The Diurnal Variation Characteristics of Latent Heat Flux under Different Underlying Surfaces and Analysis of Its Drivers in The Middle Reaches of the Heihe River
Abstract
1. Introduction
2. Materials and Methods
2.1. Research Area
2.2. Instrument and Test Content
2.3. Research Data
2.4. Data Processing
3. Results
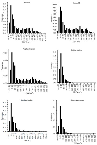
3.1. Analysis of LE Variation Trend under Different Underlying Surface Types
3.2. Analysis of Intraday Variation Trend of LE on Different Underlying Surfaces
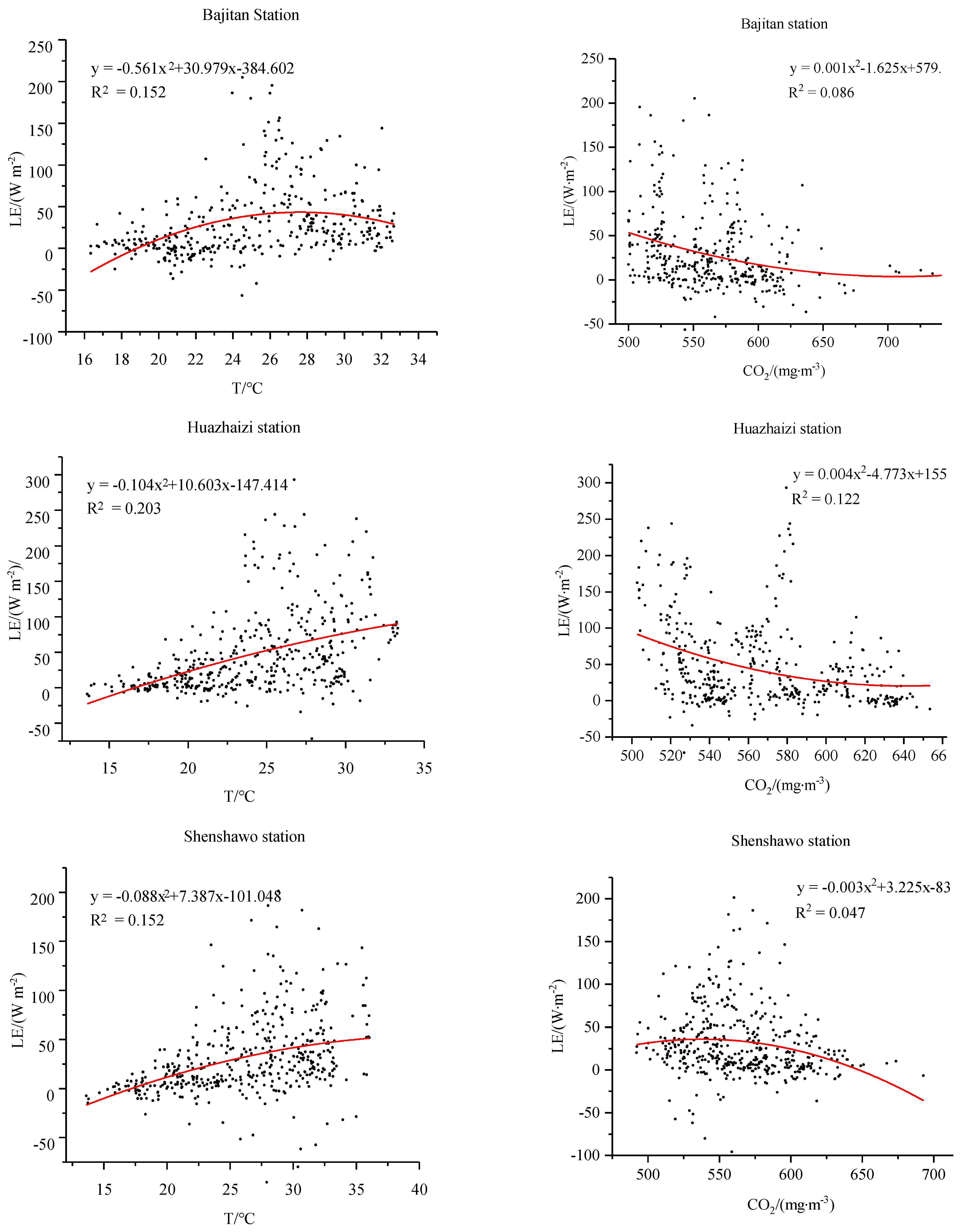
3.3. Analysis of LE Drivers for Different Underlying Surface Types
3.4. Deficiencies and Discussions
4. Conclusions
Author Contributions
Funding
Data Availability Statement
Conflicts of Interest
References
- Chau, K. Use of Meta-Heuristic Techniques in Rainfall-Runoff Modelling. Water 2017, 9, 186. [Google Scholar] [CrossRef]
- Zhang, Z.; Qin, H.; Yao, L.; Liu, Y.; Jiang, Z.; Feng, Z.; Ouyang, S. Improved Multi-objective Moth-flame Optimization Algorithm based on R-domination for cascade reservoirs operation. J. Hydrol. 2020, 581, 124431. [Google Scholar] [CrossRef]
- Feng, F.; Li, X.; Yao, Y.; Liang, S.; Chen, J.; Zhao, X.; Jia, K.; Pintér, K.; McCaughey, J.H. An empirical orthogonal function-based algorithm for estimating terrestrial latent heat flux from eddy covariance, meteorological and satellite observations. PLoS ONE 2016, 11, e0160150. [Google Scholar] [CrossRef] [PubMed]
- Wang, K.; Dickinson, R.E. A review of global terrestrial evapotranspiration: Observation, modeling, climatology, and climatic variability. Rev. Geophys. 2012, 50, RG2005. [Google Scholar] [CrossRef]
- Wang, M.; Zhang, Y.; Lu, Y.; Gong, X.; Gao, L. Detection and attribution of reference evapotranspiration change (1951–2020) in the upper Yangtze River Basin of China. J. Water Clim. Chang. 2021, 12, 2624–2638. [Google Scholar] [CrossRef]
- Priestley, C.H.B.; Taylor, R.J. On the Assessment of Surface Heat Flux and Evaporation Using Large-Scale Parameters. Mon. Weather. Rev. 1972, 100, 81–92. [Google Scholar] [CrossRef]
- Talsma, C.J.; Good, S.P.; Jimenez, C.; Martens, B.; Fisher, J.B.; Miralles, D.G.; McCabe, M.F.; Purdy, A.J. Partitioning of evapotranspiration in remote sensing-based models. Agric. For. Meteorol. 2018, 260–261, 131–143. [Google Scholar] [CrossRef]
- Yin, Y.; Wu, S.; Chen, G.; Dai, E. Attribution analyses of potential evapotranspiration changes in China since the 1960s. Theor. Appl. Climatol. 2010, 101, 19–28. [Google Scholar] [CrossRef]
- Moazenzadeh, R.; Mohammadi, B.; Shahaboddin, S.; Chau, K.-W. Coupling a firefly algorithm with support vector regression to predict evaporation in northern Iran. Eng. Appl. Comput. Fluid Mech. 2018, 12, 584–597. [Google Scholar] [CrossRef]
- Wang, Z.; Ye, A.; Wang, L.; Liu, K.; Cheng, L. Spatial and temporal characteristics of reference evapotranspiration and its climatic driving factors over China from 1979–2015. Agric. Water Manag. 2019, 213, 1096–1108. [Google Scholar] [CrossRef]
- Zhang, R.; Xu, X.; Liu, M.; Zhang, Y.; Xu, C.; Yi, R.; Luo, W. Comparing evapotranspiration characteristics and environmental controls for three agroforestry ecosystems in a subtropical humid karst area. J. Hydrol. 2018, 563, 1042–1050. [Google Scholar] [CrossRef]
- Zhang, Y.; Kang, S.; Ward, E.J.; Ding, R.; Zhang, X.; Zheng, R. Evapotranspiration components determined by sap flow and microlysimetry techniques of a vineyard in northwest China: Dynamics and influential factors. Agric. Water Manag. 2011, 98, 1207–1214. [Google Scholar] [CrossRef]
- Barraza Bernadas, V.; Grings, F.; Restrepo-Coupe, N.; Huete, A. Comparison of the performance of latent heat flux products over southern hemisphere forest ecosystems: Estimating latent heat flux error structure using in situ measurements and the triple collocation method. Int. J. Remote Sens. 2018, 39, 6300–6315. [Google Scholar] [CrossRef]
- Barraza, V.; Grings, F.; Franco, M.; Douna, V.; Entekhabi, D.; Restrepo-Coupe, N.; Huete, A.; Gassmann, M.; Roitberg, E. Estimation of latent heat flux using satellite land surface temperature and a variational data assimilation scheme over a eucalypt forest savanna in Northern Australia. Agric. For. Meteorol. 2019, 268, 341–353. [Google Scholar] [CrossRef]
- Eswar, R.; Sekhar, M.; Bhattacharya, B.K. Comparison of three remote sensing based models for the estimation of latent heat flux over India. Hydrol. Sci. J.-J. Des. Sci. Hydrol. 2017, 62, 2705–2719. [Google Scholar] [CrossRef]
- Evett, S.R.; Schwartz, R.C.; Howell, T.A.; Baumhardt, R.L.; Copeland, K.S. Can weighing lysimeter ET represent surrounding field ET well enough to test flux station measurements of daily and sub-daily ET. Adv. Water Resour. 2012, 50, 79–90. [Google Scholar] [CrossRef]
- Maltese, A.; Awada, H.; Capodici, F.; Ciraolo, G.; La Loggia, G.; Rallo, G. On the Use of the Eddy Covariance Latent Heat Flux and Sap Flow Transpiration for the Validation of a Surface Energy Balance Model. Remote Sens. 2018, 10, 195. [Google Scholar] [CrossRef]
- Swinbank, W.C. The measurement of vertical transfer of heat and water vapor by eddies in the lower atmosphere. J. Meteorol. 1951, 8, 135–145. [Google Scholar] [CrossRef]
- Todd, R.W.; Evett, S.R.; Howell, T.A. The Bowen ratio-energy balance method for estimating latent heat flux of irrigated alfalfa evaluated in a semi-arid, advective environment. Agric. For. Meteorol. 2000, 103, 335–348. [Google Scholar] [CrossRef]
- Wang, X.; Wang, C.; Bond-Lamberty, B. Quantifying and reducing the differences in forest CO2-fluxes estimated by eddy covariance, biometric and chamber methods: A global synthesis. Agric. For. Meteorol. 2017, 247, 93–103. [Google Scholar] [CrossRef]
- Ghorbani, M.A.; Kazempour, R.; Chau, K.-W.; Shamshirband, S.; Ghazvinei, P.T. Forecasting pan evaporation with an integrated artificial neural network quantum-behaved particle swarm optimization model: A case study in Talesh, Northern Iran. Eng. Appl. Comput. Fluid Mech. 2018, 12, 724–737. [Google Scholar] [CrossRef]
- Wilson, K.B.; Hanson, P.J.; Mulholland, P.J.; Baldocchi, D.D.; Wullschleger, S.D. A comparison of methods for determining forest evapotranspiration and its components: Sap-flow, soil water budget, eddy covariance and catchment water balance. Agric. For. Meteorol. 2001, 106, 153–168. [Google Scholar] [CrossRef]
- Li, X.; Liu, S.; Ma, M.; Xiao, Q.; Liu, Q.; Jin, R.; Che, T.; Wang, W.; Qi, Y. HiWATER: An Integrated Remote Sensing Experiment on Hydrological and Ecological Processes in the Heihe River Basin. Adv. Earth Sci. 2012, 27, 481–498. [Google Scholar] [CrossRef]
- Wang, J.; Zhao, J.; Wang, X. Landscape types of the Heihe River Basin (2000). Natl. Tibet. Plateau Data Center 2013. [Google Scholar] [CrossRef]
- Liu, S.M.; Xu, Z.W.; Wang, W.Z.; Jia, Z.Z.; Zhu, M.J.; Bai, J.; Wang, J.M. A comparison of eddy-covariance and large aperture scintillometer measurements with respect to the energy balance closure problem. Hydrol. Earth Syst. Sci. 2011, 15, 1291–1306. [Google Scholar] [CrossRef]
- Li, X.; Cheng, G.; Liu, S.; Xiao, Q.; Ma, M.; Jin, R.; Che, T.; Liu, Q.; Wang, W.; Qi, Y.; et al. Heihe Watershed Allied Telemetry Experimental Research (HiWATER): Scientific Objectives and Experimental Design. Bull. Am. Meteorol. Soc. 2013, 94, 1145–1160. [Google Scholar] [CrossRef]
- Yu, L.-P.; Huang, G.-H.; Liu, H.-J.; Wang, X.-P.; Wang, M.-Q. Experimental Investigation of Soil Evaporation and Evapotranspiration of Winter Wheat under Sprinkler Irrigation. Agric. Sci. China 2009, 8, 1360–1368. [Google Scholar] [CrossRef]
- Wu, C.L.; Chau, K.W. Rainfall–runoff modeling using artificial neural network coupled with singular spectrum analysis. J. Hydrol. 2011, 399, 394–409. [Google Scholar] [CrossRef]
- Legates, D.R.; McCabe, G.J., Jr. Evaluating the use of “goodness-of-fit” measures in hydrologic and hydroclimatic model validation. Water Resour. Res. 1999, 35, 233–241. [Google Scholar] [CrossRef]
- Wang, W.-C.; Chau, K.-W.; Cheng, C.-T.; Qiu, L. A comparison of performance of several artificial intelligence methods for forecasting monthly discharge time series. J. Hydrol. 2009, 374, 294–306. [Google Scholar] [CrossRef]
- Shibata, R. Selection of the order of an autoregressive model by Akaike’s information criterion. Biometrika 1976, 63, 117–126. [Google Scholar] [CrossRef]
- Yafune, A.; Narukawa, M.; Ishiguro, M. A Note on Sample Size Determination for Akaike Information Criterion (AIC) Approach to Clinical Data Analysis. Commun. Stat. Theory Methods 2005, 34, 2331–2343. [Google Scholar] [CrossRef]
- Arnold, T.W. Uninformative Parameters and Model Selection Using Akaike’s Information Criterion. J. Wildl. Manag. 2010, 74, 1175–1178. [Google Scholar] [CrossRef]
- Liao, X.; Li, Q.; Yang, X.; Zhang, W.; Li, W. Multiobjective optimization for crash safety design of vehicles using stepwise regression model. Struct. Multidiscip. Optim. 2008, 35, 561–569. [Google Scholar] [CrossRef]
- Krishnaiah, P.R. 37 Selection of variables under univariate regression models. In Handbook of Statistics; Elsevier: Amsterdam, The Netherlands, 1982; Volume 2, pp. 805–820. [Google Scholar]
- Liu, S.; Li, X.; Xu, Z.; Che, T.; Xiao, Q.; Ma, M.; Liu, Q.; Jin, R.; Guo, J.; Wang, L.; et al. The Heihe Integrated Observatory Network: A Basin-Scale Land Surface Processes Observatory in China. Vadose Zone J. 2018, 17, 180072. [Google Scholar] [CrossRef]
- Zhang, D.; Liu, X.; Zhang, Q.; Liang, K.; Liu, C. Investigation of factors affecting intra-annual variability of evapotranspiration and streamflow under different climate conditions. J. Hydrol. 2016, 543, 759–769. [Google Scholar] [CrossRef]
- Harmel, R.D.; Patricia, K. Smith. Consideration of measurement uncertainty in the evaluation of goodness-of-fit in hydrologic and water quality modeling. J. Hydrol. 2007, 337, 326–336. [Google Scholar] [CrossRef]
- Reddy, K.S.; Maruthi, V.; Pankaj, P.K.; Kumar, M.; Pushpanjali; Prabhakar, M.; Reddy, A.G.K.; Reddy, K.S.; Singh, V.K.; Koradia, A.K. Water Footprint Assessment of Rainfed Crops with Critical Irrigation under Different Climate Change Scenarios in SAT Regions. Water 2022, 14, 1206. [Google Scholar] [CrossRef]
- Dinpashoh, Y.; Jhajharia, D.; Fakheri-Fard, A.; Singh, V.P.; Kahya, E. Trends in reference crop evapotranspiration over Iran. J. Hydrol. 2011, 399, 422–433. [Google Scholar] [CrossRef]
- Chaouche, K.; Neppel, L.; Dieulin, C.; Pujol, N.; Ladouche, B.; Martin, E.; Salas, D.; Caballero, Y. Analyses of precipitation, temperature and evapotranspiration in a French Mediterranean region in the context of climate change. Comptes Rendus Geosci. 2010, 342, 234–243. [Google Scholar] [CrossRef]
- Chen, Y.; Xue, Y.; Hu, Y. How multiple factors control evapotranspiration in North America evergreen needleleaf forests. Sci. Total Environ. 2018, 622–623, 1217–1224. [Google Scholar] [CrossRef] [PubMed]
- Wang, K.; Wang, P.; Li, Z.; Cribb, M.; Sparrow, M. A simple method to estimate actual evapotranspiration from a combination of net radiation, vegetation index, and temperature. J. Geophys. Res. Atmos. 2007, 112. [Google Scholar] [CrossRef]
- Zhang, K.; Wang, R.Y.; Li, Q.Z.; Wang, H.L.; Zhao, H.; Yang, F.L.; Zhao, F.N.; Qi, Y. Effects of elevated CO2 concentration on production and water use efficiency of spring wheat in semi-arid area. Ying Yong Sheng Tai Xue Bao 2018, 29, 2959–2969. [Google Scholar] [CrossRef] [PubMed]
- Zhang, Y.; Wang, J.; Gong, S.; Xu, D.; Sui, J.; Wu, Z.; Mo, Y. Effects of film mulching on evapotranspiration, yield and water use efficiency of a maize field with drip irrigation in Northeastern China. Agric. Water Manag. 2018, 205, 90–99. [Google Scholar] [CrossRef]
- Hu, X.; Lei, H. Evapotranspiration partitioning and its interannual variability over a winter wheat-summer maize rotation system in the North China Plain. Agric. For. Meteorol. 2021, 310, 108635. [Google Scholar] [CrossRef]
- Liu, Y.; Luo, Y. A consolidated evaluation of the FAO-56 dual crop coefficient approach using the lysimeter data in the North China Plain. Agric. Water Manag. 2010, 97, 31–40. [Google Scholar] [CrossRef]
- Zhao, N.; Liu, Y.; Cai, J.; Paredes, P.; Rosa, R.D.; Pereira, L.S. Dual crop coefficient modelling applied to the winter wheat–summer maize crop sequence in North China Plain: Basal crop coefficients and soil evaporation component. Agric. Water Manag. 2013, 117, 93–105. [Google Scholar] [CrossRef]
- Shahrokhnia, M.H.; Sepaskhah, A.R. Single and dual crop coefficients and crop evapotranspiration for wheat and maize in a semi-arid region. Theor. Appl. Climatol. 2013, 114, 495–510. [Google Scholar] [CrossRef]
- Ding, R.; Kang, S.; Li, F.; Zhang, Y.; Tong, L.; Sun, Q. Evaluating eddy covariance method by large-scale weighing lysimeter in a maize field of northwest China. Agric. Water Manag. 2010, 98, 87–95. [Google Scholar] [CrossRef]
- Afzal, M.; Ragab, R. Assessment of the potential impacts of climate change on the hydrology at catchment scale: Modelling approach including prediction of future drought events using drought indices. Appl. Water Sci. 2020, 10, 215. [Google Scholar] [CrossRef]
- Zhang, Y.-K.; Schilling, K. Effects of land cover on water table, soil moisture, evapotranspiration, and groundwater recharge: A field observation and analysis. J. Hydrol. 2006, 319, 328–338. [Google Scholar] [CrossRef]










| Site Name | Type of Underlay Surface | Altitude (m) | Data Start and End Time |
|---|---|---|---|
| station 1 | Vegetable ground | 1552.8 | 5 June–31 August |
| station 12 | Cornfield | 1559.3 | 1 June–31 August 31 |
| Shenshawo station | Dune | 1562.6 | 1 June–31 August (data unavailable on August 2) |
| Bajitan station | Gobi | 1731.0 | 7 June–31 August |
| Huazhaizi station | Desert | 1549.4 | 2 June–30 August |
| Wetland station | Wetland | 1460.0 | 26 June to 30 August |
| Site Name | Standard Deviation /(W/m2) | Average /(W/m2) | Maximum /(W/m2) | Minimum /(W/m2) | Kurtosis | Partial Degrees |
|---|---|---|---|---|---|---|
| station 1 | 162.35 | 154.12 | 661.32 | −67.13 | −0.28 | 0.91 |
| station 12 | 180.83 | 164.91 | 627.27 | −75.64 | −0.69 | 0.23 |
| Bajitan station | 40.98 | 29.6 | 205.03 | −56.5 | 2.99 | 1.6 |
| Huazhaizi station | 56.45 | 46.26 | 292.91 | −71.79 | 2.34 | 1.55 |
| Shenshawo station | 39.28 | 29.90 | 201.23 | −95.75 | 2.68 | 1.11 |
| Wetland station | 168.83 | 152.44 | 636.53 | −23.52 | −0.4 | 0.13 |
| Impact Factor | Wind Speed /(m/s) | Temperature /°C | Water Vapor Density/(g/m3) | Carbon Dioxide/(mg/m3) | |
|---|---|---|---|---|---|
| Site Name | |||||
| station 1 | 0.38 ** | 0.72 ** | −0.12 | −0.64 ** | |
| station 12 | 0.38 ** | 0.70 ** | −0.13 ** | −0.64 ** | |
| Bajitan station | 0.20 ** | 0.31 ** | 0.16 ** | −0.28 ** | |
| Huazhaizi station | 0.22 ** | 0.45 ** | 0.10 * | −0.34 ** | |
| Shenshawo station | 0.08 | 0.39 ** | 0.18 | 0.18 ** | |
| Wetland station | 0.13 * | 0.68 ** | −0.14 ** | −0.65 ** | |
| Site Name | Station 1 | Station 12 | Wetland Station | |
|---|---|---|---|---|
| Fitting coefficient | Intercept item | 519.66 | −58.56 | 245.80 ** |
| T | 49.57 ** | 51.96 ** | -- | |
| CO2 | −2.39 | −0.83 | 0.002 ** | |
| T&CO2 | −0.07 ** | −0.07 ** | -- | |
| (CO2)2 | 0.002 ** | 0.001 * | 0.004 ** | |
| (T)2 | -- | -- | 0.20 ** | |
| R2 | 0.59 | 0.56 | 0.51 | |
Publisher’s Note: MDPI stays neutral with regard to jurisdictional claims in published maps and institutional affiliations. |
© 2022 by the authors. Licensee MDPI, Basel, Switzerland. This article is an open access article distributed under the terms and conditions of the Creative Commons Attribution (CC BY) license (https://creativecommons.org/licenses/by/4.0/).
Share and Cite
He, J.; Li, Q.-M.; Wang, W.-C.; Xu, D.-M.; Wan, Y.-R. The Diurnal Variation Characteristics of Latent Heat Flux under Different Underlying Surfaces and Analysis of Its Drivers in The Middle Reaches of the Heihe River. Water 2022, 14, 3514. https://doi.org/10.3390/w14213514
He J, Li Q-M, Wang W-C, Xu D-M, Wan Y-R. The Diurnal Variation Characteristics of Latent Heat Flux under Different Underlying Surfaces and Analysis of Its Drivers in The Middle Reaches of the Heihe River. Water. 2022; 14(21):3514. https://doi.org/10.3390/w14213514
Chicago/Turabian StyleHe, Ji, Qing-Min Li, Wen-Chuan Wang, Dong-Mei Xu, and Yu-Rong Wan. 2022. "The Diurnal Variation Characteristics of Latent Heat Flux under Different Underlying Surfaces and Analysis of Its Drivers in The Middle Reaches of the Heihe River" Water 14, no. 21: 3514. https://doi.org/10.3390/w14213514
APA StyleHe, J., Li, Q.-M., Wang, W.-C., Xu, D.-M., & Wan, Y.-R. (2022). The Diurnal Variation Characteristics of Latent Heat Flux under Different Underlying Surfaces and Analysis of Its Drivers in The Middle Reaches of the Heihe River. Water, 14(21), 3514. https://doi.org/10.3390/w14213514

