Effects of Phosphorus Fertilizer Application Rates on Colloidal Phosphorus Leaching in Purple Soil in Southwest China
Abstract
:1. Introduction
2. Materials and Method
2.1. Soil Collection
2.2. Leaching Experiment
2.3. Leachate and Soil Analysis
2.4. Statistical Analysis
3. Results
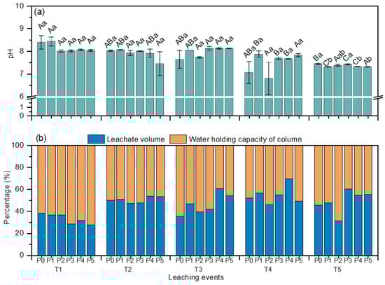
3.1. P Concentration, pH and Volume of Leachates
3.2. Concentration of Phosphorus in Soil Profiles
4. Discussion
4.1. Whether Phosphorus Leaching Loss after Fertilization Is a Risk to Water Bodies?
4.2. How Important Is Colloidal Phosphorus (CP) in Phosphorus Leaching Loss?
4.3. Impact Factors of Colloidal Phosphorus during Leaching Events
5. Conclusions
Author Contributions
Funding
Institutional Review Board Statement
Informed Consent Statement
Data Availability Statement
Conflicts of Interest
References
- Rashmi, I.; Biswas, A.K.; Kartika, K.S.; Kala, S. Phosphorus leaching through column study to evaluate p movement and vertical distribution in black, red and alluvial soils of India. J. Saudi Soc. Agric. Sci. 2018, 19, 241–248. [Google Scholar] [CrossRef]
- Jalali, M.; Jalali, M. Assessment risk of phosphorus leaching from calcareous soils using soil test phosphorus. Chemosphere 2017, 171, 106–117. [Google Scholar] [CrossRef] [PubMed]
- Tian, J.H.; Boitt, G.; Black, A.; Wakelin, S.; Condron, L.M.; Chen, L.J. Accumulation and distribution of phosphorus in the soil profile under fertilized grazed pasture. Agric. Ecosyst. Environ. 2017, 239, 228–235. [Google Scholar] [CrossRef]
- Kalkhajeh, Y.K.; Huang, B.; Hu, W. Impact of preferential flow pathways on phosphorus leaching from typical plastic shed vegetable production soils of china. Agr. Ecosyst. Environ. 2021, 307, 107218. [Google Scholar] [CrossRef]
- Gottselig, N.; Bol, R.; Nischwitz, V.; Vereecken, H.; Amelung, W.; Klumpp, E. Distribution of phosphorus-containing fine colloids and nanoparticles in stream water of a forest catchment. Vadose Zone J. 2014, 13, 1–11. [Google Scholar] [CrossRef]
- Bol, R.; Julich, D.; Brödlin, D.; Siemens, J.; Kaiser, K.; Dippold, M.A.; Spielvogel, S.; Zilla, T.; Mewes, D.; von Blanckenburg, F.; et al. Dissolved and colloidal phosphorus fluxes in forest ecosystems-an almost blind spot in ecosystem research. J. Plant Nutr. Soil Sci. 2016, 179, 425–438. [Google Scholar] [CrossRef] [Green Version]
- de Jonge, L.W.; Moldrup, P.; Rubæk, G.H.; Schelde, K.; Djurhuus, J. Particle leaching and particle-facilitated transport of phosphorus at the field scale. Vadose Zone J. 2004, 3, 462–470. [Google Scholar] [CrossRef]
- Missong, A.; Bol, R.; Nischwitz, V.; Krüger, J.; Lang, F.; Siemens, J.; Klumpp, E. Phosphorus in water dispersible-colloids of forest soil profiles. Plant Soil. 2017, 2, 1–16. [Google Scholar] [CrossRef]
- Turner, B.L.; Kay, M.A.; Westermann, D.T. Colloidal phosphorus in surface runoff and water extracts from semiarid soils of the western united states. J. Environ. Qual. 2004, 33, 1464–1472. [Google Scholar] [CrossRef]
- Moorleghem, C.V.; Schutter, N.D.; Smolders, E.; Merckx, R. The bioavailability of colloidal and dissolved organic phosphorus to the alga Pseudokirchneriella subcapitata in relation to analytical phosphorus measurements. Hydrobiologia 2013, 709, 41–53. [Google Scholar] [CrossRef]
- Christophe, N.; Liang, X.Q.; Liu, C.L.; Liu, Z.W.; Sheteiwy, M.; Zhang, H.F. Effect of biogas slurry application rate on colloidal phosphorus leaching in paddy soil: A column study. Geoderma 2018, 325, 117–124. [Google Scholar] [CrossRef]
- He, X.L.; Zheng, Z.C.; Li, T.X.; He, S.Q.; Zhang, X.Z.; Wang, Y.D. Transport of colloidal phosphorus in runoff and sediment on sloping farmland in the purple soil area of south-western China. Environ. Sci. Pollut. Res. 2019, 23, 24088–24098. [Google Scholar] [CrossRef]
- Wang, H.; Xu, Y.L.; Lin, C.W.; Zhang, Q. The movement of colloids in purple soil is affected by tillage. J. Irrig. Drain. 2020, 39, 25–34. [Google Scholar] [CrossRef]
- Zang, L.; Tian, G.M.; Liang, X.Q.; He, M.M.; Bao, Q.B.; Yao, J.H. Profile distributions of dissolved and colloidal phosphorus as affected by degree of phosphorus saturation in paddy soil. Pedosphere 2013, 23, 128–136. [Google Scholar] [CrossRef]
- Ilg, K.; Siemens, J.; Kaupenjohann, M. Colloidal and dissolved phosphorus in sandy soils as affected by phosphorus saturation. J. Environ. Qual. 2005, 34, 926–935. [Google Scholar] [CrossRef] [PubMed] [Green Version]
- IUSS Working Group WRB. World Reference Base for Soil Resources 2014, Update 2015 International Soil Classification System for Naming Soils and Creating Legends for Soil Maps; World Soil Resources Reports No. 106; FAO: Rome, Italy, 2015; p. 192. [Google Scholar]
- Zang, L.; Tian, G.; Liang, X.; Liu, J.; Peng, G. Effect of water-dispersible colloids in manure on the transport of dissolved and colloidal phosphorus through soil column. Afr. J. Agric. Res. 2011, 6, 6369–6376. [Google Scholar] [CrossRef]
- Kretzschmar, R. Mobile subsurface colloids and their role in contaminant transport. Adv. Agron. 1999, 668, 121–193. [Google Scholar] [CrossRef]
- Lu, R.K. Analysis Method of Soil and Agrichemistry; China Agriculture Science and Technology Press: Beijing, China, 2000. [Google Scholar]
- Gray, C.W.; McDowell, R.W.; Carrick, S.; Thomas, S. The effect of irrigation and urine application on phosphorus losses to subsurface flow from a stony soil. Agric. Ecosyst. Environ. 2016, 233, 425–431. [Google Scholar] [CrossRef]
- Siemens, J.; Ilg, K.; Lang, F.; Kaupenjohann, M. Adsorption controls mobilization of colloids and leaching of dissolved phosphorus. Eur. J. Soil Sci. 2004, 55, 253–263. [Google Scholar] [CrossRef]
- Khan, S.; Liu, C.; Milham, P.; Eltohamy, K.M.; Hamid, Y.; Jin, J.; He, M.; Liang, X. Nano and micro manure amendments decrease degree of phosphorus saturation and colloidal phosphorus release from agriculture soils. Sci. Total Environ. 2022, 845, 157278. [Google Scholar] [CrossRef]
- Jalali, M.; Jalali, M. Phosphorus leaching in a calcareous soil treated with plant residues and inorganic fertilizer. J. Plant Nutr. Soil Sci. 2011, 174, 220–228. [Google Scholar] [CrossRef]
- USEPA. Environmental Indicators of Water Quality in the United States. USEPA 841-R-96-002. USEPA, Office of Water (4503F). US Gov. Print. Office: Washington, DC, USA, 1996. Available online: http://hdl.handle.net/1969.3/27683 (accessed on 1 September 1996).
- McDowell, R.W.; Sharpley, A.N. Variation of phosphorus leached from Pennsylvanian soils amended with manures, composts or inorganic fertilizer. Agric. Ecosyst. Environ. 2004, 102, 17–27. [Google Scholar] [CrossRef]
- Fresne, M.; Jordan, P.; Fenton, O.; Mellander, P.E.; Daly, K. Soil chemical and fertilizer influences on soluble and medium-sized colloidal phosphorus in agricultural soils. Sci. Total Environ. 2020, 754, 142112. [Google Scholar] [CrossRef] [PubMed]
- Shan, Y.H.; Yang, L.Z.; Yan, T.M.; Wang, J.G. The variation of P&N contents in paddy soil water and its environmental effect. Acta Ecol. Sin. 2005, 25, 115–121. [Google Scholar]
- Kirchmann, H. Properties and classification of soils of the Swedish long-term fertility experiments. Sites at Fors and kungsangen. Acta Agric. Scand. 1991, 41, 227–242. [Google Scholar] [CrossRef]
- Liang, X.Q.; Jin, Y.; Zhao, Y.; Wang, Z.; Yin, R. Release and migration of colloidal phosphorus from a typical agricultural field under long-term phosphorus fertilization in southeastern China. J. Soils Sediments 2016, 16, 842–853. [Google Scholar] [CrossRef]
- Wang, H.D.; Harris, W.G.; Reddy, K.R.; Flaig, E.G. Stability of P forms in dairy-impacted soils under simulated leaching. Ecol. Eng. 1995, 5, 209–227. [Google Scholar] [CrossRef]
- Kolahchi, Z.; Jalali, M. Phosphorus movement and retention by two calcareous soils. Soil Sediment Contam. 2013, 22, 21–38. [Google Scholar] [CrossRef]
- Sharma, R.; Bell, R.W.; Wong, M.T.F. Dissolved reactive phosphorus played a limited role in phosphorus transport via runoff, throughflow and leaching on contrasting cropping soils from southwest Australia. Sci. Total Environ. 2017, 577, 33–44. [Google Scholar] [CrossRef]
- Dalton, B.A.; Amlan, K.G.; Ivo, R.S.; Roberto, F.N.; Victor, H.A.V. Phosphorus saturation of a tropical soil and related P leaching caused by poultry litter addition. Agric. Ecosyst. Environ. 2012, 162, 15–23. [Google Scholar] [CrossRef]
- Arai, Y.; Sparks, D.L. ATR-FTIR spectroscopic investigation on phosphate adsorption mechanisms at the ferrihydrite-water interface. J. Colloid Interface Sci. 2001, 241, 317–326. [Google Scholar] [CrossRef] [Green Version]
- Li, H.M.; Ma, J.; Wu, J.L.; Li, Y.; Gu, X.M. Effects of Colloid Release on Permeability of Water-Bearing Media in Different pH Medium. In Proceedings of the 2009 3rd International Conference on Bioinformatics and Biomedical Engineering, Beijing, China, 11–13 June 2009. [Google Scholar] [CrossRef]
- Shand, C.A.; Smith, S.; Edwards, A.C.; Fraser, A.R. Distribution of phosphorus in particulate, colloidal and molecular-sized fractions of soil solution. Water Res. 2000, 34, 1278–1284. [Google Scholar] [CrossRef]
- Hens, M.; Merckx, R. The role of colloidal particles in the speciation and analysis of “dissolved” phosphorus. Water Res. 2002, 36, 1483–1492. [Google Scholar] [CrossRef]
- Jyothi, V.S.; Krishna, T.G.; Kavitha, P. Studies on the effect of phosphous fertilization on soil properties in a phosphorus rich vertisols. J. Progress. Agric. 2014, 5, 95–98. [Google Scholar]
- Ukwattage, N.L.; Li, Y.C.; Gan, Y.D.; Li, T.T.; Gamage, R.P. Effect of biochar and coal fly ash soil amendments on the leaching loss of phosphorus in subtropical sandy ultisols. Water Air Soil Pollut. 2020, 231, 56. [Google Scholar] [CrossRef]
- Heckrath, G.; Brookes, P.C.; Poulton, P.R.; Goulding, K. Phosphorus leaching from soils containing different phosphorus concentrations in the broadbalk experiment. J. Environ. Qual. 1995, 24, 904–910. [Google Scholar] [CrossRef]
- Liu, J.; Aronsson, H.; Bergström, L.; Sharpley, A. Phosphorus leaching from loamy sand and clay loam topsoils after application of pig slurry. SpringerPlus 2012, 1, 53. [Google Scholar] [CrossRef] [Green Version]
- Zhang, T.Q.; Tan, C.S.; Zheng, Z.M.; Drury, C.F. Tile drainage phosphorus loss with long-term consistent cropping systems and fertilization. J. Environ. Qual. 2015, 44, 503–511. [Google Scholar] [CrossRef]







| Soil layers (cm) | 0–10 | 10–20 | 20–30 | 30–40 |
| Bulk density (g cm−3) | 1.34 ± 0.08 | 1.31 ± 0.12 | 1.39 ± 0.03 | 1.44 ± 0.18 |
| pH | 8.2 | 8.1 | 8.0 | 8.2 |
| SOM (mg kg−1) | 8120.69 ± 229.65 | 7513.91 ± 470.55 | 7418.37 ± 283.22 | 7379.60 ± 336.77 |
| TP (mg kg−1) | 1264.74 ± 165.99 | 998.26 ± 241.83 | 972.10 ± 182.74 | 1007.28 ± 164.45 |
| TN (mg kg−1) | 1003.88 ± 98.74 | 983.87 ± 106.82 | 990.11 ± 79.38 | 873.29 ± 88.37 |
| TK (mg kg−1) | 1729.73 ± 398.02 | 1583.11 ± 289.38 | 1542.73 ± 138.29 | 1603.38 ± 100.28 |
| AP (mg kg−1) | 255.28 ± 5.78 | 171.01 ± 0.75 | 152.33 ± 10.37 | 112.73 ± 3.46 |
| AN (mg kg−1) | 116.36 ± 28.09 | 100.85 ± 10.86 | 93.29 ± 3.29 | 88.94 ± 15.86 |
| AK (mg kg−1) | 120.99 ± 30.64 | 106.81 ± 10.87 | 92.31 ± 12.28 | 98.64 ± 6.96 |
| Soil Layers (cm) | Correlation Coefficients (R2) for P Application Rates with | |
|---|---|---|
| CP | DP | |
| 0–5 | 0.8751 ** | 0.9491 ** |
| 5–10 | 0.8406 ** | 0.7241 ** |
| 10–15 | 0.4611 * | 0.1231 |
| 15–20 | 0.1158 | 0.0688 |
| 20–25 | 0.1489 | 0.0287 |
| 25–30 | 0.0863 | 0.0479 |
| 30–35 | 0.0081 | 0.0244 |
| 35–40 | 0.0912 | 0.0082 |
Publisher’s Note: MDPI stays neutral with regard to jurisdictional claims in published maps and institutional affiliations. |
© 2022 by the authors. Licensee MDPI, Basel, Switzerland. This article is an open access article distributed under the terms and conditions of the Creative Commons Attribution (CC BY) license (https://creativecommons.org/licenses/by/4.0/).
Share and Cite
He, X.; Zheng, Z.; Li, T.; He, S.; Li, Z. Effects of Phosphorus Fertilizer Application Rates on Colloidal Phosphorus Leaching in Purple Soil in Southwest China. Water 2022, 14, 2391. https://doi.org/10.3390/w14152391
He X, Zheng Z, Li T, He S, Li Z. Effects of Phosphorus Fertilizer Application Rates on Colloidal Phosphorus Leaching in Purple Soil in Southwest China. Water. 2022; 14(15):2391. https://doi.org/10.3390/w14152391
Chicago/Turabian StyleHe, Xiaoling, Zicheng Zheng, Tingxuan Li, Shuqin He, and Zhi Li. 2022. "Effects of Phosphorus Fertilizer Application Rates on Colloidal Phosphorus Leaching in Purple Soil in Southwest China" Water 14, no. 15: 2391. https://doi.org/10.3390/w14152391
APA StyleHe, X., Zheng, Z., Li, T., He, S., & Li, Z. (2022). Effects of Phosphorus Fertilizer Application Rates on Colloidal Phosphorus Leaching in Purple Soil in Southwest China. Water, 14(15), 2391. https://doi.org/10.3390/w14152391
