Laboratory Study on Flow Characteristics during Solitary Waves Interacting with a Suspended Horizontal Plate
Abstract
:1. Introduction
2. Experimental Set–Up
2.1. Experimental Apparatus and Model Structure
2.2. Velocity Measurements by PIV
2.3. Experimental Conditions
3. Results and Discussion
3.1. Evolution of Flow Structures
3.2. Effect of Wave Height and Structural Suspended Height
3.3. Comparing with the Green Water Model
4. Conclusions
- (1)
- The flow evolution of green water can be categorized into the following three phases: (A) Green water tongue generation and run–up, (B) Green water overtopping along the plate, and (C) Flow separation from the plate. In Phase A, the wavefront contacts the plate at T = 0. At the front side of the plate, a green water tongue was generated and run up rapidly. Subsequently, the water tongue overturns and slaps the upper surface of the plate. Phase B includes the effects of the start of green water overtopping, the burst of entrapped bubbles, wave overtopping at the end of the plate, water collision behind the plate, and vortex generation under the plate front end. In Phase C, the flow separation starts at the front side of the plate and ends at the rear side of the plate;
- (2)
- Structural suspended height and incident wave size have different influences on the flow properties in each stage. Their evolutions present obvious similarities in general but several differences in detail. The increase in plate height will lead to a decrease in global velocities, less air entrapped in Phase B but a larger aerated area in Phase C. Besides, the increase in incident wave height can cause a significant increase in global velocities and more air involved in the water;
- (3)
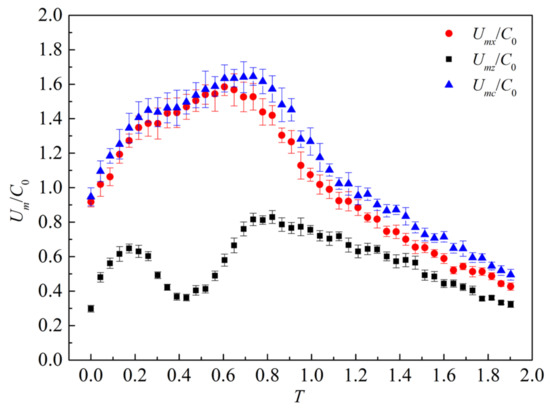
- The maximum velocity around the plate was counted and normalized with C0 (the maximum flow speed of the incident wave). There is little difference between the velocity magnitude and the horizontal component, indicating the flow kinematics is dominated by the horizontal flow. The normalized maximum horizontal velocity increase with larger incident waves and decrease with higher suspended height, while the ratio of maximum vertical velocity to C0 is almost invariable with a constant around 0.8;
- (4)
- The Ritter’s dam–break flow solution for the prediction of green water flow in solitary wave conditions was validated. This solution agrees with the vertical–average horizontal velocities above the plate in the period of T ∈ (0.6, 0.9) when the flow field is in the transition stage from Phase B to Phase C. The rest of the time, the distribution of velocity does not conform to the description of Ritter’s solution. The minimum deviation coefficient throughout the present experiments appears in the case with the smallest submerged depth (under the wave crest, 3 cm).
Author Contributions
Funding
Data Availability Statement
Conflicts of Interest
References
- Hayatdavoodi, M.; Seiffert, B.; Ertekin, R.C. Experiments and computations of solitary-wave forces on a coastal-bridge deck. Part II: Deck with girders. Coast. Eng. 2014, 88, 210–228. [Google Scholar] [CrossRef]
- Maruyama, K.; Tanaka, Y.; Kosa, K.; Hosoda, A.; Mizutani, N.; Nakamura, T. Evaluation of tsunami force acted on bridges by Great East Japan Earthquake. In Proceedings of the Thirteenth East Asia–Pacific Conference on Structural Engineering and Construction (EASEC–13), Sapporo, Japan, 11–13 September 2013; 2013. Available online: https://hdl.handle.net/2115/54508 (accessed on 7 June 2022).
- Bredmose, H.; Peregrine, D.H.; Bullock, G.N. Violent breaking wave impacts. Part 2: Modelling the effect of air. J. Fluid Mech. 2009, 641, 389–430. [Google Scholar] [CrossRef]
- Silva, D.F.; Coutinho, A.L.; Esperanca, P.D.T. Green water loads on FPSOs exposed to beam and quartering seas, Part I: Experimental tests. Ocean Eng. 2017, 140, 419–433. [Google Scholar] [CrossRef]
- Greco, M.; Colicchio, G.; Faltinsen, O.M. Shipping of water on a two–dimensional structure. Part 2. J. Fluid Mech. 2007, 581, 371–399. [Google Scholar] [CrossRef]
- Bea, R.G.; Xu, T.; Stear, J.; Ramos, R. Wave forces on decks of offshore platforms. J. Waterw. Port Coast. Ocean Eng.-Asce 1999, 125, 136–144. [Google Scholar] [CrossRef]
- Rosetti, G.F.; Pinto, M.L.; de Mello, P.C.; Sampaio, C.M.; Simos, A.N.; Silva, D.F. CFD and experimental assessment of green water events on an FPSO hull section in beam waves. Mar. Struct. 2019, 65, 154–180. [Google Scholar] [CrossRef]
- Ma, Y.; Dong, G.; Perlin, M.; Ma, X.; Wang, G. Experimental investigation on the evolution of the modulation instability with dissipation. J. Fluid Mech. 2012, 711, 101–121. [Google Scholar] [CrossRef]
- Peregrine, D.H.; Thais, L. The effect of entrained air in violent water wave impacts. J. Fluid Mech. 1996, 325, 377–397. [Google Scholar] [CrossRef]
- Peregrine, D.H. Water−Wave Impact on Walls. Annu. Rev. Fluid Mech. 2003, 35, 23–43. [Google Scholar] [CrossRef]
- Stansby, P.K.; Chegini, A.; Barnes, T.C.D. The initial stages of dam–break flow. J. Fluid Mech. 1998, 374, 407–424. [Google Scholar] [CrossRef]
- Wu, Y.-T.; Liu, P.L.-F.; Hwang, K.-S.; Hwung, H.-H. Runup of Laboratory–Generated Breaking Solitary and Periodic Waves on a Uniform Slope. J. Waterw. Port Coast. Ocean Eng. 2018, 144. [Google Scholar] [CrossRef]
- Cox, D.T.; Scott, C.P. Exceedance probability for wave overtopping on a fixed deck. Ocean Eng. 2001, 28, 707–721. [Google Scholar] [CrossRef]
- Cox, D.T.; Ortega, J.A. Laboratory observations of green water overtopping a fixed deck. Ocean Eng. 2002, 29, 1827–1840. [Google Scholar] [CrossRef]
- Ryu, Y.; Chang, K.-A.; Mercier, R. Runup and green water velocities due to breaking wave impinging and overtopping. Exp. Fluids 2007, 43, 555–567. [Google Scholar] [CrossRef]
- Gómez-Gesteira, M.; Cerqueiro, D.; Crespo, C.; Dalrymple, R. Green water overtopping analyzed with a SPH model. Ocean Eng. 2005, 32, 223–238. [Google Scholar] [CrossRef]
- Shao, S.; Ji, C.; Graham, D.I.; Reeve, D.E.; James, P.W.; Chadwick, A.J. Simulation of wave overtopping by an incompressible SPH model. Coast. Eng. 2006, 53, 723–735. [Google Scholar] [CrossRef]
- Lu, H.; Yang, C.; Löhner, R. Numerical studies of green water impact on fixed and moving bodies. Int. J. Offshore Polar Eng. 2012, 22. Available online: https://onepetro.org/IJOPE/article-abstract/35604/Numerical-Studies-of-Green-Water-Impact-On-Fixed?redirectedFrom=fulltext (accessed on 7 June 2022).
- Qin, H.; Tang, W.; Hu, Z.; Guo, J. Structural response of deck structures on the green water event caused by freak waves. J. Fluids Struct. 2016, 68, 322–338. [Google Scholar] [CrossRef]
- Chang, K.-A.; Ariyarathne, K.; Mercier, R. Three–dimensional green water velocity on a model structure. Exp. Fluids 2011, 51, 327–345. [Google Scholar] [CrossRef]
- Chuang, W.-L.; Chang, K.-A.; Mercier, R. Kinematics and dynamics of green water on a fixed platform in a large wave basin in focusing wave and random wave conditions. Exp. Fluids 2018, 59, 100. [Google Scholar] [CrossRef]
- Nielsen, K.B.; Mayer, S. Numerical prediction of green water incidents. Ocean Eng. 2004, 31, 363–399. [Google Scholar] [CrossRef]
- Yan, B.; Bai, W.; Qian, L.; Ma, Z. Study on hydro-kinematic characteristics of green water over different fixed decks using immersed boundary method. Ocean Eng. 2018, 164, 74–86. [Google Scholar] [CrossRef]
- Ritter, A. Die fortpflanzung der wasserwellen. Z. Vere. Deutsch. Ing. 1892, 36, 947–954. [Google Scholar]
- Lauber, G.; Hager, W.H. Experiments to dambreak wave: Horizontal channel. J. Hydraul. Res. 1998, 36, 291–307. [Google Scholar] [CrossRef]
- Buchner, B. The impact of green water on FPSO design. In Proceedings of the Offshore Technology Conference, Richardson, TX, USA, 1–4 May 1995. [Google Scholar] [CrossRef]
- Stoker, J. Water Waves. In The Mathematical Theory with Applications; Interscience Publishers Inc.: New York, NY, USA, 1957. [Google Scholar]
- Yilmaz, O.; Incecik, A.; Han, J. Simulation of green water flow on deck using non–linear dam breaking theory. Ocean Eng. 2003, 30, 601–610. [Google Scholar] [CrossRef]
- Ryu, Y.; Chang, K.-A.; Mercier, R. Application of dam–break flow to green water prediction. Appl. Ocean Res. 2007, 29, 128–136. [Google Scholar] [CrossRef]
- Kleefsman, K.; Fekken, G.; Veldman, A.; Iwanowski, B.; Buchner, B. A Volume–of–Fluid based simulation method for wave impact problems. J. Comput. Phys. 2005, 206, 363–393. [Google Scholar] [CrossRef] [Green Version]
- Lee, H.-H.; Lim, H.-J.; Rhee, S.H. Experimental investigation of green water on deck for a CFD validation database. Ocean Eng. 2012, 42, 47–60. [Google Scholar] [CrossRef]
- Silva, D.F.; Esperança, P.T.; Coutinho, A.L. Green water loads on FPSOs exposed to beam and quartering seas, Part II: CFD simulations. Ocean Eng. 2017, 140, 434–452. [Google Scholar] [CrossRef]
- Khayyer, A.; Gotoh, H.; Shao, S. Enhanced predictions of wave impact pressure by improved incompressible SPH methods. Appl. Ocean Res. 2009, 31, 111–131. [Google Scholar] [CrossRef] [Green Version]
- Khojasteh, D.; Tavakoli, S.; Dashtimanesh, A.; Dolatshah, A.; Huang, L.; Glamore, W.; Sadat-Noori, M.; Iglesias, G. Numerical analysis of shipping water impacting a step structure. Ocean Eng. 2020, 209, 107517. [Google Scholar] [CrossRef]
- Lin, C.; Kao, M.-J.; Yang, J.; Raikar, R.V.; Yuan, J.-M.; Hsieh, S.-C. Particle acceleration and pressure gradient in a solitary wave traveling over a horizontal bed. AIP Adv. 2020, 10, 115210. [Google Scholar] [CrossRef]
- Lin, C.; Kao, M.-J.; Raikar, R.V.; Yuan, J.-M.; Yang, J.; Chuang, P.-Y.; Syu, J.-M.; Pan, W.-C. Novel similarities in the free-surface profiles and velocities of solitary waves traveling over a very steep beach. Phys. Fluids 2020, 32, 083601. [Google Scholar] [CrossRef]
- Qu, K.; Ren, X.; Kraatz, S. Numerical investigation of tsunami-like wave hydrodynamic characteristics and its comparison with solitary wave. Appl. Ocean Res. 2017, 63, 36–48. [Google Scholar] [CrossRef]
- Li, Y. Tsunamis: Non-Breaking and Breaking Solitary Wave Run-Up; California Institute of Technology: Pasadena, CA, USA, 2000. [Google Scholar]
- Yeh, H.; Liu, P.; Briggs, M.; Synolakis, C. Propagation and amplification of tsunamis at coastal boundaries. Nature 1994, 372, 353–355. [Google Scholar] [CrossRef]
- Wu, Y.-T.; Higuera, P.; Liu, P.L.-F. On the evolution and runup of a train of solitary waves on a uniform beach. Coast. Eng. 2021, 170, 104015. [Google Scholar] [CrossRef]
- Madsen, P.A.; Fuhrman, D.R.; Schäffer, H.A. On the solitary wave paradigm for tsunamis. J. Geophys. Res. Oceans 2008, 113. [Google Scholar] [CrossRef]
- Tadepalli, S.; Synolakis, C.E. Model for the Leading Waves of Tsunamis. Phys. Rev. Lett. 1996, 77, 2141–2144. [Google Scholar] [CrossRef]
- French, J.A. Wave Uplift Pressures on Horizontal Platforms; California Institute of Technology: Pasadena, CA, USA, 1969. [Google Scholar] [CrossRef]
- McPherson, R.L. Hurricane Induced Wave and Surge Forces on Bridge Decks; Texas A&M University: College Station, TX, USA, 2010. [Google Scholar]
- Lau, T.L.; Ohmachi, T.; Inoue, S.; Lukkunaprasit, P. Experimental and numerical modeling of tsunami force on bridge decks. In Tsunami–A Growing Disaster; IntechOpen: London, UK, 2011. [Google Scholar] [CrossRef] [Green Version]
- Seiffert, B.; Hayatdavoodi, M.; Ertekin, R.C. Experiments and computations of solitary-wave forces on a coastal-bridge deck. Part I: Flat Plate. Coast. Eng. 2014, 88, 194–209. [Google Scholar] [CrossRef]
- Qu, K.; Tang, H.S.; Agrawal, A.; Cai, Y. Hydrodynamic Effects of Solitary Waves Impinging on a Bridge Deck with Air Vents. J. Bridg. Eng. 2017, 22. [Google Scholar] [CrossRef]
- Chen, X.; Xu, G.; Lin, C.; Sun, H.; Zeng, X.; Chen, Z. A comparative study on lateral displacements of movable T-deck and Box-deck under solitary waves. Structures 2021, 34, 1614–1635. [Google Scholar] [CrossRef]
- Goring, D.G. Tsunamis—The Propagation of Long Waves onto a Shelf; California Institute of Technology: Pasadena, CA, USA, 1978; Available online: https://resolver.caltech.edu/CaltechKHR:KH-R-38 (accessed on 7 June 2022).
- Ma, Y.; Tai, B.; Dong, G.; Perlin, M. Experimental study of plunging solitary waves impacting a vertical slender cylinder. Ocean Eng. 2020, 202, 107191. [Google Scholar] [CrossRef]
- Korteweg, D.J.; de Vries, G. XLI. On the change of form of long waves advancing in a rectangular canal, and on a new type of long stationary waves. London, Edinburgh, Dublin Philos. Mag. J. Sci. 1895, 39, 422–443. [Google Scholar] [CrossRef]
- Boussinesq, J. Théorie des ondes et des remous qui se propagent le long d’un canal rectangulaire horizontal, en communiquant au liquide contenu dans ce canal des vitesses sensiblement pareilles de la surface au fond. J. Math. Pures Appl. 1872, 55–108. Available online: https://eudml.org/doc/234248 (accessed on 7 June 2022).
- Mei, C.C. The Applied Dynamics of Ocean Surface Waves; Massachusetts Institute of Technology; Advanced Series on Ocean Engineering; World Scientific Publishing Co. Pte. Ltd.: Singapore, 1989; Volume 1. [Google Scholar]
- Lee, J.-J.; Skjelbreia, J.E.; Raichlen, F. Measurement of Velocities in Solitary Waves. J. Waterw. Port Coast. Ocean Div. 1982, 108, 200–218. [Google Scholar] [CrossRef]
- Goda, K.; Miyamoto, T. A Study of Shipping Water Pressure on Deck by Two-Dimensional Ship Model Tests. J. Soc. Nav. Arch. Jpn. 1976, 1976, 16–22. [Google Scholar] [CrossRef]
- Chuang, W.-L.; Chang, K.-A.; Mercier, R. Impact pressure and void fraction due to plunging breaking wave impact on a 2D TLP structure. Exp. Fluids 2017, 58, 68. [Google Scholar] [CrossRef]














| Case | Water Depth h (cm) | Plate Thickness (cm) | Plate Length L (cm) | Suspended Height D (cm) | Wave Height H (cm) | Max. Free Stream Velocity C0 (m/s) | Characteristic Period (s) |
|---|---|---|---|---|---|---|---|
| 1 | 30 | 1 | 25 | 6 | 10 | 0.683 | 0.578 |
| 2 | 4 | 10 | 0.683 | 0.752 | |||
| 3 | 2 | 10 | 0.683 | 1.001 | |||
| 4 | 2 | 8 | 0.513 | 1.045 | |||
| 5 | 2 | 6 | 0.366 | 1.079 |
Publisher’s Note: MDPI stays neutral with regard to jurisdictional claims in published maps and institutional affiliations. |
© 2022 by the authors. Licensee MDPI, Basel, Switzerland. This article is an open access article distributed under the terms and conditions of the Creative Commons Attribution (CC BY) license (https://creativecommons.org/licenses/by/4.0/).
Share and Cite
Niu, X.; Ma, Y.; Dong, G. Laboratory Study on Flow Characteristics during Solitary Waves Interacting with a Suspended Horizontal Plate. Water 2022, 14, 2386. https://doi.org/10.3390/w14152386
Niu X, Ma Y, Dong G. Laboratory Study on Flow Characteristics during Solitary Waves Interacting with a Suspended Horizontal Plate. Water. 2022; 14(15):2386. https://doi.org/10.3390/w14152386
Chicago/Turabian StyleNiu, Xuyang, Yuxiang Ma, and Guohai Dong. 2022. "Laboratory Study on Flow Characteristics during Solitary Waves Interacting with a Suspended Horizontal Plate" Water 14, no. 15: 2386. https://doi.org/10.3390/w14152386
APA StyleNiu, X., Ma, Y., & Dong, G. (2022). Laboratory Study on Flow Characteristics during Solitary Waves Interacting with a Suspended Horizontal Plate. Water, 14(15), 2386. https://doi.org/10.3390/w14152386
