Abstract
Evaluating the functionality of small and decentralized low-impact development (LID) technologies often requires extensive labor, time, and costs for water quality analysis. In order to reduce these in an infiltration trench in South Korea, monitoring data gathered over a period of 8 years were used to determine its long-term performance, establish a stormwater quality estimation model, and develop a comprehensive evaluation tool. Our findings show that the infiltration trench can treat up to 90% of the stormwater runoff from a paved road but would require annual maintenance to minimize the reduction in infiltration capacity. The facility was able to remove an average of 83% of total suspended solids (TSS), 75% of biochemical oxygen demand (BOD), 80% of chemical oxygen demand (COD), 76% of total nitrogen (TN), and 79% of total phosphorus (TP), with the highest removal efficiencies observed after maintenance was conducted. Rainfall depth and air quality parameters (i.e., PM2.5 and PM10) were found to be positively correlated with TSS, COD, TN, and TP. These parameters were then used to develop a model for the estimation of influent stormwater quality, which can help in estimating the effluent water quality based on the average removal efficiencies. Furthermore, a comprehensive evaluation tool considering indicators such as treatment efficiency, cultural benefits, and facility and operating conditions was established through the analytic hierarchy process (AHP). Aside from determining the facility’s overall efficiency, this can also serve as a diagnostic tool to identify whether maintenance is needed or not. While atmospheric and hydrological characteristics differ in different regions, and the results may vary if applied in other facilities, this study can serve as a guide to the effective and efficient evaluation of similar stormwater management facilities in South Korea.
1. Introduction
The global rise in urbanization has led to several environmental challenges, including water quality degradation, heat island phenomena, drought, urban flooding, and climate change [1,2,3,4]. Water quality degradation, in particular, poses indirect effects on aquatic ecosystems, wildlife habitats, and human health. Increasing the use of impermeable surfaces reduces soil infiltration, thereby increasing surface runoff [5,6,7]. The resulting low infiltration rates cause water-table recession due to insufficient groundwater recharge and, in some cases, floodwaters from urban areas may result in the contamination of groundwater and surface water. To alleviate the adverse effects of urbanization on the environment, the concept of low-impact development (LID) has been adopted by the government of South Korea in cooperation with universities and other private institutions.
As compared to conventional stormwater management systems, LID structures are relatively smaller in scale and are located at or near the source of runoff. Aside from mitigating high flow rates, the primary goal of LID is initially to maintain pre-development runoff volume [8]. As the technique has evolved, the benefits of LID have expanded to include pollution abatement, protection of downstream water resources and wildlife habitats, increased aesthetic and property values, and improving the quality of human life [9]. One example of an LID technique is the infiltration trench, which is typically a narrow, channel-like structure filled with filter media and designed mainly for the detention, infiltration, and treatment of stormwater.
Research on infiltration trenches has been conducted over the years with a variety of focuses, including pollutant reduction, flow regimes, clogging, and modelling [10,11,12]. However, this concept has only been applied in South Korea in the past decade, and investigating the effectiveness of this technology requires experience and performance data obtained through long-term monitoring. On-site monitoring during rainfall events requires extensive amounts of time, manpower, and costs incurred for the preparation, standby, flow measurements, collection of samples, and laboratory analysis. This means that more resources are necessary for multiple facilities in a large catchment area. To solve this issue, water quality modelling based on previously gathered data has proven useful. Most of these models show that hydrological parameters (i.e., rainfall depth, rainfall intensity, antecedent dry days) and/or topographic characteristics of the site (i.e., slope, catchment area) can be used as variables for stormwater quality estimation [13,14]. Still, some studies indicate that due to anthropogenic activities and traffic congestion, air quality and atmospheric deposition can influence the stormwater quality in urban environments [15].
Aside from water treatment and hydrological functions, LID facilities also provide other ecological and social benefits. Thus, a multi-criteria performance index can be established to evaluate their overall efficiency. One multi-criteria analysis approach that is commonly utilized for this purpose is the analytic hierarchy process (AHP) introduced by Saaty [16]. This method has its widest applications as a decision-making tool that involves arranging decision process elements in a hierarchy. These elements consist of the objectives of the decision-maker in one level, followed by the decision criteria or attributes in a sublevel and the decision options in another sublevel. All elements in each level are subjected to pairwise comparison using the scale developed by Saaty. Based on the data obtained from these comparisons, weight coefficients are assigned to the elements and used to calculate the overall weight. In the context of applying this method to evaluate LIDs, the overall weight from the AHP can be the overall efficiency of the infiltration facility, which will indicate whether it is performing well and whether it needs maintenance.
In this study, long-term monitoring data gathered in an infiltration trench treating stormwater runoff from a paved road were used to determine its long-term performance, establish a stormwater quality estimation model, and develop a comprehensive facility evaluation tool. The aim was to utilize previously gathered data to lessen the required resources for the evaluation of the system functionality of the infiltration trench and other similar stormwater management facilities.
2. Materials and Methods
2.1. Site Description
The study site is an infiltration trench built at Kongju National University in Cheonan-si, South Korea, catching stormwater runoff from the adjacent road. Infiltration trenches are typically used in highways, roads, and parking lots with high peak flows over short periods of time. The trench is designed as a facility with high infiltration capability to accommodate large amounts of runoff and high peak flows over short periods of time. The infiltration trench consists of a primary sedimentation tank with a vertical layer of woodchips, followed by horizontal layers of gravel, sand, and bottom ash, as shown in Figure 1. Additional details of the facility and its catchment are provided in Table 1. When the first flush of runoff containing high pollutant loads flows into the facility, the particulate matter is removed through physical treatment mechanisms such as settling in the primary sedimentation tank, followed by filtration. The sedimentation tank is filled with woodchips to promote sediment filtration and maximize the removal of contaminants. When clogging occurs, which is characterized by a decrease in the infiltration rate over time, the woodchips are replaced with a new batch of filter medium. After treatment in the sedimentation tank, secondary treatment is provided by the vertical filter medium—also made of woodchips—through filtration and adsorption. The upper portion of the filter media bed also removes large particles and debris—including garbage, leaves, and mud—when overflow occurs. It can also reduce the flow rate and delay the runoff time. Meanwhile, nutrients such as nitrogen and phosphorus are removed through biological mechanisms with the help of microorganisms. To facilitate the infiltration of treated stormwater into the surrounding soil, drain pipes are installed at the bottom of the facility. The sensor in the infiltration trench was installed in the filter media bed adjacent to the sedimentation tank. This sensor was used to determine PM2.5 and PM10 around the facility as well as several other parameters, such as soil moisture content and electronic conductivity. In this study, PM2.5 and PM10—which are atmospheric particles or fine dust with diameters less than 2.5 μm and 10 μm, respectively—were used. The probes were placed 30 cm below the ground to limit the effects of external variables on the sensor readings. Since the infiltration trench was primarily equipped with woodchip media, the area surrounding the probes was sufficiently compressed in order to secure the placement of the probes. According to a previous work [17], acidobacteria, nitrospirae, euryarchaeota, chlorophyta, and thaumarchaeota found in infiltration trenches are microorganisms that facilitate the removal of nitrogen. Microorganisms that dissolve inorganic substances, such as elusimicrobia and armatimonadetes, have also been found to inhabit this type of treatment technology. Overall, infiltration trenches remove contaminants such as TSS, COD, and heavy metals through physical treatment mechanisms, while also promoting the removal of nitrogen and phosphorus through the use of microorganisms that can inhabit the filter media—especially woodchips.
Figure 1.
Schematic diagram of the infiltration trench.
Table 1.
Characteristics of the infiltration trench.
2.2. Rainfall Runoff Monitoring and Sample Collection
The infiltration trench was regularly monitored from 2013 to 2021, except in 2017 due to construction and maintenance activities. A total of 31 storm events were monitored, during which influent and effluent runoff samples were also collected. Rainfall depth data were collected from the Korea Meteorological Administration (www.weather.go.kr) and real-time radar image observation. When the number of antecedent dry days was small, the pollutant concentration in the runoff was lower. In accordance with the Korean Ministry of Environment’s Manual for Installation and Management of Nonpoint Pollution Reduction Facilities, monitoring was conducted during rainfall events with at least 3 antecedent dry days and a rainfall depth of at least 5 mm. For each monitored rainfall event, samples were collected at the start of inflow (t = 0) and then at the 5, 10, 15, 30, and 60 min marks, after which samples were collected at 1-hour intervals until the end of the runoff. From each rainfall event, at least 12 samples were collected. In order to achieve this, the sampling times were adjusted depending on the rainfall duration.
Stormwater samples were collected by grab-sampling from the inlet and outlet of the facility. This random method of sampling from each designated time period can help identify the changes in pollutant loads and concentrations—especially during the first flush. Before filling the sample bottle, it was washed with the same water 3 times. Flow rates were determined through measurements of water levels, followed by the creation of a water level–flow curve. The flow rate was also calculated from the volume of water (L) collected over a period of time (sec). Water quality analysis was performed based on the Standard Methods for the Examination of Water and Wastewater. Details of the monitoring performed are summarized in Table 2.
Table 2.
Monitoring characteristics.
2.3. Analytic Hierarchy Process Analysis
The AHP is one of the most widely used analytical methods to determine the feasibility of project implementation. This method is usually employed in a complex decision-making process where multiple evaluation criteria are involved. The criteria are stratified and classified into major and detailed factors. After the classifications are established, the importance of each attribute is evaluated based on the assigned weights. This process presents a reliable method of evaluation, since it employs a systematic calculation of the importance of each attribute on a ratio scale through the hierarchical classification of multiple items or attributes. It also minimizes the errors in judgment through a systematic measurement of consistency. The AHP was initially developed to allow a single expert to evaluate a complex decision-making process. The application of this method was further expanded to enable a group of N respondents to participate in the evaluation process [16,18]. In this study, the first step was focused on the creation of a list of items that were used to evaluate LID facilities using sensors. The items were stratified into treatment efficiency, cultural benefits, operating conditions, and maintenance status based on a previous study [19]. In the second stage, a pairwise comparison was performed for each of the four individual items with N respondents. The number of respondents hierarchically ranked each item, where 5 was the highest and 1 was the lowest. After retrieving the survey results, the average weights obtained through the pairwise comparison were calculated. In the third step, the data derived from N respondents were used to calculate the score of each item. The weighted score was calculated by multiplying the derived weights by the score of each item. This process was repeated sequentially to obtain the final weighted scores of the individual items.
2.4. Calculations and Data Analyses
The concentrations of pollutants in the inflow and outflow were calculated using the formula for event mean concentration (EMC), as shown in Equation (1). Then, they were used to calculate the treatment efficiency of the infiltration trench (Equation (2)) [20,21]. EMC is commonly used to investigate the characteristics of pollutants in urban stormwater runoff as well as their contribution to the receiving water bodies [22,23]. It represents a flow-weighted average concentration calculated as the total pollutant volume of the runoff flow discharged during the rainfall period.
Pollutant loads in the inflow and outflow were also calculated, and the pollutant load reduction efficiency was estimated using Equation (3). In the equations, C(t) is the pollutant concentration (mg/L), while Q(t) is the flow rate (m3/s) at time t.
To be able to design cost-effective LID facilities, it is important to properly evaluate and quantify the pollutant reduction mechanisms. In order to properly understand the contribution of each treatment mechanism to the overall efficiency of the facility, a mass balance analysis for each pollutant was conducted. In addition, a water balance analysis was conducted based on inflow, storage, infiltration, and outflow from the facility. Figure 2 shows the schematic diagram of the water and mass balance in the facility. From the figure, it can be seen that the inflow is equal to the amount or mass of water that is retained, infiltrated, evaporated, and flowed out of the facility. In this study, evaporation was not considered because it was believed to be insignificant.
Figure 2.
(a) Water balance and (b) mass balance analysis in the infiltration trench facility.
3. Results
3.1. Influent Characteristics and Water Balance Analysis
The hydraulic and hydrological properties of the monitored storm events are presented in Table 3. During the study period, between 2 and 7 storm events were monitored per year, depending on several factors—including the frequency of rainfall during the year, rainfall and runoff conditions, time, manpower, and costs. The average values were 5.8 days ADD, 8.28 mm rainfall depth, 2.36 mm/h rainfall intensity, 4.51 h rainfall duration, 1.36 h before runoff starts, and 1.34 h hydraulic retention time. The catchment area of the infiltration trench consists of a sidewalk and a road, and the initial inflow was found to be relatively fast due to the small watershed area and the steep slope in the drainage area.
Table 3.
Hydrological characteristics of the monitored events.
Nonpoint source pollutants in urban areas are greatly affected by environmental factors such as fine dust in the air, soil weathering, ADD, and atmospheric temperature and deposition. The infiltration trench treats stormwater runoff from roads and sidewalks near a convenience store, cafeteria, student center, and a road connected to the student dormitory inside the university campus, entailing a large volume of human traffic and vehicular activities.
Traffic assessment was conducted from June to September 2021 during lunchtime (12:00–13:00 p.m.) and dinner time (18:00–19:00 p.m). The average traffic volume of people during lunchtime was around 47 in the catchment of the infiltration trench. The average inflow TSS, COD, TN, and TP EMCs were 233 mg/L, 185 mg/L, 6.83 mg/L, and 0.84 mg/L, respectively (Figure 3). Apparently, the inflow EMC was higher in the infiltration trench compared to a raingarden located near the infiltration trench, due to the frequency of human and vehicular activities. This suggests that increases in human and vehicular activities directly cause an increase in the TSS concentration, which will eventually lead to clogging of the filter media in the facility due to the accumulation of sediment in the sedimentation basin, leading to a decrease in the infiltration rate of the facility.
Figure 3.
Event mean concentrations of the pollutants in the influent.
The volume reduction in the infiltration trench was found to be 48% in 2013, indicating that maintenance activities should be performed due to clogging of the filter media. The majority of the sediments from rainfall runoff were removed in the sedimentation tank, especially during small events. However, large events with turbulent flow can disturb the sedimentation process and allow the entrance of higher concentrations of solids to the filter bed. In addition, during the initial period of operation, solid particles that can be detached from the filter media, as well as those collected during construction, can clog the facility. The accumulation of solids within the media pores and in the voids between media particles decreased the infiltration trench’s storage volume and infiltration capacity [24]. After the maintenance in 2013, the volume was further reduced by 16% in 2014 (Figure 4). However, due to a construction near the infiltration trench, the facility received high TSS loadings, causing the sedimentation tank to be clogged with soil, which required further maintenance activities in 2017. After this, the volume reduction improved, and it was still high as of July 2021—especially due to the relatively small rainfall events. Aside from sedimentation and filtration, the reduction of pollutants such as heavy metals, nutrients, and polycyclic aromatic hydrocarbons (PAHs) with sizes ranging from 10 to 300 μm takes place through adsorption to the soil micropores [25,26,27,28]. This can also cause clogging of the pores in the media and decrease the infiltration rate of the facility, which can lead to flooding and reduced treatment efficiency. If filter media clogging is not addressed properly, this may lead to leaching of initially treated nonpoint source pollutants, which may be discharged to the receiving water bodies, adversely affecting the ecosystem [29].
Figure 4.
Volume reduction in the infiltration trench during the monitoring period.
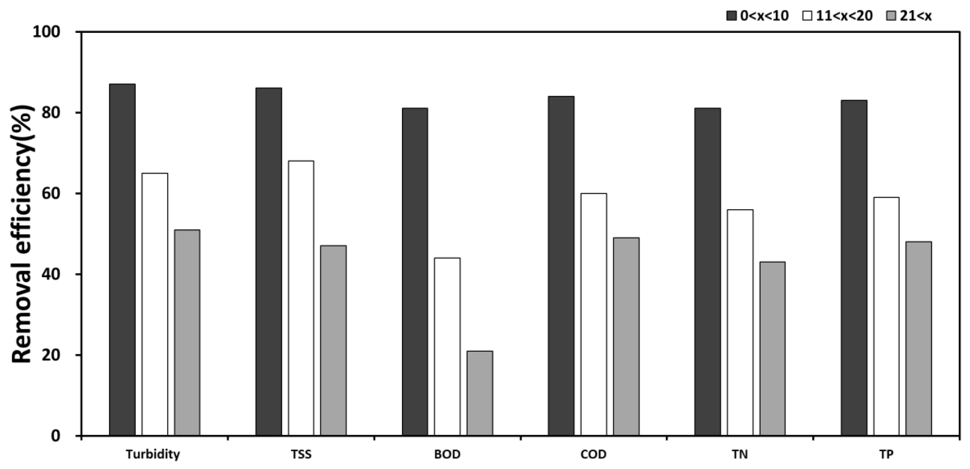
3.2. Pollutant Reduction Efficiency
The average pollutant removal efficiencies at varying rainfall depth ranges are shown in Figure 5. They were found to be 83%, 75%, 80%, 76%, and 79% for TSS, BOD COD, TN, and TP, respectively. The highest TSS removal efficiency of the facility was observed in 2018, due the maintenance activities performed in the previous year, followed by 2021, 2019, 2020, 2014, 2013, 2015, and 2016 (Figure 6). In 2016, it was found that the removal efficiency of TSS was the lowest due to the accumulation of solids in the sedimentation basin, as mentioned in the previous section, as well as clogging of the vertical woodchip filter. The infiltration trench was designed to facilitate settling of larger solids in the sedimentation tank, followed by filtration via the vertical woodchip section prior to treatment in the main media zone containing gravel, sand, and bottom ash.
Figure 5.
Analysis of the pollutant removal efficiency by rainfall depth (x).
Figure 6.
Average annual pollutant removal efficiency.
Generally, higher rainfall intensity results in higher peak flows over shorter periods of time [30,31], causing flooding and overflow in the LID facility. Runoff that overflows from the facility is assumed to have undergone less or no treatment due to flow bypass, implying that it will be directly discharged to receiving water bodies. During these instances, calculation of facility removal efficiency is difficult, since the rainfall that has occurred is beyond the designed rainfall capacity of the treatment technology.
For rainfall intensity ranging from 6 to 10 mm, overflow was not observed in the facility, indicating treatment of 100% of the runoff from the catchment area. In addition, it is believed that biological activity played a role in the pollutant removal efficiency. Relatively more microorganisms were found in the lower layer as compared to the upper layer of the filter media section. Plant roots in the facility supply organic material and nutrients that are essential for the growth of microorganisms. It was found that a greater number of microorganisms in the lower layer of the filter media compared to the upper layer contributes to the pollutant removal efficiency of the facility and the water cycle restoration in terms of organic and nutrient contents, along with environmental factors such as appropriate moisture content, pH, and DO [9].
3.3. Correlation Analysis between Pollutants
Nonpoint source pollutants are accumulated through atmospheric influences such as dust and air deposition, fine dust caused by human activities in transportation and land use, the concentration of fine dust in the air, the occurrence of rainfall, and rainfall intensity affecting the accumulation of particulate pollutants in the dry season [32]. Air pollutants are dispersed over large areas due to human and vehicular activities in large areas, and then they accumulate on the road surface during the dry season. Fine dust accumulated during the dry season is washed off with the runoff during rainfall, increasing the concentrations of COD and TN [33]. The characteristics of stormwater runoff are affected by many factors, such as climate and watershed characteristics, human activities occurring in urban areas, and vehicular activities.
A correlation analysis matrix for influent stormwater pollutants is shown in Table 4. TSS was found to be positively correlated with COD (r = 0.641, p < 0.01) and turbidity (r = 0.847, p < 0.01), indicating that these parameters can be estimated using TSS data. COD was also found to be correlated with conductivity, with an r value of 0.591 (p < 0.01). As the amount of asphalt increases in transportation land use, pollutants such as PO4-P, TKN, and NH3-N accumulate more during the dry season, and the correlation between pollutants increases according to the amount of rainfall and the intensity of rainfall [34]. A correlation analysis of inflow water quality parameters with the rainfall and air pollution in the infiltration trench is exhibited in Table 5. PM2.5 had a high correlation with PM10, with an r value of 0.514 (p < 0.01). PM2.5 was also found to be negatively correlated with rainfall, with an r value of −0.524 (p < 0.01). TSS was found to be significantly correlated with PM10, with an r value of 0.631 (p < 0.01). Rainfall was also found to be highly correlated with TN, with an r value of 0.671 (p < 0.01). These high correlations between TSS, COD, TN, TP, rainfall depth, PM2.5, and PM10 indicate that air quality and rainfall may be used to estimate the inflow water quality in the LID technology. Using Equation (4), TSS, COD, TN, and TP were estimated based on PM2.5 concentration, PM10 concentration, and rainfall depth. In this equation, α is the arbitrary constant or intercept; β, γ, and μ are the regression coefficients for PM2.5, PM10, and rainfall, respectively; and SEβ, SEγ, and SEμ are the standard error of β, γ, and μ, respectively. The resulting values for these coefficients are presented in Table 6.
Table 4.
Correlation analysis of inflow water quality parameters in the infiltration trench.
Table 5.
Correlation analysis of inflow water quality parameters with rainfall and air pollution.
Table 6.
Multiple linear regression model of inflow stormwater pollutants’ concentrations considering air quality and rainfall depth.
3.4. Development of an LID Facility Diagnosis Tool Using the AHP
The indices used in the comprehensive evaluation of the facilities’ overall efficiency can be seen in Table 7 and Equation (5). These are (1) treatment efficiency, (2) cultural benefits, (3) operating conditions, and (4) maintenance status. The important factors related to treatment efficiency include infiltration rate and recovery time, while under the cultural benefits the primary items considered are the accessibility to public and social benefits. Operating conditions pertain to the status of the facility after long-term operations. The items included in the operating conditions include the state of the surrounding environment, facility maintenance, and the filter media condition. The maintenance status index involves items related to landscape management, vegetation status, and provisions for slope protection. The sustainability of the facility was evaluated by using the data obtained from the sensor. The level of sustainability of the facility can be considered to be good if it returns to its dry-season state within 72 h from the time when the water content and electrical conductivity measurements in the facility decrease after the end of rainfall. This means that there is no clogging of pores, since the stormwater runoff infiltrates well within the facility.
Table 7.
List of indices and items used for the comprehensive evaluation of the LID technology.
- TEi = Treatment efficiency (;
- CBi = Cultural benefits ();
- OCi = Operating conditions ();
- MSi = Maintenance status ().
The evaluation of LID facilities based on the calculated overall efficiency is shown in Table 8. Scores were calculated considering the external and internal factors affecting the performance of the facilities and the sensors. For an overall efficiency score ranging from 0 to 19, overall repair work should be carried out in the facility. It is also recommended to make improvements to the design of the facility, including its surrounding area. An evaluation score ranging from 20 to 39 indicates that the area surrounding the facility is well-established or is in good condition; however, clogging is observed in the filter media and the accumulation of sediments on the top portion of the filter media is evident. It is therefore recommended to replace the filter media and remove the sediments that have accumulated within the facility. An adequate infiltration function is observed for scores ranging from 40 to 59. In accordance with the LID guideline, the infiltration of stormwater in the facility can be completed within 72 h after the monitoring. The facility should still be continuously monitored to prevent the clogging of the filter media. The trends or changes in the moisture content recovery rate should also be monitored using sensors, especially during periods of high rainfall frequency and intensity. An overall efficiency score of 60 or higher indicates that the facilities operate well, are highly sustainable, and provide efficient treatment performance; thus, on-site observations and maintenance activities are not required.
Table 8.
Evaluation of LID facilities based on the developed weighted indices.
Investigating the long-term performance of LID facilities and other nature-based solutions for stormwater management in South Korea adds insight into the effectiveness and lifetime of these technologies in a different atmospheric and geographical setting. Identifying the signs of system failure or inefficiencies and determining when the facilities need maintenance to keep their function are also important tasks for engineers, designers, and the community surrounding the facility, helping to maximize their societal and ecosystem services. Furthermore, establishing ways to lessen the time, costs, and manpower needed to monitor and evaluate these facilities can be valuable for their future applications. Determining correlations between stormwater runoff quality, ambient air quality, and rainfall characteristics for developing models that can estimate pollutant concentrations is one of the benefits of obtaining long-term monitoring data. A comprehensive evaluation tool that considers not just treatment efficiency but also other benefits, together with operational and maintenance requirements, provides a holistic approach to determining system performance and effectivity.
4. Conclusions
The 8-year monitoring data gathered in an infiltration trench treating stormwater runoff from a paved road were used to determine its long-term performance, establish a stormwater quality estimation model, and develop a comprehensive facility evaluation tool. The results show that sediments accumulated in the facility for as long as three years can decrease its infiltration capacity, thereby affecting the runoff volume and the pollutant removal efficiency. To avoid this, annual maintenance should be performed, which can include tasks as simple as removing debris and checking whether prolonged water retention occurs in the facility. Rainfall depth, PM2.5, and PM10 were found to have positive correlations with TSS, COD, TN, and TP, indicating that these atmospheric and rainfall parameters can be used to estimate the quality of the stormwater runoff entering the facility. With the average removal efficiencies determined from the long-term monitoring data, the effluent pollutant concentrations can be estimated, thereby reducing the need for frequent on-site monitoring, which requires more time, manpower, and laboratory costs. Furthermore, a comprehensive evaluation tool considering indicators such as treatment efficiency, cultural benefits, and facility and operating conditions is useful and can serve as a diagnostic tool for determining the overall efficiency of the facility and whether or not maintenance is required. It should be noted that atmospheric and hydrological characteristics differ in different regions, and the results may vary if this method is applied to other facilities. Other rainfall parameters and atmospheric conditions could also be considered in order to improve the results. However, this study can serve as a guide for the evaluation of similar stormwater management facilities in South Korea.
Author Contributions
Conceptualization, M.J., H.C. and L.-H.K.; methodology, M.J. and L.-H.K.; software, M.J.; validation, M.J. and H.C.; formal analysis, M.J. and H.C.; investigation, M.J., H.B.G. and H.C.; resources, L.-H.K.; data curation, M.J., H.B.G. and H.C.; writing—original draft preparation, M.J.; writing—review and editing, M.J. and H.B.G.; supervision, L.-H.K.; project administration, M.J. and L.-H.K.; funding acquisition, L.-H.K. All authors have read and agreed to the published version of the manuscript.
Funding
This research received no external funding.
Data Availability Statement
Not applicable.
Acknowledgments
This work was supported by Kongju National University, South Korea, through a research grant for the school year 2022.
Conflicts of Interest
The authors declare no conflict of interest. The funders had no role in the design of the study; in the collection, analyses, or interpretation of data; in the writing of the manuscript; or in the decision to publish the results.
References
- Grimm, N.B.; Faeth, S.H.; Golubiewski, N.E.; Redman, C.L.; Wu, J.; Bai, X.; Briggs, J.M. Global change and the ecology of cities. Science 2008, 319, 756–760. [Google Scholar] [CrossRef] [PubMed]
- Sun, G.; Lockaby, B.G. Water quantity and quality at the urban–rural interface. In Urban–Rural Interfaces: Linking People and Nature; Laband, D.N., Lockaby, B.G., Zipperer, W., Eds.; (American Society of Agronomy, Crop Science Society of America, Soil Science Society of America); Wiley: Hoboken, NJ, USA, 2012; pp. 29–48. [Google Scholar]
- Sun, G.; Caldwell, P.V. Impacts of urbanization on stream water quantity and quality in the United States. Water Resour. Impact 2015, 17, 17–20. [Google Scholar]
- Hao, L.; Huang, X.L.; Qin, M.S.; Liu, Y.Q.; Li, W.H.; Sun, G. Ecohydrological processes explain urban dry island effects in a wet region, southern China. Water Resour. Res. 2018, 54, 6757–6771. [Google Scholar] [CrossRef]
- Kumar, S.; Moglen, G.E.; Godrej, A.N.; Grizzard, T.J.; Post, H.E. Trends in water yield under climate change and urbanization in the US Mid-Atlantic region. J. Water Resour. Plan. Manag. 2018, 144, 05018009. [Google Scholar] [CrossRef]
- Kundu, S.; Khare, D.; Mondal, A. Individual and combined impacts of future climate and land use changes on the water balance. Ecol. Eng. 2017, 105, 42–57. [Google Scholar] [CrossRef]
- Oudin, L.; Salavati, B.; Furusho-Percot, C.; Ribstein, P.; Saadi, M. Hydrological impacts of urbanization at the catchment scale. J. Hydrol. 2018, 559, 774–786. [Google Scholar] [CrossRef]
- Dietz, M.E. Low Impact Development Practices: A Review of Current Research and Recommendations for Future Directions. Water Air Soil Pollut. 2007, 186, 351–363. [Google Scholar] [CrossRef]
- Los Angeles Department of Public Works (LADPW). Low Impact Development Standards Manual; Los Angeles Department of Public Works (LADPW): Los Angeles, CA, USA, 2014.
- Guerra, H.B.; Yu, J.; Kim, Y. Variation of flow and filtration mechanisms in an infiltration trench treating highway stormwater runoff. J. Wetl. Res. 2018, 20, 63–71. [Google Scholar]
- Conley, G.; Beck, N.; Riihimaki, C.A.; Tanner, M. Quantifying clogging patterns of infiltration systems to improve urban stormwater pollution reduction estimates. Water Res. 2020, 7, 100049. [Google Scholar] [CrossRef]
- Lopes Bezerra, P.H.; Coutinho, A.P.; Lassabatere, L.; Santos Neto, S.M.d.; Melo, T.d.A.T.d.; Antonino, A.C.D.; Angulo-Jaramillo, R.; Montenegro, S.M.G.L. Water Dynamics in an Infiltration Trench in an Urban Centre in Brazil: Monitoring and Modelling. Water 2022, 14, 513. [Google Scholar] [CrossRef]
- Cho, J.H.; Lee, J.H. Multiple Linear Regression Models for Predicting Nonpoint-Source Pollutant Discharge from a Highland Agricultural Region. Water 2018, 10, 1156. [Google Scholar] [CrossRef]
- Madarang, K.J.; Kang, J.H. Evaluation of accuracy of linear regression models in predicting urban stormwater discharge characteristics. J. Environ. Sci. 2014, 26, 1313–1320. [Google Scholar]
- Gunawardena, J.; Egodawatta, P.; Ayoko, G.A.; Goonetilleke, A. Atmospheric deposition as a source of heavy metals in urban stormwater. Atmos. Environ. 2013, 68, 235–242. [Google Scholar] [CrossRef]
- Saaty, T.L. The Analytic Hierarchy Process: Planning, Priority Setting; McGraw-Hill: New York, NY, USA, 1980. [Google Scholar]
- Hong, J.S. Characteristics of Ecological Mechanism for the Derivation of Cost-Effective LID Design. Ph.D. Thesis, Kongju National University, Cheonan City, Korea, 2017. [Google Scholar]
- Han, S.Y.; Lee, J.M.; Seo, S.B. A study on the development of performance management scheme in the national and analytic hierarchy process. Korea Logist. Rev. 2007, 17, 5–27. [Google Scholar]
- Choi, H.; Reyes, N.J.D.; Jeon, M.; Kim, L.-H. Constructed Wetlands in South Korea: Current Status and Performance Assessment. Sustainability 2021, 13, 10410. [Google Scholar] [CrossRef]
- Maniquiz, M.C.; Lee, S.; Kim, L.H. Multiple linear regression models of urban runoff pollutant load and Event Mean Concentration considering rainfall variables. J. Environ. Sci. 2010, 22, 946–952. [Google Scholar]
- Geronimo, F.K.F.; Maniquiz-Redillas, M.C.; Kim, L.H. Performance comparison of two hybrid stormwater treatment systems having different filter media configuration. Desalination Water Treat. 2013, 51, 4081–4087. [Google Scholar] [CrossRef]
- Kim, L.H.; Jeong, S.; Ko, S.O. Determination of first flush criteria using dynamic EMCs (event mean concentrations) on highway stormwater runoff. Water Sci. Technol. 2007, 55, 71–77. [Google Scholar] [CrossRef][Green Version]
- Maniquiz, M.C.; Lee, S.Y.; Kim, L.H. Long-term monitoring of infiltration trench for nonpoint source pollution control. Water Air Soil Pollut. 2010, 212, 13–26. [Google Scholar]
- Kandra, H.; Mccarthy, D.; Deletic, A.; Fletcher, T.D. Assessment of clogging phenomena in granular filter media used for stormwater treatment. In Proceedings of the Novatech 2010–7th International Conference on Sustainable Techniques and Strategies for Urban Water Management, Lyon, France, 27 June–1 July 2010; pp. 1–10. [Google Scholar]
- Clozel, B.; Ruban, V.; Durand, C.; Conil, P. Origin and mobility of heavy metals in contaminated sediments from retention and infiltration ponds. Appl. Geochem. 2006, 21, 1781–1798. [Google Scholar] [CrossRef]
- El-Mufleh, A.; Béchet, B.; Ruban, V.; Legret, M.; Clozel, B.; Barraud, S.; Delolme, C. Review on physical and chemical characterizations of contaminated sediments. Environ. Sci. Pollut. Res. 2014, 21, 5329–5346. [Google Scholar] [CrossRef] [PubMed]
- Badin, A.L.; Méderel, G.; Béchet, B.; Borschneck, D.; Delolme, C. Study of the aggregation of the surface layer of Technosols from stormwater infiltration basins using grain size analyses with laser diffractometry. Geoderma 2009, 153, 163–171. [Google Scholar] [CrossRef]
- Schuh, W.N. Seasonal variation of clogging of an artificial recharge basin in a northern climate. J. Hydrol. 1990, 121, 193–215. [Google Scholar] [CrossRef]
- Cannavo, P.; Coulon, A.; Charpentier, S.; Béchet, B.; Vidal-Beaudet, L. Water balance prediction in stormwater infiltration basins using 2-D modeling: An application to evaluate the clogging process. Int. J. Sediment Res. 2018, 33, 371–384. [Google Scholar] [CrossRef]
- Flores, P.E.D.; Maniquiz-Redillas, M.C.; Tobio, J.A.S.; Kim, L.H. Evaluation on the Hydrologic Effects after Applying an Infiltration Trench and a Tree Box Filter as Low Impact Development (LID) Techniques. J. Korean Soc. Water Environ. 2015, 31, 12–18. [Google Scholar] [CrossRef][Green Version]
- Kim, N.W.; Shin, M.J. Estimation of Peak Flow in Ungauged Catchments Using the Relationship between Runoff Coefficient and Curve Number. Water 2018, 10, 1669. [Google Scholar] [CrossRef]
- Yuan, Q.; Guerra, H.B.; Kim, Y. An Investigation of the Relationships between Rainfall Conditions and Pollutant Wash-Off from the Paved Road. Water 2017, 9, 232. [Google Scholar] [CrossRef]
- Weiwei, C. Research on Pollution Characteristic of Urban Runoff in Storm Sewer. E3S Web Conf. 2020, 165, 02015. [Google Scholar] [CrossRef]
- Passeport, E.; Hunt, W.F.; Line, D.E.; Smith, R.A.; Brown, R.A. Field Study of the Ability of Two Grassed Bioretention Cells to Reduce Storm-Water Runoff Pollution. J. Irrig. Drain. Eng. 2009, 135, 505–510. [Google Scholar] [CrossRef]
Publisher’s Note: MDPI stays neutral with regard to jurisdictional claims in published maps and institutional affiliations. |
© 2022 by the authors. Licensee MDPI, Basel, Switzerland. This article is an open access article distributed under the terms and conditions of the Creative Commons Attribution (CC BY) license (https://creativecommons.org/licenses/by/4.0/).





