Leaf Traits and Water-Use Characteristics of Impatiens hainanensis, a Limestone-Endemic Plant under Different Altitudes in Dry and Foggy Seasons
Abstract
:1. Introduction
2. Materials and Methods
2.1. Study Area and Locations
2.2. Indicators and Methods for Determining Leaf Traits
2.2.1. Specific Leaf Area Determination
2.2.2. Determination of Leaf Dry Matter Content
2.2.3. Leaf Thickness
2.2.4. Relative Chlorophyll Content Determination
2.3. Isotope Sample Collection and Determination
2.3.1. Sample Collection
2.3.2. Stable Isotope Measurement
2.4. Water Absorption and Utilization of Leaves
2.4.1. Measurement of Leaf Water Potential, Relative Water Content, and Water Absorption
2.4.2. Measurement of Photosynthetic Properties
2.5. Data Analyses
2.5.1. Water–Use Efficiency
2.5.2. Statistical Analysis
3. Results
3.1. Leaf Traits of I. hainanensis
3.1.1. Interrelationships between Leaf Traits at Different Altitudes
3.1.2. Correlation of Leaf Traits with Altitude
3.2. Dynamics of δD (δ18O) and δ13C
3.2.1. δD(δ18O) Characteristics of Fog Water
3.2.2. δ13C and WUE Characteristics of Leaf
3.3. Water Absorption and Utilization of Leaf
3.3.1. Diurnal Variation in Leaf Water Potential
3.3.2. Changes in Leaf Water Potential, Relative Water Content, and Water Absorption after Spraying
3.3.3. Linear Relationship between Leaf Water Potential and Relative Water Content
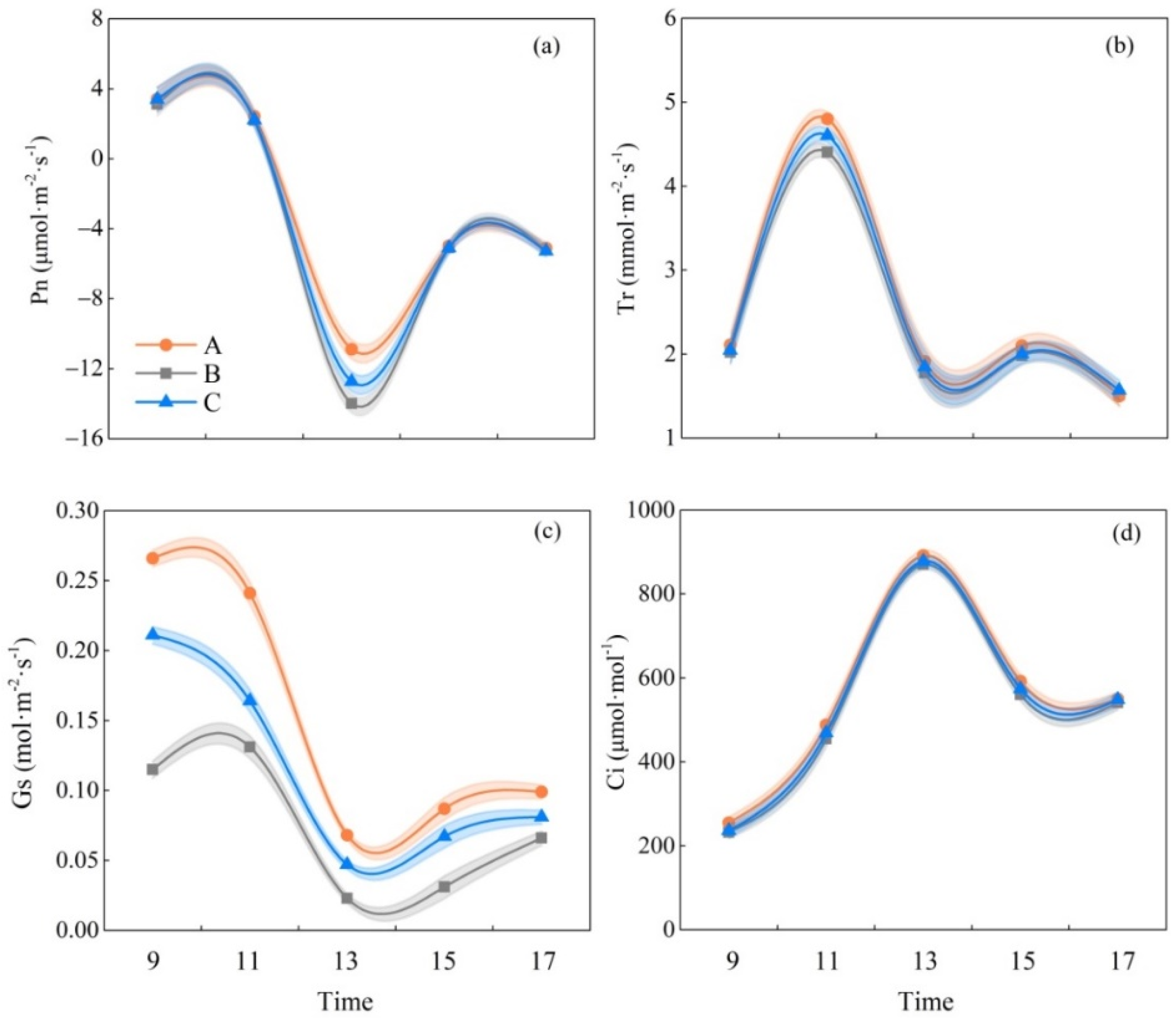
3.3.4. Changes in Photosynthetic Properties of I. hainanensis
4. Discussion
4.1. Leaf Traits of I. hainanensis under Different Altitudes during Dry and Foggy Seasons
4.2. Changes in Water-Use Efficiency of I. hainanensis during Dry and Foggy Seasons
4.3. Utilization of Fog Water by I. hainanensis
5. Conclusions
Author Contributions
Funding
Institutional Review Board Statement
Informed Consent Statement
Data Availability Statement
Acknowledgments
Conflicts of Interest
References
- Allen, C.D.; Macalady, A.K.; Chenchouni, H.; Bachelet, D.; Mcdowell, N.; Vennetier, M.; Kitzberger, T.; Rigling, A.; Breshears, D.D.; Hogg, E.H. A global overview of drought and heat-induced tree mortality reveals emerging climate change risks for forests. Forest. Ecol. Manag. 2010, 259, 660–684. [Google Scholar] [CrossRef] [Green Version]
- Cao, S.K.; Feng, Q.; Si, J.H.; Chang, Z.Q.; Xi, H.Y.; Zhuo, M.C. Summary on Research Methods of Water Use Efficiency in Plant. J. Des. Res. 2009, 29, 853–858. [Google Scholar]
- Smedley, M.P.; Dawson, T.E.; Comstock, J.P.; Donovan, L.A.; DE Sherrill, D.E.; Ehleringer, C.J.R. Seasonal carbon isotope discrimination a grassland community. Oecologia 2011, 85, 314–320. [Google Scholar] [CrossRef] [PubMed]
- Liu, X.Z.; Wang, G.A.; Li, J.Z.; Wang, W.W.; Zhao, L.L.; Li, B.J. Relationship between temperature and δ13C values of C3 herbaceous plants and its implications of WUE in farming-pastoral zone in North China. Acta Ecol. Sin. 2011, 31, 0123–0136. [Google Scholar]
- Nie, Y.P.; Chen, H.S.; Wang, K.L.; Yang, J. Water source utilization by woody plants growing on dolomite outcrops and nearby soils during dry seasons in karst region of Southwest China. J. Hydrol. 2012, 420, 264–274. [Google Scholar] [CrossRef]
- Yu, W.S.; Wei, F.L.; Ma, Y.M.; Liu, W.J.; Zhang, Y.Y.; Luo, L.; Tian, L.; Xu, B.Q.; Qu, D.M. Stable isotope variations in precipitation over Deqin on the southeastern margin of the Tibetan Plateau during different seasons related to various meteorological factors and moisture sources. Atmos. Res. 2016, 170, 123–130. [Google Scholar] [CrossRef]
- Bai, Y.F.; Wu, J.G.; Xing, Q.; Pan, Q.M.; Huang, J.H.; Yang, D.L.; Han, X.G. Primary production and rain use efficiency across a precipitation gradient on the Mongolia Plateau. Ecology 2008, 89, 2140–2153. [Google Scholar] [CrossRef] [PubMed]
- Yang, B.; Wen, X.F.; Sun, X.M. Seasonal variations in depth of water uptake for a subtropical coniferous plantation subjected to drought in an East Asian monsoon region. Agric. For. Meteorol. 2015, 201, 218–228. [Google Scholar] [CrossRef]
- Mi, Z.R.; Chen, L.T.; Zhang, Z.H.; He, J.S. Alpine grassland water use efficiency based on annual precipitation, growing season precipitation and growing season evapotranspiration. Chin. J. Plant Ecol. 2015, 39, 649–680. [Google Scholar]
- Wang, M.J.; Rong, L.; Li, T.T.; Wang, Q.; Ye, T.M. Studies on Leaf Functional Traits of Nine Woody Lianas in the Karst Area of Central Guizhou Province. J. Trop. Sub. Bot. 2021, 29, 455–464. [Google Scholar]
- Farquhar, G.D.; Oleary, M.H.; Berry, J.A. On the relationship between carbon isotope discrimination and the intercellular carbon dioxide concentration in leaves. Aust. J. Plant Physiol. 1982, 9, 121–137. [Google Scholar] [CrossRef]
- Zhou, R.Y.; Chen, S.P.; Song, W.M.; Lu, Q.; Lin, G.H. Water-use strategies of two desert plants along a precipitation gradient in northwestern China. Chin. J. Plant Ecol. 2011, 35, 789–800. [Google Scholar] [CrossRef]
- Fan, J.J.; Ning, J.; Meng, X.Q.; Zhu, Y.S.; Sun, X.M.; Zhang, X.Y. Stable carbon isotopic compositions of C3 plant responses to the temperature and moisture and their application in water use efficiency. Chin. J. Soil Sci. 2012, 43, 1502–1507. [Google Scholar]
- Liu, W.J.; Wang, P.Y.; Li, J.T.; Liu, W.Y.; Li, H.M. Plasticity of source-water acquisition in epiphytic, transitional and terrestrial growth phases of Ficus tinctoria. Ecohydrology 2014, 7, 1524–1533. [Google Scholar] [CrossRef]
- Yao, Y.W.; Dai, Q.H.; Gan, Y.X.; Gao, R.X.; Yan, Y.J.; Wang, Y.H. Effects of Rainfall Intensity and Underground Hole (Fracture) Gap on Nutrient Loss in Karst Sloping Farmland. Sci. Agric. Sin. 2021, 54, 140–151. [Google Scholar]
- Guo, Y.L.; Chen, H.Y.; Wang, B.; Xiang, W.S.; Li, D.X.; Li, X.K.; Mallik, A.U.; Ding, T.; Huang, F.Z.; Lu, F.Z.; et al. Conspecific and heterospecific crowding facilitate tree survival in a tropical karst seasonal rainforest. For. Ecol. Manag. 2021, 481, 118751. [Google Scholar] [CrossRef]
- Rempe, D.M.; Dietrich, W.E. Direct observations of rock moisture, a hidden component of the hydrologic cycle. Proc. Natl. Acad. Sci. USA 2018, 115, 2664–2669. [Google Scholar] [CrossRef] [PubMed] [Green Version]
- Wang, J.X.; Zou, B.P.; Liu, Y.; Tang, Y.Q.; Zhang, X.B.; Yang, P. Erosion-creep-collapse mechanism of underground soil loss for the karst rocky desertification in Chenqi village, Puding county, Guizhou, China. Environ. Earth Sci. 2014, 72, 2751–2764. [Google Scholar] [CrossRef]
- Wang, F.G.; Qin, X.S.; Chen, H.F.; Zhang, R.J.; Liu, D.M.; Xing, F.W. Endemic plants in limestone region on Hainan Island. J. Trop. Sub. Bot. 2006, 14, 45–54. [Google Scholar]
- Li, S.L.; Liu, C.Q.; Chen, J.A.; Wang, S.J. Karst ecosystem and environment: Characteristics, evolution Processes, and sustainable development. Agric. Ecosyst. Environ. 2021, 306, 107173. [Google Scholar] [CrossRef]
- Jiang, G.H.; Chen, Z.; Siripornpibul, C.; Haryono, E. The karst water environment in Southeast Asia: Characteristics, challenges, and approaches. Hydrogeol. J. 2021, 29, 123–135. [Google Scholar] [CrossRef]
- Liu, W.J.; Li, P.J.; Duan, W.P.; Liu, W.Y. Dry-season water utilization by trees growing on thin karst soils in a seasonal tropical rainforest of Xishuangbanna, SW China. Ecohydrology 2013, 7, 927–935. [Google Scholar] [CrossRef]
- Yan, Y.J.; Dai, Q.H.; Hu, G.; Jian, Q.; Mei, L.; Fu, W.B. Effects of vegetation type on the microbial characteristics of the fissure soil-plant systems in karst rocky desertification regions of SW China. Sci. Total Environ. 2020, 712, 136543. [Google Scholar] [CrossRef] [PubMed]
- Luo, X.L.; Wang, S.J.; Bai, X.Y.; Tan, Q.; Ran, C.; Chen, H.; Xi, H.P.; Chen, F.; Cao, Y.; Wu, L.H.; et al. Analysis on the spatio- temporal evolution process of rocky desertification in Southwest Karst area. Acta Ecol. Sin. 2021, 41, 680–693. [Google Scholar]
- Hu, D.; Zeng, F.P.; Song, T.Q.; Liu, K.P.; Wang, K.; Liu, M.X. Water depletion of climax forests over humid karst terrain: Patterns, controlling factors and implications. Agr. Water Manag. 2021, 244, 3106541. [Google Scholar]
- Song, T.Q. Plants and the Environment in Karst Areas of Southwest China; Science Press: Beijing, China, 2015. [Google Scholar]
- Jiang, Z.C.; Lian, Y.Q.; Qin, X.Q. Rocky desertification in Southwest China: Impacts, causes, and restoration. Earth Sci. Rev. 2014, 132, 1–12. [Google Scholar] [CrossRef]
- Cao, K.F.; Fu, P.L.; Chen, Y.J.; Jiang, Y.J.; Zhu, S.D. Implications of the ecophysiological adaptation of plants on tropical karst habitats for the ecological restoration of desertified rocky lands in southern China. Sci. Sin. Vitae 2014, 44, 238–247. [Google Scholar]
- Liu, Y.P.; Liu, G.F.; Dafu, B.Y.L.; Cheng, W.Y.; Chen, Z.J.; Jiang, L.L. Effects of topographic factors on leaf traits of dominant species in different forest communities in Daqinggou Nature Reserves. Sci. Slivae Sin. 2017, 53, 154–162. [Google Scholar]
- Yan, Y.J.; Dai, Q.H.; Yuan, Y.F.; Peng, X.D.; Zhang, L.S. Effects of rainfall intensity on runoff and sediment yields on bare slopes in a karst area, SW China. Geoderma 2018, 330, 30–40. [Google Scholar] [CrossRef]
- Shen, G.C.; He, F.L.; Waagepetersen, R.; Sun, I.F.; Hao, Z.Q.; Chen, Z.S.; Yu, M.J. Quantifying effects of habitat heterogeneity and other clustering processes on spatial distributions of tree species. Ecology 2013, 94, 2436–2443. [Google Scholar] [CrossRef]
- Zhong, Q.L.; Liu, L.B.; Xu, X.; Yang, Y.; Guo, Y.M.; Xu, H.Y.; Cai, X.L.; Ni, J. Variations of plant functional traits and adaptive strategy of woody species in a karst forest of central Guizhou Province, southwestern China. Chin. J. Plant Ecol. 2018, 42, 562–572. [Google Scholar]
- Rong, L.; Wang, S.J.; Du, X.L. Responses of δ13C values of plant leaves to environmental gradients along environmental gradient factors in rocky desertified area of a typical karst ggorge. Environ. Sci. 2008, 29, 2885–2893. [Google Scholar]
- Wang, F.Z.; LI, D.X.; Wang, B.; Xiang, W.S.; Guo, Y.L.; Wen, S.J.; Chen, T.; Li, X.K. Foliar stable carbon isotope composition and water use efficiency of plant in the Karst seasonal rain forest. Chin. J. Appl. Ecol. 2019, 30, 1833–1839. [Google Scholar]
- Zhong, Y.F.; Hu, X.Y.; Song, X.Q.; Zhou, Z.D. ISSR Analysis on Population Genetic Diversity of Impatiens hainanensis (Balsaminaceae), an Endemic Species to Hainan Island. Chin. J. Trop. Crop. 2014, 35, 1041–1046. [Google Scholar]
- Zhong, Y.F.; Wu, H.Z.; Song, X.Q.; Zhou, Z.D. Species Diversity and the Relationship with Habitat Community Characteristics of Impatiens hainanensis, Endemic to Hainan Island. Chin. J. Trop. Crop. 2014, 35, 355–361. [Google Scholar]
- Schwinning, S. The ecohydrology of roots in rocks. Ecohydrology 2010, 3, 238–245. [Google Scholar] [CrossRef]
- Liu, Y.; Han, S.M.; Song, X.Q.; Ding, Q.; Wang, P.; Zhao, Y. Seasonal Variation of Microbial Communities in the Rhizosphere of Impatiens hainanensis (Balsaminaceae) at Different Altitudes. J. Trop. Biol. 2018, 9, 47–53. [Google Scholar]
- Ning, Y.; Lei, J.R.; Song, X.Q.; Han, S.M.; Zhong, Y.F. Modeling the potential suitable habitat of Impatiens hainanensis, a limestone-endemic plant. Chin. J. Plant Ecol. 2018, 42, 946–954. [Google Scholar] [CrossRef]
- Zheng, Y.L.; Feng, Y.L. Fog water absorption by the leaves of epiphytes and non -epiphytes in X ishuangbanna. Chin. J. Appl. Ecol. 2006, 17, 977–981. [Google Scholar]
- Craig, H. Isotopic variation in Meteoric waters. Science 1961, 133, 1702–1703. [Google Scholar] [CrossRef] [PubMed]
- Ehleringer, J.R.; Rundel, P.W. Stable Isotopes in Ecological Research; Springer: New York, NY, USA, 1988. [Google Scholar]
- Farquhar, G.D.; Richards, R.A. Isotopic composition of plant carbon correlates with water-use efficiency of wheat genotypes. Aust. J. Plant Physiol. 1984, 11, 539–552. [Google Scholar] [CrossRef]
- Farquhar, G.G.; Hubick, K.T.; Condon, A.G.; Richards, R.A. Carbon isotope fractionation and plant water use efficiency. In Stable Isotope in Ecological Research; Rundel, P.W., Ehleringer, J.R., Nagy, K.A., Eds.; Springer: New York, NY, USA, 1989. [Google Scholar]
- Feng, X. Long-term Ci /Ca responses of trees in western North America to atmospheric CO2 concentration derived from carbon isotope chronologies. Oecologia 1998, 117, 19–25. [Google Scholar] [CrossRef] [PubMed]
- Milla, R.; Reich, P.B. Multi-trait interactions, not phylogeny, fine-tune leaf size reduction with increasing altitude. Ann. Bot-Lond. 2011, 107, 455–465. [Google Scholar] [CrossRef] [Green Version]
- He, Z.H.; Liang, H.; Yang, Z.H.; Huang, F.S.; Zeng, X.B. Water system characteristics of Karst river basins in South China and their driving mechanisms of hydrological drought. Nat. Hazards 2018, 92, 1155–1178. [Google Scholar] [CrossRef]
- Wang, R.L.; Yu, G.R.; He, N.P.; Wang, Q.F. Elevation-related variation in leaf stomatal traits as a function of plant functional type: Evidence from Changbai Mountain, China. PLoS ONE 2014, 9, e115395. [Google Scholar] [CrossRef]
- Pang, Z.Q.; Lu, W.L.; Jiang, L.S.; Jin, K.; Qi, Z. Leaf traits of different growing plants in karst area of Shilin, China. Guihaia 2019, 39, 1126–1138. [Google Scholar]
- Chaves, M.M.; Maroco, J.P.; Pereira, J.S. Understanding plant responses to drought-from genes to the whole plant. Funct. Plant Biol. 2003, 30, 239–264. [Google Scholar] [CrossRef] [PubMed]
- Liu, C.C.; Liu, Y.G.; Guo, K. Ecophysiological adaptations to drought stress of seedlings of four plant species with different growth forms in karst habitats. Chin. J. Plant Ecol. 2011, 35, 1070–1082. [Google Scholar]
- Jiang, Y.L.; Bai, K.D.; Guo, Y.L.; Wang, B.; Li, D.X.; Li, X.K.; Liu, Z.S. Floral traits of woody plants and their habitat differentiations in a northern tropical karst forest. Biodivers. Sci. 2016, 24, 148–156. [Google Scholar] [CrossRef]
- Ou, Y.Z.; Pang, S.L.; He, F.; Shen, W.H.; He, Q.F.; Zheng, W. Responses of Excentrodendron hsienmu leaf traits to micro-topographical changes in karst mountains of southwest Guangxi, China. Southwest China J. Agric. Sci. 2020, 33, 2225–2231. [Google Scholar]
- Bacelar, E.A.; Moutinho-pereira, J.M.; Gonçalves, B.C.; Ferreira, H.F. Changes in growth, gas exchange, xylem hydraulic properties and water use efficiency of three olive cultivars under contrasting water availability regimes. Environ. Exp. Bot. 2007, 60, 183–192. [Google Scholar] [CrossRef]
- He, Y.H.; Tian, Y.L.; Li, J.; Wang, H.Y. The characteristics of gas exchange of 3 psammophytes. J. Arid Land Res. Environ. 2014, 28, 144–149. [Google Scholar]
- Chen, J.; Xu, Q.; Gao, D.Q.; Song, A.Y. Differential water use strategies among selected rare and endangered species in west Ordos desert of China. J. Plant Ecol. 2016, 10, rtw059. [Google Scholar] [CrossRef]
- Ding, Y.L.; Nie, Y.P.; Chen, H.S.; Wang, K.L.; Querejeta, J.I. Water uptake depth is coordinated with leaf water potential, water use efficiency and drought vulnerability in karst vegetation. New Phytol. 2021, 3, 1339–1353. [Google Scholar] [CrossRef] [PubMed]
- Nie, Y.P.; Chen, H.S.; Wang, K.L. Challenges and probable solutions for using stable isotope techniques to identify plant water sources in karst regions: A review. Chin. J. Appl. Ecol. 2017, 28, 2361–2368. [Google Scholar]
- Chen, Y.J.; Cao, K.F.; Schnitzer, S.A.; Fan, Z.X.; Zhang, J.L.; Bongers, F. Water-use advantage for lianas over trees in tropical seasonal forests. New Phytol. 2014, 205, 128–136. [Google Scholar] [CrossRef]
- Ehleringer, J.R.; Sage, R.F.; Flanagan, L.B.; Pearcy, R.W. Climate change and evotion of C4 photosynthesis. Trends Ecol. Evol. 2010, 6, 95–99. [Google Scholar] [CrossRef]
- Ehleringer, J.R. Variation in leaf carbon isotope discrimination in Encelia farinose: Implications for growth, competition, and drought survival. Oecologia 2013, 95, 340–346. [Google Scholar] [CrossRef]
- Hasselquist, N.J.; Allen, M.F.; Santiago, L.S. Water relations of evergreen and drought-deciduous trees along a seasonally dry tropical forest chronosequence. Oecologia 2010, 164, 881–890. [Google Scholar] [CrossRef] [Green Version]
- Zhao, L.L.; Wang, P.C.; Chen, C.; Liu, H.L.; Ma, L. Effects of drought stresson Chlorophy II fluorescence of Lotus corniculatus. Chin. J. Grassl. 2014, 36, 18–23. [Google Scholar]
- Zhi, Y.B.; Li, H.L.; Cui, Y.; Lu, Z.Y.; Liu, P.; Ye, X.H.; Zhang, H.L.; Yang, C.; Liu, Z.L.; Wang, Y.F.; et al. The studies on the photosynthetic characteristics of the endemic relict shrub Tetraena mongolica maxim for the ex-situ conservation. Ecol. Environ. Sci. 2015, 24, 14–21. [Google Scholar]
- Ren, S.J.; Yu, G.R. Carbon isotope composition (δ13C) of C3 plants and water use efficiency in China. Chin. J. Plant Ecol. 2011, 3, 119–124. [Google Scholar] [CrossRef]
- Xu, X.; Guan, H.D.; Skrzypek, G.; Simmons, C.T. Response of leaf stable carbon isotope composition to temporal and spatial variabilities of aridity index on two opposite hillslopes in a native vegetated catchment. J. Hydrol. 2017, 553, 214–223. [Google Scholar] [CrossRef] [Green Version]
- Guo, Y.L.; Wang, B.; Mallik, A.U.; Huang, F.Z.; Xiang, W.S.; Ding, T.; Wen, A.J.; Lu, S.H.; Li, D.X.; He, Y.L.; et al. Topographic species-habitat associations of tree species in a heterogeneous tropical karst seasonal rain forest, China. J. Plant Ecol. 2017, 10, 450–460. [Google Scholar] [CrossRef]
- Zhao, Z.M.; Shen, Y.X.; Zhu, X.A. Research Progress of Soil Moisture in Karst Areas of Southwest China. Hubei Agric. Sci. 2017, 56, 3603–3609. [Google Scholar]
- George, L.O.; Bazzaz, F.A. The Herbaceous Layer as a Filter Determining Spatial Pattern in Forest Tree Regeneration. In The Herbaceous Layer in Forests of Eastern North America; Oxford University Press: New York, NY, USA, 2003. [Google Scholar]
- Wang, B.Y.; Zhou, Y.; Ma, H.J. Leaf absorption of plants of different types to fog in Xishuang Banna region. J. Anhui Agric. Sci. 2011, 39, 5677–5680. [Google Scholar]









| Sample Plot | Index | Maximum | Minimum | Mean | Coefficient Variation |
|---|---|---|---|---|---|
| A 1 | LDW(g) | 0.13 | 0.01 | 0.09 ± 0.01 | 0.50 |
| LFW (g) | 0.81 | 0.02 | 0.20 ± 0.09 | 0.45 | |
| LA (cm2) | 22.21 | 12.11 | 16.04 ± 2.17 | 0.14 | |
| SLA (cm2/g) | 602.21 | 389.67 | 407.37 ± 117.93 | 0.79 | |
| LDMC (g/cm2) | 0.12 | 0.12 | 0.18 ± 0.03 | 0.36 | |
| LT (mm) | 0.12 | 0.06 | 0.09 ± 0.02 | 0.22 | |
| RCC (%) | 46.13 | 35.58 | 41.98 ± 2.79 | 0.04 | |
| B 2 | LDW (g) | 0.03 | 0.001 | 0.02 ± 0.01 | 0.59 |
| LFW (g) | 0.44 | 0.08 | 0.38 ± 0.10 | 0.51 | |
| LA (cm2) | 7.11 | 2.66 | 5.33 ± 1.40 | 0.81 | |
| SLA (cm2/g) | 252.81 | 89.56 | 168.21 ± 81.64 | 0.66 | |
| LDMC (g/cm2) | 0.61 | 0.12 | 0.09 ± 0.07 | 0.64 | |
| LT (mm) | 0.22 | 0.11 | 0.17 ± 0.04 | 0.23 | |
| RCC (%) | 38.63 | 33.23 | 35.88 ± 1.98 | 0.07 | |
| C 3 | LDW (g) | 0.05 | 0.005 | 0.03 ± 0.01 | 0.52 |
| LFW (g) | 0.68 | 0.06 | 0.56 ± 0.20 | 0.35 | |
| LA (cm2) | 16.12 | 11.06 | 13.34 ± 1.93 | 0.15 | |
| SLA (cm2/g) | 493.55 | 156.33 | 237.42 ± 171.69 | 0.55 | |
| LDMC (g/cm2) | 0.32 | 0.08 | 0.12 ± 0.15 | 0.20 | |
| LT (mm) | 0.13 | 0.08 | 0.10 ± 0.02 | 0.17 | |
| RCC (%) | 39.21 | 35.58 | 37.94 ± 1.63 | 0.06 |
| Index | LDW | LFW | LA | SLA | LDMC | LT | RCC |
|---|---|---|---|---|---|---|---|
| LDW | 1.00 | 0.24 * | 0.48 * | −0.51 ** | 0.61 ** | 0.48 * | 0.41 |
| LFW | 1.00 | 0.83 ** | −0.79 * | −0.13 | 0.83 * | 0.67 | |
| LA | 1.00 | 0.76 | −0.02 | 0.47 | 0.56 | ||
| SLA | 1.00 | −0.88 * | −0.76 | 0.43 | |||
| LDMC | 1.00 | 0.46 * | −0.41 | ||||
| LT | 1.00 | −0.56 | |||||
| RCC | 1.00 |
| Index | A 1 | B 2 | C 3 |
|---|---|---|---|
| LDW | 0.09 ± 0.01 | 0.02 ± 0.01 | 0.03 ± 0.01 |
| LFW | 0.20 ± 0.09 | 0.38 ± 0.10 | 0.56 ± 0.20 |
| LA * | 16.04 ± 2.17 a | 5.33 ± 1.40 b | 13.34 ± 1.93 a,b |
| SLA | 407.37 ± 117.93 b | 168.21 ± 81.64 a | 237.42 ± 171.69 a,b |
| LDMC | 0.18 ± 0.03 b | 0.09 ± 0.07 a | 0.12 ± 0.15 a,b |
| LT * | 0.09 ± 0.02 b | 0.17 ± 0.04 a | 0.10 ± 0.02 a,b |
| RCC | 41.98 ± 2.79 | 35.88 ± 1.98 | 37.94 ± 1.63 |
Publisher’s Note: MDPI stays neutral with regard to jurisdictional claims in published maps and institutional affiliations. |
© 2022 by the authors. Licensee MDPI, Basel, Switzerland. This article is an open access article distributed under the terms and conditions of the Creative Commons Attribution (CC BY) license (https://creativecommons.org/licenses/by/4.0/).
Share and Cite
Huang, W.; Zhong, Y.; Zhang, C.; Ren, M.; Du, Y.; Song, X. Leaf Traits and Water-Use Characteristics of Impatiens hainanensis, a Limestone-Endemic Plant under Different Altitudes in Dry and Foggy Seasons. Water 2022, 14, 139. https://doi.org/10.3390/w14020139
Huang W, Zhong Y, Zhang C, Ren M, Du Y, Song X. Leaf Traits and Water-Use Characteristics of Impatiens hainanensis, a Limestone-Endemic Plant under Different Altitudes in Dry and Foggy Seasons. Water. 2022; 14(2):139. https://doi.org/10.3390/w14020139
Chicago/Turabian StyleHuang, Weixia, Yunfang Zhong, Cuili Zhang, Mingxun Ren, Yanjun Du, and Xiqiang Song. 2022. "Leaf Traits and Water-Use Characteristics of Impatiens hainanensis, a Limestone-Endemic Plant under Different Altitudes in Dry and Foggy Seasons" Water 14, no. 2: 139. https://doi.org/10.3390/w14020139
APA StyleHuang, W., Zhong, Y., Zhang, C., Ren, M., Du, Y., & Song, X. (2022). Leaf Traits and Water-Use Characteristics of Impatiens hainanensis, a Limestone-Endemic Plant under Different Altitudes in Dry and Foggy Seasons. Water, 14(2), 139. https://doi.org/10.3390/w14020139

