Advanced Electrodegradation of Doxorubicin in Water Using a 3-D Ti/SnO2 Anode
Abstract
:1. Introduction
2. Materials and Methods
2.1. Preparation of the DSA Electrode
- Pretreatment of a titanium plate’s surface: First, a titanium plate (1 × 1 cm) was sanded with sandpaper P4000, followed by an ultrasonic treatment in deionized water for 30 min. Then, it was placed in a 10% (wt%) sodium hydroxide solution for 1 h at 80 °C and finally in a 10% (wt%) oxalic acid solution, for 2 h at 80 °C. Lastly, the Ti substrate were rinsed sequentially with acetone, ethanol, and deionized water and the dried at 60 °C.
- Preparation of an SnO2 gel: Anhydrous tin chloride (SnCl2, 99%, Aldrich) was used as a tin source, and polyethylene glycol Pluronic P-123 (Aldrich) was applied as the structure-directing agent. All chemicals were used without further purification. SnO2 samples were synthesized using a sol–gel method as follows: a solution was prepared by dispersing 1.5 g of Pluronic P-123 in 15 mL ethanol over 1 h at 40 °C. Then, the solution was mixed with 5 mL of SnCl2 and 10 mL of distilled water under continuous stirring. An appropriate amount of HCl was then added to adjust the acidity of the solution. After 4 h of mixing, the transparent gel was left standing to age for 3 weeks in a hermetic dark recipient.
- Preparation of the Ti/SnO2 electrode: The Ti/SnO2 electrode was obtainedby the spin-coating method (WS-400-6NPPB Spin Coater-Laurell Technology Corporation) by deposition of SnO2 thin films on Ti plates, according to following protocol: 0.1 g of SnO2 transparent gel was diluted with 1 mL of ethanol and subjected to ultrasound for 20 min. Then, 100 µL of gel was deposited underrotation at 3000 rot/min for 10 s and subsequentlydried for 30 min at 60 °C. After repeating this process 6 times, the samples were calcined at 500 °C for 1 h at a ramping rate of 1 °C/min to ensure the complete decomposition of the organic polymer and improve the crystallinity of the particles.
2.2. Characterizaton of the DSA Electrode
2.3. Testing the DSA Electrode for DOX Degradation
3. Results and Discussion
3.1. Morpho-Structural Characterization of Ti/SnO2
3.2. Electrochemical Characterization through CV
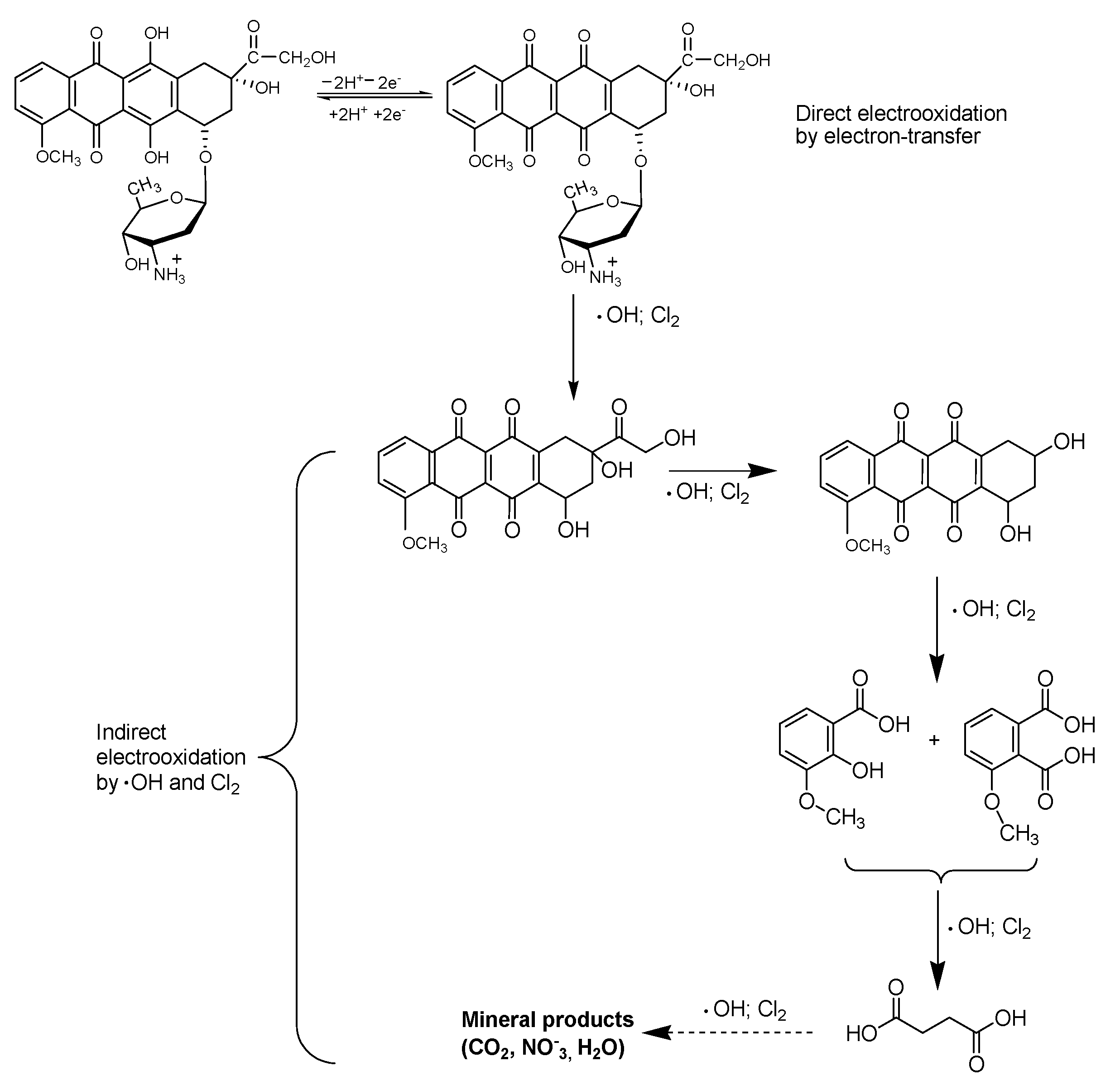
3.3. Testing Ti/SnO2 in DOX Degradation and Mineralization
4. Conclusions
Author Contributions
Funding
Acknowledgments
Conflicts of Interest
References
- Barışçıa, S.; Turkaya, O.; Ulusoya, E.; Şekerb, M.G.; Yüksela, E.; Dimogloa, A. Electro-oxidation of cytostatic drugs: Experimental and theoretical identification of by-products and evaluation of ecotoxicological effects. Chem. Eng. J. 2018, 334, 1820–1827. [Google Scholar] [CrossRef]
- Pieczynska, A.; Ochoa-Chavez, S.A.; Wilczewska, P.; Bielicka-Giełdon, A.; Siedlecka, E.M. Insights into mechanisms of electrochemical drug degradation in their mixtures in the split-flow reactor. Molecules 2019, 24, 4356. [Google Scholar] [CrossRef] [PubMed] [Green Version]
- Jureczko, M.; Kalka, J. Cytostatic pharmaceuticals as water contaminants. Eur. J. Pharmacol. 2020, 866, 172816. [Google Scholar] [CrossRef] [PubMed]
- Rybczynska-Tkaczyk, K.; Kornillowicz-Kowalska, T.; Szychowski, K.A. Possibility to biotransform anthracyclines by peroxidases produced by bjerkandera CCBAS 930 with reduction of geno-and cytotoxicity and pro-oxidative activity. Molecules 2021, 26, 462. [Google Scholar] [CrossRef] [PubMed]
- Bouma, J.; Beijnen, J.H.; Bult, A.; Underberg, W.J.M. Anthracycline antitumour agents. Pharm. Weekbl. Sci. Ed. 1986, 8, 109–133. [Google Scholar] [CrossRef]
- Siedlecka, E.M.; Ofiarska, A.; Borzyszkowska, A.F.; Bialk-Bielinska, A.; Stepnowski, P.; Pieczynska, A. Cytostatic drug removal using electrochemical oxidation with BDD electrode: Degradation pathway and toxicity. Water Res. 2018, 144, 235–245. [Google Scholar] [CrossRef]
- Garcia, L.F.; Gonçalves Moreno, E.K.; Barroso Brito, L.; Rodrigues de Oliveira, G.A.; Linares, J.J.; de Souza Gil, E. Effective degradation of the antineoplastic doxorubicin by electrochemical oxidation on boron doped diamond. J. Electroanal. Chem. 2020, 870, 114252. [Google Scholar] [CrossRef]
- Vasilie, S.; Manea, F.; Baciu, A.; Pop, A. Dual use of boron-doped diamond electrode in antibiotics-containing water treatment and process control. Process. Saf. Environ. Prot. 2018, 117, 446–453. [Google Scholar] [CrossRef]
- Ching-Ju, M.C.; Tsan-Yao, C.; Menshan, L.; Chiung-Fen, C.; Yu-Ting, L.; Yu-Tsun, K. Effective anodic oxidation of naproxen by platinum nanoparticles coated FTO glass. J. Hazard. Mater. 2014, 277, 110–119. [Google Scholar]
- Bampos, G.; Petala, A.; Frontistis, Z. Recent trends in pharmaceuticals removal from water using electrochemical oxidation processes. Environments 2021, 8, 85. [Google Scholar] [CrossRef]
- Da Silva, S.W.; Welter, J.B.; Albornoz, L.L.; ArenhartHeberle, A.N.; Zoppas Ferreira, J.; Moura Bernardes, A. Advanced electrochemical oxidation processes in the treatment of pharmaceutical containing water and wastewater: A review. Curr. Pollut. Rep. 2021, 7, 146–159. [Google Scholar] [CrossRef]
- Moreno, E.K.G.; Garcia, L.F.; Lobón, G.S.; Brito, L.B.; Oliveira, G.A.R.; Luque, R.; de Souza Gil, E. Ecotoxicological assessment and electrochemical remediation of doxorubicin. Ecotoxicol. Environ. Saf. 2019, 179, 143–150. [Google Scholar] [CrossRef] [PubMed]
- Shestakova, M.; Sillanpää, M. Electrode materials used for electrochemical oxidation of organic compounds in wastewater. Rev. Environ. Sci. Biotechnol. 2017, 16, 223–238. [Google Scholar] [CrossRef]
- Sirés, I.; Brillas, E.; Oturan, M.A.; Rodrigo, M.A.; Panizza, M. Electrochemical advanced oxidation processes: Today and tomorrow. A review. Environ. Sci. Pollut. Res. 2014, 21, 8336–8367. [Google Scholar] [CrossRef] [PubMed]
- Sonia, B.D.; Patel, U.D.; Agrawal, A.; Rupareila, J.P. Application of BDD and DSA electrodes for the removal of RB 5 in batch and continuous operation. J. Water Process. Eng. 2017, 17, 11–21. [Google Scholar] [CrossRef]
- Comninellis, C. Electrocatalysis in the electrochemical conversion/combustion of organic pollutants for waste water treatment. Electrochim. Acta 1994, 39, 1857–1862. [Google Scholar] [CrossRef]
- Krstić, V.; Pešovski, B. Reviews the research on some dimensionally stable anodes (DSA) based on titanium. Hydrometallurgy 2019, 185, 71–75. [Google Scholar] [CrossRef]
- Radjenovic, J.; Sedlak, D.L. Challenges and opportunities for electrochemical processes as next-generation technologies for the treatment of contaminated water. Environ. Sci. Technol. 2015, 49, 11292–11302. [Google Scholar] [CrossRef]
- Seibert, D.; Zorzo, C.F.; Borba, F.H.; de Souza, R.M.; Quesada, H.B.; Bergamasco, R.; Baptista, A.T.; Inticher, J.J. Occurrence, statutory guideline values and removal of contaminants of emerging concern by Electrochemical Advanced Oxidation Processes: A review. Sci. Total Environ. 2020, 748, 141527. [Google Scholar] [CrossRef]
- Zhong, X.; Yang, B.; Zhang, X.; Jia, J.; Yi, G. Effect of calcining temperature and time on the characteristics of Sb-doped SnO2 nanoparticles synthesized by the sol-gel method. Particuology 2012, 10, 365–370. [Google Scholar] [CrossRef]
- Zhou, C.; Wang, Y.; Chen, J.; Xu, L.; Huang, H.; Niu, J. High-efficiency electrochemical degradation of antiviral drug abacavir using a penetration flux porous Ti/SnO2-Sb anode. Chemosphere 2019, 225, 304–310. [Google Scholar] [CrossRef] [PubMed]
- Duan, Y.; Chen, Y.; Wen, Q.; Duan, T. Fabrication of dense spherical and rhombic Ti/Sb-SnO2 electrodes with enhanced electrochemical activity by colloidal electrodeposition. J. Electroanal. Chem. 2016, 768, 81–88. [Google Scholar] [CrossRef]
- Sun, Y.; Cheng, S.; Mao, Z.; Lin, Z.; Ren, X.; Yu, Z. High electrochemical activity of a Ti/SnO2-Sb electrode electrodeposited using deep eutectic solvent. Chemosphere 2019, 239, 124715. [Google Scholar] [CrossRef] [PubMed]
- Scott, J.I.; Martinez-Gazoni, R.F.; Allen, M.W.; Reeves, R.J. Optical and electronic properties of high quality Sb-doped SnO2 thin films grown by mist chemical vapor deposition. J. Appl. Phys. 2019, 126. [Google Scholar] [CrossRef]
- Sun, Y.; Cheng, S.; Yu, Z.; Li, L.; Li, C.; Yang, J. Elucidating deactivation mechanisms of Pd-doped and un-doped Ti/SnO2-Sb electrodes. J. Alloys Compd. 2020, 834, 155184. [Google Scholar] [CrossRef]
- Xu, H.; Zhang, Q.; Yan, W.; Chu, W. A composite Sb-doped SnO2 electrode based on the TiO2 nanotubes prepared by hydrothermal synthesis. Int. J. Electrochem. Sci. 2011, 6, 6639–6652. [Google Scholar]
- Yan, B.; Chen, A.; Shao, C.; Zhu, K. Microrod structure and properties of Sb-doped Ti/SnO2 anodes prepared by magnetron sputtering. Sci. Bull. 2015, 60, 2135–2139. [Google Scholar] [CrossRef] [Green Version]
- Fauzia, V.; Yusnidar, M.N.; Lalasari, L.H.; Subhan, A.; Umar, A.A. High figure of merit transparent conducting Sb-doped SnO2 thin films prepared via ultrasonic spray pyrolysis. J. Alloys Compd. 2017, 720, 79–85. [Google Scholar] [CrossRef]
- Yao, P. Effects of Sb doping level on the properties of Ti/SnO2-Sb electrodes prepared using ultrasonic spray pyrolysis. Desalination 2011, 267, 170–174. [Google Scholar] [CrossRef]
- Liu, H.; Chen, J.; Hu, R.; Yang, X.; Ruan, H. Facile one-pot synthesis of self-assembled 3-D flower-like SnO2 architectures and their electrochemical properties. J. Mater. Sci. Mater. Electron. 2016, 27, 3968–3973. [Google Scholar] [CrossRef]
- Fan, J.; Guerrero, M.; Carretero-Genevrier, A.; Baro, M.D.; Surinach, S.; Pellicer, E.; Sort, J. Evaporation-induced self-assembly synthesis of Ni-doped mesoporous SnO2 thin films with tunable room temperature magnetic properties. J. Mater. Chem. C 2017, 5, 5517–5527. [Google Scholar] [CrossRef] [Green Version]
- Caliari, P.C.; Pacheco, M.J.; Ciríaco, L.; Lopes, A. Tannery wastewater: Organic load and sulfide removal dynamics by electrochemical oxidation at different anode materials. Environ. Technol. Innov. 2019, 14, 100345. [Google Scholar] [CrossRef]
- Szafraniec, E.; Majzner, K.; Farhane, Z.; Byrne, H.J.; Lukawska, M.; Oszczapowicz, I.; Chlopicki, S.; Baranska, M. Spectroscopic studies of anthracyclines: Structural characterization and in vitro tracking. Spectrochim. Acta A Mol. Biomol. Spectrosc. 2016, 169, 152–160. [Google Scholar] [CrossRef] [PubMed] [Green Version]
- Manet, I.; Manoli, F.; Zambelli, B.; Andreano, G.; Masi, A.; Cellaic, L.; Monti, S. Affinity of the anthracycline antitumor drugs Doxorubicin and Sabarubicin for human telomeric G-quadruplex structures. Phys. Chem. Chem. Phys. 2011, 13, 540–551. [Google Scholar] [CrossRef] [PubMed]
- Fouillaud, M.; Venkatachalam, M.; Girard-Valenciennes, E.; Caro, Y.; Dufossé, L. Anthraquinones and derivatives from marine-derived fungi: Structural diversity and selected biological activities. Mar. Drugs 2016, 14, 64. [Google Scholar] [CrossRef] [PubMed] [Green Version]
- Thomson, R.H. Naturally Occurring Quinones, 2nd ed.; Academic Press: Cambridge, MA, USA, 1971; pp. 44–64. [Google Scholar]
- NIST Chemistry WebBook, NIST Chemistry WebBook. Available online: https://webbook.nist.gov/chemistry (accessed on 11 January 2022).
- Eaton, A.D.; Clesceri, L.S.; Rice, E.W.; Greenberg, A.E. Standard Methods for the Examination of Water and Wastewater, 21st ed.; APHA-AWWA-WEF: Washington, DC, USA, 2005. [Google Scholar]
- Ganiyu, S. Electrochemical Advanced Oxidation Processes for Removal of Pharmaceuticals from Water: Performance Studies for Sub-Stoichiometric Titanium Oxide Anode and Hierarchical Layered Double Hydroxide Modified Carbon Felt Cathode. Ph.D. Thesis, UNESCO-IHE, Institute for Water Education, Delft, The Netherlands, 2 December 2016. [Google Scholar]
- Panizza, M.; Michaud, P.A.; Cerisola, G.; Comninellis, C. Anodic oxidation of 2-naphthol at boron-doped diamond electrodes. J. Electroanal. Chem. 2001, 507, 206–214. [Google Scholar] [CrossRef]
- Bard, A.J.; Faulkner, L.R. Electrochemical Methods: Fundamentals and Applications; Wiley: New York, NY, USA, 1980. [Google Scholar]
- Comninellis, C.; Pulgarin, C. Anodic oxidation of phenol for wastewater treatment. J. Appl. Electrochem. 1991, 21, 703–708. [Google Scholar] [CrossRef]
- Ratiu, C.; Manea, F.; Lazau, C.; Grozescu, I.; Radovan, C.; Schoonman, J. Electrochemical oxidation of p-aminophenol from water with boron-doped diamond anodes and assisted photocatalytically by TiO2-supported zeolite. Desalination 2010, 260, 51–56. [Google Scholar] [CrossRef]
- Martinez-Huitle, C.A.; Rodrigo, M.A.; Sires, I.; Scialdone, O. Single and coupled electrochemical processes and reactors for the abatement of organic water pollutants: A critical Review. Chem. Rev. 2015, 115, 13362–13407. [Google Scholar] [CrossRef]
- Sanchez-Montes, S.; Perez, J.F.; Saez, C.; Rodrigo, A.M.; Canizares, P.; Aquino, M.J. Assessing the performance of electrochemical oxidation using DSA® and BDD anodes in the presence of UVC light. Chemosphere 2020, 238, 124575. [Google Scholar] [CrossRef]
- MotocIlies, S.; Schinteie, B.; Pop, A.; Negrea, S.; Cretu, C.; Szerb, E.I.; Manea, F. Graphene quantum dots and Cu(I) liquid crystal for advanced electrochemical detection of Doxorubicine in aqueous solutions. Nanomaterials 2021, 11, 2788. [Google Scholar] [CrossRef] [PubMed]
- Ilyasov, I.R.; Beloborodov, V.L.; Selivanova, I.A.; Terekhov, R.P. ABTS/PP decolorization assay of antioxidant capacity reaction pathways. Int. J. Mol. Sci. 2020, 21, 1131. [Google Scholar] [CrossRef] [Green Version]
- Reszka, K.J.; Britigan, B.E. Doxorubicin inhibits oxidation of 2,20-azino-bis(3-ethylbenzothiazoline-6-sulfonate) (ABTS) by a lactoperoxidase/H2O2 system by reacting with ABTS-derived radical. Arch. Biochem. Biophys. 2007, 466, 164–171. [Google Scholar] [CrossRef] [PubMed] [Green Version]









| Supporting Electrolyte | DOX Concentration/ mg·L−1 | Diffusion Constant, D·109 (cm2s−1) |
|---|---|---|
| 0.05 M Na2SO4 + 0.05 M NaCl | 2.5 | 1.40 |
| 5 | 1.23 | |
| 10 | 0.60 | |
| 0.1 M Na2SO4 | 2.5 | 5.70 |
| Supporting Electrolyte | E/V | Conc. DOX(mg/L) | Time (h) | EA486 (mg/C·cm2) | EA290 (mg/C·cm2) | EA253 (mg/C·cm2) | EA232 (mg/C·cm2) | ETOC (mg/C·cm2) |
|---|---|---|---|---|---|---|---|---|
| 0.1 M Na2SO4 | 3 | 2.5 | 2 | 5.20 | - | 2.08 | 2.08 | - |
| 4 | 2.5 | 0.5 | 0.226 | - | 0.339 | 0.339 | - | |
| 2.5 | 1 | 2.20 | 0.622 | 0.962 | 0.566 | 0.050 | ||
| 2.5 | 2 | 0.929 | 0.208 | 0.388 | 0.277 | 0.017 | ||
| 0.05 M Na2SO4 + 0.05 M NaCl | 4 | 2.5 | 0.5 | 4.14 | 2.35 | 2.35 | 2.46 | 0.147 |
| 2.5 | 1 | 3.11 | 1.27 | 1.58 | 1.48 | 0.065 | ||
| 2.5 | 2 | 2.19 | 0.816 | 1.19 | 1.02 | 0.032 | ||
| 5 | 2 | 2.75 | 1.22 | 1.63 | 1.53 | 0.032 | ||
| 10 | 2 | 3.26 | 0.919 | 1.73 | 1.83 | 0.032 |
| Supporting Electrolyte | ACE | Kinetics Aspects | ||
|---|---|---|---|---|
| Degradation/Mineralization | k [min−1] | k′ [C−1] | ||
| 0.1 M Na2SO4 | 0.19 | A486 | 0.0118 | 0.194 |
| A290 | 0.0016 | 0.025 | ||
| A253 | 0.0028 | 0.051 | ||
| A232 | 0.0021 | 0.035 | ||
| TOC | 0.0005 | 0.009 | ||
| 0.05 M Na2SO4 + 0.05 M NaCl | 0.50 | A486 | 0.0168 | 0.282 |
| A290 | 0.0017 | 0.064 | ||
| A253 | 0.0040 | 0.169 | ||
| A232 | 0.0029 | 0.111 | ||
| TOC | 0.0015 | 0.027 | ||
Publisher’s Note: MDPI stays neutral with regard to jurisdictional claims in published maps and institutional affiliations. |
© 2022 by the authors. Licensee MDPI, Basel, Switzerland. This article is an open access article distributed under the terms and conditions of the Creative Commons Attribution (CC BY) license (https://creativecommons.org/licenses/by/4.0/).
Share and Cite
Orha, C.; Bandas, C.; Lazau, C.; Popescu, M.I.; Baciu, A.; Manea, F. Advanced Electrodegradation of Doxorubicin in Water Using a 3-D Ti/SnO2 Anode. Water 2022, 14, 821. https://doi.org/10.3390/w14050821
Orha C, Bandas C, Lazau C, Popescu MI, Baciu A, Manea F. Advanced Electrodegradation of Doxorubicin in Water Using a 3-D Ti/SnO2 Anode. Water. 2022; 14(5):821. https://doi.org/10.3390/w14050821
Chicago/Turabian StyleOrha, Corina, Cornelia Bandas, Carmen Lazau, Mina Ionela Popescu, Anamaria Baciu, and Florica Manea. 2022. "Advanced Electrodegradation of Doxorubicin in Water Using a 3-D Ti/SnO2 Anode" Water 14, no. 5: 821. https://doi.org/10.3390/w14050821
APA StyleOrha, C., Bandas, C., Lazau, C., Popescu, M. I., Baciu, A., & Manea, F. (2022). Advanced Electrodegradation of Doxorubicin in Water Using a 3-D Ti/SnO2 Anode. Water, 14(5), 821. https://doi.org/10.3390/w14050821

