Abstract
The analysis of copepod behaviour gained an increasing impetus over the past decade thanks to the advent of computer-assisted video analysis tools. Since the automated tracking consists in detecting the animal’s position frame by frame and improving signals corrupted by strong background noise, a crucial role is played by the length of the video recording. The aim of this study is to: (i) assess whether the recording time influences the analysis of a suite of movement descriptive parameters; (ii) understand if the recording time influences the outcome of the statistical analyses when hypotheses on the effect of toxicants/chemicals on the freshwater invertebrate behaviour are tested. We investigated trajectory parameters commonly used in behavioural studies—swimming speed, percentage of activity and trajectory convex hull—derived from the trajectories described by the inbenthic–interstitial freshwater copepod Bryocamptus pygmaeus exposed to a sub-lethal concentration of diclofenac. The analyses presented in this work indicate that the recording time did not influence the outcome of the results for the swimming speed and the percentage of activity. For the trajectory convex hull area, our results showed that a recording session lasting at least 3 min provided robust results. However, further investigations are needed to disentangle the role of concurrent factors, such as the behavioural analysis of multiple individuals simultaneously, whether they are of the same or opposite sex and the implications on sexual behaviour, competition for resources and predation.
1. Introduction
The analysis of animal behaviour tackles the great challenge of understanding how individuals respond to changes occurring at a much faster timescale than evolutionary processes, but it is also useful to unravel the causal links between behavioural adaptations and the underlying genetic, cellular and physiological processes []. In zooplankton ecology, trajectory analysis has gained increasing impetus over past decades thanks to the advent of computer-assisted video analysis tools, allowing users to adopt a more quantitative, objective and consistent approach to describe behavioural parameters (e.g., speed, percentage of activity, area exploitation, thigmotaxis, phototaxis, chemotaxis and encounter probability) [,,]. This quantitative approach also gave the possibility to explore and statistically analyse the behavioural alterations induced by the exposure to specific compounds [,], increasing salinity [,] or temperature fluctuations []. With few exceptions, nowadays tracking analysis relies on digital video-based recording permitting a frame-by-frame software encryption of the animal movement pattern into a grid of pixels. Different tracking software, either commercial (e.g., []) or open source (e.g., []), are equipped with algorithms optimised to distinguish the tracked animals from the background field by automated or semi-automated settings that work on pixel intensity threshold and saturation values. For each tracked individual, the software detects the average frame by frame surface of the animal to calculate its centroid (mathematical equivalent of the centre of gravity). The simplest output achievable with a tracking analysis software consists of time series of the centroid coordinates that can be used to obtain a quantitative set of positional data describing the animal swimming behaviour (e.g., average speed, percentage of activity, total travelled distance, inter-individual distance, path tortuosity, explored area, total number of encounters).
While a great deal of literature focuses on ecotoxicological standard species such as zebrafish (e.g., [,,,,,]) and crustacean daphnids (e.g., [,,,]), relatively fewer video-assisted behavioural studies have been conducted on non-standard aquatic invertebrate species, many of whom are copepods. Copepods are known to provide important ecosystem services such as carbon recycling and bioturbation [,] and are important links in marine [,,,,] and freshwater food webs [,]. Freshwater harpacticoid copepods have a slender body form allowing them to often have primacy in terms of species richness and abundances in the surface layers of sediments in springs, streams, rivers and lakes, and are also preadapted to live in the interstices among sediment particles, even deep in the sediment layers beneath surface lentic and lotic waters []. Their attitude to dispersal is lower if compared to other small invertebrates [,], thus limiting their ability to move away from a disturbing factor, either physical (for example, an increase in water temperature) or chemical (the localised presence of one or more environmental pollutants), or both conjunctively. Thus, sub-lethal physical and chemical disturbances can potentially lead to local population declines [,].
The few applications of tracking analysis on freshwater inbenthic invertebrates can be explained by the numerous technical challenges that users must overcome to perform a correct video analysis, such as the preliminary assessment of light source and orientation, water quality and temperature, interactions between water and air, sediment size and sterilisation, arena shape and dimension and expensive video cameras. A clear understanding of how benthic/interstitial copepods move is, however, crucial because of their ecological importance in freshwater inbenthic environments [,]. Among the several variables to consider in behavioural studies, the recording time is the one most lacking standardisation, making any comparative analysis difficult if not unrealistic. In the trajectory analyses of copepods, the time span adopted in various experiments is extremely variable, ranging from a few seconds [,] to several minutes [,,,].
Given the emerging needs to evaluate the effects of environmental contaminants, even at sub-lethal concentrations which can alter the behaviour of benthic/interstitial species, affecting various aspects of their fitness, and considering that the experimental time commonly adopted is relevant (up to 5 min in []), this study aims to: (i) assess whether the recording time influences the analysis of a suite of parameters obtained by modelling the swimming behaviour of the harpacticoid copepod Bryocamptus pygmaeus based on automated tracking; (ii) evaluate if the recording time influences the outcome of the statistical analyses when hypotheses on the effect of a pollutant on the swimming behaviour are tested. The species B. pygmaeus has been selected as the test species for several reasons [] and references therein: (i) it is widely distributed in Europe; (ii) it is ubiquitous in interstitial freshwater environments; (iii) its feeding habits (detritus and microbial biofilm feeder) make this species a good candidate for laboratory culture.
The motion of B. pygmaeus can be reduced to a 2D process, but the realisation of experimental setups requires specific skills to reconstruct the proper background to let the copepods behave as naturally as possible. Pelagic copepods move in a real 3D environment, and the recording of their motion requires more complex video equipment []. The movement of inbenthic species is instead much less studied [,]. The two different environments can nonetheless benefit from the reciprocal integration, and future efforts should be addressed to the creation of common frameworks both in terms of laboratory setups and numerical approaches.
We focused on three of the most studied trajectory parameters—average swimming speed, percentage of activity and trajectory convex hull—to address the listed issues, using the video tracking data previously assembled by [], investigating the behavioural effects of a sub-lethal concentration of diclofenac (DCF) at different times of recording on the species B. pygmaeus.
2. Material and Methods
2.1. Data Set
The adults of the harpacticoid copepod B. pygmaeus were sorted from inbenthic samples collected in autumn 2020 at the Vera Spring, central Italy (coordinates: 42°22′21.42′′ N, 13°27′30.51′′ E; altitude 664 m asl) with a hand net (mesh size: 60 µm). The site is pristine and is one of the main basal springs of the Gran Sasso karst aquifer (Central Italy) []. In the laboratory (University of L’Aquila, Central Italy), living individuals of B. pygmaeus were sorted under a Leica M205 stereomicroscope at 12× magnification and stored in several Petri dishes filled with 20 mL filtered spring water and fine sterile quartz sediment (0.1 g, φ = 0.25 mm) (Mapei S.p.A.®, Milan, Italy). Due to the negative phototaxis displayed by the specimens during the sorting phase ([] and authors’ personal observation), vials were kept in total darkness in a thermostatic cabinet (Velp ScientificaTM FOC 120E Cooled Incubator, Usmate Velate (MB), Italy) at the sampling site mean temperature (8.0 ± 0.2 °C). Culture medium was renewed once a week, and the individuals were fed with particulate organic matter (POM) from the sampling site (46.75 g L−1 ± 15.12 g L−1). Before video recording, a gradual transition from culture medium to dilution water was accomplished in 48 h. The dilution water (pH = 7.6, electrical conductivity = 234 µS cm−1, total hardness = 90.71 mg L−1, CaSO4 2H2O = 60 mg L−1, MgSO4 = 60 mg L−1, NaHCO3 = 96 mg L−1, KCl = 4 mg L−1) was obtained by remineralising MILLIPORE® MILLI-Q® deionised water [,]. The 50 µg L−1 diclofenac (DCF) stock solution needed for the treatment individuals was prepared by dissolving 50 mg of salt in 1 L of reconstituted water; scalar dilutions of 100×, 10× and 1× were prepared to obtain the nominal concentration of 50 μg L−1 DFC, 10 min prior to the sub-lethal exposure test according to [].
2.2. Behavioural Test and Video Recording
A total of 80 adult individuals of B. pygmaeus was used for the tests (female length = 0.62 mm ± 0.07 mm; female width = 0.14 mm ± 0.02 mm; male length = 0.55 mm ± 0.07 mm; male width = 0.12 mm ± 0.02 mm). The experiment was performed in four independent runs within 21 days and the difference in age between individuals (21 days in the worst-case scenario) was considered negligible since B. pygmaeus can live for over 4 months in laboratory conditions []. The experiment was split into 4 runs to avoid unbalanced DCF exposure times between the first and the last recorded individuals. In each run, both for control and treatment, 10 adult individuals were tested, and the sex ratio was kept close to 1 in each run (40 individuals were recorded for the control group and 40 were recorded for the treatment group). Each run lasted 72 h and was performed in a 5 cm Petri dish containing 0.1 g of fine sterile quartz sediment and 10 mL of test solution. The entire experiment was performed in permanent darkness at 8.0 ± 0.2 °C. At the end of the 72 h, the individuals were individually transferred to a circular glass arena (diameter = 1.5 cm, height = 0.1 cm) filled with 150 µL of test medium without sediments. After transferring individuals, the arenas were placed again in the thermostatic cabinet for 60 min [,] in order to rebalance the temperature. For recording the swimming behaviour of B. pygmaeus, the arenas were one at a time placed above an infrared (IR) light panel (470 mm × 210 mm × 20 mm; wavelength = 850 nm) (Loligo Systems®, Viborg, Denmark) under a 30 fps infrared-sensitive digital camera (IDS camera, Loligo Systems®) mounted on a Leica M205 trinocular stereomicroscope (field of view = 1.6 cm) equipped with an aspherical lens to avoid postprocessing edge correction. The absence of light was necessary [] to avoid (a) DCF photodegradation; (b) additional stress caused by visible light on B. pygmaeus. The individuals were recorded at 8× magnification for 5 min and the temperature was kept stable with a lab-made temperature-controlled cooling system (temperature fluctuations in the range of ±0.5 °C). Live recordings of the animals were acquired at the same time of day and saved on a solid-state disc (SSD) using the uEye Cockpit software (IDS Imaging Development Systems GmbH®, Obersulm, Germany).
2.3. Video Processing and Trajectory Analysis
The swimming behaviour video for each adult individual was imported into the open-source software Openshot video editor 2.5.1 to cut and export video portions relative to the first 60 (Factor 1: level A), 120 (Factor 1: level B), 180 (Factor 1: level C), 240 (Factor 1: level D) and 300 (Factor 1: level E) seconds, respectively, of the recorded trajectory. After, each video (400 in total at the end of the video editing procedure; 5 videos × 40 individuals for each treatment condition) was analysed in LoliTrack v.5 (Loligo Systems®) to obtain the frame-by-frame animal centroid position (x,y). The xlsx outputs of the coordinates were converted into csv and analysed in R Studio ver. 4.0.3 [] using the package “trajr” [].
For each of the 400 digitalised trajectories, we calculated three parameters:
(i) Average speed (AS) calculated as in Equation (1):
where is the instantaneous speed expressed in mm s−1 of the i-th pair of frames; n is the total number of pairs of frames.
(ii) Percentage of activity (PA) calculated as in Equation (2):
where is the sum of the frames of animal activity. The animal was considered active when its instantaneous speed in the i-th frame was ≥0.15 mm s−1 [].
(iii) Trajectory convex hull (CH) defined as the minimum area of the convex polygon containing all the coordinates of the trajectory expressed in mm2 (for the CH mathematical computation, see [] and references therein).
A scheme of the experimental design from the video recording to the trajectory analysis is presented in Figure 1.

Figure 1.
Graphical representation of the experimental design: from the trajectory recording to the computation of the behavioural parameters. A = one minute of recording (1800 video frames); B = two minutes of recording (3600 video frames); C = three minutes of recording (5400 video frames); D = four minutes of recording (7200 video frames); E = five minutes of recording (9000 video frames) for both controls and treatments.
2.4. Statistical Analysis
Differences between levels of Factor 1 (Time: A, B, C, D, E), Factor 2 (Condition: Control and Treatment) and Factor 3 (Sex: Male and Female) were tested with a three-way PERMANOVA with interaction (permutations = 9999, α = 0.05, input distances = Euclidean) []. To stabilise the variance of the variables before the analysis, a square root transformation for AS and CH values was applied, while an arcsine transformation was applied for PA values. Since the PERMANOVA outcome is sensitive to differences in multivariate dispersion among groups (Figure S1), we tested the dispersion effect of each factor with a permutational Levene’s test centred on the medians (PERMDISP routine) (α = 0.05, permutations = 9999) [,]. When the null hypothesis was rejected by PERMANOVA for Factor 1, pairwise comparisons among all possible pairs of levels of Factor 1 were carried out with permutational t-tests (α = 0.05).
3. Results
The values of each trajectory variable (Figure S2, Tables S1–S3) are shown in the statistical summary in Table 1. Variables are expressed as mean ± SD for each possible combination of the factors’ levels.

Table 1.
Statistical summary of the analysed trajectory parameters (mean ± SD; n = 20). AS = average speed; PA = percentage of activity; CH = trajectory convex hull area. A = 1 min of recording, B = 2 min of recording, C = 3 min of recording, D = 4 min of recording, E = 5 min of recording. CON = control, TRE = treatment. F = female; M = male.
The PERMDISP analysis highlighted a significant inequality of variances for Factor 3 (Sex) for the three parameters analysed (AS, PA, CH). In addition, for CH the PERMDISP test also rejected the null hypothesis for Factor 1 (Time) (Table 2).

Table 2.
PERMDISP analysis results for each factor of the studied trajectory parameters. Significant results in bold.
For AS and PA values, the PERMANOVA analysis rejected the null hypothesis for Factor 2 (Condition) and Factor 3 (Sex), highlighting significant differences between males and females and between controls and DCF-treated individuals (Table 3; Figure 2). The AS and PA measurements of B. pygmaeus were not influenced by the recording time since no significant differences were detected by the PERMANOVA analysis for Factor 1 (Time) and for all the interactions between factors (Table 3; Figure 2). The PERMANOVA test for CH values rejected the null hypothesis for Factor 2 (Condition), Factor 3 (Sex) and for their interaction (Table 3; Figure 3).

Table 3.
Three-way interaction PERMANOVA summary for the three studied trajectory parameters (9999 permutations; α = 0.05, input distance matrix = Euclidean); significant differences in bold.

Figure 2.
Bar plots of the studied trajectory parameters (mean ± SD; n = 20). M: males; F: females. Dark grey: controls; light grey: treatments. A = one minute of recording; B = two minutes of recording; C = three minutes of recording; D = four minutes of recording; E = five minutes of recording. * = significant differences for Factor 1 (Time); ■ = significant differences for Factor 2 (Condition); ▲ = significant differences for Factor 3 (Sex).

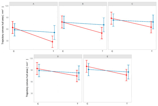
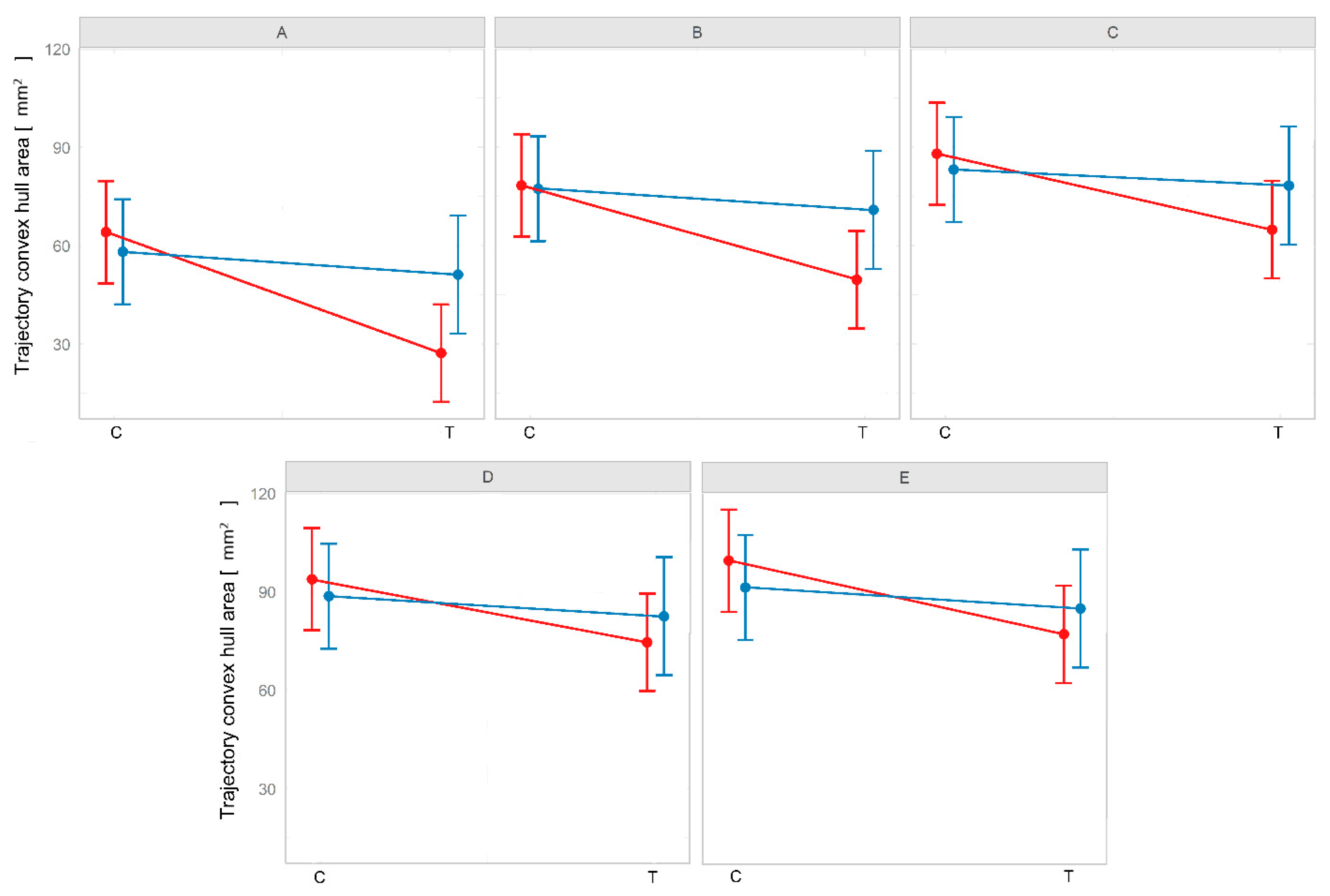
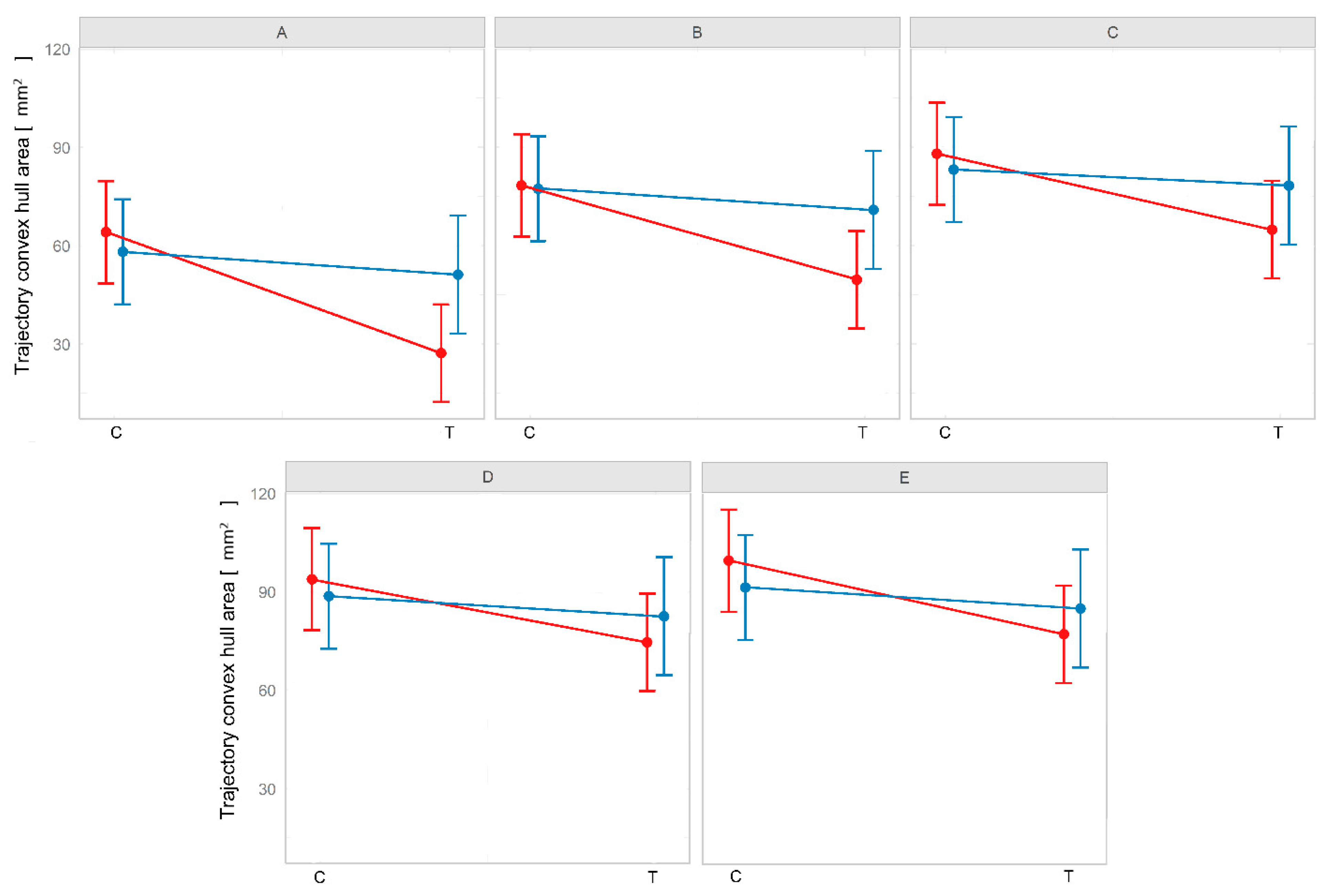
Figure 3.
CH value interaction plot for each level of Factor 1 (Time, (A) = one minute of recording; (B) = two minutes of recording; (C) = three minutes of recording; (D) = four minutes of recording; (E) = five minutes of recording. Red = females; Blue = males (mean ± SD; n = 20).
The post hoc permutational t-test for CH (Figure 2; Table 4) indicated that PERMANOVA significance is linked to the significant differences between one minute of recording (Factor 1, level A) and the other levels (Factor 1, levels B, C, D and E). The CH post hoc analysis rejected the null hypothesis for the difference between 2 and 5 min of recording (namely, Factor 1, level B and Factor 1, level E) and for 2 and 4 min of recording (namely, Factor 1, level B and Factor 1, level D) (Figure 2; Table 4). These results indicated that after 3 min of recording no sensible differences emerge in CH calculation.

Table 4.
Factor 1 (Time) pairwise permutational t-test outcome for the trajectory convex hull area. A = one minute of recording; B = two minutes of recording; C = three minutes of recording; D = four minutes of recording; E = five minutes of recording. Statistically significant results in bold.
4. Discussion
Swimming behavioural analysis is being largely applied in modern aquatic ecotoxicology [,]. The growing interest in behavioural video tracking is attributable to the relevance of swimming behavioural changes as an optimal sub-lethal endpoint [], to technological advances in the past decade and to the easy accessibility of computational software []. The present work represents a first step towards understanding how the observation time can influence the analysis of the main behavioural parameters defining the swimming patterns of freshwater inbenthic microcrustaceans used to assess sub-lethal effects of pollutants. Indeed, the timing of recording may affect the results obtained when analysing movement between sexes, or among different developmental stages (e.g., juveniles versus adults) belonging to the same species.
We selected as target variables those most studied in video tracking behavioural aquatic research: the average swimming speed (AS), the percentage of activity (PA) and the area of the trajectory convex hull (CH). At first glance, AS and PA could appear as a redundant way to measure the same aspect of the swimming behaviour. Despite the AS calculation being influenced by the inactivity frames of the individuals, a decrease in AS can occur even if the overall PA remains the same between controls and treatments (i.e., the animal exhibits lower instantaneous speed values without an increase in the total inactive frames []). Hence, accounting both for AS and PA is a reliable way to have a clear and complete scenario about the dynamics shaping the overall swimming behaviour.
The AS and the PA have been proved to be the most robust and explanatory traits of invertebrate swimming behaviour to assess sub-lethal effects of toxic compounds or physical changes (e.g., increasing water temperature) in the environment where a species lives [,,,,,,,,,]. Swimming speed and swimming activity are fundamental behavioural traits which may affect individual interactions at population and community levels (e.g., conspecific encounter, predation avoidance, individual feeding rate, escape behaviour).
The convex hull area offers a simplistic measure for the extent to which the members of a particular species aggregate or spread out in space at a particular time []. The CH estimation is an important swimming behavioural trait that can be used as a proxy to estimate different animal characteristics such as sheltering behaviour [], thigmotaxis [,], phototaxis [], space usage and overall path tortuosity [,].
The lack of standardisation makes it difficult to validate the results of different studies obtained with different experimental designs []. The time span during which the animal behaviour is recorded (often referred as recording time) is a key factor in video tracking analysis. Faimali et al. [] highlighted the extreme variability in the recording time adopted in different experiments performed with marine invertebrate species. For copepods, the recording times range from seconds [] to several hours [,]. The importance of the recording time and its influence on the outcome of behavioural analyses by video recording have already been addressed by Kane et al. [] regarding target fish species. Our findings suggest that the recording time does not play a major role in altering the statistical power of the tests when testing differences in the base parameters between control and treatment individuals (p-value for Condition was <0.05 for each swimming parameter), or between males and females (p-value for Sex was <0.05 for each swimming parameter). Nevertheless, the PERMDISP results for the AS, PA and CH showed a dispersion effect for Factor 2 (Condition). This outcome could be explained by the existence of an intrinsic sexual behavioural difference, resulting in the heterogeneity of the variable variance [,]. Even if the heteroscedasticity of our data did not play a key role in highlighting a sex-dependent effect of DCF on B. pygmaeus individuals (p-value for the interaction between Condition and Sex > 0.05 for each swimming parameter), we cannot exclude that a sex-dependent response could emerge when testing sub-lethal effects of toxic compounds [,]. Conceivably, the null hypothesis for Factor 1 (Time) was only rejected for the CH since both controls and treatments showed the tendency to explore and occupy larger areas in direct proportion with the recording time, making it difficult to estimate the true “base level” of this parameter for B. pygmaeus both in control and treatment conditions. Nonetheless, the post hoc permutational t-test revealed that no significant differences are observable after three minutes of recording; hence, this limit could suffice to obtain statistically consistent results. Our findings are in line with the results obtained from mouse behavioural analysis [,] for which recording times of 3–5 min have been found sufficient to produce accurate and consistent results.
Pelagic copepods tend to adapt their space usage to the size of the testing vessels []. In our study, focusing on an inbenthic species, this process occurred and reached a plateau in three minutes for both treatment and control individuals. Since it has been shown that the arena size under the same recording time can produce different results in crustacean amphipods [] and branchiopods [], we would highlight that a key role could be played by the ratio between recording time and the area of the arena when investigating sub-lethal effects of pollutants on the explorative ability of the animal. In our case, consistent results for the CH in terms of null hypothesis rejection could be affected by the ratio between the recording time and the arena surface (≤102.85 s cm−2). However, this value could change greatly depending on the intrinsic characteristic of the studied species (e.g., maximum velocity, dispersion ability, presence/absence of prey and predators in the arena). If the abovementioned ratio is in favour of time (e.g., small arenas or long recording times), it is possible that pollutant-exposed individuals may be able to explore the overall available surface like the controls even when the toxic substance has adverse effects. This condition explains the lower statistical power of the CH between controls and treatments despite the null hypothesis being rejected for the remaining swimming variables [].
5. Conclusions
This contribution represents the first step towards understanding how the recording time may influence swimming behavioural studies in inbenthic/interstitial copepods, consequently determining changes in the results obtained when the swimming behaviour is investigated in both natural and polluted conditions.
If the test protocol is of primary importance to ensure the reproducibility of the method adopted, the time factor in the movement analysis is not far behind. Indeed, some motion attributes can remain relatively unchanged over time, others are much more time dependent. The analyses presented in this work indicate that recording sessions lasting 3 min each provide robust results, while shorter or longer sessions may introduce artifacts or cause misinterpretation of the movement. However, further investigations are needed to disentangle the role of concurrent factors, such as the behavioural analysis of multiple individuals simultaneously, whether they are of the same or opposite sex and the implications on sexual behaviour, competition for resources and predation.
Supplementary Materials
The following supporting information can be downloaded at: https://www.mdpi.com/article/10.3390/w14131996/s1, Figure S1: Schematic explanation of PERMANOVA and PERMDISP routine from PERMANOVA + manual chapter 2 (Anderson et al., 2008) (Schematic diagram showing two groups of samples in a bivariate system (two dimensions) that (a) do not differ in either location or dispersion, (b) differ only in their location in multivariate space, (c) differ only in their relative disperesions and (d) differ in both their location and in their relative dispersion); Figure S2: Trajectories examples for five mnutes of recording (A = Control Male, B = Control female, C = treatment Male, D = Treat-ment female); Table S1: Individuals’ swimming speeds; Table S2: Individuals’ percentage of activity; Table S3: Individuals’ trajectory convex hull.
Author Contributions
Conceptualisation and methodology: M.D.C., D.M.P.G., T.D.L. and M.U.; data analysis: M.D.C., T.D.L. and I.V.; data collection: M.D.C., B.F. and A.T.D.C.; validation: M.U., D.M.P.G. and B.F.; writing—review and editing: D.M.P.G., B.F., T.D.L. and M.D.C. All authors have read and agreed to the published version of the manuscript.
Funding
This research was funded by the European Community (LIFE12 BIO/IT/000231 AQUALIFE).
Data Availability Statement
The data presented in this study are available in the Supplementary Materials.
Acknowledgments
We would like to take this opportunity to acknowledge the time and effort devoted by the four reviewers to improving the quality of the published work.
Conflicts of Interest
The authors declare no conflict of interest.
References
- Henry, J.; Rodriguez, A.; Wlodkowic, D. Impact of Digital Video Analytics on Accuracy of Chemobehavioural Phenotyping in Aquatic Toxicology. PeerJ 2019, 7, e7367. [Google Scholar] [CrossRef] [PubMed] [Green Version]
- Bownik, A. Daphnia swimming behaviour as a biomarker in toxicity assessment: A review. Sci. Total Environ. 2017, 601–602, 194–205. [Google Scholar] [CrossRef] [PubMed]
- Di Lorenzo, T.; Di Cicco, M.; Di Censo, D.; Galante, A.; Boscaro, F.; Messana, G.; Galassi, D.M.P. Environmental Risk Assessment of Propranolol in the Groundwater Bodies of Europe. Environ. Pollut. 2019, 255, 113189. [Google Scholar] [CrossRef]
- Di Cicco, M.; Di Lorenzo, T.; Fiasca, B.; Ruggieri, F.; Cimini, A.; Panella, G.; Benedetti, E.; Galassi, D.M.P. Effects of Diclofenac on the Swimming Behavior and Antioxidant Enzyme Activities of the Freshwater Interstitial Crustacean Bryocamptus pygmaeus (Crustacea, Harpacticoida). Sci. Total Environ. 2021, 799, 149461. [Google Scholar] [CrossRef]
- Briffa, S.M.; Sullivan, J.; Siupa, A.; Carnell-Morris, P.; Carboni, M.; Jurkschat, K.; Peters, R.J.B.; Schultz, C.; Seol, K.H.; Kwon, S.-J.; et al. Nanoparticle Tracking Analysis of Gold Nanoparticles in Aqueous Media through an Inter-Laboratory Comparison. J. Vis. Exp. 2020, e61741. [Google Scholar] [CrossRef]
- Shadrin, N.; Litvinchuk, L. Impact of Increased Mineral Particle Concentration on the Behavior, Suspension-Feeding and Reproduction of Acartia clausi (Copepoda). In The Comparative Roles of Suspension-Feeders in Ecosystems; Dame, R.F., Olenin, S., Eds.; Springer: Dordrecht, The Netherlands, 2005. [Google Scholar]
- Anufriieva, E.V.; Shadrin, N.V. The swimming behavior of Artemia (Anostraca): New experimental and observational data. Zoology 2014, 117, 415–421. [Google Scholar] [CrossRef]
- Seuront, L. Effect of Salinity on the Swimming Behaviour of the Estuarine Calanoid Copepod Eurytemora affinis. J. Plankton Res. 2006, 28, 805–813. [Google Scholar] [CrossRef] [Green Version]
- Sidler, D.; Michalec, F.-G.; Holzner, M. Behavioral Response of the Freshwater Cyclopoid Copepod Eucyclops serrulatus to Hydropeaking and Thermopeaking in a Laboratory Flume. J. Freshw. Ecol. 2018, 33, 115–127. [Google Scholar] [CrossRef] [Green Version]
- Panadeiro, V.; Rodriguez, A.; Henry, J.; Wlodkowic, D.; Andersson, M. A Review of 28 Free Animal-Tracking Software Applications: Current Features and Limitations. Lab. Anim. 2021, 50, 246–254. [Google Scholar] [CrossRef]
- Budick, S.A.; O’Malley, D.M. Locomotor Repertoire of the Larval Zebrafish: Swimming, Turning and Prey Capture. J. Exp. Biol. 2000, 203, 2565–2579. [Google Scholar] [CrossRef]
- Burgess, H.A.; Granato, M. Modulation of Locomotor Activity in Larval Zebrafish during Light Adaptation. J. Exp. Biol. 2007, 210, 2526–2539. [Google Scholar] [CrossRef] [PubMed] [Green Version]
- Mwaffo, V.; Porfiri, M. Turning Rate Dynamics of Zebrafish Exposed to Ethanol. Int. J. Bifurc. Chaos 2015, 25, 1540006. [Google Scholar] [CrossRef]
- Dunn, T.W.; Mu, Y.; Narayan, S.; Randlett, O.; Naumann, E.A.; Yang, C.-T.; Schier, A.F.; Freeman, J.; Engert, F.; Ahrens, M.B. Brain-Wide Mapping of Neural Activity Controlling Zebrafish Exploratory Locomotion. eLife 2016, 5, e12741. [Google Scholar] [CrossRef] [PubMed]
- Audira, G.; Sampurna, B.P.; Juniardi, S.; Liang, S.-T.; Lai, Y.-H.; Hsiao, C.-D. A Simple Setup to Perform 3D Locomotion Tracking in Zebrafish by Using a Single Camera. Inventions 2018, 3, 11. [Google Scholar] [CrossRef] [Green Version]
- Wang, X.; Zhang, J.-B.; He, K.-J.; Wang, F.; Liu, C.-F. Advances of Zebrafish in Neurodegenerative Disease: From Models to Drug Discovery. Front. Pharmacol. 2021, 12, 713963. [Google Scholar] [CrossRef]
- Barrozo, E.R.; Fowler, D.A.; Beckman, M.L. Exposure to D2-like Dopamine Receptor Agonists Inhibits Swimming in Daphnia magna. Pharmacol. Biochem. Behav. 2015, 137, 101–109. [Google Scholar] [CrossRef]
- Duong, T.-B.; Odhiambo, B.K.; Oldham, D.; Hoffman, M.; Frankel, T.E. Acute Exposure to an Organochlorine Pesticide Alters Locomotor Behavior and Cardiac Function in the Freshwater Invertebrate Daphnia magna. Mar. Freshw. Behav. Physiol. 2021, 54, 51–64. [Google Scholar] [CrossRef]
- Bownik, A.; Jasieczek, M.; Kosztowny, E. Ketoprofen Affects Swimming Behavior and Impairs Physiological Endpoints of Daphnia magna. Sci. Total Environ. 2020, 725, 138312. [Google Scholar] [CrossRef]
- Thorp, J.H.; Rogers, D.C.; Covich, A.P. Freshwater Invertebrates, 4th ed.; Elsevier Academic Press: Amsterdam, The Netherlands, 2015. [Google Scholar]
- Schratzberger, M.; Ingels, J. Meiofauna Matters: The Roles of Meiofauna in Benthic Ecosystems. J. Exp. Mar. Biol. Ecol. 2018, 502, 12–25. [Google Scholar] [CrossRef]
- Williams, R.; Conway, D.V.P.; Hunt, H.G. The Role of Copepods in the Planktonic Ecosystems of Mixed and Stratified Waters of the European Shelf Seas. Hydrobiologia 1994, 292, 521–530. [Google Scholar] [CrossRef]
- Mauchline, J. The Biology of Calanoid Copepods; Advances in Marine Biology; Academic Press: San Diego, CA, USA, 1998. [Google Scholar]
- Turner, J.T. The Importance of Small Planktonic Copepods and Their Roles in Pelagic Marine Food Webs. Zool. Stud. 2004, 43, 255–266. [Google Scholar]
- Brun, P.; Payne, M.R.; Kiørboe, T. Trait Biogeography of Marine Copepods—An Analysis across Scales. Ecol. Lett. 2016, 19, 1403–1413. [Google Scholar] [CrossRef] [Green Version]
- Uttieri, M. Trends in Copepod Studies—Distribution, Biology and Ecology; Nova Science Publishers Inc.: New York, NY, USA, 2018; p. 326. [Google Scholar]
- Thompson, R.M.; Dunne, J.A.; Woodward, G. Freshwater Food Webs: Towards a More Fundamental Understanding of Biodiversity and Community Dynamics. Freshw. Biol. 2012, 57, 1329–1341. [Google Scholar] [CrossRef]
- Bellamy, A.R.; Bauer, J.E. Nutritional Support of Inland Aquatic Food Webs by Aged Carbon and Organic Matter. Limnol. Oceanogr. Lett. 2017, 2, 131–149. [Google Scholar] [CrossRef] [Green Version]
- Galassi, D.M.P.; Huys, R.; Reid, J.W. Diversity, Ecology and Evolution of Groundwater Copepods. Freshw. Biol. 2009, 54, 691–708. [Google Scholar] [CrossRef] [Green Version]
- Iannella, M.; Fiasca, B.; Di Lorenzo, T.; Biondi, M.; Di Cicco, M.; Galassi, D.M.P. Jumping into the Grids: Mapping Biodiversity Hotspots in Groundwater Habitat Types across Europe. Ecography 2020, 43, 1825–1841. [Google Scholar] [CrossRef]
- Iannella, M.; Fiasca, B.; Di Lorenzo, T.; Biondi, M.; Di Cicco, M.; Galassi, D.M.P. Spatial Distribution of Stygobitic Crustacean Harpacticoids at the Boundaries of Groundwater Habitat Types in Europe. Sci. Rep. 2020, 10, 19043. [Google Scholar] [CrossRef]
- Dole-Olivier, M.-J.; Galassi, D.M.P.; Marmonier, P.; Creuzé des Châtelliers, M. The Biology and Ecology of Lotic Microcrustaceans. Freshw. Biol. 2000, 44, 63–91. [Google Scholar] [CrossRef]
- Uttieri, M.; Paffenhöfer, G.-A.; Mazzocchi, M.G. Prey Capture in Clausocalanus furcatus (Copepoda: Calanoida). The Role of Swimming Behaviour. Mar. Biol. 2008, 153, 925–935. [Google Scholar] [CrossRef]
- Van Duren, L.A.; Videler, J.J. Swimming Behaviour of Developmental Stages of the Calanoid Copepod Temora longicornis at Different Food Concentrations. Mar. Ecol. Prog. Ser. 1995, 126, 153–161. [Google Scholar] [CrossRef]
- Kiørboe, T. Optimal Swimming Strategies in Mate-Searching Pelagic Copepods. Oecologia 2008, 155, 179–192. [Google Scholar] [CrossRef] [PubMed]
- Chae, J.; Nishida, S. Swimming Behaviour and Photoresponses of the Iridescent Copepods, Sapphirina gastrica and Sapphirina opalina (Copepoda: Poecilostomatoida). J. Mar. Biol. Assoc. UK 2004, 84, 727–731. [Google Scholar] [CrossRef]
- Uttieri, M.; Nihongi, A.; Mazzocchi, M.G.; Strickler, J.R.; Zambianchi, E. Pre-Copulatory Swimming Behaviour of Leptodiaptomus ashlandi (Copepoda: Calanoida): A Fractal Approach. J. Plankton Res. 2007, 29, 7–26. [Google Scholar] [CrossRef] [Green Version]
- Di Sabatino, A.; Coscieme, L.; Miccoli, F.P.; Cristiano, G. Benthic Invertebrate Assemblages and Leaf-Litter Breakdown along the Eucrenal–Hypocrenal Ecotone of a Rheocrene Spring in Central Italy: Are There Spatial and Seasonal Differences? Ecohydrology 2021, 14, e2289. [Google Scholar] [CrossRef]
- Di Lorenzo, T.; Cifoni, M.; Baratti, M.; Pieraccini, G.; Di Marzio, W.D.; Galassi, D.M.P. Four Scenarios of Environmental Risk of Diclofenac in European Groundwater Ecosystems. Environ. Pollut. 2021, 287, 117315. [Google Scholar] [CrossRef] [PubMed]
- Di Lorenzo, T.; Galassi, D.M. Effect of Temperature Rising on the Stygobitic Crustacean Species Diacyclops belgicus: Does Global Warming Affect Groundwater Populations? Water 2017, 9, 951. [Google Scholar] [CrossRef] [Green Version]
- R Developmental Core Team. R: A Language and Environment for Statistical Computing; R Foundation for Statistical Computing: Vienna, Austria, 2020. [Google Scholar]
- McLean, D.J.; Skowron Volponi, M.A. Trajr: An R Package for Characterisation of Animal Trajectories. Ethology 2018, 124, 440–448. [Google Scholar] [CrossRef] [Green Version]
- Anderson, M. A New Method for Non-Parametric Multivariate Analysis of Variance. Aust. J. Ecol. 2001, 26, 2–46. [Google Scholar]
- Carroll, R.J.; Schneider, H. A Note on Levene’s Tests for Equality of Variances. Stat. Probab. Lett. 1985, 3, 191–194. [Google Scholar] [CrossRef]
- Anderson, M.J. Distance-Based Tests for Homogeneity of Multivariate Dispersions. Biometrics 2006, 62, 245–253. [Google Scholar] [CrossRef]
- Melvin, S.D.; Wilson, S.P. The Utility of Behavioral Studies for Aquatic Toxicology Testing: A Meta-Analysis. Chemosphere 2013, 93, 2217–2223. [Google Scholar] [CrossRef] [PubMed]
- Ford, A.T.; Ågerstrand, M.; Brooks, B.W.; Allen, J.; Bertram, M.G.; Brodin, T.; Dang, Z.; Duquesne, S.; Sahm, R.; Hoffmann, F.; et al. The Role of Behavioral Ecotoxicology in Environmental Protection. Environ. Sci. Technol. 2021, 55, 5620–5628. [Google Scholar] [CrossRef] [PubMed]
- Seuront, L. When Complexity Rimes with Sanity: Loss of Fractal and Multifractal Behavioural Complexity as an Indicator of Sublethal Contaminations in Zooplankton. In Marine Productivity: Perturbations and Resilience of Socio-Ecosystems; Springer: Cham, Switzerland, 2015; pp. 129–137. [Google Scholar]
- Melvin, S.D.; Petit, M.A.; Duvignacq, M.C.; Sumpter, J.P. Towards Improved Behavioural Testing in Aquatic Toxicology: Acclimation and Observation Times Are Important Factors When Designing Behavioural Tests with Fish. Chemosphere 2017, 180, 430–436. [Google Scholar] [CrossRef] [PubMed] [Green Version]
- Amsler, M.O.; Amsler, C.D.; Rittschof, D.; Becerro, M.A.; Mcclintock, J.B. The Use of Computer-Assisted Motion Analysis for Quantitative Studies of the Behaviour of Barnacle (Balanus amphitrite) Larvae. Mar. Freshw. Behav. Physiol. 2006, 39, 259–268. [Google Scholar] [CrossRef]
- Gerhardt, A. Aquatic Behavioral Ecotoxicology—Prospects and Limitations. Hum. Ecol. Risk Assess. Int. J. 2007, 13, 481–491. [Google Scholar] [CrossRef]
- Venkateswara Rao, J.; Kavitha, P.; Jakka, N.M.; Sridhar, V.; Usman, P.K. Toxicity of Organophosphates on Morphology and Locomotor Behavior in Brine Shrimp, Artemia salina. Arch. Environ. Contam. Toxicol. 2007, 53, 227–232. [Google Scholar] [CrossRef]
- Venkateswara Rao, J.; Begum, G.; Pallela, R.; Usman, P.K.; Rao, R.N. Changes in Behavior and Brain Acetylcholinesterase Activity in Mosquito Fish, Gambusia affinis in Response to the Sub-Lethal Exposure to Chlorpyrifos. Int. J. Environ. Res. Public Health 2005, 2, 478–483. [Google Scholar]
- Bradley, C.J.; Strickler, J.R.; Buskey, E.J.; Lenz, P.H. Swimming and Escape Behavior in Two Species of Calanoid Copepods from Nauplius to Adult. J. Plankton Res. 2013, 35, 49–65. [Google Scholar] [CrossRef] [Green Version]
- Dur, G.; Souissi, S.; Schmitt, F.; Michalec, F.-G.; Mahjoub, M.-S.; Hwang, J.-S. Effects of Animal Density, Volume, and the Use of 2D/3D Recording on Behavioral Studies of Copepods. Hydrobiologia 2011, 666, 197–214. [Google Scholar] [CrossRef]
- McAllen, R.; Taylor, A. The Effect of Salinity Change on the Oxygen Consumption and Swimming Activity of the High-Shore Rockpool Copepod Tigriopus brevicornis. J. Exp. Mar. Biol. Ecol. 2001, 263, 227–240. [Google Scholar] [CrossRef]
- Worton, B.J. A Convex Hull-Based Estimator of Home-Range Size. Biometrics 1995, 51, 1206–1215. [Google Scholar] [CrossRef]
- Baiamonte, M.; Parker, M.O.; Vinson, G.P.; Brennan, C.H. Sustained Effects of Developmental Exposure to Ethanol on Zebrafish Anxiety-Like Behaviour. PLoS ONE 2016, 11, e0148425. [Google Scholar] [CrossRef]
- Schnörr, S.J.; Steenbergen, P.J.; Richardson, M.K.; Champagne, D.L. Measuring Thigmotaxis in Larval Zebrafish. Behav. Brain Res. 2012, 228, 367–374. [Google Scholar] [CrossRef] [PubMed]
- Kohler, S.A.; Parker, M.O.; Ford, A.T. Shape and Size of the Arenas Affect Amphipod Behaviours: Implications for Ecotoxicology. PeerJ 2018, 6, e5271. [Google Scholar] [CrossRef]
- Loretto, D.; Vieira, M.V. The Effects of Reproductive and Climatic Seasons on Movements in the Black-Eared Opossum (Didelphis aurita Wied-Neuwied, 1826). J. Mammal. 2005, 86, 287–293. [Google Scholar] [CrossRef]
- Almeida, P.J.; Vieira, M.V.; Kajin, M.; Forero-Medina, G.; Cerqueira, R. Indices of Movement Behaviour: Conceptual Background, Effects of Scale and Location Errors. Zool. Curitiba 2010, 27, 674–680. [Google Scholar] [CrossRef]
- Sumpter, J.P.; Donnachie, R.L.; Johnson, A.C. The Apparently Very Variable Potency of the Anti-Depressant Fluoxetine. Aquat. Environ. 2014, 151, 57–60. [Google Scholar] [CrossRef]
- Faimali, M.; Gambardella, C.; Costa, E.; Piazza, V.; Morgana, S.; Estévez-Calvar, N.; Garaventa, F. Old Model Organisms and New Behavioral End-Points: Swimming Alteration as an Ecotoxicological Response. Blue Growth Mar. Environ. Saf. 2017, 128, 36–45. [Google Scholar]
- Goetze, E.; Kiørboe, T. Heterospecific Mating and Species Recognition in the Planktonic Marine Copepods Temora stylifera and T. longicornis. Mar. Ecol. Prog. Ser. 2008, 370, 185–198. [Google Scholar] [CrossRef]
- Kane, A.S.; Salierno, J.D.; Brewer, S.K. Fish Models in Behavioral Toxicology: Automated Techniques, Updates and Perspectives. Methods Aquat. Toxicol. 2005, 2, 559–590. [Google Scholar]
- Ayari, A.; Jelassi, R.; Chedliya, G.; Nasri-Ammar, K. Effect of Age, Sex and Mutual Interaction on the Locomotor Behavior of Orchestia gammarellus in the Supralittoral Zone of Ghar El Melh Lagoon (Bizerte, Tunisia). Biol. Rhythm Res. 2015, 46, 1–18. [Google Scholar] [CrossRef]
- Cherry, T.-R.; Kohler, S.A.; Ford, A.T. Sex Specific Differences Recorded in the Behavior of an Amphipod: Implications for Behavioral Toxicology. Front. Mar. Sci. 2020, 7, 370. [Google Scholar] [CrossRef]
- Williams, K.L.; Navins, K.C.; Lewis, S.E. Behavioral Responses to Predation Risk in Brooding Female Amphipods (Gammarus pseudolimnaeus). J. Freshw. Ecol. 2016, 31, 571–581. [Google Scholar] [CrossRef] [Green Version]
- Rao, S.R.; Olechnowicz, S.; Krätschmer, P.; Jepson, J.; Edwards, C.; Edwards, J. Small Animal Video Tracking for Activity and Path Analysis Using a Novel Open-Source Multi-Platform Application (AnimApp). Sci. Rep. 2019, 9, 12343. [Google Scholar] [CrossRef] [PubMed]
- Walsh, R.N.; Cummins, R.A. The Open-Field Test: A Critical Review. Psychol. Bull. 1976, 83, 482–504. [Google Scholar] [CrossRef]
- Kohler, S.A.; Parker, M.O.; Ford, A.T. High-Throughput Screening of Psychotropic Compounds: Impacts on Swimming Behaviours in Artemia franciscana. Toxics 2021, 9, 64. [Google Scholar] [CrossRef]
Publisher’s Note: MDPI stays neutral with regard to jurisdictional claims in published maps and institutional affiliations. |
© 2022 by the authors. Licensee MDPI, Basel, Switzerland. This article is an open access article distributed under the terms and conditions of the Creative Commons Attribution (CC BY) license (https://creativecommons.org/licenses/by/4.0/).