Lettuce Fertigation with Domestic Effluent Treated with Orange Pomace Biochar
Abstract
1. Introduction
2. Materials and Methods
2.1. Biochar
2.1.1. Biochar Production
2.1.2. Biochar Characterization
2.2. Experimental Design
2.2.1. Experimental Area Location and Characterization
2.2.2. Water Sources
- -
- Drinking water for human supply (DW), from the Sergipe Basic Sanitation Company (DESO), collected in a pipe outlet located within the protected environment;
- -
- Treated wastewater by a biological process (TW), from the Rosa Elze Sewage Treatment Plant (STP), located near the Federal University of Sergipe, in São Cristóvão/Sergipe; and
- -
- Post-treated water by the adsorption process (BW), coming from the STP and then passed through the filtration system (using the biochar produced), assembled for the experiment.
2.2.3. Experimental Design
2.2.4. Characterization of STP
2.2.5. Assembly of the Filtration System
2.2.6. Soil
2.2.7. Crop
2.2.8. Estimation of Water Requirements
- ETc—crop evapotranspiration (mL pot−1);
- POTFC—pot mass at field capacity (kg);
- POTa—pot mass at actual moisture (kg);
- PLANTprev—plant mass on the previous day (kg); and
- PLANTpres—plant mass on the present day (kg).
2.2.9. Collection of Water Sources for Irrigation
2.2.10. Analyses of Water Sources
2.2.11. Statistical Analysis
3. Results and Discussion
3.1. Filtration System
3.2. Evaluation of Water Sources for Use in Irrigation
3.3. Soil
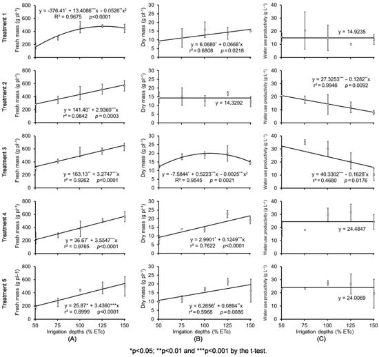
3.4. Agronomic Characteristics of Lettuce
3.5. Microbiological Characteristics of Lettuce
3.6. Characterization of Biochar
3.6.1. SEM Analyses
3.6.2. Thermogravimetric Analyses
4. Conclusions
Author Contributions
Funding
Institutional Review Board Statement
Informed Consent Statement
Data Availability Statement
Conflicts of Interest
Nomenclature
| ANOVA | analysis of variance |
| ANVISA | national health surveillance agency |
| BOD | biochemical oxygen demand |
| BSE | backscattered electrons |
| BW | post-treated water by the adsorption process |
| CEC | cation exchange capacity |
| CONAMA | national environment council |
| DEA | department of agronomic engineering |
| DESO | Sergipe Basic Sanitation Company |
| DO | dissolved oxygen |
| DrTGA | derives from the thermogravimetric curve |
| DW | drinking water for human supply |
| EC | electrical conductivity |
| ESP | exchangeable sodium percentage |
| ETc | crop evapotranspiration |
| FC | field capacity |
| ITPS | Institute of Technology and Research of the state of Sergipe |
| OM | organic matter |
| PLANTpres | plant mass on the present day |
| PLANTprev | plant mass on the previous day |
| POTa | pot mass at actual moisture |
| POTFC | pot mass at field capacity |
| PWP | permanent wilting point |
| RBD | randomized block design |
| SAR | sodium adsorption ratio |
| SE | federal state of Sergipe |
| SEM | scanning electron microscopy |
| STP | sewage treatment plant |
| TGA | thermogravimetric curve |
| TW | treated wastewater by a biological process |
| UFS | Federal University of Sergipe |
References
- Harken, B.; Chang, C.; Dietrich, P.; Kalbacher, T.; Rubin, Y. Hydrogeological modeling and water resources management: Improving the link between data, prediction, and decision making. Water Resour. Res. 2019, 55, 10340–10357. [Google Scholar] [CrossRef]
- Liu, J.; Engel, B.A.; Dai, L.; Wang, Y.; Wu, Y.; Yan, G.; Cong, L.; Zhai, J.; Zhang, Z.; Zhang, M. Capturing hydrological connectivity structure of wetlands with indices based on graph theory: A case study in Yellow River Delta. J. Clean. Prod. 2019, 239, 118059. [Google Scholar] [CrossRef]
- Li, P.; Ren, L. Evaluating the saline water irrigation schemes using a distributed agro-hydrological model. J. Hydrol. 2021, 594, 125688. [Google Scholar] [CrossRef]
- FAO. Water for Sustainable Food and Agriculture: A Report Produced for the G20 Presidency of Germany; Food and Agriculture Organization of the United Nations: Rome, Italy, 2017; 33p, Available online: https://www.fao.org/3/i7959e/i7959e.pdf (accessed on 1 October 2022).
- Velasco-Muñoz, J.F.; Aznar-Sánchez, J.A.; Batlles-dela Fuente, A.; Fidelibus, M.D. Sustainable irrigation in agriculture: An analysis of global research. Water 2019, 11, 1758. [Google Scholar] [CrossRef]
- United Nations the Sustainable Development Goals Report. Department of Economic and Social Affairs. Available online: https://unstats.un.org/sdgs/report/2017 (accessed on 14 April 2022).
- World Bank Water Resources Management. Available online: https://www.worldbank.org/en/topic/waterresourcesmanagement#1 (accessed on 15 April 2022).
- Nazari, B.; Liaghat, A.; Akbari, M.R.; Keshavarz, M. Irrigation water management in Iran: Implications for water use efficiency improvement. Agric. Water Manag. 2018, 208, 7–18. [Google Scholar] [CrossRef]
- FAO Production/Yield Quantities of Lettuce and Chicory in World + (Total). 2018. Available online: http://www.fao.org/faostat/en/#data/QC/visualize (accessed on 15 April 2022).
- Ceuppens, S.; Hessel, C.T.; Rodrigues, R.Q.; Bartz, S.; Tondo, E.C.; Uyttendaele, M. Microbiological quality and safety assessment of lettuce production in Brazil. Int. J. Food Microbiol. 2014, 181, 67–76. [Google Scholar] [CrossRef]
- Moura, L.O.; Carlos, L.A.; Oliveira, K.G.; Martins, L.M.; Silva, E.C. Physicochemical characteristics of purple lettuce harvested at different ages. Caatinga 2016, 29, 489–495. [Google Scholar] [CrossRef]
- Egbuikwem, P.N.; Mierzwa, J.C.; Saroj, D.P. Assessment of suspended growth biological process for treatment and reuse of mixed wastewater for irrigation of edible crops under hydroponic conditions. Agric. Water Manag. 2020, 231, 106034. [Google Scholar] [CrossRef]
- Urbano, V.R.; Mendonça, T.G.; Bastos, R.G.; Souza, C.F. Effects of treated wastewater irrigation on soil properties and lettuce yield. Agric. Water Manag. 2017, 181, 108–115. [Google Scholar] [CrossRef]
- Nagarajan, D.; Lee, D.J.; Chen, C.Y.; Chang, J.-S. Resource recovery from wastewaters using microalgae-based approaches: A circular bioeconomy perspective. Bioresour. Technol. 2020, 302, 122817. [Google Scholar] [CrossRef]
- Dragonetti, G.; Khadra, R.; Daccache, A.; Oubelkacem, A.; Choukr-Allah, R.; Lamaddalena, N. Development and application of a predictive model for treated wastewater irrigation management in a Semiarid area. Integr. Environ. Assess. Manag. 2020, 16, 910–919. [Google Scholar] [CrossRef]
- Wielemaker, R.C.; Weijma, J.; Zeeman, G. Harvest to harvest: Recovering nutrients with new sanitation systems for reuse in urban agriculture. Resour. Conserv. Recycl. 2018, 128, 426–437. [Google Scholar] [CrossRef]
- Urbano, V.R.; Mendonça, T.G.; Bastos, R.G.; Souza, C.F. Physical-chemical effects of irrigation with treated wastewater on dusky red latosol soil. Rev. Ambient. Água 2015, 10, 737–747. [Google Scholar] [CrossRef][Green Version]
- Nunes-Carvalho, M.C.; Jayme, M.M.A.; Carmo, F.L.; Pyrrho, A.S.; Leite, S.G.F.; Araujo, F.V. Influence of different sources of contamination on the microbiological quality of lettuce in the Teresópolis Region, RJ, Brazil. Eng. Sanit. Ambient. 2020, 25, 229–235. [Google Scholar] [CrossRef]
- Liu, Y.; Lonappan, L.; Brar, S.K.; Yang, S. Impact of biochar amendment in agricultural soils on the sorption, desorption, and degradation of pesticides: A review. Sci. Total Environ. 2018, 645, 60–70. [Google Scholar] [CrossRef]
- Wang, Y.; Sun, Y.; He, T.; Deng, H.; Wang, Z.; Wang, J.; Zheng, X.; Zhou, L.; Zhong, H. Biochar amendment mitigates the health risks of dietary methylmercury exposure from rice consumption in mercury-contaminated areas. Environ. Pollut. 2020, 267, 115547. [Google Scholar] [CrossRef]
- Xiang, W.; Zhang, X.; Chen, J.; Zou, W.; He, F.; Hu, X.; Tsang, D.C.W.; Ok, Y.S.; Gao, B. Biochar technology in wastewater treatment: A critical review. Chemosphere 2020, 252, 126539. [Google Scholar] [CrossRef]
- Cheng, N.; Wang, B.; Wu, P.; Lee, X.; Xing, Y.; Chen, M.; Gao, B. Adsorption of emerging contaminants from water and wastewater by modified biochar: A review. Environ. Pollut. 2021, 273, 116448. [Google Scholar] [CrossRef]
- Wang, F.; Harindintwali, J.D.; Yuan, Z.; Wang, M.; Wang, F.; Li, S.; Yin, Z.; Huang, L.; Fu, Y.; Li, L.; et al. Technologies and perspectives for achieving carbon neutrality. Innovation 2021, 2, 100180. [Google Scholar] [CrossRef]
- Erinle, T.J.; Adewole, D.I. Fruit pomaces—Their nutrient and bioactive components, effects on growth and health of poultry species, and possible optimization techniques. Anim. Nutr. 2022, 9, 357–377. [Google Scholar] [CrossRef]
- Osorio, L.L.D.R.; Flórez-López, E.; Grande-Tovar, C.D. The Potential of selected agri-food loss and waste to contribute to a circular economy: Applications in the food, cosmetic and pharmaceutical industries. Molecules 2021, 26, 515. [Google Scholar] [CrossRef]
- Issaka, E.; Fapohunda, F.O.; Amu-Darko, J.N.O.; Yeboah, L.; Yakubu, S.; Varjani, S.; Ali, N.; Bilal, M. Biochar-based composites for remediation of polluted wastewater and soil environments: Challenges and prospects. Chemosphere 2022, 297, 134163. [Google Scholar] [CrossRef]
- Carvalho, L.M.; Carvalho, H.W.L.; Soares Filho, W.S.; Martins, C.R.; Passos, O.S. Porta-enxertos promissores, alternativos ao limoeiro “cravo”, nos tabuleiros costeiros de Sergipe. Pesqui. Agropecu. Bras. 2016, 51, 132–141. [Google Scholar] [CrossRef]
- Ait-Mouheb, N.; Mange, A.; Froment, G.; Lequette, K.; Bru-Adan, V.; Maihol, J.; Molle, B.; Wéry, N. Effect of untreated or reclaimed wastewater drip-irrigation for lettuces and leeks on yield, soil and fecal indicators. Environ. Dev. Sustain. 2022, 8, 100053. [Google Scholar] [CrossRef]
- Gorfie, B.N.; Tuhar, A.W.; Keraga, A.S.; Woldeyohannes, A.B. Effect of brewery wastewater irrigation on soil characteristics and lettuce (Lactuca sativa) crop in Ethiopia. Agric. Water Manag. 2022, 269, 107633. [Google Scholar] [CrossRef]
- Perez-Mercado, L.F.; Lalander, C.; Joel, A.; Ottoson, J.; Iriarte, M.; Vinnerås, B. Managing microbial risks in informal wastewater-irrigated agriculture through irrigation water substitution. Agric. Water Manag. 2022, 269, 107733. [Google Scholar] [CrossRef]
- Almeida, S.G.C.; Tarelho, L.A.C.; Hauschild, T.; Costa, M.A.M.; Dussán, K.J. Biochar production from sugarcane biomass using slow pyrolysis: Characterization of the solid fraction. Chem. Eng. Process. 2022, 179, 109054. [Google Scholar] [CrossRef]
- Anand, A.; Pathak, S.; Kumar, V.; Kaushal, P. Biochar production from crop residues, its characterization and utilization for electricity generation in India. J. Clean. Prod. 2022, 368, 133074. [Google Scholar] [CrossRef]
- Carvalho, R.S.; Arguelho, M.L.P.M.; Faccioli, G.G.; Oliveira, R.A.; Passos, E.S.; Silva, A.V.; Santos, B.F.S. Utilização do biocarvão de bagaço de laranja na remoção de tetraciclina em água residuária. Matéria 2022, 26, e12980. [Google Scholar] [CrossRef]
- Gonzaga, M.I.S.; Mackowiak, C.; Almeida, A.Q.; Carvalho Junior, J.I.T.; Andrade, K.R. Positive and negative effects of biochar from coconut husks, orange bagasse and pine wood chips on maize (Zea mays L.) growth and nutrition. Catena 2018, 162, 414–420. [Google Scholar] [CrossRef]
- Sahoo, S.S.; Vijay, V.K.; Chandra, R.; Kumar, H. Production and characterization of biochar produced from slow pyrolysis of pigeon pea stalk and bamboo. Clean. Eng. Technol. 2021, 3, 100101. [Google Scholar] [CrossRef]
- Hale, L.; Curtis, D.; Azeem, M.; Montgomery, J.; Crowley, D.E.; McGiffen, M.E. Influence of compost and biochar on soil biological properties under turfgrass supplied deficit irrigation. Appl. Soil Ecol. 2021, 168, 104134. [Google Scholar] [CrossRef]
- Singh, G.; Mavi, M.S.; Choudhary, O.P.; Gupta, N.; Singh, Y. Rice straw biochar application to soil irrigated with saline water in a cotton-wheat system improves crop performance and soil functionality in north-west India. J. Environ. Manag. 2021, 295, 113277. [Google Scholar] [CrossRef] [PubMed]
- Wang, S.; Xia, G.; Zheng, J.; Wang, Y.; Chen, T.; Chi, D.; Bolan, N.S.; Chang, S.X.; Wang, T.; Ok, Y.S. Mulched drip irrigation and biochar application reduce gaseous nitrogen emissions, but increase nitrogen uptake and peanut yield. Sci. Total Environ. 2022, 830, 154753. [Google Scholar] [CrossRef]
- Brasil. Resolução No 357, de 17 de Março de 2005; Ministério do Meio Ambiente: Brasília, Brasil, 2005; pp. 1–23.
- Brasil. Resolução No 430, de 13 de Maio de 2011; Ministério do Meio Ambiente: Brasília, Brasil, 2011; pp. 1–8.
- Carvalho, R.S. Produção e Caracterização de Biocarvão de Bagaço de Laranja Para Utilização no pós-Tratamento de Água residuária. Doutorado em Desenvolvimento e Meio Ambiente; Universidade Federal de Sergipe: São Cristóvão, Brazil, 2018; 149p. [Google Scholar]
- Bomfim, L.F.C.; Costa, I.V.G.; Benvenuti, S.M.P. Projeto Cadastro da Infra-Estrutura Hídrica do Nordeste: Estado de Sergipe. Diagnóstico do Município São Cristóvão, 1st ed.; CPRM: Aracaju, Brazil, 2002; p. 13.
- DESO. Companhia de Saneamento de Sergipe. Available online: http://www.deso-se.com.br (accessed on 15 April 2022).
- Brasil. Resolução de Diretoria Colegiada-RDC No 12, de 02 de Janeiro de 2001; Ministério da Saúde: Brasília, Brasil, 2001; pp. 1–51.
- Rice, E.W.; Baird, R.B.; Eaton, A.D. Standard Methods for the Examination of Water and Wastewater, 23rd ed.; APHA: Washington, DC, USA, 2017; ISBN 9780875532875. [Google Scholar]
- Guimarães, J.J.; Sousa, F.G.G.; Román, R.M.S.; Dal Pai, A.; Rodrigues, S.A.; Sarnighausen, V.C.R. Effect of irrigation water pH on the agronomic development of hops in protected cultivation. Agric. Water Manag. 2021, 253, 106924. [Google Scholar] [CrossRef]
- Mendonça, L.C.; Pinto, A.S.; Sampaio, L.F.S.; Cardoso, L.R. Caracterização e avaliação da ETE Rosa Elze para reúso do efluente. Rev. Bras. Eng. Agric. Ambient. 2005, 9, 143–145. [Google Scholar] [CrossRef]
- Bernardo, S.; Mantovani, E.C.; Silva, D.D.; Soares, A.A. Manual de Irrigação, 9th ed.; Editora UFV: Viçosa, MG, Brazil, 2019; 545p, ISBN 9788572696104. [Google Scholar]
- Santos, C.K.; Santana, F.S.; Ramos, F.S.M.; Faccioli, G.G.; Gomes Filho, R.R. Impacto do uso de efluentes nas características do solo cultivado com quiabo (Abelmoschus Esculentus L.). Rev. Bras. Agric. Irrig. 2018, 12, 2776–2783. [Google Scholar] [CrossRef]
- Chaganti, V.N.; Ganjegunte, G.; Niu, G.; Ulery, A.; Flynn, R.; Enciso, J.M.; Meki, M.N.; Kiniry, J.R. Effects of treated urban wastewater irrigation on bioenergy sorghum and soil quality. Agric. Water Manag. 2020, 228, 105894. [Google Scholar] [CrossRef]
- Puissant, J.; Jones, B.; Goodall, T.; Mang, D.; Blaud, A.; Gweon, H.S.; Malik, A.; Jones, D.L.; Clark, I.M.; Hirsch, P.R.; et al. The pH optimum of soil exoenzymes adapt to long term changes in soil pH. Soil Biol. Biochem. 2019, 138, 107601. [Google Scholar] [CrossRef]
- Yuri, J.E.; Mota, J.H.; Resende, G.M.; Souza, R.J. Nutrição e adubação da cultura da alface. In Nutrição e Adubação de Hortaliças; Prado, R.M., Cecílio Filho, A.B., Eds.; FCAV/CAPES: Jaboticabal, SP, Brazil, 2016; 600p, ISBN 978-85-61848-15-6. [Google Scholar]
- Nunes, M.U.C. Alface. In Recomendações para o Uso de Corretivos e Fertilizantes no Estado de Sergipe; Sobral, L.F., Viegas, P.R.A., Siqueira, O.J.W., Anjos, J.L., Barretto, M.C.V., Gomes, J.B.V., Eds.; Embrapa Tabuleiros Costeiros: Aracaju, SE, Brazil, 2007; 251p, ISBN 978-85-85809-27-0. [Google Scholar]
- Crespo, C.; Wyngaard, N.; Sainz Rozas, H.; Barbagelata, P.; Barraco, M.; Gudelj, V.; Barbieri, P. Improving soil organic nitrogen and sulfur pools by cover cropping and crop fertilization in soybean-based cropping systems. Soil Till. Res. 2021, 213, 105138. [Google Scholar] [CrossRef]
- Velescu, A.; Homeier, J.; Bendix, J.; Valarezo, C.; Wilcke, W. Response of water-bound fluxes of potassium, calcium, magnesium and sodium to nutrient additions in an Ecuadorian tropical montane forest. For. Ecol. Manag. 2021, 501, 119661. [Google Scholar] [CrossRef]
- Pedrero, F.; Grattan, S.R.; Ben-Gal, A.; Vivaldi, G.A. Opportunities for Expanding the Use of Wastewaters for Irrigation of Olives. Agric. Water Manag. 2020, 241, 106333. [Google Scholar] [CrossRef]
- Liang, X.; Rengasamy, P.; Smernik, R.; Mosley, L.M. Does the high potassium content in recycled winery wastewater used for irrigation pose risks to soil structural stability? Agric. Water Manag. 2021, 243, 106422. [Google Scholar] [CrossRef]
- Erel, R.; Eppel, A.; Yermiyahu, U.; Ben-Gal, A.; Levy, G.; Zipori, I.; Schaumann, G.E.; Mayer, O.; Dag, A. Long-term irrigation with reclaimed wastewater: Implications on nutrient management, soil chemistry and olive (Olea Europaea L.) performance. Agric. Water Manag. 2019, 213, 324–335. [Google Scholar] [CrossRef]
- Awedat, A.M.; Zhu, Y.; Bennett, J.M.; Raine, S.R. The impact of clay dispersion and migration on soil hydraulic conductivity and pore networks. Geoderma 2021, 404, 115297. [Google Scholar] [CrossRef]
- Zalacáin, D.; Martínez-Pérez, S.; Bienes, R.; García-Díaz, A.; Sastre-Merlín, A. Salt accumulation in soils and plants under reclaimed water irrigation in Urban Parks of Madrid (Spain). Agric. Water Manag. 2019, 213, 468–476. [Google Scholar] [CrossRef]
- Libutti, A.; Gatta, G.; Gagliardi, A.; Vergine, P.; Pollice, A.; Beneduce, L.; Disciglio, G.; Tarantino, E. Agro-industrial wastewater reuse for irrigation of a vegetable crop succession under Mediterranean conditions. Agric. Water Manag. 2018, 196, 1–14. [Google Scholar] [CrossRef]
- Gharaibeh, M.A.; Albalasmeh, A.A.; Pratt, C.; El Hanandeh, A. Estimation of exchangeable sodium percentage from sodium adsorption ratio of salt-affected soils using traditional and dilution extracts, saturation percentage, electrical conductivity, and generalized regression neural networks. Catena 2021, 205, 105466. [Google Scholar] [CrossRef]
- Bakari, Z.; El Ghadraoui, A.; Boujelben, N.; del Bubba, M.; Elleuch, B. Assessment of the impact of irrigation with treated wastewater at different dilutions on growth, quality parameters and contamination transfer in strawberry fruits and soil: Health risk assessment. Sci. Hortic. 2022, 297, 110942. [Google Scholar] [CrossRef]
- Shannag, H.K.; Al-Mefleh, N.K.; Freihat, N.M. Reuse of wastewaters in irrigation of broad bean and their effect on plant-aphid interaction. Agric. Water Manag. 2021, 257, 107156. [Google Scholar] [CrossRef]
- Yan, Q.; Xu, Y.; Chen, L.; Cao, Z.; Shao, Y.; Xu, Y.; Yu, Y.; Fang, C.; Zhu, Z.; Feng, G.; et al. Irrigation with secondary municipal-treated wastewater: Potential effects, accumulation of typical antibiotics and grain quality responses in rice (Oryza Sativa L.). J. Hazard. Mater. 2021, 410, 124655. [Google Scholar] [CrossRef]
- Gatta, G.; Libutti, A.; Beneduce, L.; Gagliardi, A.; Disciglio, G.; Lonigro, A.; Tarantino, E. Reuse of treated municipal wastewater for globe artichoke irrigation: Assessment of effects on morpho-quantitative parameters and microbial safety of yield. Sci. Hortic. 2016, 213, 55–65. [Google Scholar] [CrossRef]
- Vivaldi, G.A.; Camposeo, S.; Lopriore, G.; Romero-Trigueros, C.; Salcedo, F.P. Using saline reclaimed water on almond grown in mediterranean conditions: Deficit irrigation strategies and salinity effects. Water Supp. 2019, 19, 1413–1421. [Google Scholar] [CrossRef]
- Gallego, S.; Montemurro, N.; Béguet, J.; Rouard, N.; Philippot, L.; Pérez, S.; Martin-Laurent, F. Ecotoxicological risk assessment of wastewater irrigation on soil microorganisms: Fate and impact of wastewater-borne micropollutants in lettuce-soil system. Ecotoxicol. Environ. Saf. 2021, 223, 112595. [Google Scholar] [CrossRef]
- Sandri, D.; Matsura, E.E.; Testezlaf, R. Desenvolvimento da alface elisa em diferentes sistemas de irrigação com água residuária. Rev. Bras. Eng. Agric. Ambient. 2007, 11, 17–29. [Google Scholar] [CrossRef][Green Version]
- Faccioli, G.G.; Ramos, F.S.M.; Santana, F.S.; Dantas, C.K.S. Análise das características agronômicas e microbiológicas do feijão-caupi (Vigna ungiculada (L.) Walp.) BRS novaera e BRS guariba com aplicação de água residuária tratada. Rev. Bras. Agric. Irrig. 2017, 11, 1707–1713. [Google Scholar] [CrossRef][Green Version]
- Dantas, I.L.A.; Faccioli, G.G.; Mendonça, L.C.; Nunes, T.P.; Viegas, P.R.A.; Santana, L.O.G. Viabilidade do uso de água residuária tratada na irrigação da cultura do rabanete (Raphanus sativus L.). Rev. Ambient. Água 2014, 9, 109–117. [Google Scholar] [CrossRef]
- Ramos, F.S.M. Características Agronômicas e Microbiológicas da Couve Manteiga (Brassica oleracea L.) Irrigada com Água residuária Tratada em Ambiente Protegido. Mestrado em Recursos Hídricos; Universidade Federal de Sergipe: São Cristóvão, Brazil, 2021. [Google Scholar]
- Amori, P.N.; Mierzwa, J.C.; Bartelt-Hunt, S.; Guo, B.; Saroj, D.P. Germination and growth of horticultural crops irrigated with reclaimed water after biological treatment and ozonation. J. Clean. Prod. 2022, 336, 130173. [Google Scholar] [CrossRef]
- Guimarães, C.M.; Cunha, F.F.; Silva, F.C.S.; Araújo, E.D.; Guimarães, A.B.F.; Mantovani, E.C.; Silva, D.J.H. Agronomic performance of lettuce cultivars submitted to different irrigation depths. PLoS ONE 2019, 14, e0224264. [Google Scholar] [CrossRef]
- Magalhães, F.F.; Cunha, F.F.; Godoy, A.R.; Souza, E.J.; Silva, T.R. Produção de cultivares de alface tipo crespa sob diferentes lâminas de irrigação. Water Res. Irr. Manag. 2015, 4, 41–50. [Google Scholar] [CrossRef]
- Dantas, I.L.A. Análise microbiológica de cenoura e beterraba irrigadas com águas residuárias domésticas tratadas. Mestrado em Recursos Hídricos; Universidade Federal de Sergipe: São Cristóvão, Brazil, 2015. [Google Scholar]
- Carvalho, R.S.; Santos Filho, J.S.; Santana, L.O.G.; Gomes, D.A.; Mendonça, L.C.; Faccioli, G.G. Influence of wastewater reuse on the microbiological quality of sunflowers for animal feed. Rev. Ambient. Água 2013, 8, 157–167. [Google Scholar] [CrossRef][Green Version]
- Souza, C.F.; Bastos, R.G.; Gomes, M.P.D.M.; Pulschen, A.A. Eficiência de estação de tratamento de esgoto doméstico visando reuso agrícola. Rev. Ambient. Água 2015, 10, 587–597. [Google Scholar] [CrossRef][Green Version]
- Cai, J.; Liu, R. Research on water evaporation in the process of biomass pyrolysis. Energy Fuels 2007, 21, 3695–3697. [Google Scholar] [CrossRef]
- Kim, Y.M.; Lee, H.W.; Kim, S.; Watanabe, C.; Park, Y.K. Non-isothermal pyrolysis of citrus unshiu peel. BioEnergy Res. 2015, 8, 431–439. [Google Scholar] [CrossRef]
- Chen, D.; Zheng, Y.; Zhu, X. In-depth investigation on the pyrolysis kinetics of raw biomass. Part I: Kinetic analysis for the drying and devolatilization stages. Bioresour. Technol. 2013, 131, 40–46. [Google Scholar] [CrossRef]











| Pond | Depth (m) | Area (m2) | Volume (m3) |
|---|---|---|---|
| Primary Facultative | 2.00 | 8.74 | 17.47 |
| Secondary Facultative | 1.98 | 6.96 | 13.79 |
| Maturation 1 | 1.96 | 4.71 | 9.24 |
| Maturation 2 | 1.94 | 4.62 | 8.96 |
| Maturation 3 | 1.92 | 4.62 | 8.88 |
| Factor | CV (%) | Mean Square | Treatments | |||||||||
|---|---|---|---|---|---|---|---|---|---|---|---|---|
| T1 | T2 | T3 | T4 | T5 | ||||||||
| pH | 12.12 | 0.2837 ns | ŷ = 5.42 | |||||||||
| EC (dS m−1 at 25 °C) | 11.56 | 0.4014 * | 0.74 | b | 0.83 | b | 0.68 | b | 1.37 | a | 1.70 | a |
| Sodium (mg dm−3) | 10.87 | 180.072 * | 19.80 | b | 37.05 | a | 35.40 | a | 37.45 | a | 45.90 | a |
| Potassium (mg dm−3) | 78.57 | 1223.2 ns | ŷ = 47.81 | |||||||||
| Organic matter (g dm−3) | 16.80 | 0.9383 ns | ŷ = 11.28 | |||||||||
| CEC (cmolc dm−3) | 35.25 | 0.7418 ns | ŷ = 4.86 | |||||||||
| ESP (%) | 36.99 | 2.0227 ns | ŷ = 3.37 | |||||||||
| Soil classification regarding salinity | Cycle 1 | Normal | Normal | Normal | Normal | Normal | ||||||
| Cycle 2 | Normal | Normal | Normal | Normal | Normal | |||||||
| Factor | Cycle | F Test | Irrigation Depths | Treatments | |||||||||||
|---|---|---|---|---|---|---|---|---|---|---|---|---|---|---|---|
| ID | TREAT | ID * TREAT | T1 | T2 | T3 | T4 | T5 | ||||||||
| Shoot fresh mass (g pl−1) | 1 | 46.164 *** | 7.040 *** | 0.575 ns | 372.9 | b | 435.0 | ab | 490.6 | a | 392.1 | b | 369.5 | b | |
| 2 | 8.786 *** | 6.901 *** | 2.376 * | 50% ETc | 107.0 | a | 187.3 | a | 184.3 | a | 115.0 | a | 152.0 | a | |
| 75% ETc | 194.7 | b | 221.3 | ab | 380.0 | a | 153.0 | b | 207.7 | ab | |||||
| 100% ETc | 180.0 | b | 227.7 | b | 414.7 | a | 314.7 | ab | 312.0 | ab | |||||
| 125% ETc | 146.0 | b | 234.3 | ab | 351.0 | a | 407.0 | ab | 367.7 | ab | |||||
| 150% ETc | 236.7 | a | 182.7 | a | 208.3 | a | 364.3 | a | 313.3 | a | |||||
| Shoot dry mass (g pl−1) | 1 | 25.418 *** | 3.451 * | 0.935 ns | 17.26 | ab | 17.52 | ab | 19.75 | a | 16.50 | b | 17.05 | b | |
| 2 | 16.745 *** | 4.066 ** | 2.758 ** | 50% ETc | 7.97 | ab | 14.60 | a | 12.32 | ab | 7.83 | b | 9.95 | ab | |
| 75% ETc | 11.17 | b | 15.13 | ab | 18.00 | a | 13.94 | ab | 11.42 | ab | |||||
| 100% ETc | 15.82 | a | 12.72 | a | 18.97 | a | 13.88 | a | 17.18 | a | |||||
| 125% ETc | 13.73 | b | 16.97 | ab | 19.91 | ab | 22.65 | a | 21.28 | a | |||||
| 150% ETc | 15.04 | a | 12.23 | a | 14.78 | a | 19.08 | a | 16.20 | a | |||||
| NL (un pl−1) | 1 | 22.141 *** | 2.022 ns | 0.541 ns | ŷ = 49 | ||||||||||
| 2 | 8.359 *** | 3.341 * | 1.743 ns | 43.93 | b | 48.00 | ab | 53.67 | a | 46.20 | ab | 48.53 | ab | ||
| Water use productivity (g L−1) | 1 | 1.511 ns | 4.255 ** | 0.677 ns | 32.31 | b | 43.79 | a | 38.59 | ab | 38.70 | ab | 35.73 | ab | |
| 2 | 4.089 ** | 10.415 *** | 2.408 ** | 50% ETc | 15.48 | a | 20.98 | a | 23.68 | a | 18.60 | a | 23.19 | a | |
| 75% ETc | 20.52 | b | 17.68 | b | 35.20 | a | 18.22 | b | 23.20 | ab | |||||
| 100% ETc | 14.92 | b | 14.14 | b | 30.03 | a | 29.64 | a | 27.49 | ab | |||||
| 125% ETc | 9.97 | b | 11.90 | b | 20.87 | ab | 31.73 | a | 26.74 | a | |||||
| 150% ETc | 13.73 | ab | 7.85 | b | 10.50 | ab | 24.23 | a | 19.41 | ab | |||||
| Treatment | Cycle 1 | Cycle 2 | ||
|---|---|---|---|---|
| Coliforms at 45 °C | Salmonella | Coliforms at 45 °C | Salmonella | |
| MPN g−1 | in 25 g | MPN g−1 | in 25 g | |
| T1 | <3.0 | Absence | 9.2 | Absence |
| T2 | <3.0 | Absence | <3.0 | Absence |
| T3 | <3.0 | Absence | <3.0 | Absence |
| T4 | <3.0 | Absence | <3.0 | Absence |
| T5 | <3.0 | Absence | <3.0 | Absence |
| Temperatures | Stages |
|---|---|
| Up to 150 °C | Release of free water (lower temperatures) and bound water (stronger interaction with biomass) |
| Between 125 °C and 250 °C | Decomposition of biopolymers (mainly hemicellulose) occurs at lower temperatures compared to cellulose |
| Between 250 °C and 380 °C | Intense scission of the polymeric chains of cellulose, accompanied by the beginning of lignin decomposition |
| Between 180 °C and 500 °C | Lignin decomposition, with production of phenols and other aromatic compounds in biooil, with formation of methanol and part of acetic acid |
| Below 500 °C | Decomposition of pectin |
Publisher’s Note: MDPI stays neutral with regard to jurisdictional claims in published maps and institutional affiliations. |
© 2022 by the authors. Licensee MDPI, Basel, Switzerland. This article is an open access article distributed under the terms and conditions of the Creative Commons Attribution (CC BY) license (https://creativecommons.org/licenses/by/4.0/).
Share and Cite
Souza, A.M.d.S.; da Cunha, F.F.; Faccioli, G.G.; Santana, F.S.; Santos, K.V. Lettuce Fertigation with Domestic Effluent Treated with Orange Pomace Biochar. Water 2022, 14, 3272. https://doi.org/10.3390/w14203272
Souza AMdS, da Cunha FF, Faccioli GG, Santana FS, Santos KV. Lettuce Fertigation with Domestic Effluent Treated with Orange Pomace Biochar. Water. 2022; 14(20):3272. https://doi.org/10.3390/w14203272
Chicago/Turabian StyleSouza, Antonio Magno dos Santos, Fernando França da Cunha, Gregorio Guirado Faccioli, Fabiano Santos Santana, and Ketylen Vieira Santos. 2022. "Lettuce Fertigation with Domestic Effluent Treated with Orange Pomace Biochar" Water 14, no. 20: 3272. https://doi.org/10.3390/w14203272
APA StyleSouza, A. M. d. S., da Cunha, F. F., Faccioli, G. G., Santana, F. S., & Santos, K. V. (2022). Lettuce Fertigation with Domestic Effluent Treated with Orange Pomace Biochar. Water, 14(20), 3272. https://doi.org/10.3390/w14203272

