Databionic Swarm Intelligence to Screen Wastewater Recycling Quality with Factorial and Hyper-Parameter Non-Linear Orthogonal Mini-Datasets
Abstract
:1. Introduction
- The approach attempts to nest the validated cluster solution to the individual factorial recipe patterns.
- The unsupervised dimension reduction in the examined multiple aquametric indices is independent of individual index performance goals.
- Self-organizing and emergent influences appear first from intermingling and labeling multiple characteristic responses.
- Matching validated clusters to factorial recipe patterns circumvents the need to gauge against a statistical reference law.
- The technique is operable on saturated–unreplicated multi-response multi-factorial mini-datasets, in spite of standard aqua-qualimetrical treatments failing to return a significance estimate.
- Easy-to-follow and trusted analysis steps are used because openly-sourced visual tools and state-of-the-art artificial intelligence R-packages are deployed.
2. Materials and Methods
2.1. Double Orthogonal Screening for Vital Factors and Solver Hyper-Parameters
2.2. The Databionic Swarm Intelligence Classifier
2.3. The Water Quality Case Study
2.4. The Methodological Outline
- (1)
- Determine the relevant water quality characteristics that represent the wastewater recycling efficiency performance with respect to the specific agricultural application.
- (2)
- Select a group of ED process controlling factors.
- (3)
- Determine the minimum group of factor settings that covers the operational range and allows for the detection of potential characteristic non-linearities.
- (4)
- Program lean trials by implementing the proper OA-sampling scheme that accommodates non-linear trend detection.
- (5)
- Execute the prescribed OA runs (step 4), and gather the multi-characteristic mini-dataset.
- (6)
- (7)
- Determine the number of candidate (mini-dataset) clusters by pre-screening the available distance measures using the Shepard plot trends and the Kruskal stress estimations.
- (8)
- Shortlist the distance measures from step 7 if there is evidence that their dissimilarity estimations are not as competitive as the alternative candidate models.
- (9)
- (10)
- Assess the best partitioning performance of the clustered mini-dataset against the original controlling factorial OA pre-labeled settings (individual testing of the Xj vectors and the final cluster identification vector Id).
- (11)
- Obtain the cluster dendrogram and the solver-labelled clusters of the mini-OA-dataset.
- (12)
- (13)
- Provide a hyper-parametrized hierarchy for the profiled factorial landscape.
2.5. The Computational Aids
3. Results
3.1. Graphical Pre-Screening of the Three Water Quality Indices
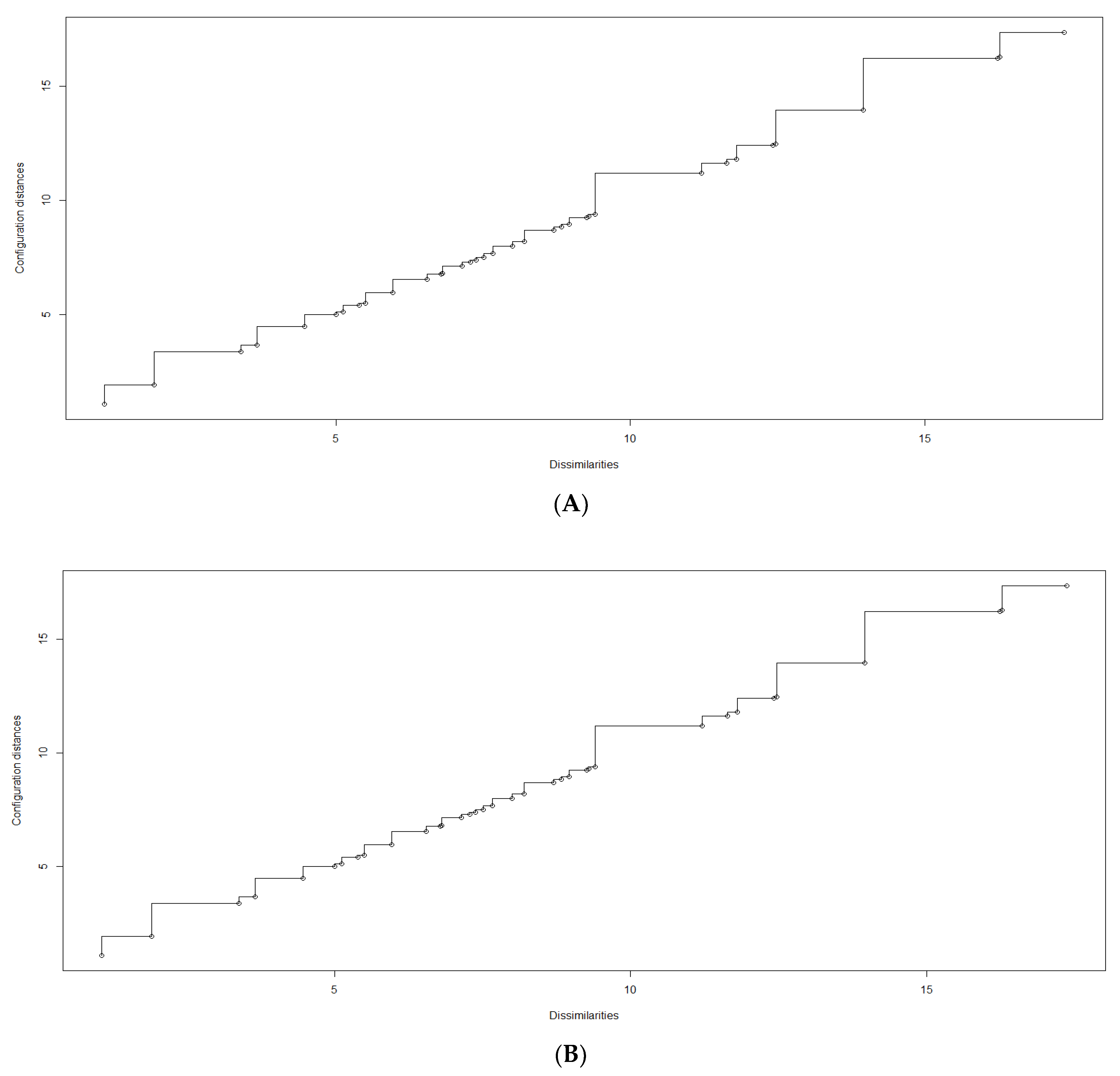
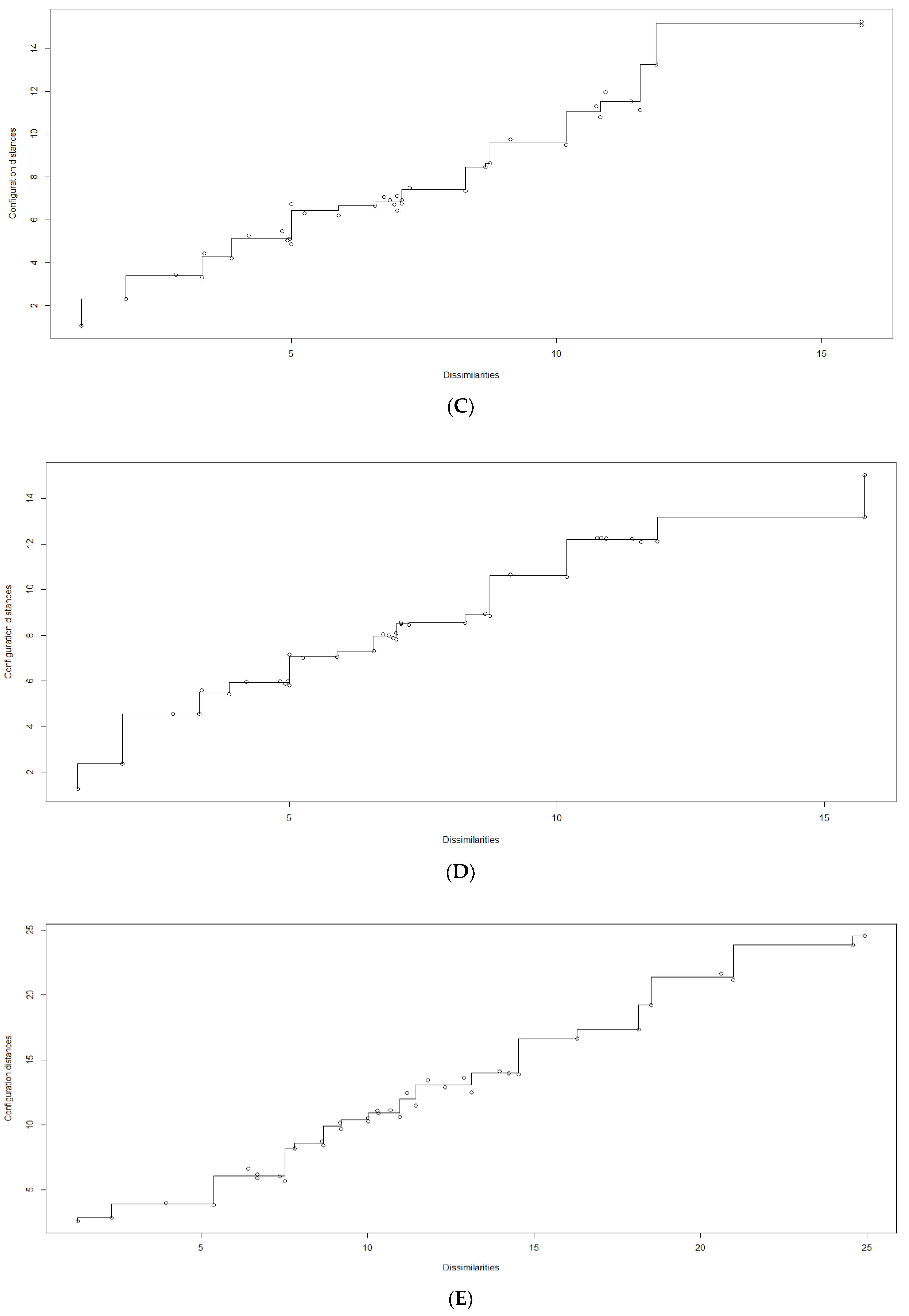
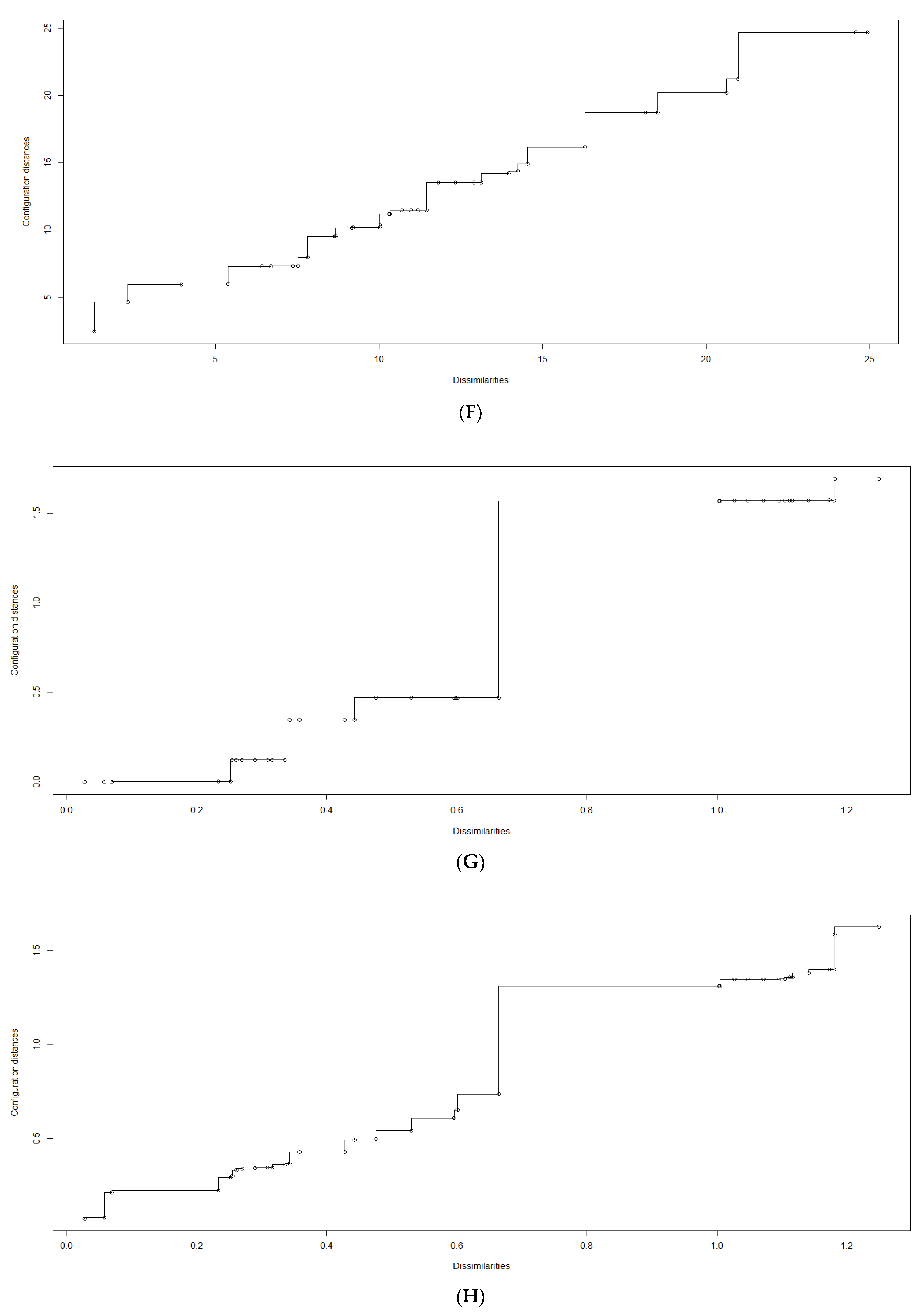
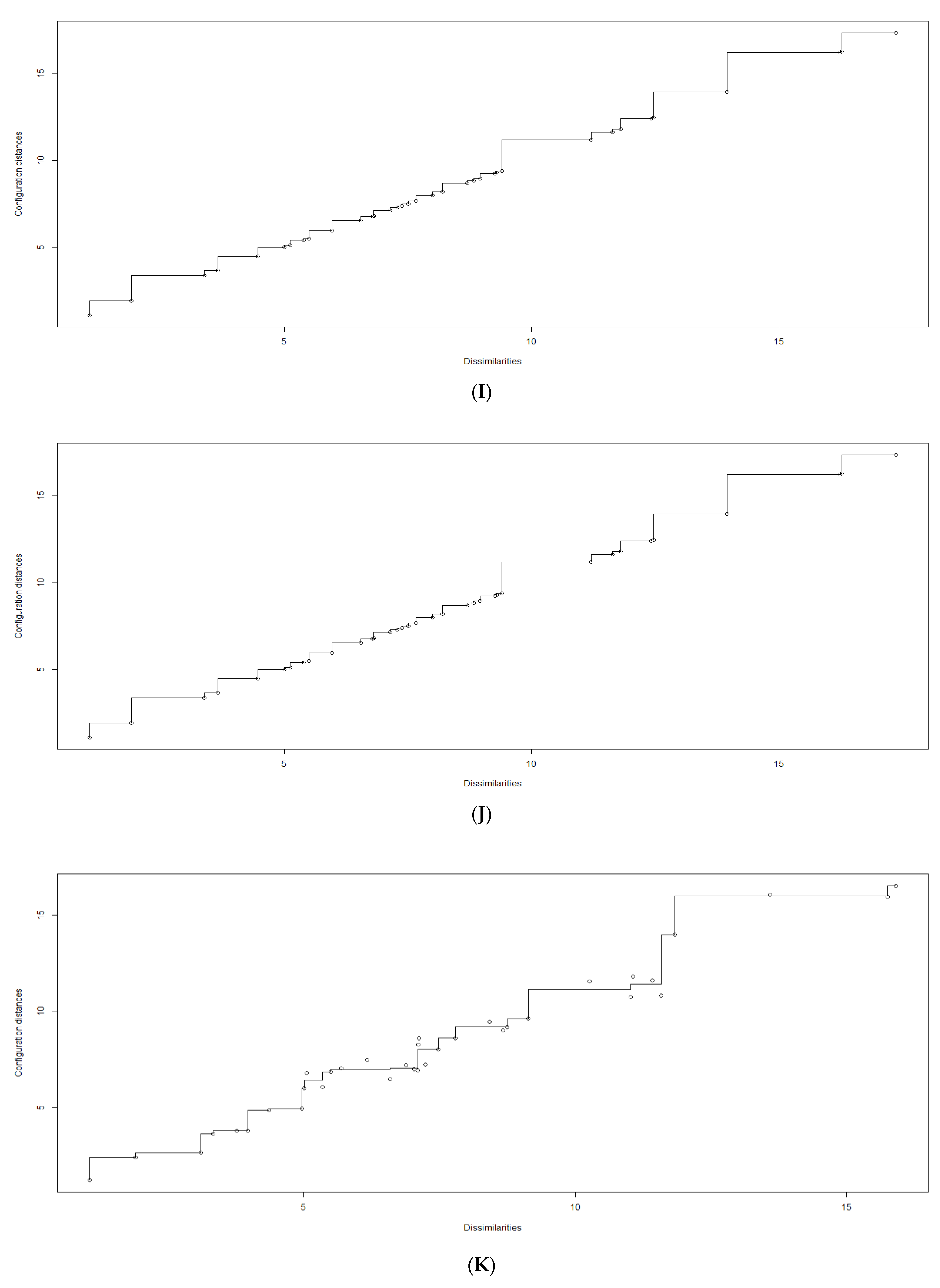
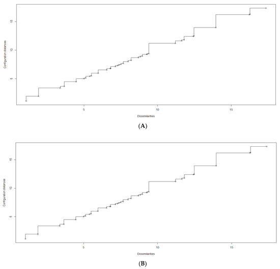
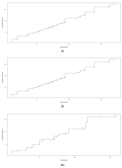
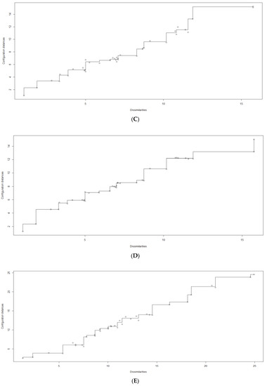
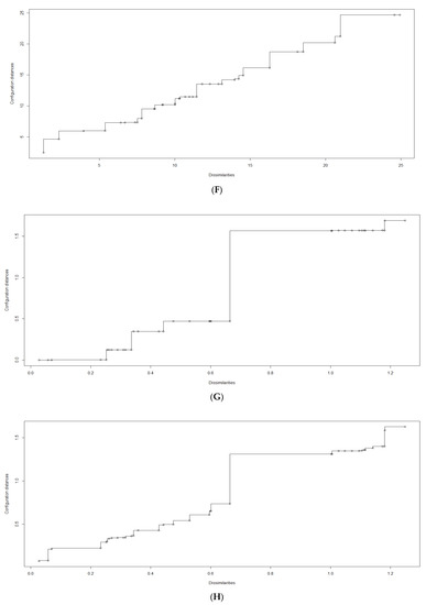
3.2. Graphical Pre-Screening of the Candidate Distance Measures
3.3. Unsupervised Multi-Response Screening Using the Databionic Classifiier
4. Conclusions
Funding
Institutional Review Board Statement
Informed Consent Statement
Data Availability Statement
Conflicts of Interest
References
- WWAP (United Nations World Water Assessment Programme). The United Nations World Water Development Report 2017. In Wastewater: The Untapped Resource; UNESCO: Paris, France, 2017. [Google Scholar]
- SDG Compass. Ensure Availability and Sustainable Management of Water and Sanitation for All. United Nations. 2015. Available online: https://sdgcompass.org/sdgs/sdg-6/ (accessed on 7 August 2021).
- Younas, F.; Mustafa, A.; Rahman Farooqi, Z.U.; Wang, X.; Younas, S.; Mohy-Ud-Din, W.; Hameed, M.A.; Abrar, M.M.; Maitlo, A.A.; Noreen, S.; et al. Current and emerging adsorbent technologies for wastewater treatment: Trends, limitations, and environmental implications. Water 2021, 13, 215. [Google Scholar] [CrossRef]
- Davis, M. Water and Wastewater Engineering: Design Principles and Practice; McGraw Hill: New York, NY, USA, 2019. [Google Scholar]
- Edzwald, J. Water Quality and Treatment: A Handbook on Drinking Water; McGraw Hill: New York, NY, USA, 2010. [Google Scholar]
- Zhang, Y.; Shen, Y. Wastewater irrigation: Past, present, and future. WIRE’s Water 2019, 6, 1234. [Google Scholar] [CrossRef]
- Jaramillo, M.F.; Restrepo, I. Wastewater reuse in agriculture: A review about its limitations and benefits. Sustainability 2017, 9, 1734. [Google Scholar] [CrossRef] [Green Version]
- Lopez-Serrano, M.J.; Velasco-Munoz, J.F.; Arnar-Sanchez, J.A.; Roman-Sanchez, I.M. Sustainable use of wastewater in agriculture: A bibliometric analysis of worldwide research. Sustainability 2020, 12, 8948. [Google Scholar] [CrossRef]
- Ungureanu, N.; Vladut, V.; Voicu, G. Water scarcity and wastewater reuse in crop irrigation. Sustainability 2020, 12, 9055. [Google Scholar] [CrossRef]
- Elgallal, M.; Fletcher, L.; Evans, B. Assessment of potential risks associated with chemicals in wastewater used for irrigation in arid and semiarid zones: A review. Agr. Water Manag. 2016, 177, 419–431. [Google Scholar] [CrossRef]
- Saliu, T.D.; Oladoja, N.A. Nutrient recovery from wastewater and reuse in agriculture: A review. Environ. Chem. Lett. 2021, 19, 2299–2316. [Google Scholar] [CrossRef]
- Mora, A.; Torres-Martinez, J.A.; Capparelli, M.V.; Zabala, A.; Mahlknecht, J. Effects of wastewater irrigation on groundwater quality: An overview. Curr. Opin. Environ. Sci. Health 2022, 25, 100322. [Google Scholar] [CrossRef]
- El Batouti, M.; Al-Harby, N.E.; Elewa, M.M. A review on promising membrane technology approaches for heavy metal removal from water and wastewater to solve water crisis. Water 2021, 13, 3241. [Google Scholar] [CrossRef]
- Martinez-Huitle, C.A.; Rodrigo, M.A.; Scialdone, O. Electrochemical Water and Wastewater Treatment; Butterworth-Heinemann: Oxford, UK, 2018. [Google Scholar]
- Parker, P.M. The 2023–2028 World Outlook for Electrodialysis Equipment; ICON Group International, Inc.: Rockville, MD, USA, 2022. [Google Scholar]
- Abou-Shady, A. Recycling of polluted wastewater for agriculture purpose using electrodialysis: Perspective for large scale application. Chem. Eng. J. 2017, 323, 1–18. [Google Scholar] [CrossRef]
- Burn, D.H.; McBean, E.A. Optimization modelling of water quality in an uncertain environment. Water Resour. Res. 1985, 21, 934–940. [Google Scholar] [CrossRef]
- Rehana, S.; Rajulapati, C.R.; Ghosh, S.; Karmakar, S.; Mujumdar, P. Uncertainty Quantification in Water Resource Systems Modeling: Case Studies from India. Water 2020, 12, 1793. [Google Scholar] [CrossRef]
- Singha, S.; Pasupuleti, S.; Singha, S.S.; Singh, R. Prediction of groundwater quality using efficient machine learning technique. Chemosphere 2021, 276, 130265. [Google Scholar] [CrossRef]
- Malviya, A.; Jaspal, D. Artificial intelligence as an upcoming technology in wastewater treatment: A comprehensive review. Environ. Technol. Rev. 2021, 10, 177–187. [Google Scholar] [CrossRef]
- Hanoon, M.S.; Ahmed, A.N.; Fai, C.M.; Birima, A.H.; Razzaq, A.; Sherif, M.; Sefelnasr, A.; El-Shafie, A. Application of artificial intelligence models for modeling water quality in groundwater: Comprehensive review, evaluation and future trends. Water Air Soil Poll. 2021, 232, 411. [Google Scholar] [CrossRef]
- Pilar Callao, M. Multivariate experimental design in environmental analysis. Trends Anal. Chem. 2014, 62, 86–92. [Google Scholar] [CrossRef]
- George, M.; Blackwell, D.; Rajan, D. Lean Six Sigma in the Age of Artificial Intelligence: Harnessing the Power of the Fourth Industrial Revolution; McGraw-Hill: New York, NY, USA, 2019. [Google Scholar]
- George, M.; Works, J.; Watson-Hemphill, K. Fast Innovation: Achieving Superior Differentiation, Speed to Market, and Increased Profitability; McGraw-Hill: New York, NY, USA, 2005. [Google Scholar]
- Box, G.E.P.; Hunter, W.G.; Hunter, J.S. Statistics for experimenters—Design, Innovation, and Discovery; Wiley: New York, NY, USA, 2005. [Google Scholar]
- Taguchi, G.; Chowdhury, S.; Taguchi, S. Robust Engineering: Learn How to Boost Quality while Reducing Costs and Time to Market; McGraw-Hill: New York, NY, USA, 2000. [Google Scholar]
- Taguchi, G.; Chowdhury, S.; Wu, Y. Quality Engineering Handbook; Wiley-Interscience: Hoboken, NJ, USA, 2004. [Google Scholar]
- Dhingra, R.; Kress, R.; Upreti, G. Does lean mean green? J. Clean. Prod. 2014, 85, 1–7. [Google Scholar] [CrossRef]
- Johansson, G.; Sundin, E. Lean and green product development: Two sides of the same coin? J. Clean. Prod. 2014, 85, 104–121. [Google Scholar] [CrossRef] [Green Version]
- Garza-Reyes, J.A. Lean and green—A systematic review of the state of the art literature. J. Clean. Prod. 2015, 102, 18–29. [Google Scholar] [CrossRef] [Green Version]
- Fercoq, A.; Lamouri, S.; Carbone, V. Lean/Green integration focused on waste reduction techniques. J. Clean. Prod. 2016, 137, 567–578. [Google Scholar] [CrossRef]
- Dieste, M.; Panizzolo, R.; Garza-Reyes, J.A.; Anosike, A. The relationship between lean and environmental performance: Practices and measures. J. Clean. Prod. 2019, 224, 120–131. [Google Scholar] [CrossRef]
- Bhattacharya, A.; Nand, A.; Castka, P. Lean-green integration and its impact on sustainability performance: A critical review. J. Clean. Prod. 2019, 236, 117697. [Google Scholar] [CrossRef]
- Teixeira, P.; Sa, J.C.; Silva, F.J.G.; Ferreira, L.P.; Santos, G.; Fontoura, P. Connecting lean and green with sustainability towards a conceptual model. J. Clean. Prod. 2021, 322, 129047. [Google Scholar] [CrossRef]
- Lopez-Lorente, A.I.; Pena-Pereira, F.; Pedersen-Bjergaard, S.; Zuin, V.G.; Ozkan, S.A.; Psillakis, E. The ten principles of green sample preparation. Trends Anal. Chem. 2022, 148, 116530. [Google Scholar] [CrossRef]
- Anastas, P.T.; Zimmerman, J.B. The United Nations sustainability goals: How can sustainable chemistry contribute? Curr. Opin. Green Sustain. Chem. 2018, 13, 150–153. [Google Scholar] [CrossRef]
- Cucciniello, R.; Anastas, P.T. Design for degradation or recycling for reuse? Curr. Opin. Green Sustain. Chem. 2021, 31, 100528. [Google Scholar] [CrossRef]
- Zimmerman, J.B.; Anastas, P.T.; Erythropei, H.C.; Leitner, W. Designing for a green future. Science 2020, 367, 397–400. [Google Scholar] [CrossRef]
- Sheldon, R.A.; Bode, M.L.; Akakios, S.G. Metrics of green chemistry: Waste minimization. Curr. Opin. Green Sustain. Chem. 2022, 33, 100569. [Google Scholar] [CrossRef]
- Constable, D.J.C. Green and sustainable chemistry: The case for a systems-based, interdisciplinary approach. iScience 2021, 24, 103489. [Google Scholar] [CrossRef]
- Sajid, M.; Plotka-Wasylka, J. Green analytical chemistry metrics: A review. Talanta 2022, 228, 123046. [Google Scholar] [CrossRef]
- Hamada, M.; Balakrishnan, N. Analyzing unreplicated factorial experiments: A review with some new proposals. Stat. Sin. 1998, 8, 1–41. [Google Scholar]
- Perrett, J.J.; Higgins, J.J. A Method for Analyzing Unreplicated Agricultural Experiments. Crop. Sci. 2006, 46, 2482–2485. [Google Scholar]
- Stewart-Oaten, A.; Bence, J.R.; Osenberg, C.W. Assessing effects of unreplicated perturbations: No simple solutions. Ecology 1992, 73, 1396. [Google Scholar] [CrossRef] [Green Version]
- Pagliari, P.H.; Ranaivoson, A.Z.; Strock, J.S. Options for statistical analysis of unreplicated paired design drainage experiments. Agr. Water Manag. 2021, 244, 106604. [Google Scholar] [CrossRef]
- Daniel, C. Use of the half-normal plots in interpreting factorial two-level experiments. Technometrics 1959, 1, 311–341. [Google Scholar] [CrossRef]
- Box, G.E.P.; Meyer, R.D. An analysis for unreplicated fractional factorials. Technometrics 1986, 28, 11–18. [Google Scholar] [CrossRef]
- Lenth, R.V. Quick and easy analysis of unreplicated factorials. Technometrics 1989, 31, 469–473. [Google Scholar] [CrossRef]
- Fontdecaba, S.; Grima, P.; Tort-Martorell, X. Analyzing DOE with Statistical Software Packages: Controversies and proposals. Am. Stat. 2014, 68, 205–211. [Google Scholar] [CrossRef]
- Lenth, R.V. The case against normal plots of effects. J. Qual. Technol. 2015, 47, 91–97. [Google Scholar] [CrossRef]
- Costa, N. Design of experiments-overcome hindrances and bad practices. TQM J. 2019, 31, 772–789. [Google Scholar] [CrossRef]
- Ilzarbe, L.; Alvarez, M.J.; Viles, E.; Tanco, M. Practical applications of design of experiments in the field of engineering: A bibliographical review. Qual. Reliab. Eng. Int. 2008, 24, 417–428. [Google Scholar] [CrossRef]
- Tanco, M.; Viles, E.; Ilzarbe, L.; Alvarez, M.J. Implementation of Design of Experiments projects in industry. Qual. Reliab. Eng. Int. 2009, 25, 478–505. [Google Scholar] [CrossRef]
- Derringer, G.; Suich, R. Simultaneous optimization of several response variables. J. Qual. Technol. 1980, 12, 214–219. [Google Scholar] [CrossRef]
- Carlson, R.; Nordahl, A.; Barth, T.; Myklebust, R. An approach to evaluating screening experiments when several responses are measured. Chemom. Intell. Lab. Syst. 1991, 12, 237–255. [Google Scholar] [CrossRef]
- Stone, R.A.; Veevers, A. The Taguchi influence on designed experiments. J. Chemometr. 1994, 8, 103–110. [Google Scholar] [CrossRef]
- Fisher, R.A. Statistical Methods, Experimental Design, and Scientific Inference; Oxford University Press: Oxford, UK, 1990. [Google Scholar]
- Breiman, L. Statistical modeling: The two cultures. Stat. Sci. 2001, 16, 199–231. [Google Scholar] [CrossRef]
- Besseris, G.J. Concurrent multiresponse multifactorial screening of an electrodialysis process of polluted wastewater using robust non-linear Taguchi profiling. Chemom. Intell. Lab. Syst. 2020, 200, 103997. [Google Scholar] [CrossRef]
- Besseris, G. Micro-Clustering and Rank-Learning Profiling of a Small Water-Quality Multi-Index Dataset to Improve a Recycling Process. Water 2021, 13, 2469. [Google Scholar] [CrossRef]
- Besseris, G. Wastewater Quality Screening Using Affinity Propagation Clustering and Entropic Methods for Small Saturated Nonlinear Orthogonal Datasets. Water 2022, 14, 1238. [Google Scholar] [CrossRef]
- Thrun, M.C.; Ultsch, A. Swarm intelligence for self-organized clustering. Artif. Intell. 2021, 290, 103237. [Google Scholar] [CrossRef]
- Dunn, J.C. Well-separated clusters and optimal fuzzy partitions. J. Cybern. 1974, 4, 95–104. [Google Scholar] [CrossRef]
- Davies, D.L.; Bouldin, D.W. A cluster separation measure. IEEE Trans. Pattern Anal. Mach. Intell. 1979, 1, 224–227. [Google Scholar] [CrossRef]
- Rand, W.M. Objective criteria for the evaluation of clustering methods. J. Am. Stat. Assoc. 1971, 66, 846–850. [Google Scholar] [CrossRef]
- Bergstra, J.; Bengio, Y. Random search for hyperparameter optimization. J. Mach. Learn. Res. 2012, 13, 281–305. [Google Scholar]
- Feurer, M.; Hutter, F. Hyperparameter Optimization; Springer: Cham, Switzerland, 2019. [Google Scholar]
- Stewart Lowndes, J.S.; Best, B.D.; Scarborough, C.; Afflerbach, J.C.; Frazier, M.R.; O’Hara, C.C.; Jiang, N.; Halpern, B.S. Our path to better science in less time using open data science tools. Nat. Ecol. Evol. 2017, 1, 0160. [Google Scholar] [CrossRef] [Green Version]
- R Core Team. R (Version 4.1.3): A Language and Environment for Statistical Computing; R Foundation for Statistical Computing: Vienna, Austria, 2022; Available online: https://www.R-project.org/ (accessed on 10 March 2022).
- Lawson, J. Design and Analysis of Experiments with R; CRC Press: Boca Raton, FL, USA, 2014. [Google Scholar]
- Shepard, R.N. The analysis of proximities: Multidimensional scaling with an unknown distance function-Part II. Psychometrika 1962, 27, 219–246. [Google Scholar] [CrossRef]
- Kruskal, J.B. Multidimensional scaling by optimizing goodness of fit to a nonmetric hypothesis. Psychometrika 1964, 29, 1–27. [Google Scholar] [CrossRef]
- Thrun, M.C. Projection-Based Clustering through Self-Organization and Swarm Intelligence; Springer: Berlin/Heidelberg, Germany, 2018; ISBN 978-3658205393. [Google Scholar]
- McGill, R.; Tukey, J.W.; Larsen, W.A. Variations of box plots. Am. Stat. 1978, 32, 12–16. [Google Scholar]
- Hubert, M.; Vandervieren, E. An adjusted boxplot for skewed distributions. Comp. Stat. Data Anal. 2008, 52, 5186–5201. [Google Scholar] [CrossRef]
- Hintze, J.L.; Nelson, R.D. Violin plots: A box plot-Density trace synergism. Am. Stat. 1998, 52, 181–184. [Google Scholar]
- Kampstra, P. Beanplot: A boxplot alternative for visual comparison of distributions. J. Stat. Soft. 2008, 28, 1–9. [Google Scholar] [CrossRef] [Green Version]
- Taleb, N.N. Statistical Consequences of Fat Tails: Real World Preasymptotics, Epistemology, and Applications; STEM Academic Press: Cambridge, MA, USA, 2020. [Google Scholar]
















| Run # | Factor A | Factor B | Factor C | Factor D |
|---|---|---|---|---|
| 1 | 1 | 1 | 1 | 1 |
| 2 | 1 | 2 | 2 | 2 |
| 3 | 1 | 3 | 3 | 3 |
| 4 | 2 | 1 | 2 | 3 |
| 5 | 2 | 2 | 3 | 1 |
| 6 | 2 | 3 | 1 | 2 |
| 7 | 3 | 1 | 3 | 2 |
| 8 | 3 | 2 | 1 | 3 |
| 9 | 3 | 3 | 2 | 1 |
| Run # | Hyper-Parameter A | Hyper-Parameter B | Hyper-Parameter C |
|---|---|---|---|
| 1 | 1 | 1 | 1 |
| 2 | 1 | 2 | 2 |
| 3 | 2 | 1 | 2 |
| 4 | 2 | 2 | 1 |
| 5 | 3 | 2 | 1 |
| 6 | 3 | 1 | 2 |
| 7 | 4 | 2 | 2 |
| 8 | 4 | 1 | 1 |
| Controlling Factors (Input) | Multiple Characteristics (Output) | Labelled Clusters |
|---|---|---|
| Run # | Distance Measure | Structure Type | Position Type |
|---|---|---|---|
| 1 | Euclidean | Connected | Best Matches |
| 2 | Euclidean | Compact | Projected Points |
| 3 | Maximum | Connected | Projected Points |
| 4 | Maximum | Compact | Best Matches |
| 5 | Manhattan | Compact | Best Matches |
| 6 | Manhattan | Connected | Projected Points |
| 7 | Canberra | Compact | Projected Points |
| 8 | Canberra | Connected | Best Matches |
| Distance Measure | Cluster Number | Kruskal Stress Value |
|---|---|---|
| Euclidean | 2 | 7.35 × 10−14 |
| Euclidean | 3 | 5.44 × 10−14 |
| Maximum | 2 | 2.28 |
| Maximum | 3 | 0.72 |
| Manhattan | 2 | 1.96 |
| Manhattan | 3 | 5.73 × 10−3 |
| Canberra | 2 | 8.67 × 10−3 |
| Canberra | 3 | 7.31 × 10−3 |
| Minkowski (p = 2) | 2 | 7.35 × 10−14 |
| Minkowski (p = 2) | 3 | 5.44 × 10−14 |
| Minkowski (p = 4) | 2 | 6.75 × 10−3 |
| Minkowski (p = 4) | 3 | 2.18 × 10−3 |
| Cluster Member Identification | |||||||||
|---|---|---|---|---|---|---|---|---|---|
| Hyper-Parameter Screening Run # | Run #1 | Run #2 | Run #3 | Run #4 | Run #5 | Run #6 | Run #7 | Run #8 | Run #9 |
| 1 | 1 | 1 | 2 | 1 | 3 | 1 | 1 | 1 | 1 |
| 2 | 1 | 1 | 2 | 1 | 2 | 1 | 3 | 3 | 3 |
| 3 | 1 | 1 | 2 | 1 | 2 | 1 | 3 | 1 | 3 |
| 4 | 1 | 1 | 2 | 1 | 2 | 1 | 3 | 1 | 3 |
| 5 | 1 | 1 | 2 | 1 | 2 | 1 | 3 | 1 | 3 |
| 6 | 1 | 1 | 2 | 1 | 2 | 1 | 3 | 1 | 3 |
| 7 | 1 | 1 | 2 | 1 | 2 | 1 | 3 | 1 | 3 |
| 8 | 1 | 1 | 2 | 1 | 2 | 1 | 3 | 1 | 3 |
| Run # | BDIc | BDIm | DI |
|---|---|---|---|
| 1 | 0.416 | 0.721 | 0.605 |
| 2 | 0.732 | 0.839 | 0.659 |
| 3 | 0.416 | 0.721 | 0.474 |
| 4 | 0.766 | 0.912 | 0.544 |
| 5 | 0.766 | 0.912 | 0.574 |
| 6 | 0.416 | 0.653 | 0.531 |
| 7 | 0.766 | 0.912 | 1.022 |
| 8 | 0.766 | 0.912 | 1.022 |
Publisher’s Note: MDPI stays neutral with regard to jurisdictional claims in published maps and institutional affiliations. |
© 2022 by the author. Licensee MDPI, Basel, Switzerland. This article is an open access article distributed under the terms and conditions of the Creative Commons Attribution (CC BY) license (https://creativecommons.org/licenses/by/4.0/).
Share and Cite
Besseris, G. Databionic Swarm Intelligence to Screen Wastewater Recycling Quality with Factorial and Hyper-Parameter Non-Linear Orthogonal Mini-Datasets. Water 2022, 14, 1990. https://doi.org/10.3390/w14131990
Besseris G. Databionic Swarm Intelligence to Screen Wastewater Recycling Quality with Factorial and Hyper-Parameter Non-Linear Orthogonal Mini-Datasets. Water. 2022; 14(13):1990. https://doi.org/10.3390/w14131990
Chicago/Turabian StyleBesseris, George. 2022. "Databionic Swarm Intelligence to Screen Wastewater Recycling Quality with Factorial and Hyper-Parameter Non-Linear Orthogonal Mini-Datasets" Water 14, no. 13: 1990. https://doi.org/10.3390/w14131990
APA StyleBesseris, G. (2022). Databionic Swarm Intelligence to Screen Wastewater Recycling Quality with Factorial and Hyper-Parameter Non-Linear Orthogonal Mini-Datasets. Water, 14(13), 1990. https://doi.org/10.3390/w14131990