Comparison of Methods for Filling Daily and Monthly Rainfall Missing Data: Statistical Models or Imputation of Satellite Retrievals?
Abstract
1. Introduction
2. Material and Methods
2.1. Study Area and Rainfall Data
2.2. Data from the Global Precipitation Measurement Satellites
2.3. Filling of Missing Data
2.3.1. Multiple Linear Regression (MLR) with Fixed “Donor” Sites
- At least a pair of neighbor stations (with the highest levels of linear correlation), which do not have missing values along the period to be filled at the target site, is selected for composing the regression model. We restrict our attention to those “donor” stations located within a radius of 100 km of the target site for, at least to some extent, preserving similar climate conditions. More distant gauging stations (at most 150 km) are considered only in those cases in which the aforementioned criteria are not met;
- Other gauging stations are sequentially included in the model according to the linear correlation level with the target site. Then, partial F tests, at the 5% significance level, are performed for assessing whether the inclusion of a given station improves the predictive abilities of the regression model [41].
- The procedure is repeated until the inclusion of any of the remaining gauging stations does not significantly improve the models.
2.3.2. Simple Linear Regression (SLR) with Variable “Donor” Sites
2.3.3. Imputation of Satellite Retrievals
2.4. Comparison of Methods
- Mean Absolute Error (MAE)
- Root Mean Square Error (RMSE)
- Percent Bias (PBias)
- Correlation Coefficient (CC)
3. Results and Discussion
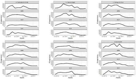
3.1. Daily Estimates
3.2. Monthly Estimates
4. Conclusions
Author Contributions
Funding
Institutional Review Board Statement
Informed Consent Statement
Data Availability Statement
Conflicts of Interest
References
- Kidd, C.; Bauer, P.; Turk, J.; Huffman, G.J.; Joyce, R.; Hsu, K.-L.; Braithwaite, D. Intercomparison of High-Resolution Precipitation Products over Northwest Europe. J. Hydrometeorol. 2012, 13, 67–83. [Google Scholar] [CrossRef]
- Danelichen, V.H.D.M.; Machado, N.G.; Biudes, M.S.; Souza, M.C. TRMM Satellite Performance in Estimated Rainfall over the Midwest Region of Brazil. Revista Brasileira de Climatologia 2013, 12, 22–31. [Google Scholar] [CrossRef][Green Version]
- Santana, A.; Soares, D. Avaliação Das Estimativas de Chuva Do Satélite TRMM No Estado Da Paraíba. Revista Brasileira de Recursos Hídricos 2016, 21, 288–299. [Google Scholar]
- Vicente-Serrano, S.M.; Beguería, S.; Lopez-Moreno, I.; Vera, M.G.; Stepanek, P. A complete daily precipitation database for northeast Spain: Reconstruction, quality control, and homogeneity. Int. J. Clim. 2009, 30, 1146–1163. [Google Scholar] [CrossRef]
- Falck, A.S.; Maggioni, V.; Tomasella, J.; Vila, D.A.; Diniz, F.L. Propagation of satellite precipitation uncertainties through a distributed hydrologic model: A case study in the Tocantins–Araguaia basin in Brazil. J. Hydrol. 2015, 527, 943–957. [Google Scholar] [CrossRef]
- Nóbrega, R.S.; de Souza, Ê.P.; Galvíncio, J.D. Análise Da Estimativa De Precipitação Do Trmm Em Uma Sub-Bacia Da Amazônia Ocidental. Revista de Geografia-Recife 2008, 25, 6–20. [Google Scholar]
- Wagner, P.D.; Fiener, P.; Wilken, F.; Kumar, S.; Schneider, K. Comparison and evaluation of spatial interpolation schemes for daily rainfall in data scarce regions. J. Hydrol. 2012, 464–465, 388–400. [Google Scholar] [CrossRef]
- Wai, K.; Che, C. A Comparative Analysis of Soft Computing Techniques Used to Estimate Missing Precipitation Records. In Proceedings of the 19th Biennial Conference of the International Telecommunications Society (ITS), Bangkok, Thailand, 18–21 November 2012; pp. 18–21. [Google Scholar]
- de Oliveira, L.F.C.; Antonini, J.C.A.; Fioreze, A.P.; Silva, M.A.S. Métodos de Estimativa de Precipitação Máxima Para o Estado de Goiás Maximum Rainfall Estimation Methods for Goiás. Revista Brasileira de Engenharia Agrícola e Ambiental 2008, 12, 620–625. [Google Scholar] [CrossRef]
- de Oliveira, L.F.C.; Antonini, J.C.D.A.; Griebeler, N.P. Estimativas de chuvas intensas para o Estado de Goiás. Engenharia Agrícola 2008, 28, 22–33. [Google Scholar] [CrossRef]
- Koutsoyiannis, D. Stochastics of Hydroclimatic Extremes, 1st ed.; Barouxis, C., Ed.; Kallipos: Athens, Greece, 2021. [Google Scholar]
- Costa, V.; Silva, A.; Palmier, L.R.; Sampaio, J. Assessing the Propagation from Meteorological to Hydrological Drought in the São Francisco River Catchment with Standardized Indexes: Exploratory Analysis, Influential Factors, and Forecasting Strategies. J. Water Resour. Plan. Manag. 2021, 147, 05021020. [Google Scholar] [CrossRef]
- Costa, V.; Fernandes, W. Bayesian estimation of extreme flood quantiles using a rainfall-runoff model and a stochastic daily rainfall generator. J. Hydrol. 2017, 554, 137–154. [Google Scholar] [CrossRef]
- Pappas, C. A Quick Gap-filling of Missing Hydrometeorological Data. J. Geophys. 2014, 119, 1–11. [Google Scholar] [CrossRef]
- de Oliveira, L.F.C.; Fioreze, A.P.; Medeiros, A.M.M.; Silva, M.A.S. Comparison of Gap Filling Methodologies of Annual Historical Series of Rainfall. Revista Brasileira de Engenharia Agrícola e Ambiental 2010, 14, 1186–1192. [Google Scholar] [CrossRef]
- Strachan, S.; Kelsey, E.P.; Brown, R.F.; Dascalu, S.; Harris, F.; Kent, G.; Lyles, B.; Mccurdy, G.; Slater, D.; Smith, K.; et al. Technology, Refined Instrument Siting, and a Focus on Gradients Filling the Data Gaps in Mountain Climate Observatories Through Advanced Technology, Refined Instrument Siting, and a Focus on Gradients. Mt. Res. Dev. 2016, 36, 518–527. [Google Scholar] [CrossRef]
- Teegavarapu, R.S.; Chandramouli, V. Improved weighting methods, deterministic and stochastic data-driven models for estimation of missing precipitation records. J. Hydrol. 2005, 312, 191–206. [Google Scholar] [CrossRef]
- Borga, M.; Vizzaccaro, A. On the interpolation of hydrologic variables: Formal equivalence of multiquadratic surface fitting and kriging. J. Hydrol. 1997, 195, 160–171. [Google Scholar] [CrossRef]
- Kizza, M.; Westerberg, I.; Rodhe, A.; Ntale, H.K. Estimating areal rainfall over Lake Victoria and its basin using ground-based and satellite data. J. Hydrol. 2012, 464–465, 401–411. [Google Scholar] [CrossRef]
- Plouffe, C.C.; Robertson, C.; Chandrapala, L. Comparing interpolation techniques for monthly rainfall mapping using multiple evaluation criteria and auxiliary data sources: A case study of Sri Lanka. Environ. Model. Softw. 2015, 67, 57–71. [Google Scholar] [CrossRef]
- Bertoni, J.C.; Tucci, C.E.M. Precipitação. In Hidrologia: Ciência e Aplicação; Tucci, C.E.M., Ed.; ABRH: Porto Alegre, Brazil, 2007; Volume 4, pp. 177–241. [Google Scholar]
- Bennett, N.D.; Newham, L.T.H.; Croke, B.F.W.; Jakeman, A.J. Patching and Disaccumulation of Rainfall Data for Hydrological Modelling. In Proceedings of the International Congress on Modelling and Simulation (MODSIM 2007), Christchurch, New Zealand, 10–13 December 2007; pp. 2520–2526. [Google Scholar]
- Hasana, M.; Crokea, B. Filling Gaps in Daily Rainfall Data: A Statistical Approach. In Proceedings of the 20th International Congress on Modelling and Simulation, Adelaide, Australia, 1–6 December 2013; pp. 1–6. [Google Scholar]
- Simolo, C.; Brunetti, M.; Maugeri, M.; Nanni, T. Improving estimation of missing values in daily precipitation series by a probability density function-preserving approach. Int. J. Clim. 2009, 30, 1564–1576. [Google Scholar] [CrossRef]
- Nathans, L.; Oswald, F.; Nimon, K. Interpreting Multiple Linear Regression: A Guidebook of Variable Importance. Pract. Assesment Res. Eval. 2012, 17, 19. [Google Scholar] [CrossRef]
- Lebay, M.; Le, M. Techniques of Filling Missing Values of Daily and Monthly Rain Fall Data: A Review. SF J. Environ. Earth Sci. 2020, 3, 1036. [Google Scholar]
- Portuguez-Maurtua, M.; Arumi, J.L.; Lagos, O.; Stehr, A.; Arquiñigo, N.M. Filling Gaps in Daily Precipitation Series Using Regression and Machine Learning in Inter-Andean Watersheds. Water 2022, 14, 1799. [Google Scholar] [CrossRef]
- Körner, P.; Kronenberg, R.; Genzel, S.; Bernhofer, C. Introducing Gradient Boosting as a universal gap filling tool for meteorological time series. Meteorol. Z. 2018, 27, 369–376. [Google Scholar] [CrossRef]
- Kim, J.; Ryu, J.H. Quantifying a Threshold of Missing Values for Gap Filling Processes in Daily Precipitation Series. Water Resour. Manag. 2015, 29, 4173–4184. [Google Scholar] [CrossRef]
- Brocca, L.; Ciabatta, L.; Massari, C.; Moramarco, T.; Hahn, S.; Hasenauer, S.; Levizzani, V. Soil as a naturalrain gauge: Estimating global rainfallfrom satellite soil moisture data. J. Geophys. Res. Atmos. 2014, 119, 5128–5141. [Google Scholar] [CrossRef]
- Huffman, G.J.; Bolvin, D.T.; Nelkin, E.J.; Wolff, D.B.; Adler, R.F.; Gu, G.; Hong, Y.; Bowman, K.P.; Stocker, E.F. The TRMM Multisatellite Precipitation Analysis (TMPA): Quasi-Global, Multiyear, Combined-Sensor Precipitation Estimates at Fine Scales. J. Hydrometeorol. 2007, 8, 38–55. [Google Scholar] [CrossRef]
- Seyyedi, H.; Anagnostou, E.N.; Kirstetter, P.-E.; Maggioni, V.; Hong, Y.; Gourley, J.J. Incorporating Surface Soil Moisture Information in Error Modeling of TRMM Passive Microwave Rainfall. IEEE Trans. Geosci. Remote Sens. 2014, 52, 6226–6240. [Google Scholar] [CrossRef]
- Ma, Y.; Sun, X.; Chen, H.; Hong, Y.; Zhang, Y. A two-stage blending approach for merging multiple satellite precipitation estimates and rain gauge observations: An experiment in the northeastern Tibetan Plateau. Hydrol. Earth Syst. Sci. 2021, 25, 359–374. [Google Scholar] [CrossRef]
- Duarte, L.V.; Formiga, K.T.M.; Costa, V.A.F. Analysis of the IMERG-GPM Precipitation Product Analysis in Brazilian Midwestern Basins Considering Different Time and Spatial Scales. Water 2022, 14, 2472. [Google Scholar] [CrossRef]
- Siabi, N.; Sanaeinejad, S.H.; Ghahraman, B. Comprehensive evaluation of a spatio-temporal gap filling algorithm: Using remotely sensed precipitation, LST and ET data. J. Environ. Manag. 2020, 261, 110228. [Google Scholar] [CrossRef]
- Cordeiro, A.L.D.M.; Blanco, C.J.C. Assessment of satellite products for filling rainfall data gaps in the Amazon region. Nat. Resour. Model. 2021, 34, e12298. [Google Scholar] [CrossRef]
- Abu Romman, Z.; Al-Bakri, J.; Al Kuisi, M. Comparison of methods for filling in gaps in monthly rainfall series in arid regions. Int. J. Clim. 2021, 41, 6674–6689. [Google Scholar] [CrossRef]
- PRODUTO 5: Plano Estadual de Recursos Hídricos Revisão Final-Setembro 2015. Available online: https://www.meioambiente.go.gov.br/images/imagens_migradas/upload/arquivos/2016-01/p05_plano_estadual_de_recursos_hidricos_revfinal2016.pdf (accessed on 5 July 2022).
- Matsui, T.; Tao, W.; Munchak, S.J.; Grecu, M.; Huffman, G.J. Satellite view of quasi-equilibrium states in tropical convection and precipitation microphysics. Geophys. Res. Lett. 2015, 42, 1959–1968. [Google Scholar] [CrossRef]
- Tabony, R.C. The estimation of missing climatological data. J. Clim. 1983, 3, 297–314. [Google Scholar] [CrossRef]
- Costa, V. Correlation and Regression. In Fundamentals of Statistical Hydrology; Springer International Publishing: Cham, Switzerland, 2017; pp. 391–440. [Google Scholar]
- Xu, G.; Xu, X.; Liu, M.; Sun, A.Y.; Wang, K. Spatial Downscaling of TRMM Precipitation Product Using a Combined Multifractal and Regression Approach: Demonstration for South China. Water 2015, 7, 3083–3102. [Google Scholar] [CrossRef]
- Kim, K.; Park, J.; Baik, J.; Choi, M. Evaluation of topographical and seasonal feature using GPM IMERG and TRMM 3B42 over Far-East Asia. Atmospheric Res. 2017, 187, 95–105. [Google Scholar] [CrossRef]
- Tang, G.; Long, D.; Hong, Y.; Gao, J.; Wan, W. Documentation of multifactorial relationships between precipitation and topography of the Tibetan Plateau using spaceborne precipitation radars. Remote Sens. Environ. 2018, 208, 82–96. [Google Scholar] [CrossRef]
- Oliveira, P.T.S.; Nearing, M.A.; Moran, M.S.; Goodrich, D.C.; Wendland, E.; Gupta, H.V. Trends in water balance components across the Brazilian Cerrado. Water Resour. Res. 2014, 50, 7100–7114. [Google Scholar] [CrossRef]
- Papailiou, I.; Spyropoulos, F.; Trichakis, I.; Karatzas, G.P. Artificial Neural Networks and Multiple Linear Regression for Filling in Missing Daily Rainfall Data. Water 2022, 14, 2892. [Google Scholar] [CrossRef]
- Aieb, A.; Madani, K.; Scarpa, M.; Bonaccorso, B.; Lefsih, K. A new approach for processing climate missing databases applied to daily rainfall data in Soummam watershed, Algeria. Heliyon 2019, 5, e01247. [Google Scholar] [CrossRef] [PubMed]
- Camuffo, D.; Becherini, F.; della Valle, A.; Zanini, V. A comparison between different methods to fill gaps in early precipitation series. Environ. Earth Sci. 2022, 81, 1–14. [Google Scholar] [CrossRef]
- Kim, J.; Ryu, J.H. A Heuristic Gap Filling Method for Daily Precipitation Series. Water Resour. Manag. 2016, 30, 2275–2294. [Google Scholar] [CrossRef]
- Grillakis, M.G.; Polykretis, C.; Manoudakis, S.; Seiradakis, K.D.; Alexakis, D.D. A Quantile Mapping Method to Fill in Discontinued Daily Precipitation Time Series. Water 2020, 12, 2304. [Google Scholar] [CrossRef]
- Chen, F.; Gao, Y.; Wang, Y.; Qin, F.; Li, X. Downscaling satellite-derived daily precipitation products with an integrated framework. Int. J. Clim. 2018, 39, 1287–1304. [Google Scholar] [CrossRef]
- Farzandi, M.; Sanaeinejad, H.; Rezaei-Pazhan, H.; Sarmad, M. Improving estimation of missing data in historical monthly precipitation by evolutionary methods in the semi-arid area. Environ. Dev. Sustain. 2021, 24, 8313–8332. [Google Scholar] [CrossRef]
- Sattari, M.T.; Rezazadeh-Joudi, A.; Kusiak, A. Assessment of different methods for estimation of missing data in precipitation studies. Hydrol. Res. 2016, 48, 1032–1044. [Google Scholar] [CrossRef]
- Amjad, M.; Yilmaz, M.T.; Yucel, I.; Yilmaz, K.K. Performance evaluation of satellite- and model-based precipitation products over varying climate and complex topography. J. Hydrol. 2020, 584, 124707. [Google Scholar] [CrossRef]










| ANA Code | Station | Longitude | Latitude | Altitude (m) | Mean Annual Rainfall (mm) | |
|---|---|---|---|---|---|---|
| 1 | 1548003 | Pirenópolis | −48.966 | −15.855 | 768 | 1627 |
| 2 | 1648001 | Ponte Alta Anápolis | −48.6 | −16.143 | 883 | 1433 |
| 3 | 1649000 | Anicuns | −49.943 | −16.465 | 657 | 1334 |
| 4 | 1649001 | Aragoiânia | −49.452 | −16.912 | 878 | 1538 |
| 5 | 1649004 | Goianápolis | −49.02 | −16.516 | 1007 | 1485 |
| 6 | 1649006 | Inhumas | −49.495 | −16.347 | 746 | 1078 |
| 7 | 1649009 | Ouro Verde de Goiás | −49.198 | −16.219 | 1077 | 1569 |
| 8 | 1649010 | Palmeiras de Goiás | −49.929 | −16.803 | 605 | 1249 |
| 9 | 1649012 | Trindade | −49.488 | −16.661 | 781 | 1280 |
| 10 | 1650000 | Cachoeira de Goias | −50.649 | −16.669 | 763 | 1376 |
| 11 | 1650001 | Córrego do Ouro | −50.557 | −16.298 | 565 | 1341 |
| 12 | 1650002 | Isrraelândia | −50.906 | −16.316 | 411 | 1481 |
| 13 | 1650003 | Turvania | −50.133 | −16.609 | 637 | 1476 |
| 14 | 1651000 | Caiaponia | −51.799 | −16.95 | 700 | 1382 |
| 15 | 1651001 | Iporá | −51.083 | −16.428 | 605 | 1650 |
| 16 | 1748004 | Marzagão | −48.683 | −17.983 | 812 | 1438 |
| 17 | 1749000 | Edéia (Alegrete) | −49.93 | −17.341 | 590 | 1278 |
| 18 | 1749001 | Fazenda Boa Vista | −49.691 | −17.106 | 550 | 1459 |
| 19 | 1749002 | Joviânia | −49.626 | −17.809 | 845 | 1485 |
| 20 | 1749003 | Morrinhos | −49.115 | −17.733 | 808 | 1423 |
| 21 | 1749004 | Pontalina | −49.442 | −17.517 | 650 | 1401 |
| 22 | 1749005 | Piracanjuba | −49.027 | −17.289 | 779 | 1789 |
| 23 | 1749009 | Cromínia | −49.383 | −17.285 | 694 | 1397 |
| 24 | 1750000 | Barra do Monjolo | −50.181 | −17.732 | 458 | 1401 |
| 25 | 1750001 | Fazenda Nova do Turvo | −50.289 | −17.079 | 529 | 1274 |
| 26 | 1750003 | Rio Verdão Bridge | −50.556 | −17.541 | 526 | 1342 |
| 27 | 1750004 | Ponte Rodagem | −50.682 | −17.325 | 551 | 1325 |
| 28 | 1750008 | Fazenda Paraíso | −50.774 | −17.466 | 643 | 1359 |
| 29 | 1750013 | Parauna | −50.447 | −16.949 | 684 | 1467 |
| 30 | 1751001 | Ponte Rio Doce | −51.397 | −17.856 | 751 | 1460 |
| 31 | 1751002 | Benjamin Barros | −51.892 | −17.695 | 726 | 1503 |
| 32 | 1751004 | Montividiu | −51.077 | −17.365 | 734 | 1426 |
| 33 | 1752006 | Bom Jardim | −52.17 | −17.718 | 894 | 1520 |
| 34 | 1848000 | Monte Alegre de Minas | −48.869 | −18.872 | 732 | 1441 |
| 35 | 1848004 | Fazenda Cachoeira | −48.782 | −18.698 | 742 | 1279 |
| 36 | 1848006 | Tupaciguara | −48.691 | −18.601 | 904 | 1446 |
| 37 | 1848007 | Corumbazul | −48.859 | −18.243 | 559 | 1102 |
| 38 | 1848008 | Brilhante | −48.903 | −18.492 | 795 | 1469 |
| 39 | 1848009 | Xapetuba | −48.584 | −18.863 | 878 | 1434 |
| 40 | 1849000 | Ituiutaba | −49.463 | −18.941 | 498 | 1366 |
| 41 | 1849002 | Ipiaçu | −49.949 | −18.692 | 444 | 1397 |
| 42 | 1849006 | Avantiguara | −49.07 | −18.772 | 794 | 1410 |
| 43 | 1849016 | Ponte Meia Ponte | −49.611 | −18.339 | 483 | 1410 |
| 44 | 1850001 | Fazenda Aliança | −50.031 | −18.105 | 451 | 1449 |
| 45 | 1850002 | Quirinópolis | −50.522 | −18.501 | 443 | 1387 |
| 46 | 1850003 | Maurilandia | −50.337 | −17.98 | 479 | 1364 |
| 47 | 1851001 | Campo Alegre | −51.094 | −18.518 | 569 | 1698 |
| 48 | 1851004 | Pombal | −51.497 | −18.093 | 651 | 1598 |
| 49 | 1949003 | Gurinhatá | −49.788 | −19.213 | 527 | 1350 |
| 50 | 1949006 | Ponte do Prata | −49.697 | −19.035 | 455 | 1418 |
| CC | MAE (mm) | RMSE (mm) | PBias (%) | |||||||||
|---|---|---|---|---|---|---|---|---|---|---|---|---|
| MLR | SLR | GPM | MLR | SLR | GPM | MLR | SLR | GPM | MLR | SLR | GPM | |
| Cachoeira de Goias | 0.31 | 0.20 | 0.22 | 3.72 | 3.45 | 4.92 | 7.39 | 7.77 | 11.06 | 14.20 | −49.70 | 27.80 |
| Campo Alegre | 0.29 | 0.47 | 0.44 | 5.37 | 4.70 | 5.46 | 14.61 | 14.07 | 14.27 | −9.1 | −67.80 | −12.00 |
| Córrego do Ouro | 0.44 | 0.35 | 0.60 | 4.41 | 4.08 | 4.26 | 10.55 | 11.16 | 9.45 | −15.2 | −63.20 | 2.10 |
| Cromínia | 0.49 | 0.40 | 0.62 | 4.27 | 4.25 | 3.66 | 9.77 | 10.49 | 8.98 | 1.3 | −48.00 | −6.00 |
| Montividiu | 0.39 | 0.43 | 0.60 | 3.59 | 3.30 | 3.19 | 7.81 | 7.66 | 7.37 | 16.90 | −40.70 | 18.60 |
| Quirinópolis | 0.46 | 0.42 | 0.72 | 4.00 | 3.83 | 3.17 | 8.98 | 9.35 | 7.12 | −15.10 | −62.80 | −6.80 |
| CC | MAE (mm) | RMSE (mm) | PBias (%) | |||||||||
|---|---|---|---|---|---|---|---|---|---|---|---|---|
| MLR | SLR | GPM | MLR | SLR | GPM | MLR | SLR | GPM | MLR | SLR | GPM | |
| Cachoeira de Goiás | 0.83 | 0.72 | 0.70 | 41.24 | 49.05 | 54.45 | 65.16 | 67.61 | 79.34 | −30.90 | −3.20 | 27.80 |
| Campo Alegre | 0.84 | 0.84 | 0.94 | 55.48 | 59.38 | 35.71 | 71.89 | 80.22 | 47.48 | −8.60 | −23.3 | −12.00 |
| Córrego do Ouro | 0.89 | 0.95 | 0.93 | 46.17 | 42.11 | 33.47 | 61.98 | 61.42 | 47.36 | −10.10 | −26.70 | 2.10 |
| Cromínia | 0.98 | 0.91 | 0.98 | 21.61 | 32.20 | 19.36 | 27.78 | 48.16 | 24.79 | −8.40 | 2.00 | −6.00 |
| Montividiu | 0.93 | 0.78 | 0.87 | 19.51 | 32.36 | 33.07 | 29.31 | 57.47 | 49.28 | 13.00 | 5.40 | 18.60 |
| Quirinópolis | 0.88 | 0.77 | 0.97 | 41.28 | 56.90 | 31.25 | 62.76 | 85.23 | 40.84 | −2.12 | −13.80 | −6.80 |
Publisher’s Note: MDPI stays neutral with regard to jurisdictional claims in published maps and institutional affiliations. |
© 2022 by the authors. Licensee MDPI, Basel, Switzerland. This article is an open access article distributed under the terms and conditions of the Creative Commons Attribution (CC BY) license (https://creativecommons.org/licenses/by/4.0/).
Share and Cite
Duarte, L.V.; Formiga, K.T.M.; Costa, V.A.F. Comparison of Methods for Filling Daily and Monthly Rainfall Missing Data: Statistical Models or Imputation of Satellite Retrievals? Water 2022, 14, 3144. https://doi.org/10.3390/w14193144
Duarte LV, Formiga KTM, Costa VAF. Comparison of Methods for Filling Daily and Monthly Rainfall Missing Data: Statistical Models or Imputation of Satellite Retrievals? Water. 2022; 14(19):3144. https://doi.org/10.3390/w14193144
Chicago/Turabian StyleDuarte, Luíza Virgínia, Klebber Teodomiro Martins Formiga, and Veber Afonso Figueiredo Costa. 2022. "Comparison of Methods for Filling Daily and Monthly Rainfall Missing Data: Statistical Models or Imputation of Satellite Retrievals?" Water 14, no. 19: 3144. https://doi.org/10.3390/w14193144
APA StyleDuarte, L. V., Formiga, K. T. M., & Costa, V. A. F. (2022). Comparison of Methods for Filling Daily and Monthly Rainfall Missing Data: Statistical Models or Imputation of Satellite Retrievals? Water, 14(19), 3144. https://doi.org/10.3390/w14193144

