Flow Boiling Heat Transfer Intensification Due to Inner Surface Modification in Circular Mini-Channel
Abstract
1. Introduction
Surface Modification Methods
2. Experimental Methods and Setup Description
2.1. Experimental Setup
2.2. Surface Modification
3. Experimental Results
3.1. Effect of the Modification on the Hydrodynamics
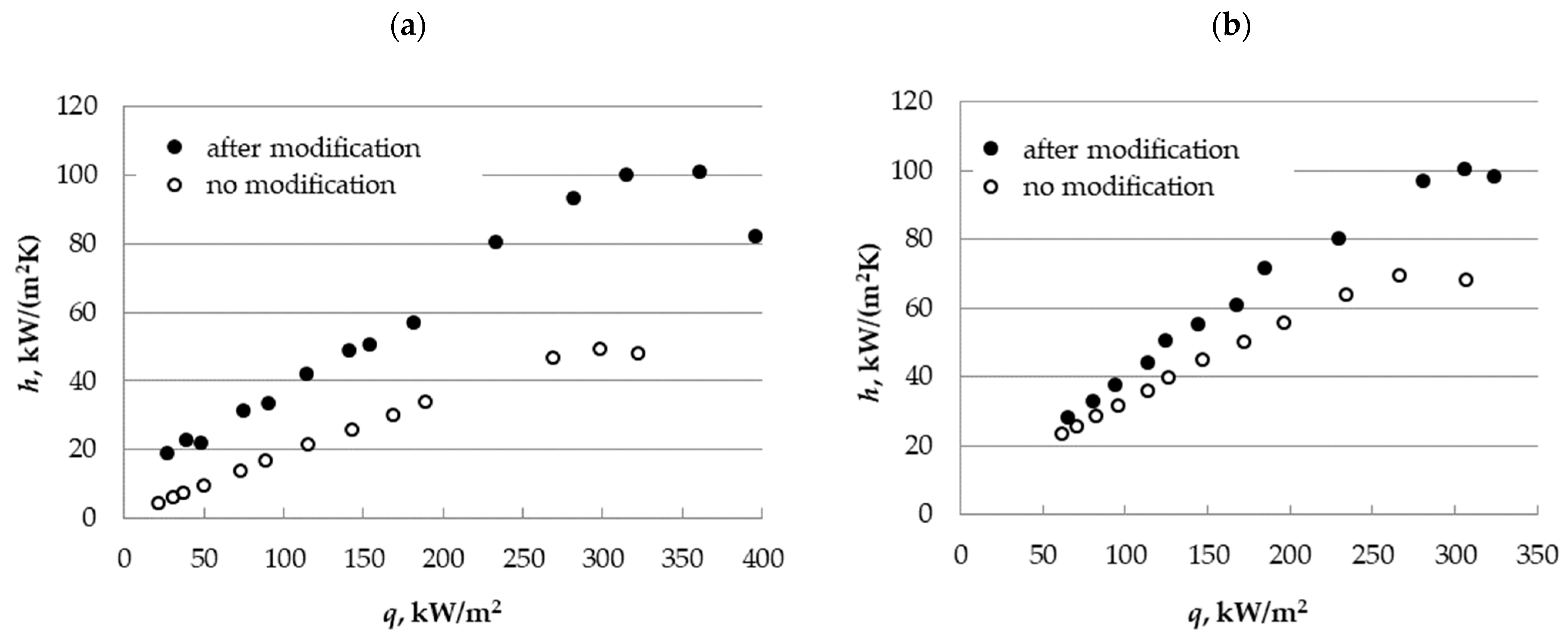
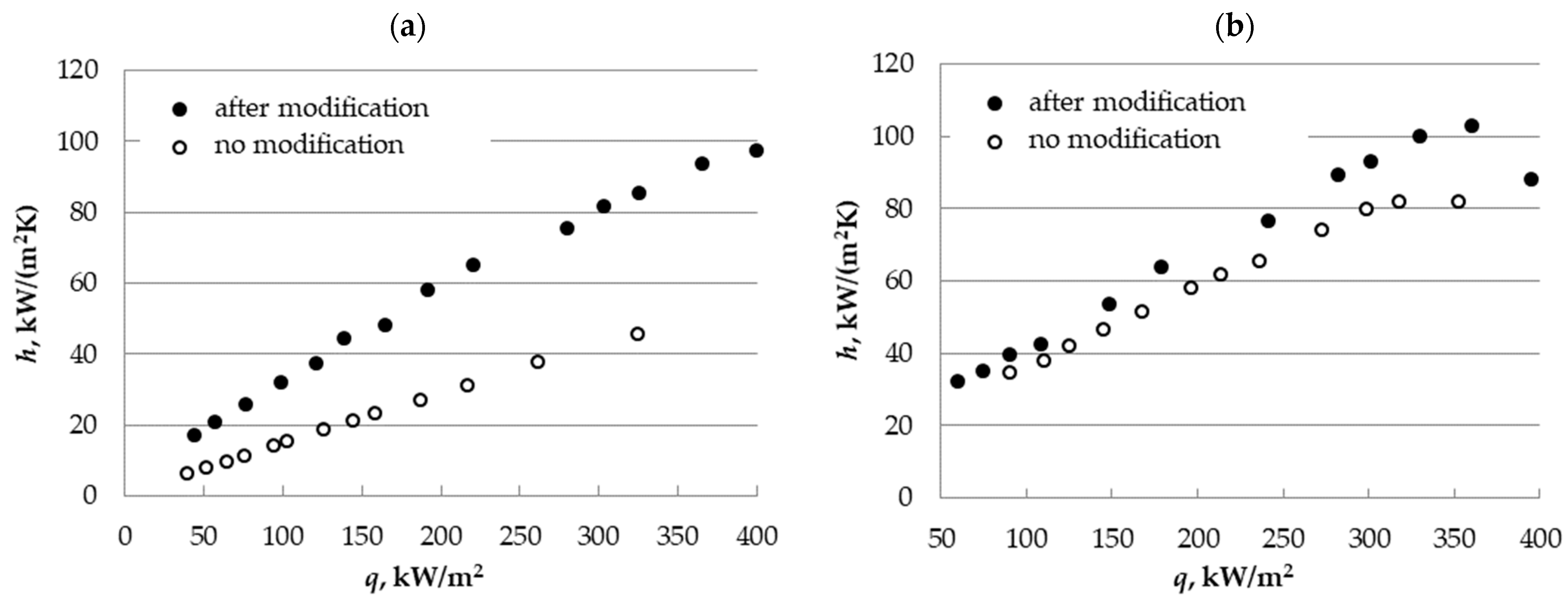
3.2. Heat Transfer Enhancement
3.3. Effect of Intensification on the CHF
4. Conclusions
Author Contributions
Funding
Conflicts of Interest
Nomenclature
| d | diameter, m |
| G | mass flow rate, kg/(m2s) |
| p | pressure, Pa |
| T | temperature, K |
| x | vapor quality |
| w | velocity, m/c2 |
| Greek symbols | |
| α | heat transfer coefficient, W/m2·K |
| ξ | hydraulic friction factor |
| ρ | density, kg/m3 |
| Subscripts | |
| l | liquid |
| g | gas |
| boil | boiling |
| con | convective |
| calc | calculated |
| exp | experimental |
| cr | critical |
| in | inlet |
| s | saturated |
| r | reduced |
References
- Li, Y.; Wang, Q.; Li, M.; Ma, X.; Xiao, X.; Ji, Y. Investigation of Flow and Heat Transfer Performance of Double-Layer Pin-Fin Manifold Microchannel Heat Sinks. Water 2022, 14, 3140. [Google Scholar] [CrossRef]
- Kumar, S.R.; Singh, S. Experimental Study on Microchannel with Addition of Microinserts Aiming Heat Transfer Performance Improvement. Water 2022, 14, 3291. [Google Scholar] [CrossRef]
- Volodin, O.A.; Pecherkin, N.I.; Pavlenko, A.N. Heat transfer enhancement at boiling and evaporation of liquids on modified surfaces-a review. Teplofizika Vysokikh Temperatur 2021, 59, 280–312. [Google Scholar] [CrossRef]
- Fujikake, J. 1980 Heat Transfer Tube for Use in Boiling Type Heat Exchangers and Method of Producing the Same. U.S. Patent 4216826, 12 August 1980. [Google Scholar]
- Zubkov, N.N. Obtaining subsurface cavities by deforming cutting to intensify bubble boiling. Vestn. Mashinostr. 2014, 11, 75–79. [Google Scholar]
- Volodin, O.A.; Pecherkin, N.; Pavlenko, A.N.; Zubkov, N.N. Heat transfer and crisis phenomena at boiling of refrigerant films falling down the surfaces obtained by deformational cutting. Interfacial Phenom. Heat Transf. 2017, 5, 215–222. [Google Scholar] [CrossRef]
- Jung, D.; An, K.; Park, J. Nucleate Boiling Heat Transfer Coefficients of HCFC22, HFC134a, HFC125, and HFC32 on Various Enhanced Tubes. Int. J. Refrigeration. 2004, 27, 202. [Google Scholar] [CrossRef]
- Jaikumar, A.; Kandlikar, S.G. Ultra-High Pool Boiling Performance and Effect of Channel Width with Selectively Coated Open Microchannels. Int. J. Heat Mass Transfer. 2016, 95, 795. [Google Scholar] [CrossRef]
- Dedov, A.V. A Review of Modern Methods for Enhancing Nucleate Boiling Heat. Therm. Eng. 2019, 66, 881–915. [Google Scholar] [CrossRef]
- Dąbek, L.; Kapjor, A.; Orman, Ł.J. Ethyl Alcohol Boiling Heat Transfer on Multilayer Meshed Surfaces AIP Conference Proceedings. AIP Publ. LLC 2016, 1745, 020005. [Google Scholar]
- Hu, B.; Zhang, S.; Wang, D.; Chen, X.; Si, X.; Zhang, D. Experimental study of nucleate pool boiling heat transfer of self-rewetting solution by surface functionalization with TiO2 nanostructure. Can. J. Chem. Eng. 2019, 97, 1399–1406. [Google Scholar] [CrossRef]
- Das, S.; Kumar, D.S.; Bhaumik, S. Experimental study of nucleate pool boiling heat transfer of water on silicon oxide nanoparticle coated copper heating surface. Appl. Therm. Eng. 2016, 96, 555–567. [Google Scholar] [CrossRef]
- Gouda, R.K.; Pathak, M.; Khan, M.K. Pool boiling heat transfer enhancement with segmented finned microchannels structured surface. Int. J. Heat Mass Transf. 2018, 127, 39–50. [Google Scholar] [CrossRef]
- Hendricks, T.J.; Krishnan, S.; Choi, C.; Chang, C.H.; Paul, B. Enhancement of pool-boiling heat transfer using nanostructured surfaces on aluminum and copper. Int. J. Heat Mass Transf. 2010, 53, 3357–3365. [Google Scholar] [CrossRef]
- Watanabe, Y.; Enoki, K.; Okawa, T. Nanoparticle layer detachment and its influence on the heat transfer characteristics in saturated pool boiling of nanofluids. Int. J. Heat Mass Transf. 2018, 125, 171–178. [Google Scholar] [CrossRef]
- Prakash, C.J.; Prasanth, R. Enhanced boiling heat transfer by nano structured surfaces and nanofluids. Renew. Sustain. Energy Rev. 2018, 82, 4028–4043. [Google Scholar] [CrossRef]
- Souza, R.R.; Manetti, L.L.; Kiyomura, I.S.; Cardoso, E.M. Liquid/surface interaction during pool boiling of DI-water on nanocoated heating surfaces. J. Braz. Soc. Mech. Sci. Eng. 2018, 40, 514. [Google Scholar] [CrossRef]
- Surtaev, A.; Kuznetsov, D.; Serdyukov, V.; Pavlenko, A.; Kalita, V.; Komlev, D.; Ivannikov, A.; Radyuk, A. Structured capillary-porous coatings for enhancement of heat transfer at pool boiling. Appl. Therm. Eng. 2018, 133, 532–542. [Google Scholar] [CrossRef]
- MacNamara, R.J.; Lupton, T.L.; Lupoi, R.; Robinson, A.J. Enhanced nucleate pool boiling on copper-diamond textured surfaces. Appl. Therm. Eng. 2019, 162, 114145. [Google Scholar] [CrossRef]
- Dharmendra, M.; Suresh, S.; Kumar, C.S.; Yang, Q. Pool boiling heat transfer en- hancement using vertically aligned carbon nanotube coatings on a copper substrate. Appl. Therm. Eng. 2016, 99, 61–71. [Google Scholar] [CrossRef]
- Xia, G.; Du, M.; Cheng, L.; Wang, W. Experimental study on the nucleate boiling heat transfer characteristics of a water-based multi-walled carbon nanotubes nanofluid in a confined space. Int. J. Heat Mass Transf. 2017, 113, 59–69. [Google Scholar] [CrossRef]
- Kumar, G.U.; Soni, K.; Suresh, S.; Ghosh, K.; Thansekhar, M.R.; Babu, P.D. Modified surfaces using seamless graphene/carbon nanotubes-based nanostruc- tures for enhancing pool boiling heat transfer. Exp. Therm. Fluid Sci. 2018, 96, 493–506. [Google Scholar] [CrossRef]
- Shin, S.; Choi, G.; Seok, K.B.; Cho, H.H. Flow boiling heat transfer on nanowire-coated surfaces with highly wetting liquid. Energy 2014, 76, 428–435. [Google Scholar] [CrossRef]
- Wang, L.; Wang, Y.; Cheng, W.; Yu, H.; Xu, J. Boiling heat transfer properties of copper surface with different microstructures. Mater. Chem. Phys. 2021, 267, 124589. [Google Scholar] [CrossRef]
- Kumar, U.G.; Suresh, S.; Kumar, C.S.; Seunghyun, B. A review on the role of laser textured surfaces on boiling heat transfer. Int. Appl. Therm. Eng. 2020, 174, 115274. [Google Scholar] [CrossRef]
- McCarthy, M.; Gerasopoulos, K.; Maroo, S.C.; Hart, A.J. Materials, Fabrication, and Manufacturing of Micro/Nanostructured Surfaces for Phase-Change Heat Transfer Enhancement. Nanoscale Microscale Thermophys. Eng. 2014, 18, 288–310. [Google Scholar] [CrossRef]
- Zhang, S.; Jiang, X.; Li, Y. Extraordinary Boiling Enhancement through Micro-Chimney Effects in Gradient Porous Micromeshes for High-Power Applications. Energy Convers. Manag. 2020, 209, 112665. [Google Scholar] [CrossRef]
- Zhang, X.; Zhang, J.; Ji, H.; Zhao, D. Heat transfer enhancement and pressure drop performance for R417A flow boiling in internally grooved tubes. Energy 2015, 86, 446–454. [Google Scholar] [CrossRef]
- Vahid, E.; Suleyman, C.; Sadaghiani, K.A.; Khellil, S.; Ali, K. Effect of Surface Biphilicity on FC-72 Flow Boiling in a Rectangular Minichannel. Front. Mech. Eng. 2021, 7, 755580. [Google Scholar]
- Belyaev, A.V.; Varava, A.N.; Dedov, A.V.; Komov, A.T. Critical heat flux at flow boiling of refrigerants in minichannels at high reduced pressure. Int. J. Heat Mass Transf. 2018, 122, 732–739. [Google Scholar] [CrossRef]
- Belyaev, A.V.; Varava, A.N.; Dedov, A.V.; Komov, A.T. An experimental study of flow boiling in minichannels at high reduced pressure. Int. J. Heat Mass Transf. 2017, 110, 360–373. [Google Scholar] [CrossRef]
- Belyaev, A.V.; Dedov, A.V.; Krapivin, I.I.; Varava, A.N.; Jiang, P.; Xu, R. Study of Pressure Drops and Heat Transfer of Nonequilibrial Two-Phase Flows. Water 2021, 13, 2275. [Google Scholar] [CrossRef]
- Idelchik, I.E. Spravochnik po Gidravlicheskim Soprotivleniyam, 2nd ed.; Mashinostroenie: Moskva, Russia, 1975; pp. 143–162.












| Saturation temperature (1 atm), °C | −48.1 |
| Critical point pressure, MPa | 3.618 |
| Liquid density (25 °C), kg/m3 | 1190 |
| Vapor density (boiling temperature), kg/m3 | 6.7 |
| Surface tension (25 °C), N/m | 0.014 |
| Liquid specific heat, kJ/(kg·K) | 1.399 |
| Latent heat of vaporization (25 °C), kJ/kg | 164 |
| Liquid thermal conductivity (25 °C), W/(m·K) | 0.062 |
| Liquid viscosity (25 °C), mPa·s | 0.141 |
| T1 | T2 | T3 | T4 | T5 |
|---|---|---|---|---|
| 2.5 | 15.5 | 28.5 | 40 | 48 |
| Parameter | Uncertainty |
|---|---|
| Current | ±0.9% |
| Voltage | ±0.5 mV |
| Mass flow rate | ±0.2% |
| Inlet and outlet temperatures | ±0.1 °C |
| Wall temperature | ±0.8% |
| Inlet and outlet pressure sensors | ±1% |
| Pressure drop sensor | ±0.2% |
| Tube diameter | ±0.05 μm |
Publisher’s Note: MDPI stays neutral with regard to jurisdictional claims in published maps and institutional affiliations. |
© 2022 by the authors. Licensee MDPI, Basel, Switzerland. This article is an open access article distributed under the terms and conditions of the Creative Commons Attribution (CC BY) license (https://creativecommons.org/licenses/by/4.0/).
Share and Cite
Belyaev, A.V.; Dedov, A.V.; Sidel’nikov, N.E.; Jiang, P.; Varava, A.N.; Xu, R. Flow Boiling Heat Transfer Intensification Due to Inner Surface Modification in Circular Mini-Channel. Water 2022, 14, 4054. https://doi.org/10.3390/w14244054
Belyaev AV, Dedov AV, Sidel’nikov NE, Jiang P, Varava AN, Xu R. Flow Boiling Heat Transfer Intensification Due to Inner Surface Modification in Circular Mini-Channel. Water. 2022; 14(24):4054. https://doi.org/10.3390/w14244054
Chicago/Turabian StyleBelyaev, Aleksandr V., Alexey V. Dedov, Nikita E. Sidel’nikov, Peixue Jiang, Aleksander N. Varava, and Ruina Xu. 2022. "Flow Boiling Heat Transfer Intensification Due to Inner Surface Modification in Circular Mini-Channel" Water 14, no. 24: 4054. https://doi.org/10.3390/w14244054
APA StyleBelyaev, A. V., Dedov, A. V., Sidel’nikov, N. E., Jiang, P., Varava, A. N., & Xu, R. (2022). Flow Boiling Heat Transfer Intensification Due to Inner Surface Modification in Circular Mini-Channel. Water, 14(24), 4054. https://doi.org/10.3390/w14244054
