ozgur Kisi. 2022. "On the Indirect Estimation of Wind Wave Heights over the Southern Coasts of Caspian Sea: A Comparative Analysis" Water 14, no. 6: 843. https://doi.org/10.3390/w14060843
APA StyleLama, G. F. C., Sadeghifar, T., Azad, M. T., Sihag, P., & Kisi, O. (2022). On the Indirect Estimation of Wind Wave Heights over the Southern Coasts of Caspian Sea: A Comparative Analysis. Water, 14(6), 843. https://doi.org/10.3390/w14060843

