Study on Soil Leaching Risk of Reuse of Reclaimed Fertilizer from Micro-Flush Sanitary Wastewater
Abstract
:1. Introduction
2. Materials and Methods
2.1. Feedstock
2.2. Experiment Design
2.2.1. Batch Tests of Soil Adsorption
- (1)
- Adsorption kinetics test
- (2)
- Isothermal adsorption test
2.2.2. Batch Test of Soil Degradation
2.2.3. Soil Column Percolation Test
2.2.4. Multistage Soil Box Percolation Test
2.2.5. Model Construction and Parameter Setting
2.3. Analytic Methods
2.4. Calculations
3. Results and Discussion
3.1. Acquisition of Soil Solute Transport and Reaction Parameters
3.1.1. Adsorption Coefficient
3.1.2. Degradation Coefficient
3.2. Migration Parameter Correction and Model Verification
3.2.1. Soil Column Percolation Test
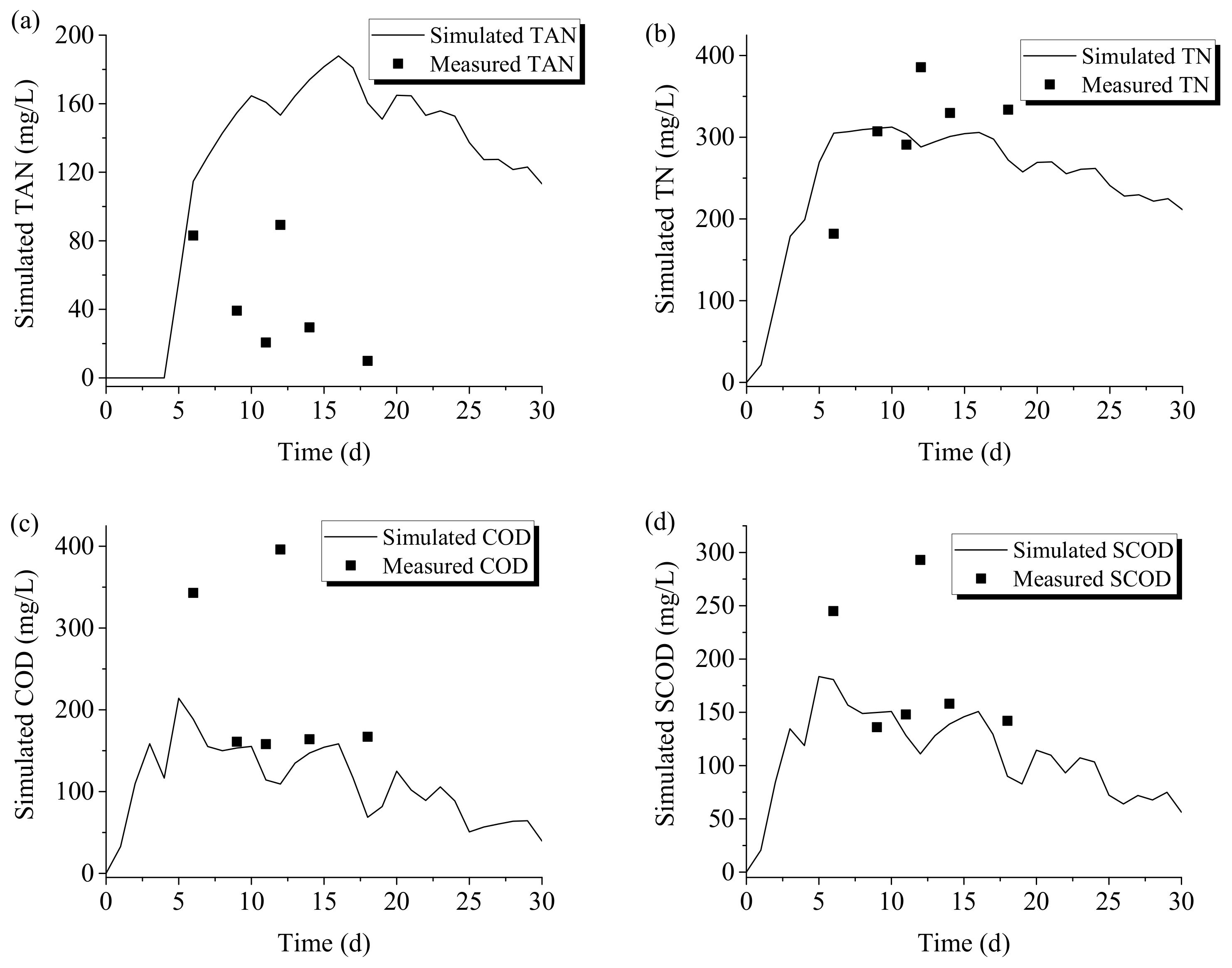
3.2.2. Soil Box Percolation Test
3.3. Prediction of Soil Leaching Risk of Reclaimed Fertilizer
3.4. Effect of Reclaimed Fertilizer Reuse on Soil Properties
4. Conclusions
Author Contributions
Funding
Institutional Review Board Statement
Informed Consent Statement
Data Availability Statement
Acknowledgments
Conflicts of Interest
References
- Fan, B.; Hu, M.; Wang, H.; Xu, M.; Qu, B.; Zhu, S. Get in sanitation 2.0 by opportunity of rural China: Scheme, simulating application and life cycle assessment. J. Clean. Prod. 2017, 147, 86–95. [Google Scholar] [CrossRef]
- Sheng, X.; Qiu, S.; Xu, F.; Shi, J.; Song, X.; Yu, Q.; Liu, R.; Chen, L. Management of rural domestic wastewater in a city of Yangtze delta region: Performance and remaining challenges. Bioresour. Technol. Rep. 2020, 11, 100507. [Google Scholar] [CrossRef]
- Wang, H.; Zhu, S.; Zhang, Y.; Lv, M.; Fan, B. Stabilization and sanitization of concentrated domestic bio-wastes with improved septic tank technology. Desalin. Water Treat. 2019, 149, 91–97. [Google Scholar] [CrossRef]
- Gao, M.; Zhang, L.; Liu, Y. High-loading food waste and blackwater anaerobic co-digestion: Maximizing bioenergy recovery. Chem. Eng. J. 2020, 394, 124911. [Google Scholar] [CrossRef]
- Xu, M.; Zhu, S.; Zhang, Y.; Wang, H.; Fan, B. Spatial-temporal economic analysis of modern sustainable sanitation in rural China: Resource-oriented system. J. Clean. Prod. 2019, 233, 340–347. [Google Scholar] [CrossRef]
- Xu, M.; Fan, B.; Zhang, Y.; Li, A.; Li, Y.; Lv, M.; Shi, Y.; Zhu, S.; Qian, T. Effects of resource-oriented waste management on optimizing water-food-energy nexus in rural China: A material and energy flow analysis. J. Clean. Prod. 2020, 276, 124259. [Google Scholar] [CrossRef]
- Styles, D.; Adams, P.; Thelin, G.; Vaneeckhaute, C.; Withers, P.J.A.; Chadwick, D. Life cycle assessment of biofertilizer production and use compared with conventional liquid digestate management. Environ. Sci. Technol. 2018, 52, 7468–7476. [Google Scholar] [CrossRef]
- Niyungeko, C.; Liang, X.; Liu, C.; Liu, Z.-W.; Sheteiwy, M.; Zhang, H.; Zhou, J.; Tian, G. Effect of biogas slurry application rate on colloidal phosphorus leaching in paddy soil: A column study. Geoderma 2018, 325, 117–124. [Google Scholar] [CrossRef]
- Remington, C.; Bourgault, C.; Dorea, C.C. Measurement and Modelling of Moisture Sorption Isotherm and Heat of Sorption of Fresh Feces. Water 2020, 12, 323. [Google Scholar] [CrossRef]
- Li, N.; Han, Z.; Ren, Y.; Wang, S.; Hu, X.; Zeng, Z. Retarding performance of the vadose zone for nitrogen pollutants derived from municipal solid waste landfills in the red bed zone. J. Environ. Manag. 2022, 306, 114406. [Google Scholar] [CrossRef]
- Cheyns, K.; Mertens, J.; Diels, J.; Smolders, E.; Springael, D. Monod kinetics rather than a first-order degradation model explains atrazine fate in soil mini-columns: Implications for pesticide fate modelling. Environ. Pollut. 2010, 158, 1405–1411. [Google Scholar] [CrossRef]
- Mojid, M.A.; Hossain, A.B.M.Z.; Wyseure, G.C.L. Impacts of Municipal Wastewater on Basic Soil Properties as Evaluated by Soil Column Leaching Experiment in Laboratory. J. Soil Sci. Plant Nutr. 2019, 19, 402–412. [Google Scholar] [CrossRef]
- Merdy, P.; Lucas, Y.; Coulomb, B.; Melfi, A.J.; Montes, C.R. Soil organic carbon mobility in equatorial podzols: Soil column experiments. Soil 2021, 7, 585–594. [Google Scholar] [CrossRef]
- Simunek, J.J.; Saito, H.; Sakai, M.; Van Genuchten, M. The HYDRUS-1D Software Package for Simulating the One-Dimensional Movement of Water, Heat, and Multiple Solutes in Variably-Saturated Media; CSIRO: Canberra, Australia, 2008. [Google Scholar]
- Gumuła-Kawęcka, A.; Jaworska-Szulc, B.; Szymkiewicz, A.; Gorczewska-Langner, W.; Pruszkowska-Caceres, M.; Angulo-Jaramillo, R.; Šimůnek, J. Estimation of groundwater recharge in a shallow sandy aquifer using unsaturated zone modeling and water table fluctuation method. J. Hydrol. 2022, 605, 127283. [Google Scholar] [CrossRef]
- Krevh, V.; Filipović, V.; Filipović, L.; Mateković, V.; Petošić, D.; Mustać, I.; Ondrašek, G.; Bogunović, I.; Kovač, Z.; Pereira, P.; et al. Modeling seasonal soil moisture dynamics in gley soils in relation to groundwater table oscillations in eastern Croatia. CATENA 2022, 211, 105987. [Google Scholar] [CrossRef]
- Yi, J.; Li, H.; Zhao, Y.; Shao, M.A.; Zhang, H.; Liu, M. Assessing soil water balance to optimize irrigation schedules of flood-irrigated maize fields with different cultivation histories in the arid region. Agric. Water Manag. 2022, 265, 107543. [Google Scholar] [CrossRef]
- Alam, T.; Bezares-Cruz, J.C.; Mahmoud, A.; Jones, K.D. Modeling transport, fate, and removal kinetics of nitrate and orthophosphate using recycled adsorbents for high and low-flow stormwater runoff treatment. Chemosphere 2022, 287, 132152. [Google Scholar] [CrossRef]
- Lin, Q.; Li, B.; Liu, X.; Zhang, B.; Xu, S. Insights into sorption and leaching behavior of sulfadiazine in soil as affected by humic acid. J. Soil Sediment. 2022, 22, 809–817. [Google Scholar] [CrossRef]
- Mallants, D.; Doble, R.; Beiraghdar, Y. Fate and transport modelling framework for assessing risks to soil and groundwater from chemicals accidentally released during surface operations: An Australian example application from shale gas developments. J. Hydrol. 2022, 604, 127271. [Google Scholar] [CrossRef]
- Brunetti, G.; Kodešová, R.; Švecová, H.; Fér, M.; Nikodem, A.; Klement, A.; Grabic, R.; Šimůnek, J. A novel multiscale biophysical model to predict the fate of ionizable compounds in the soil-plant continuum. J. Hazard. Mater. 2022, 423, 127008. [Google Scholar] [CrossRef]
- Adhikari, K.; Mal, U. Evaluation of contamination of manganese in groundwater from overburden dumps of Lower Gondwana coal mines. Environ. Earth Sci. 2021, 80, 23. [Google Scholar] [CrossRef]
- Kanzari, S.; Nouna, B.B.; Mariem, S.B.; Rezig, M. Hydrus-1D model calibration and validation in various field conditions for simulating water flow and salts transport in a semi-arid region of Tunisia. Sustain. Environ. Res. 2018, 28, 350–356. [Google Scholar] [CrossRef]
- Šimůnek, J.; van Genuchten, M.T.; Šejna, M. Recent Developments and Applications of the HYDRUS Computer Software Packages. Vadose Zone J. 2016, 15, 33. [Google Scholar] [CrossRef]
- Alburquerque, J.A.; de la Fuente, C.; Ferrer-Costa, A.; Carrasco, L.; Cegarra, J.; Abad, M.; Bernal, M.P. Assessment of the fertiliser potential of digestates from farm and agroindustrial residues. Biomass. Bioenerg. 2012, 40, 181–189. [Google Scholar] [CrossRef]
- Spångberg, J.; Tidåker, P.; Jönsson, H. Environmental impact of recycling nutrients in human excreta to agriculture compared with enhanced wastewater treatment. Sci. Total Environ. 2014, 493, 209–219. [Google Scholar] [CrossRef]
- Massé, D.I.; Croteau, F.; Masse, L. The fate of crop nutrients during digestion of swine manure in psychrophilic anaerobic sequencing batch reactors. Bioresour. Technol. 2007, 98, 2819–2823. [Google Scholar] [CrossRef]
- Tang, Y.; Wen, G.; Li, P.; Dai, C.; Han, J. Effects of Biogas Slurry Application on Crop Production and Soil Properties in a Rice–Wheat Rotation on Coastal Reclaimed Farmland. Water Air Soil Pollut. 2019, 230, 51. [Google Scholar] [CrossRef]
- Tilvikienė, V.; Šlepetienė, A.; Kadžiulienė, Ž. Effects of 5 years of digestate application on biomass production and quality of cocksfoot (Dactylis glomerata L.). Grass Forage Sci. 2018, 73, 206–217. [Google Scholar] [CrossRef]
- Banasiak, L.J.; Schäfer, A.I. Sorption of steroidal hormones by electrodialysis membranes. J. Membr. Sci. 2010, 365, 198–205. [Google Scholar] [CrossRef]
- Colucci, M.S.; Bork, H.; Topp, E. Persistence of Estrogenic Hormones in Agricultural Soils: I. 17β-Estradiol and Estrone. J. Environ. Qual. 2001, 30, 2070–2076. [Google Scholar] [CrossRef]
- Carballa, M.; Omil, F.; Ternes, T.; Lema, J.M. Fate of pharmaceutical and personal care products (PPCPs) during anaerobic digestion of sewage sludge. Water Res. 2007, 41, 2139–2150. [Google Scholar] [CrossRef]
- Wang, Z.L.; Sun, G.; Zhou, W.; Sheng, J.; Ye, X.; Olaniran, A.O.; Gueguim Kana, E.B. Adsorption Characteristics of Three Types of Soils on Biogas Slurry Ammonium Nitrogen. Front. Env. Sci. 2022, 69, 942263. [Google Scholar] [CrossRef]
- Anna, S.; Eugeniusz, K. Kinetic and Equilibrium Studies of Sorption of Ammonium in the Soil-Water Environment in Agricultural Areas of Central Poland. Appl. Sci. 2016, 6, 269. [Google Scholar] [CrossRef]
- Allen, R.; Pereira, L.; Raes, D.; Martin, M. Guidelines for Computing CropWater Requirements; FAO: Rome, Italy, 1998. [Google Scholar]
- Kafkafi, U. Fertigation: A Tool of Efficient Fertilizer and Water Management; China Agriculture Press: Beijing, China, 2013. [Google Scholar]
- APHA; AWWA; WEF. Standards Methods for the Examination of Water and Wastewater, 21st ed.; APHA: Washington, DC, USA, 2005. [Google Scholar]
- Bao, S. Soil Agrochemical Analysis, 3rd ed.; China Agricultural Press: Beijing, China, 2000. [Google Scholar]
- Araújo, C.S.T.; Almeida, I.L.S.; Rezende, H.C.; Marcionilio, S.M.L.O.; Léon, J.J.L.; de Matos, T.N. Elucidation of mechanism involved in adsorption of Pb (II) onto lobeira fruit (Solanum lycocarpum) using Langmuir, Freundlich and Temkin isotherms. Microchem. J. 2018, 137, 348–354. [Google Scholar] [CrossRef]
- Vanderborght, J.; Vereecken, H. Review of Dispersivities for Transport Modeling in Soils. Vadose Zone J. 2007, 6, 29–52. [Google Scholar] [CrossRef]
- Veizaga, E.A.; Rodríguez, L.; Ocampo, C.J. Water and chloride transport in a fine-textured soil in a feedlot pen. J. Contam. Hydrol. 2015, 182, 91–103. [Google Scholar] [CrossRef]
- Mozaffari Majd, M.; Kordzadeh-Kermani, V.; Ghalandari, V.; Askari, A.; Sillanpää, M. Adsorption isotherm models: A comprehensive and systematic review (2010−2020). Sci. Total Environ. 2022, 812, 151334. [Google Scholar] [CrossRef]
- Bhattacharyya, A.; Mondal, D.; Roy, I.; Sarkar, G.; Saha, N.R.; Rana, D.; Ghosh, T.K.; Mandal, D.; Chakraborty, M.; Chattopadhyay, D. Studies of the kinetics and mechanism of the removal process of proflavine dye through adsorption by graphene oxide. J. Mol. Liq. 2017, 230, 696–704. [Google Scholar] [CrossRef]
- Aljazzar, T.; Al-Qinna, M. Assessment of nitrate transport parameters using the advection-diffusion cell. Environ. Sci. Pollut. R. 2016, 23, 23145–23157. [Google Scholar] [CrossRef]
- Conde-Cid, M.; Fernández-Calviño, D.; Núñez-Delgado, A.; Fernández-Sanjurjo, M.J.; Arias-Estévez, M.; Álvarez-Rodríguez, E. Estimation of adsorption/desorption Freundlich’s affinity coefficients for oxytetracycline and chlortetracycline from soil properties: Experimental data and pedotransfer functions. Ecotox. Environ. Saf. 2020, 196, 110584. [Google Scholar] [CrossRef]
- Bai, M.; Liu, Z.-B.; Zhang, S.-J.; Liu, F.; Lei, S.-L. Drainage performance and capillary rise restraint effect of wicking geotextile. J. Cent. South Univ. 2021, 28, 3260–3267. [Google Scholar] [CrossRef]
- Yao, R.; Li, H.; Zhu, W.; Yang, J.; Wang, X.; Yin, C.; Jing, Y.; Chen, Q.; Xie, W. Biochar and potassium humate shift the migration, transformation and redistribution of urea-N in salt-affected soil under drip fertigation: Soil column and incubation experiments. Irrig. Sci. 2022, 40, 267–282. [Google Scholar] [CrossRef]
- Tan, X.; Shao, D.; Gu, W.; Liu, H. Field analysis of water and nitrogen fate in lowland paddy fields under different water managements using HYDRUS-1D. Agric. Water Manag. 2015, 150, 67–80. [Google Scholar] [CrossRef]
- Akbari, P.; Herbert, S.; Hashemi, M.; Barker, A.; Zandvakili, O.R.; Emami Bistgani, Z. Winter Annual Rye Seeding Date Influence on Nitrogen Recovery and Ammonia Volatilization from Late Fall Surface-Applied Manure. Agronomy 2020, 10, 931. [Google Scholar] [CrossRef]
- Zhang, S.; Hou, X.; Wu, C.; Zhang, C. Impacts of climate and planting structure changes on watershed runoff and nitrogen and phosphorus loss. Sci. Total Environ. 2020, 706, 134489. [Google Scholar] [CrossRef] [PubMed]
- Zhang, C.; Huang, X.; Zhang, X.; Wan, L.; Wang, Z. Effects of biochar application on soil nitrogen and phosphorous leaching loss and oil peony growth. Agric. Water Manag. 2021, 255, 107022. [Google Scholar] [CrossRef]
- Rezvani, M.; Nadimi, S.; Zaefarian, F.; Chauhan, B.S. Environmental factors affecting seed germination and seedling emergence of three Phalaris species. Crop. Prot. 2021, 148, 105743. [Google Scholar] [CrossRef]
- Lamsal, A.; Devkota, M.P.; Shrestha, D.S.; Joshi, S.; Shrestha, A. Seed germination ecology of Ageratum houstonianum: A major invasive weed in Nepal. PLoS ONE 2019, 14, e0225430. [Google Scholar] [CrossRef]
- Alovisi, A.M.T.; Cassol, C.J.; Nascimento, J.S.; Soares, N.B.; da Silva Junior, I.R.; da Silva, R.S.; da Silva, J.A.M. Soil factors affecting phosphorus adsorption in soils of the Cerrado, Brazil. Geoderma. Reg. 2020, 22, e00298. [Google Scholar] [CrossRef]
- Yan, L.; Liu, C.; Zhang, Y.; Liu, S.; Zhang, Y. Effects of C/N ratio variation in swine biogas slurry on soil dissolved organic matter: Content and fluorescence characteristics. Ecotox. Environ. Saf. 2021, 209, 111804. [Google Scholar] [CrossRef]
- Cheng, J.; Chen, Y.; He, T.; Liao, R.; Liu, R.; Yi, M.; Huang, L.; Yang, Z.; Fu, T.; Li, X. Soil nitrogen leaching decreases as biogas slurry DOC/N ratio increases. Appl. Soil. Ecol. 2017, 111, 105–113. [Google Scholar] [CrossRef]









| Test | Adsorption Test | Degradation Test | Soil Column Test | Soil Box Test |
|---|---|---|---|---|
| pH | 8.29 | 8.92 | 8.17 | 8.50 ± 0.10 |
| TAN (mg/L) | 622.6 | 689.8 | 813.8 | 602.4 ± 16.6 |
| TN (mg/L) | 672.5 | 652.6 | 891.9 | 666.1 ± 60.2 |
| TP (mg/L) | 22.5 | 9.7 | 29.0 | 13.0 ± 3.3 |
| COD (mg/L) | 1669 | 557 | 1457 | 1209 ± 47 |
| SCOD (mg/L) | 961 | 324 | 910 | 892 ± 24 |
| EC (S/m) | 0.807 | 0.508 | 1.031 | 0.76 ± 0.02 |
| Dilution Multiple | pH | EC (S/m) | TAN (mg/L) | TN (mg/L) | TP (mg/L) | COD (mg/L) | SCOD (mg/L) |
|---|---|---|---|---|---|---|---|
| 1 | 8.33 | 0.899 | 757.68 | 877.29 | 26.79 | 1798 | 788 |
| 2 | 8.34 | 0.495 | 385.43 | 426.63 | 13.24 | 751 | 399 |
| 3 | 8.30 | 0.335 | 253.58 | 282.42 | 9.17 | 485 | 266 |
| 4 | 8.28 | 0.258 | 175.80 | 210.58 | 6.70 | 357 | 195 |
| 6 | 8.25 | 0.163 | 122.18 | 143.07 | 4.28 | 233 | 125 |
| 10 | 8.18 | 0.102 | 69.70 | 78.55 | 2.53 | 139 | 77 |
| 20 | 8.06 | 0.054 | 36.17 | 42.44 | 1.29 | 72 | 38 |
| Box Number | pH | EC (S/m) | N (%) | C (%) | H (%) | S (%) |
|---|---|---|---|---|---|---|
| 1 | 8.10 | 0.016 | 0.1003 | 1.6844 | 0.5476 | 0.0640 |
| 2 | 8.11 | 0.016 | 0.1085 | 1.7618 | 0.5618 | 0.0435 |
| 3 | 8.08 | 0.013 | 0.1018 | 1.7472 | 0.5309 | 0.0355 |
| 4 | 8.22 | 0.013 | 0.0996 | 1.7330 | 0.5259 | 0.0305 |
| Average | 8.13 | 0.015 | 0.1026 | 1.7316 | 0.5415 | 0.0434 |
| Parameters | Qr | Qs | α (cm−1) | n | Ks (cm·d−1) | L |
|---|---|---|---|---|---|---|
| Values | 0.065 | 0.41 | 0.075 | 1.89 | 106.1 | 0.5 |
| Parameters | Diffus. W | Disp. L | |||
|---|---|---|---|---|---|
| cm2·d−1 | cm | (d−1) | |||
| TAN | 1364 | 16.63 | 0.03312 | 0.4004 | 0.1538 |
| TN | 1061 | 10.30 | 0.0006 | - | 0.0831 |
| COD | 1653 | 17.50 | 0.0024 | - | 0.5301 |
| SCOD | 1061 | 19.06 | 0.0013 | - | 0.3666 |
| Parameters | Concentration |
|---|---|
| mg·cm−3 | |
| TAN | 0.650 |
| TN | 0.700 |
| COD | 1.2 |
| SCOD | 0.9 |
| Box Number | pH | EC (S/m) | N (%) | C (%) | H (%) | S (%) |
|---|---|---|---|---|---|---|
| 1 | 7.44 | 0.171 | 0.1670 | 1.8237 | 0.5402 | 0.0384 |
| 2 | 7.30 | 0.064 | 0.1254 | 1.8067 | 0.5305 | 0.0302 |
| 3 | 6.92 | 0.337 | 0.2370 | 1.8026 | 0.5555 | 0.0367 |
| 4 | 6.92 | 0.077 | 0.1291 | 1.7879 | 0.5352 | 0.0246 |
| Average | 7.15 | 0.162 | 0.1646 | 1.8052 | 0.5403 | 0.0325 |
Publisher’s Note: MDPI stays neutral with regard to jurisdictional claims in published maps and institutional affiliations. |
© 2022 by the authors. Licensee MDPI, Basel, Switzerland. This article is an open access article distributed under the terms and conditions of the Creative Commons Attribution (CC BY) license (https://creativecommons.org/licenses/by/4.0/).
Share and Cite
Lv, M.; Zhu, S.; Shi, Y.; Shu, S.; Li, A.; Fan, B. Study on Soil Leaching Risk of Reuse of Reclaimed Fertilizer from Micro-Flush Sanitary Wastewater. Water 2022, 14, 2823. https://doi.org/10.3390/w14182823
Lv M, Zhu S, Shi Y, Shu S, Li A, Fan B. Study on Soil Leaching Risk of Reuse of Reclaimed Fertilizer from Micro-Flush Sanitary Wastewater. Water. 2022; 14(18):2823. https://doi.org/10.3390/w14182823
Chicago/Turabian StyleLv, Minghuan, Shikun Zhu, Yunpeng Shi, Shangyi Shu, Ao Li, and Bin Fan. 2022. "Study on Soil Leaching Risk of Reuse of Reclaimed Fertilizer from Micro-Flush Sanitary Wastewater" Water 14, no. 18: 2823. https://doi.org/10.3390/w14182823
APA StyleLv, M., Zhu, S., Shi, Y., Shu, S., Li, A., & Fan, B. (2022). Study on Soil Leaching Risk of Reuse of Reclaimed Fertilizer from Micro-Flush Sanitary Wastewater. Water, 14(18), 2823. https://doi.org/10.3390/w14182823
