In Situ Remediation of Arsenic-Contaminated Groundwater by Injecting an Iron Oxide Nanoparticle-Based Adsorption Barrier
Abstract
:1. Introduction
2. Methodology
2.1. Laboratory Test
2.2. Modeling
2.3. Field Application
2.3.1. Testing Site Area
2.3.2. Field Testing and Monitoring
3. Results and Discussion
3.1. Laboratory Testing Results
3.2. Modeling Results
3.2.1. Inverse Fitting
3.2.2. Forward Modeling
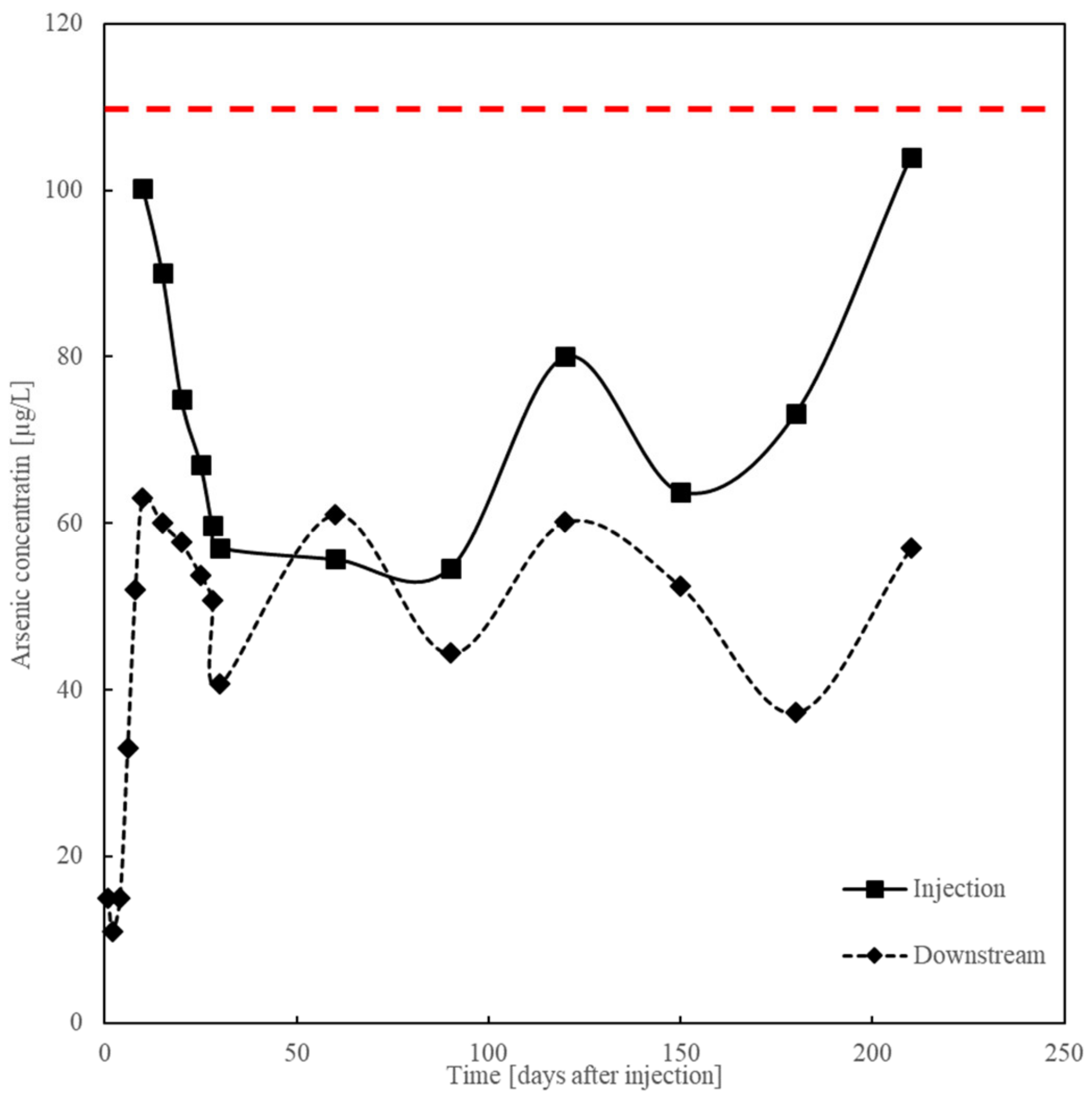
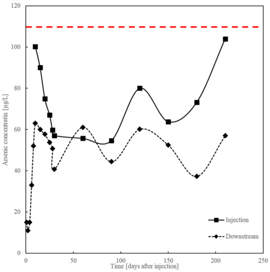
3.3. Field Testing and Comparison to the Laboratory Data
3.4. Comparing Field Data with Lab Testing and Modeling
3.5. Environmental Implications
4. Summary and Conclusions
Author Contributions
Funding
Data Availability Statement
Acknowledgments
Conflicts of Interest
References
- Bardach, A.E.; Ciapponi, A.; Soto, N.; Chaparro, M.R.; Calderon, M.; Briatore, A.; Cadoppi, N.; Tassara, R.; Litter, M.I. Epidemiology of chronic disease related to arsenic in Argentina: A systematic review. Sci. Total Environ. 2015, 538, 802–816. [Google Scholar] [CrossRef] [PubMed]
- Nriagu, J.O. Arsenic in the environment (Part II, human health and ecosystem effects). In Advances in Environmental Science and Technology; John Wiley: New York, NY, USA, 1994. [Google Scholar]
- WHO. Arsenic and Arsenic Compounds Environmental Health Criteria 224, 2nd ed.; World Health Organization: Geneva, Switzerland, 2001. [Google Scholar]
- Kinniburgh, D.G.; Smedley, P. Arsenic contamination of groundwater in Bangladesh. In British Geological Survey; Department of Public Health Engineering: Dhaka, Bangladesh, 2001. [Google Scholar]
- Alsayed, A.F.; Ashraf, M.A. Modified nanofiltration membrane treatment of saline water: A review. Desalination Water Treat. 2020, 187, 93–105. [Google Scholar] [CrossRef]
- Ćavar, S.; Klapec, T.; Grubešić, R.J.; Valek, M. High exposure to arsenic from drinking water at several localities in eastern Croatia. Sci. Total Environ. 2005, 339, 277–282. [Google Scholar] [CrossRef] [PubMed]
- Krishna, A.K.; Satyanarayanan, M.; Govil, P.K. Assessment of heavy metal pollution in water using multivariate statistical techniques in an industrial area: A case study from Patancheru, Medak District, Andhra Pradesh, India. J. Hazard. Mater. 2009, 167, 366–373. [Google Scholar] [CrossRef]
- Von Ehrenstein, O.S.; Guha Mazumder, D.N.; Hira-Smith, M.; Ghosh, N.; Yuan, Y.; Windham, G.; Ghosh, A.; Haque, R.; Lahiri, S.; Kalman, D.; et al. Pregnancy Outcomes, Infant Mortality, and Arsenic in Drinking Water in West Bengal, India. Am. J. Epidemiol. 2006, 163, 662–669. [Google Scholar] [CrossRef] [Green Version]
- Wade, T.J.; Xia, Y.; Wu, K.; Li, Y.; Ning, Z.; Le, X.C.; Lu, X.; Feng, Y.; He, X.; Mumford, J.L. Increased Mortality Associated with Well-Water Arsenic Exposure in Inner Mongolia, China. Int. J. Environ. Res. Public Health 2009, 6, 1107–1123. [Google Scholar] [CrossRef] [Green Version]
- Xia, Y.; Wade, T.J.; Wu, K.; Li, Y.; Ning, Z.; Le, X.C.; Chen, B.; Feng, Y.; Mumford, J.L.; He, X. Well Water Arsenic Exposure, Arsenic Induced Skin-Lesions and Self-Reported Morbidity in Inner Mongolia. Int. J. Environ. Res. Public Health 2009, 6, 1010–1025. [Google Scholar] [CrossRef]
- Smedley, P.L.; Kinniburgh, D.G. A review of the source, behaviour and distribution of arsenic in natural waters. Appl. Geochem. 2002, 17, 517–568. [Google Scholar] [CrossRef] [Green Version]
- Mandal, B.K.; Suzuki, K.T. Arsenic round the world: A review. Talanta 2002, 58, 201–235. [Google Scholar] [CrossRef]
- Armienta, M.A.; Segovia, N. Arsenic and fluoride in the groundwater of Mexico. Environ. Geochem. Health 2008, 30, 345–353. [Google Scholar] [CrossRef]
- Yang, N.; Winkel, L.H.E.; Johannesson, K.H. Predicting Geogenic Arsenic Contamination in Shallow Groundwater of South Louisiana, United States. Environ. Sci. Technol. 2014, 48, 5660–5666. [Google Scholar] [CrossRef] [PubMed]
- Banning, A. Geogenic arsenic and uranium in Germany: Large-scale distribution control in sediments and groundwater. J. Hazard. Mater. 2021, 405, 124186. [Google Scholar] [CrossRef] [PubMed]
- Worou, C.N.; Chen, Z.-L.; Bacharou, T. Arsenic removal from water by nanofiltration membrane: Potentials and limitations. Water Pract. Technol. 2021, 16, 291–319. [Google Scholar] [CrossRef]
- Fields, K.; Chen, A.; Wang, L. Arsenic Removal from Drinking Water by Iron Removal Plants; 45268; US EPA: Cincinnati, OH, USA, 2000. [Google Scholar]
- Ferguson, J.F.; Gavis, J. A review of the arsenic cycle in natural waters. Water Res. 1972, 6, 1259–1274. [Google Scholar] [CrossRef]
- Kanel, S.; Choi, H.; Kim, K.; Moon, S. Arsenic contamination in groundwater in Nepal: A new perspective and more health threat in South Asia. In Natural Arsenic in Groundwater: Occurence, Remediation and Management; Bundschuh, J., Bhattacharya, P., Chandrasekharam, D., Eds.; CRC: Boca Raton, FL, USA, 2005; pp. 103–108. [Google Scholar]
- Nicomel, N.R.; Leus, K.; Folens, K.; Van Der Voort, P.; Du Laing, G. Technologies for Arsenic Removal from Water: Current Status and Future Perspectives. Int. J. Environ. Res. Public Health 2016, 13, 62. [Google Scholar] [CrossRef] [PubMed]
- Sen, M.; Manna, A.; Pal, P. Removal of arsenic from contaminated groundwater by membrane-integrated hybrid treatment system. J. Membr. Sci. 2010, 354, 108–113. [Google Scholar] [CrossRef]
- Uddin, M.T.; Mozumder, M.S.I.; Figoli, A.; Islam, M.A.; Drioli, E. Arsenic removal by conventional and membrane technology: An overview. Indian J. Chem. Technol. 2007, 14, 441–450. [Google Scholar]
- Xia, S.; Dong, B.; Zhang, Q.; Xu, B.; Gao, N.; Causseranda, C. Study of arsenic removal by nanofiltration and its application in China. Desalination 2007, 204, 374–379. [Google Scholar] [CrossRef]
- Ahmad, A.; Van De Wetering, S.; Groenendijk, M.; Bhattacharya, P. Advanced Oxidation—Coagulation—Filtration (AOCF)—An innovative treatment technology for targeting drinking water with <1 µg/L of arsenic. In Proceedings of the 5th International Congress on Arsenic in the Environment, Buenos Aires, Argentina, 11–16 May 2014; pp. 817–819. [Google Scholar]
- Shih, M.-C. An overview of arsenic removal by pressure-drivenmembrane processes. Desalination 2005, 172, 85–97. [Google Scholar] [CrossRef]
- Mohan, D.; Pittman, C.U., Jr. Arsenic removal from water/wastewater using adsorbents—A critical review. J. Hazard. Mater. 2007, 142, 1–53. [Google Scholar] [CrossRef]
- Mondal, P.; Majumder, C.; Mohanty, B. Laboratory based approaches for arsenic remediation from contaminated water: Recent developments. J. Hazard. Mater. 2006, 137, 464–479. [Google Scholar] [CrossRef]
- Blowes, D.W.; Ptacek, C.J.; Jambor, J.L. In-situ remediation of Cr (VI)-contaminated groundwater using permeable reactive walls: Laboratory studies. Environ. Sci. Technol. 1997, 31, 3348–3357. [Google Scholar] [CrossRef]
- Mohammadian, S.; Krok, B.; Fritzsche, A.; Bianco, C.; Tosco, T.; Cagigal, E.; Mata, B.; Gonzalez, V.; Diez-Ortiz, M.; Ramos, V.; et al. Field-scale demonstration of in situ immobilization of heavy metals by injecting iron oxide nanoparticle adsorption barriers in groundwater. J. Contam. Hydrol. 2021, 237, 103741. [Google Scholar] [CrossRef]
- McGregor, R. In Situ treatment of PFAS-impacted groundwater using colloidal activated Carbon. Remediation 2018, 28, 33–41. [Google Scholar] [CrossRef]
- McGregor, R.; Vakili, F. The in situ treatment of BTEX, MTBE, and TBA in saline groundwater. Remediation 2019, 29, 107–116. [Google Scholar] [CrossRef]
- Krok, B.; Mohammadian, S.; Noll, H.M.; Surau, C.; Markwort, S.; Fritzsche, A.; Nachev, M.; Sures, B.; Meckenstock, R.U. Remediation of zinc-contaminated groundwater by iron oxide in situ adsorption barriers—From lab to the field. Sci. Total Environ. 2022, 807, 151066. [Google Scholar] [CrossRef] [PubMed]
- Lee, K.J.; Lee, Y.; Yoon, J.; Kamala-Kannan, S.; Park, S.M.; Oh, B.T. Assessment of zero-valent iron as a permeable reactive barrier for long-term removal of arsenic compounds from synthetic water. Environ. Technol. 2009, 30, 1425–1434. [Google Scholar] [CrossRef] [PubMed]
- Montalvo, D.; Vanderschueren, R.; Fritzsche, A.; Meckenstock, R.U.; Smolders, E. Efficient removal of arsenate from oxic contaminated water by colloidal humic acid-coated goethite: Batch and column experiments. J. Clean. Prod. 2018, 189, 510–518. [Google Scholar] [CrossRef]
- Montalvo, D.; Smolders, E. Metals and Metalloid Removal by Colloidal Humic Acid–Goethite: Column Experiments and Geochemical Modeling. Vadose Zone J. 2019, 18, 1–9. [Google Scholar] [CrossRef]
- Tiraferri, A.; Chen, K.L.; Sethi, R.; Elimelech, M. Reduced aggregation and sedimentation of zero-valent iron nanoparticles in the presence of guar gum. J. Colloid Interface Sci. 2008, 324, 71–79. [Google Scholar] [CrossRef]
- Ahn, J.-Y.; Kim, C.; Jun, S.-C.; Hwang, I. Field-scale investigation of nanoscale zero-valent iron (NZVI) injection parameters for enhanced delivery of NZVI particles to groundwater. Water Res. 2021, 202, 117402. [Google Scholar] [CrossRef] [PubMed]
- Johnson, R.L.; Nurmi, J.T.; O’Brien Johnson, G.S.; Fan, D.; O’Brien Johnson, R.L.; Shi, Z.; Salter-Blanc, A.J.; Tratnyek, P.G.; Lowry, G.V. Field-Scale Transport and Transformation of Carboxymethylcellulose-Stabilized Nano Zero-Valent Iron. Environ. Sci. Technol. 2013, 47, 1573–1580. [Google Scholar] [CrossRef] [PubMed]
- González-Andrés, V.; Diez-Ortiz, M.; Delpivo, C.; Janer, G.; Fritzsche, A.; Vázquez-Campos, S. Acute ecotoxicity of coated colloidal goethite nanoparticles on Daphnia magna: Evaluating the influence of exposure approaches. Sci. Total Environ. 2017, 609, 172–179. [Google Scholar] [CrossRef]
- Cabellos, J.; González-Andrés, V.; Diez-Ortiz, M.; Janer, G. Iron oxide nanoparticle toxicity on human cell lines, aquatic and soil organisms and interactions with metal pollutants. Toxicol. Lett. 2018, 295, S209–S210. [Google Scholar] [CrossRef]
- Mueller, B.; Dangol, B.; Ngai, T.K.K.; Hug, S.J. Kanchan arsenic filters in the lowlands of Nepal: Mode of operation, arsenic removal, and future improvements. Environ. Geochem. Health 2021, 43, 375–389. [Google Scholar] [CrossRef] [PubMed]
- Hristovski, K.D.; Markovski, J. Engineering metal (hydr)oxide sorbents for removal of arsenate and similar weak-acid oxyanion contaminants: A critical review with emphasis on factors governing sorption processes. Sci. Total Environ. 2017, 598, 258–271. [Google Scholar] [CrossRef] [Green Version]
- Tiraferri, A.; Saldarriaga Hernandez, L.A.; Bianco, C.; Tosco, T.; Sethi, R. Colloidal behavior of goethite nanoparticles modified with humic acid and implications for aquifer reclamation. J. Nanoparticle Res. 2017, 19, 107. [Google Scholar] [CrossRef]
- Meckenstock, R.; Bosch, J. Method for the Degradation of Pollutants in Water and/or Soil. US8921091B2, 30 December 2014. [Google Scholar]
- Bianco, C.; Patiño Higuita, J.E.; Tosco, T.; Tiraferri, A.; Sethi, R. Controlled Deposition of Particles in Porous Media for Effective Aquifer Nanoremediation. Sci. Rep. 2017, 7, 12992. [Google Scholar] [CrossRef] [Green Version]
- Velimirovic, M.B.C.; Ferrantello, N.; Tosco, T.; Casasso, A.; Sethi, R.; Schmid, D.; Wagner, S.; Miyajima, K.; Klaas, N.; Meckenstock, R.U.; et al. A Large-Scale 3D Study on Transport of Humic Acid-Coated Goethite Nanoparticles for Aquifer Remediation. Water 2020, 12, 1207. [Google Scholar] [CrossRef]
- Carrera, J.; Saaltink, M.W.; Soler-Sagarra, J.; Wang, J.; Valhondo, C. Reactive Transport: A Review of Basic Concepts with Emphasis on Biochemical Processes. Energies 2022, 15, 925. [Google Scholar] [CrossRef]
- Kim, L.; Thanh, N.T.; Toan, P.V.; Minh, H.V.T.; Kumar, P. Removal of Arsenic in Groundwater Using Fe(III) Oxyhydroxide Coated Sand: A Case Study in Mekong Delta, Vietnam. Hydrology 2022, 9, 15. [Google Scholar] [CrossRef]
- Selim, H.M.; Ma, L.; Zhu, H. Predicting Solute Transport in Soils Second-Order Two-Site Models. Soil Sci. Soc. Am. J. 1999, 63, 768–777. [Google Scholar] [CrossRef]
- Šimůnek, J.; van Genuchten, M.T. Modeling Nonequilibrium Flow and Transport Processes Using HYDRUS. Vadose Zone J. 2008, 7, 782–797. [Google Scholar] [CrossRef] [Green Version]
- Stolze, L.; Rolle, M. Surface complexation reactions in sandy porous media: Effects of incomplete mixing and mass-transfer limitations in flow-through systems. J. Contam. Hydrol. 2022, 246, 103965. [Google Scholar] [CrossRef] [PubMed]
- Ghorai, S.; Pant, K.K. Equilibrium, kinetics and breakthrough studies for adsorption of fluoride on activated alumina. Sep. Purif. Technol. 2005, 42, 265–271. [Google Scholar] [CrossRef]
- Mollenkopf, M.; Fritzsche, A.; Montalvo, D.; Diez-Ortiz, M.; González-Andrés, V.; Smolders, E.; Meckenstock, R.; Totsche, K.U. Exposure of humic acid-coated goethite colloids to groundwater does not affect their adsorption of metal(loid)s and their impact on Daphnid mobility. Sci. Total Environ. 2021, 797, 149153. [Google Scholar] [CrossRef] [PubMed]






| Water/Sand | As | Ba | Cu | Mn | Zn | Al |
|---|---|---|---|---|---|---|
| Groundwater (µg/L) | 110 | 112 | <1 | <1 | 6 | 120 |
| Sand (mg/kg) | 98 | 487 | 36 | 2299 | 98 | 6% |
| Parameter/Ion Concentration | Temperature (˚C) | pH | Conductivity (µS/cm) | K (mg/L) | Na (mg/L) | Mg (mg/L) | Ca (mg/L) |
|---|---|---|---|---|---|---|---|
| Average (std. deviation) | 15.40 (7.41) | 7.46 (0.44) | 611 (351) | 0.12 (0.2) | 0.53 (0.92) | 2.60 (2.10) | 6.02 (7.42) |
| Min–Max | 9.50–36.00 | 6.64–8.18 | 236–1284 | (0.01–0.71) | 0.04–3.11 | 0.28–8.48 | 1.55–30.05 |
| Isotherm | f [–] | α [1/s] | KD [m3/kg] | b [m3/kg] | β [–] |
|---|---|---|---|---|---|
| Linear | 0.14 | 5.33 × 10−05 | 3.28 × 10−02 | 0 * | 1 * |
| Langmuir | 0.13 | 5.08 × 10−05 | 3.60 × 10−02 | 925 | 1 * |
| Freundlich | 0.13 | 5.03 × 10−05 | 1.52 × 10−02 | 0 * | 0.915 |
Publisher’s Note: MDPI stays neutral with regard to jurisdictional claims in published maps and institutional affiliations. |
© 2022 by the authors. Licensee MDPI, Basel, Switzerland. This article is an open access article distributed under the terms and conditions of the Creative Commons Attribution (CC BY) license (https://creativecommons.org/licenses/by/4.0/).
Share and Cite
Mohammadian, S.; Tabani, H.; Boosalik, Z.; Asadi Rad, A.; Krok, B.; Fritzsche, A.; Khodaei, K.; Meckenstock, R.U. In Situ Remediation of Arsenic-Contaminated Groundwater by Injecting an Iron Oxide Nanoparticle-Based Adsorption Barrier. Water 2022, 14, 1998. https://doi.org/10.3390/w14131998
Mohammadian S, Tabani H, Boosalik Z, Asadi Rad A, Krok B, Fritzsche A, Khodaei K, Meckenstock RU. In Situ Remediation of Arsenic-Contaminated Groundwater by Injecting an Iron Oxide Nanoparticle-Based Adsorption Barrier. Water. 2022; 14(13):1998. https://doi.org/10.3390/w14131998
Chicago/Turabian StyleMohammadian, Sadjad, Hadi Tabani, Zahra Boosalik, Amir Asadi Rad, Beate Krok, Andreas Fritzsche, Kamal Khodaei, and Rainer U. Meckenstock. 2022. "In Situ Remediation of Arsenic-Contaminated Groundwater by Injecting an Iron Oxide Nanoparticle-Based Adsorption Barrier" Water 14, no. 13: 1998. https://doi.org/10.3390/w14131998
APA StyleMohammadian, S., Tabani, H., Boosalik, Z., Asadi Rad, A., Krok, B., Fritzsche, A., Khodaei, K., & Meckenstock, R. U. (2022). In Situ Remediation of Arsenic-Contaminated Groundwater by Injecting an Iron Oxide Nanoparticle-Based Adsorption Barrier. Water, 14(13), 1998. https://doi.org/10.3390/w14131998

