Research on the Non-Point Source Pollution Characteristics of Important Drinking Water Sources
Abstract
:1. Introduction
2. Materials and Methods
2.1. Study Area
2.2. Data Sources
2.3. The Modified Export Coefficient Model and Export Coefficient Determination
2.3.1. The Modified Export Coefficient
- (1)
- Precipitation impact factor
- (2)
- Terrain influence factor
2.3.2. Determination of Export Coefficient Values
2.4. Non-Point Source Pollution Load Estimation and Model Validation
3. Results and Discussion
3.1. Source Analysis of Non-Point Source Total Nitrogen and Total Phosphorus Pollution in the Watershed
3.2. Spatial Distribution Characteristics of Non-Point Source Pollution in the Watershed
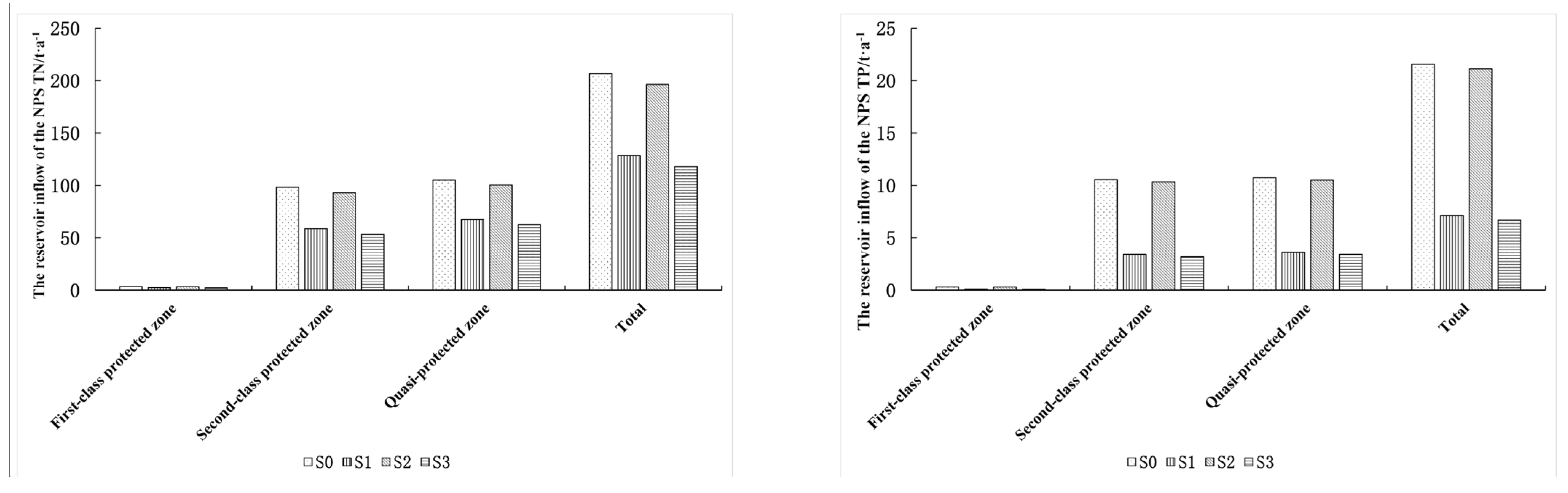
3.3. Analysis of Watershed Non-Point Source Pollution Load Control Scheme
4. Conclusions
Author Contributions
Funding
Institutional Review Board Statement
Data Availability Statement
Acknowledgments
Conflicts of Interest
References
- Wang, R.J.; Wang, Q.B.; Dong, L.S.; Zhang, J. Cleaner agricultural production in drinking-water source areas for the control of non-point source pollution in China. J. Environ. Manag. 2021, 285, 112096. [Google Scholar] [CrossRef]
- Wang, G.Q.; Li, J.W.; Sun, W.C.; Xue, B.; Yinglan, A.; Liu, T. Non-point source pollution risks in a drinking water protection zone based on remote sensing data embedded within a nutrient budget model. Water Res. 2019, 157, 238–246. [Google Scholar] [CrossRef] [PubMed]
- Yu, L.A.; Liu, X.D.; Hua, Z.L. Occurrence, distribution, and risk assessment of perfluoroalkyl acids in drinking water sources from the lower Yangtze River. Chemosphere 2021, 287, 132064. [Google Scholar] [CrossRef]
- He, J.; Charlet, L. A review of arsenic presence in China drinking water. J. Hydrol. 2013, 492, 79–88. [Google Scholar] [CrossRef]
- Ou, Y.; Wang, X. Identification of critical source areas for non-point source pollution in Miyun reservoir watershed near Beijing, China. Water Sci. Technol. 2008, 58, 2235–2241. [Google Scholar] [CrossRef]
- Zhang, M.; Xu, J. Nonpoint source pollution, environmental quality, and ecosystem health in China: Introduction to the special section. J. Environ. Qual. 2011, 40, 1685. [Google Scholar] [CrossRef] [Green Version]
- Xu, Q.G.; Xi, B.D.; Cao, J.L. Eutrophication and Regional Differences of Lakes in China; Science Press: Beijing, China, 2016. [Google Scholar]
- Ongley, E.D.; Zhang, X.L.; Yu, T. Current status of agricultural and rural non-point source Pollution assessment in China. Environ. Pollut. 2010, 158, 1159–1168. [Google Scholar] [CrossRef] [PubMed]
- Cheng, H.; Lin, C.; Wang, L.; Xiong, J.; Peng, L.; Zhu, C. The Influence of Different Forest Characteristics on Non-point Source Pollution: A Case Study at Chaohu Basin, China. Int. J. Environ. Res. Public Health 2020, 17, 1790. [Google Scholar] [CrossRef] [Green Version]
- Zhu, Q.D.; Sun, J.H.; Hua, G.F.; Wang, J.H.; Wang, H. Runoff characteristics and non-point source pollution analysis in the Taihu Lake Basin: A case study of the town of Xueyan, China. Environ. Sci. Pollut. Res. 2015, 22, 15029–15036. [Google Scholar] [CrossRef]
- Dong, Y. Coupling Simulation and Control Strategy of Urban and Rural Non-Point Source Pollution in Dianchi Lake Basin. Ph.D. Thesis, Tsinghua University, Beijing, China, 2016. [Google Scholar]
- Geng, R.Z.; Wang, X.Y.; Jiao, S.; Meng, F. Estimation and characteristic analysis of non-point source pollution load in the Miyun Reservoir watershed. Acta Sci. Circumstantiae 2013, 33, 1484–1492. [Google Scholar]
- Worrall, F.; Burt, T.P. The impact of land-use change on water quality at the catchment scale: The use of export coefficient and structural models. J. Hydrol. 1999, 221, 75–90. [Google Scholar] [CrossRef]
- Lam, Q.D.; Schmalz, B.; Fohrer, N. Assessing the spatial and temporal variations of water quality in lowland areas, Northern Germany. J. Hydrol. 2012, 438–439, 137–147. [Google Scholar] [CrossRef]
- Abdelwahab, O.M.M.; Ricci, G.F.; De Girolamo, A.M.; Gentile, F. Modelling soil erosion in a Mediterranean watershed: Comparison between SWAT and AnnAGNPS models. Environ. Res. 2018, 166, 363–376. [Google Scholar] [CrossRef] [PubMed]
- Shamshad, A.; Leow, C.S.; Ramlah, A.; Hussin, W.M.A.W.; Sanusi, S.A.M. Applications of AnnAGNPS model for soil loss estimation and nutrient loading for Malaysian conditions. Int. J. Appl. Earth Obs. Geoinf. 2008, 10, 239–252. [Google Scholar] [CrossRef]
- Tamanna, M.; Pradhanang, S.M.; Gold, A.J.; Addy, K.; Vidon, P.G.; Bingner, R.L. Evaluation of AnnAGNPS Model for Runoff Simulation on Watersheds from Glaciated Landscape of USA Midwest and Northeast. Water 2020, 12, 3525. [Google Scholar] [CrossRef]
- Yang, Y.F. Simulation of Non-Point Source Pollution in Yixing Plain River Network Based on HSPF Model. Master’s Thesis, Xi’an University of Architecture and Technology, Xi’an, China, 2015. [Google Scholar]
- Bai, X.Y.; Wei, S.; Shi, X.; Chen, X.H. Impact analysis of precipitation in Dongjiang River Basin on non-point source pollution based on HSPF model. J. Irrig. Drain. 2018, 37, 112–119. [Google Scholar]
- Johnes, P.J.; Heathwaite, A.L. Modelling the impact of land use change on water quality in agricultural catchments. Hydrol. Processes 1997, 11, 269–286. [Google Scholar] [CrossRef]
- Cai, M.; Li, H.E.; Zhuang, Y.T. Application of improved export coefficient method in non-point source pollution load estimation of watershed. J. Hydraul. Eng. 2004, 35, 40–45. [Google Scholar]
- Cheng, X.; Chen, L.D.; Sun, R.H.; Jing, Y.C. An improved export coefficient model to estimate non-point source phosphorus pollution risks under complex precipitation and terrain conditions. Environ. Sci. Pollut. Res. 2018, 25, 20946–20955. [Google Scholar] [CrossRef]
- Singh, J.; Knapp, H.V.; Arnold, J.G.; Demissie, M. Hydrological modeling of the iroquois river watershed using HSPF and SWAT. J. Am. Water Resour. Assoc. 2005, 41, 343–360. [Google Scholar] [CrossRef]
- Li, J.K.; Peng, K.; Hao, G.R.; Li, H.E.; Li, S. Research progress on quantification and control of non-point source pollution load in the Yellow River Basin. Water Resour. Prot. 2021, 37, 90–102. [Google Scholar]
- Ding, X.; Shen, Z.; Hong, Q.; Yang, Z.; Wu, X.; Liu, R. Development and test of the Export Coefficient Model in the Upper Reach of the Yangtze River. J. Hydrol. 2010, 383, 233–244. [Google Scholar] [CrossRef]
- Ding, Y.; Zhao, J.Y.; Dong, F.; Xu, Z.H.; Ma, B.; Peng, W.Q. Estimation and analysis of agricultural non-point source pollution load in Guishui River Basin. Water Resour. Hydropower Technol. 2020, 51, 139–146. [Google Scholar]
- Liu, Q.Q.; Singh, V.P. Effect of Microtopography, Slope Length and Gradient, and Vegetative Cover on Overland Flow through Simulation. J. Hydrol. Eng. 2004, 9, 375–382. [Google Scholar] [CrossRef] [Green Version]
- Aschmann, S.G.; Anderson, D.P.; Croft, R.J.; Cassell, E.A. Using a watershed nutrient dynamics model, WEND, to address watershed-scale nutrient management challenges. J. Soil Water Conserv. 1999, 54, 630. [Google Scholar]
- Zhang, N.M.; Yu, Y.; Hong, B.; Chen, J. Influencing factors of phosphorus pollution load in farmland soil runoff in Dianchi Lake Basin. Environ. Sci. 2003, 24, 155–157. [Google Scholar]
- Liu, R.M.; Yang, Z.F.; Ding, X.W.; Shen, Z.Y.; Wu, X.; Liu, F. Research on the impact of land use/cover change on non-point source pollution in the upper reaches of the Yangtze River. Environ. Sci. 2006, 27, 2407–2414. [Google Scholar]
- Li, G.; Mao, F. Evaluation of my country’s soil erosion-type non-point source pollution load and its economic loss. China Soil Water Conserv. 2008, 9–11, 60. [Google Scholar]
- Xing, B.X.; Chen, H. Estimation of agricultural non-point source pollution load and river inflow coefficient in Beijing. China Soil Water Conserv. 2016, 34–37, 77. [Google Scholar]
- Li, N.; Han, W.Z.; Shen, M.N.; Yu, S. Estimation of agricultural non-point source pollution load in reservoir catchment area based on export coefficient model. J. Agric. Eng. 2016, 32, 224–230. [Google Scholar]
- Liang, C.D.; Long, T.Y.; Li, J.C.; Liu, L.M. Research on Non-point Source Nitrogen and Phosphorus Loads in the Three Gorges Reservoir. Resour. Environ. Yangtze River Basin 2007, 16, 26–30. [Google Scholar]
- Wang, Y.X.; Zhong, P.L.; Yu, G.; Zou, L.; Zhen, Y.; Li, L. Estimation and time-space analysis of non-point source pollution load of nitrogen and phosphorus in Jiaozhou Bay. J. Ocean. Univ. China 2019, 49, 85–97. [Google Scholar]
- Hao, G.Z.; Song, F.Z.; Xu, L.; Zhu, G.Y. Estimation of agricultural non-point source pollution load in the upper reaches of Qingshui River based on the export coefficient model. Sci. Technol. Eng. 2020, 20, 13919–13927. [Google Scholar]
- Jing, Y.D.; Zhang, H.M.; Sun, X.X. Non-point source pollution output risk assessment based on the export coefficient model in Nansi Lake Basin. Bull. Soil Water Conserv. 2017, 37, 270–274, 278. [Google Scholar]
- Zhang, J.; He, J.S.; Zhou, F.; Yin, Z. Estimation and analysis of non-point source pollution load in the Hunhe River Basin. South--North Water Divers. Water Conserv. Sci. Technol. 2011, 9, 69–73. [Google Scholar]
- Meng, X.Y.; Yu, X.X.; Pan, X.Q. The impact of land use change on non-point source nitrogen pollution load in Yunmeng Lake Basin. Environ. Sci. 2012, 33, 1789–1794. [Google Scholar]
- Department of Natural Ecology Protection, General Administration of Environmental Protection China. Investigation and Control Measures of Pollution in Large-Scale Livestock and Poultry Breeding Industry; China Environmental Science Press: Beijing, China, 2002. [Google Scholar]
- Ye, F.; Bian, X.M.; Hu, D.W.; Li, S.M. Regional Difference Evaluation and Control Countermeasures of Agricultural Non-point Source Pollution in Jiangsu Province. Water Resour. Prot. 2006, 22, 86–88. [Google Scholar]
- Zheng, Y.T.; Wang, X.Y.; Yin, J.; Wang, L.R. Analysis on the characteristics of domestic waste generation in different types of villages in water source protection areas. J. Agric. Environ. Sci. 2008, 27, 1450–1454. [Google Scholar]
- Feng, Q. Investigation of Rural Living Pollution Characteristics and Public Environmental Awareness. Master’s thesis, Capital Normal University, Beijing, China, 2006. [Google Scholar]
- Zhu, M. Estimation and Evaluation of Agricultural Non-Point Source Pollution Load in Haihe River Basin. Ph.D. Thesis, Chinese Academy of Agricultural Sciences, Beijing, China, 2011. [Google Scholar]
- Chen, X.K.; Liu, X.B.; Peng, W.Q.; Dong, F.; Huang, Z.H.; Feng, S.X.; Wang, R.N. Estimation of non-point source pollution load in Chenghai Basin and its control countermeasures. Environ. Sci. 2018, 39, 77–88. [Google Scholar]
- Gao, X.Z. Fertilizer Practical Manual; China Agricultural Press: Beijing, China, 2002. [Google Scholar]








| Data Type | Resolution /Coverage Range | Utilization | Data Sources |
|---|---|---|---|
| Land use data | 30 × 30 m | Land use types and pollution source analysis | Chinese Academy of Sciences Resource and Environment Data Center |
| Meteorological data | Daily rainfall from five rainfall stations in Pengjiayu, Ximata, Qincun, Huangqian Reservoir, and Xiagang—2010 to 2018 | Rainfall influence analysis | Tai’an Hydrological Center; China Meteorological Data Network |
| Water quality and quantity data | Runoff and water quality data for 2018 | Model calibration | Tai’an Hydrological Center; Huangqian Reservoir Management Bureau |
| Digital elevation data (DEM) | 30 m | Terrain impact analysis | China Geospatial Data Cloud |
| Socioeconomic data | Huangqian reservoir water source area | Livestock breeding and rural life pollution analysis | Daiyue District Statistical Yearbook of Tai’an City, Shandong Province (2018) |
| Pollution Source | Unit | Category | TN Export Coefficient | TP Export Coefficient |
|---|---|---|---|---|
| Land use | t·km−2·a−1 | Farmland | 2.302 | 0.13 |
| Forestland | 0.434 | 0.015 | ||
| Grassland | 1.152 | 0.035 | ||
| Residential land | 1.296 | 0.032 | ||
| Water area | 1.500 | 0.036 | ||
| Livestock/ poultry breeding | kg·head (only)−1·a−1 | Bovine | 16.412 | 1.204 |
| Pig | 1.208 | 0.243 | ||
| Sheep | 0.37 | 0.132 | ||
| Poultry | 0.023 | 0.01 | ||
| Rural life | kg·a−1 | Domestic sewage | 0.4607 | 0.0587 |
| kg·person−1·a−1 | Domestic waste | 0.9806 | 0.337 | |
| Feces, urine | 1.1242 | 0.2792 |
| Pollution Source | Category | TN | TP | ||||
|---|---|---|---|---|---|---|---|
| Load/t·a−1 | Load Percentage/% | Load Intensity /t·(km2·a)−1 | Load/t·a−1 | Load Percentage/% | Load Intensity /t·(km2·a)−1 | ||
| Land use | Farmland | 231.08 | 61.94 | 2.53 | 14.63 | 74.47 | 0.16 |
| Forestland | 76.83 | 20.60 | 0.52 | 3.01 | 15.33 | 0.02 | |
| Grassland | 32.16 | 8.62 | 1.36 | 1.10 | 5.62 | 0.05 | |
| Waters | 8.17 | 2.19 | 1.26 | 0.22 | 1.12 | 0.03 | |
| Residential land | 24.81 | 6.65 | 1.40 | 0.68 | 3.47 | 0.04 | |
| Total | 373.05 | 100.00 | 7.07 | 19.64 | 100.00 | 0.30 | |
| Livestock and poultry breeding | Cattle | 39.28 | 40.65 | - | 3.23 | 13.04 | - |
| Pig | 15.05 | 15.57 | - | 3.39 | 13.69 | - | |
| Sheep | 28.20 | 29.18 | - | 11.28 | 45.54 | - | |
| Poultry | 14.10 | 14.59 | - | 6.87 | 27.74 | - | |
| Total | 96.63 | 100.00 | - | 24.77 | 100.00 | - | |
| Rural life | Domestic sewage | 42.64 | 17.96 | - | 6.09 | 8.70 | - |
| Domestic garbage | 90.75 | 38.22 | - | 34.96 | 49.94 | - | |
| Stool and urine | 104.04 | 43.82 | - | 28.96 | 41.37 | - | |
| Total | 237.43 | 100.00 | - | 70.01 | 100.00 | - | |
| Scheme | Fertilizer Application | Rural Livestock and Poultry Manure Utilization Rate | Rural Domestic Sewage Utilization Rate | Domestic Waste and Fecal Pollutant Utilization Rate |
|---|---|---|---|---|
| Present Situation (S0) | Unchanged | Unchanged | Unchanged | Unchanged |
| Scheme 1 (S1) | Unchanged | Reached 90% | Reached 63% | Reached 81% |
| Scheme 2 (S2) | Reduced 15% | Unchanged | Unchanged | Unchanged |
| Scheme 3 (S3) | Reduced 15% | Reached 90% | Reached 63% | Reached 81% |
Publisher’s Note: MDPI stays neutral with regard to jurisdictional claims in published maps and institutional affiliations. |
© 2022 by the authors. Licensee MDPI, Basel, Switzerland. This article is an open access article distributed under the terms and conditions of the Creative Commons Attribution (CC BY) license (https://creativecommons.org/licenses/by/4.0/).
Share and Cite
Hou, L.; Zhou, Z.; Wang, R.; Li, J.; Dong, F.; Liu, J. Research on the Non-Point Source Pollution Characteristics of Important Drinking Water Sources. Water 2022, 14, 211. https://doi.org/10.3390/w14020211
Hou L, Zhou Z, Wang R, Li J, Dong F, Liu J. Research on the Non-Point Source Pollution Characteristics of Important Drinking Water Sources. Water. 2022; 14(2):211. https://doi.org/10.3390/w14020211
Chicago/Turabian StyleHou, Lei, Zhongyuan Zhou, Ruyan Wang, Jianxin Li, Fei Dong, and Jingqiang Liu. 2022. "Research on the Non-Point Source Pollution Characteristics of Important Drinking Water Sources" Water 14, no. 2: 211. https://doi.org/10.3390/w14020211
APA StyleHou, L., Zhou, Z., Wang, R., Li, J., Dong, F., & Liu, J. (2022). Research on the Non-Point Source Pollution Characteristics of Important Drinking Water Sources. Water, 14(2), 211. https://doi.org/10.3390/w14020211
