Spatiotemporal Distribution Pattern of Phytoplankton Community and Its Main Driving Factors in Dongting Lake, China—A Seasonal Study from 2017 to 2019
Abstract
:1. Introduction
2. Materials and Methods
2.1. Study Area
2.2. Sampling and Analyses
2.3. Data Analysis
3. Results
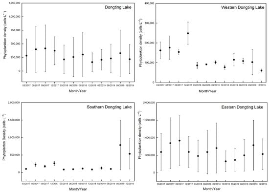
3.1. Phytoplankton Community and Dominant Genera
3.2. Environmental Parameters
3.3. Relationship between Phytoplankton and Water Quality
4. Discussion
4.1. Temporal and Spatial Evolution Characteristics of Phytoplankton and Physicochemical Parameters
4.2. Factors Determining Phytoplankton Density and Biodiversity
4.3. Implications for Dongting Lake Management
5. Conclusions
Supplementary Materials
Author Contributions
Funding
Institutional Review Board Statement
Informed Consent Statement
Data Availability Statement
Acknowledgments
Conflicts of Interest
References
- Hill, B.H.; Herlihy, A.T.; Kaufmann, P.R.; DeCelles, S.J.; Vander Borgh, M.A. Assessment of streams of the eastern United States using a periphyton index of biotic integrity. Ecol. Indic. 2003, 2, 325–338. [Google Scholar] [CrossRef]
- Miller, S.J.; Wardrop, D.H.; Mahaney, W.M.; Brooks, R.P. A plant-based index of biological integrity (IBI) for headwater wetlands in central Pennsylvania. Ecol. Indic. 2006, 6, 290–312. [Google Scholar] [CrossRef]
- Padisák, J.; Borics, G.; Grigorszky, I.; Soróczki-Pintér, É. Use of phytoplankton assemblages for monitoring ecological status of lakes within the Water Framework Directive: The assemblage index. Hydrobiologia 2006, 553, 1–14. [Google Scholar] [CrossRef]
- Zalack, J.T.; Smucker, N.J.; Vis, M.L. Development of a diatom index of biotic integrity for acid mine drainage impacted streams. Ecol. Indic. 2010, 10, 287–295. [Google Scholar] [CrossRef]
- Wu, N.C.; Schmalz, B.; Fohrer, N. Development and testing of a phytoplankton index of biotic integrity (P-IBI) for a German lowland river. Ecol. Indic. 2012, 13, 158–167. [Google Scholar] [CrossRef]
- Znachor, P.; Nedom, J.; Hejzlar, J.; Se ďa, J.; Kopáček, J.; Kolář, V.; Mrkvička, T.; Boukal, D.S. Changing environmental conditions underpin long-term patterns of phytoplankton in a freshwater reservoir. Sci. Total Environ. 2020, 710, 135626. [Google Scholar] [CrossRef]
- Chao, C.X.; Lv, T.; Wang, L.G.; Han, C.; Yu, W.C.; Yan, Z.W.; Ma, X.W.; Zhao, H.C.; Zuo, Z.J.; Zhang, C.; et al. The spatiotemporal characteristics of water quality and phytoplankton community in a shallow eutrophic lake: Implications for submerged vegetation restoration. Sci. Total Environ. 2022, 821, 153460. [Google Scholar] [CrossRef]
- Havens, K.E.; Ji, G.; Beaver, J.R.; Fulton, R.S.; Teacher, C.E. Dynamics of cyanobacteria blooms are linked to the hydrology of shallow Florida lakes and provide insight into possible impacts of climate change. Hydrobiologia 2019, 829, 43–59. [Google Scholar] [CrossRef]
- Brookes, J.D.; Carey, C.C. Resilience to blooms. Science 2011, 334, 46–47. [Google Scholar] [CrossRef]
- Paerl, H.W.; Huisman, J. Climate Blooms like it hot. Science 2008, 320, 57–58. [Google Scholar] [CrossRef] [Green Version]
- Räike, A.; Pietiläinen, O.P.; Rekolainen, S.; Kauppila, P.; Pitkänen, H.; Niemi, J.; Raateland, A.; Vuorenmaa, J. Trends of phosphorus, nitrogen and chlorophyll a concentrations in Finnish rivers and lakes in 1975–2000. Sci. Total Environ. 2003, 310, 47. [Google Scholar] [CrossRef]
- Yang, Z.; Zhang, M.; Shi, X.L.; Kong, F.X.; Ma, R.H.; Yu, Y. Nutrient reduction magnifies the impact of extreme weather on cyanobacterial bloom formation in large shallow Lake Taihu (China). Water Res. 2016, 302, 302–310. [Google Scholar] [CrossRef] [PubMed]
- Muhid, P.; Davis, T.W.; Bunn, S.E.; Burford, M.A. Effects of inorganic nutrientsin recycled water on freshwater phytoplankton biomass and composition. Water Res. 2013, 47, 384–394. [Google Scholar] [CrossRef]
- Ren, Y.; Pei, H.Y.; Hu, W.R.; Tian, C.; Hao, D.P.; Wei, J.L.; Feng, Y.W. Spatiotemporal distribution pattern of cyanobacteria community and its relationship with the environmental factors in Hongze Lake, China. Environ. Monit. Assess. 2014, 186, 6919–6933. [Google Scholar] [CrossRef]
- Zhao, H.J.; Wang, Y.; Yang, L.L.; Yuan, L.W.; Peng, D.C. Relationship between phytoplankton and environmental factors inlandscape water supplemented with reclaimed water. Ecol. Indic. 2015, 58, 113–121. [Google Scholar] [CrossRef]
- Shan, K.; Song, L.R.; Chen, W.; Li, L.; Liu, L.M.; Wu, Y.L.; Jia, Y.L.; Zhou, L.P. Analysis of environmental drivers influencing interspecific variations and associations among bloom-forming cyanobacteria in large, shallow eutrophic lakes. Harmful Algae 2019, 84, 84–94. [Google Scholar] [CrossRef] [PubMed]
- Navas-Parejoa, J.C.C.; Corzoa, A.; Papaspyroua, S. Seasonal cycles of phytoplankton biomass and primary production in a tropical temporarily open-closed estuarine lagoon—The effect of an extreme climatic event. Sci. Total Environ. 2020, 723, 138014. [Google Scholar] [CrossRef]
- Peng, X.; Zhang, L.; Li, Y.; Lin, Q.W.; He, C.; Huang, S.Z.; Li, H.; Zhang, X.Y.; Liu, B.Y.; Ge, F.J.; et al. The changing characteristics of phytoplankton community and biomass in subtropical shallow lakes: Coupling effects of land use patterns and lake morphology. Water Res. 2021, 200, 117235. [Google Scholar] [CrossRef]
- Tian, C.; Pei, H.Y.; Hu, W.R.; Xie, J. Phytoplankton variation and its relationship with the environmental factors in Nansi Lake, China. Environ. Monit. Assess. 2013, 185, 295–310. [Google Scholar] [CrossRef]
- Yang, W.; Zheng, Z.; Zheng, C.; Lu, K.; Ding, D.; Zhu, J. Temporal variations in a phytoplankton community in a subtropical reservoir: An interplay of extrinsic and intrinsic community effects. Sci. Total Environ. 2017, 612, 720–727. [Google Scholar] [CrossRef]
- Stockwell, J.D.; Doubek, J.P.; Adrian, R.; Anneville, O.; Carey, C.C.; Carvalho, L.; De Senerpont, D.L.N.; Dur, G.; Frassl, M.A.; Grossart, H.P.; et al. Storm impacts on phytoplankton community dynamics in lakes. Glob. Chang. Biol. 2020, 26, 2756–2784. [Google Scholar] [CrossRef] [PubMed] [Green Version]
- Mao, Z.G.; Gu, X.; Cao, Y.; Luo, J.; Zeng, Q.; Chen, H.; Jeppesen, E. Pelagic energy flow supports the food web of a shallow lake following a dramatic regime shift driven by water level changes. Sci. Total Environ. 2021, 756, 143642. [Google Scholar] [CrossRef] [PubMed]
- Zhang, Y.C.; Hu, M.Q.; Shi, K.; Zhang, M.; Han, T.; Lai, L.; Zhan, P.F. Sensitivity of phytoplankton to climatic factors in a large shallow lake revealed by column-integrated algal biomass from long-term satellite observations. Water Res. 2021, 207, 117786. [Google Scholar] [CrossRef] [PubMed]
- Noori, R.; Ansari, E.; Bhattarai, R.; Tang, Q.H.; Aradpour, S.; Maghrebi, M.; Haghighi, A.T.; Bengtsson, L.; Kløve, B. Complex dynamics of water quality mixing in a warm mono-mictic reservoir. Sci. Total Environ. 2021, 777, 146097. [Google Scholar] [CrossRef]
- Noori, R.; Ansari, E.; Jeong, Y.-W.; Aradpour, S.; Maghrebi, M.; Hosseinzadeh, M.; Bateni, S.M. Hyper-Nutrient Enrichment Status in the Sabalan Lake, Iran. Water 2021, 13, 2874. [Google Scholar] [CrossRef]
- Paerl, H.W.; Paul, V.J. Climate change: Links to global expansion of harmful cyanobacteria. Water Res. 2012, 46, 1349–1363. [Google Scholar] [CrossRef]
- Reichwaldt, E.S.; Ghadouani, A. Effects of rainfall patterns on toxic cyanobacterial blooms in a changing climate: Between simplistic scenarios and complexdynamics. Water Res. 2012, 46, 1372–1393. [Google Scholar] [CrossRef]
- Du, Y.; Cai, S.; Zhang, X.Y.; Zhao, Y. Interpretation of the environmental change of Dongting Lake, middle reach of Yangtze River, China, by 210Pb measurement and satellite image analysis. Geomorphology 2001, 41, 171–181. [Google Scholar] [CrossRef]
- Yuan, Y.; Zeng, G.M.; Liang, J.; Huang, L.; Hua, S.S.; Li, F.; Zhu, Y.; Wu, H.P.; Liu, J.Y.; He, X.X.; et al. Variation of water level in Dongting Lake over a 50-year period: Implications for the impacts of anthropogenic and climatic factors. J. Hydrol. 2015, 525, 450–456. [Google Scholar] [CrossRef]
- Li, Y.S.; Raso, G.; Zhao, Z.Y.; He, Y.K.; Ellis, M.K.; McManus, D.P. Large water management projects and schistosomiasis control, Dongting Lake Region, China. Emerg. Infect. Dis. 2007, 13, 973–979. [Google Scholar] [CrossRef]
- Han, Q.Q.; Zhang, S.H.; Huang, G.X.; Zhang, R. Analysis of Long-Term Water Level Variation in Dongting Lake, China. Water 2016, 8, 306. [Google Scholar] [CrossRef] [Green Version]
- Dai, Y.Z.; Tang, S.Y.; Zhang, J.B. The distribution of zoobenthos species and bioassessment of water quality in Dongting Lake. Acta Ecol. Sin. 2000, 20, 277–282. [Google Scholar]
- Zhang, T.; Li, D.L.; Xu, B.H.; Chen, K.J.; Xiao, T.Y.; Yang, C.Z.; Liu, Y.C. Investigation on phytoplankton and water quality assessment of aquacultural waterbodies in west Dongting Lake area. J. Hydroecol. 2009, 2, 12–18. [Google Scholar]
- Li, Q. Hygrophilous ecological environment succession and countermeasure of the Dongting Lake. Res. Soil Water Conserv. 2005, 12, 98–100. [Google Scholar]
- Wang, X.; Zheng, B.H.; Liu, L.S.; Wang, L.J.; Li, L.Q.; Huang, D.Z. Correlation analysis of macroinvertebrate composition and environmental factors of typical sections in Dongting Lake. China Environ. Sci. 2012, 32, 2237–2244. [Google Scholar]
- Xie, Z.C.; Zhang, J.Q.; Chen, J.; Ma, K.; Liu, R.Q.; Wang, Y.P.; Cai, Q.H. Spatial distributional pattern of macrozoobenthos and pollution evaluation in East Lake Dongting Reserve. J. Lake Sci. 2007, 19, 289–298. [Google Scholar]
- Zhong, Z.Y.; Chen, C. Water quality and eutrophication analysis in Lake Dongting. Environ. Sci. Manag. 2011, 36, 169–173. [Google Scholar]
- Ministry of Ecological Environment of the People’s Republic of China. Methods for the Monitoring and Analysis of Water and Wastewater, 4th ed.; Chinese Environmental Science Press: Beijing, China, 2002.
- Hu, H.J.; Wei, Y.X. The Freshwater Algae of CHINA: Systematics, Taxonomy and Ecology; Science Press: Beijing, China, 2006. (In Chinese) [Google Scholar]
- Shannon, C.E.; Wiener, W. The Mathematical Theory of Communication; University of Illinois Press: Urbana, IL, USA, 1949. [Google Scholar]
- Margalef, R. Information theory in ecology. Gen. Syst. 1958, 3, 36–71. [Google Scholar]
- Pielou, E.C. Species-diversity and pattern-diversity in the study of ecological succession. J. Theor. Biol. 1966, 10, 370–383. [Google Scholar] [CrossRef]
- Aksnes, D.L.; Wassmann, P. Modeling the significance of zooplankton grazing for export production. Limnol. Oceanogr. 1993, 38, 978–985. [Google Scholar] [CrossRef]
- Lampitt, R.S.; Wishner, K.F.; Turley, C.M.; Angel, M.V. Marine snow studies in the Northeast Atlantic Ocean: Distribution, composition and role as a food source for migrating plankton. Mar. Biol. 1993, 116, 689–702. [Google Scholar] [CrossRef]
- Ter Braak, C.J.F. Canonical correspondence analysis: A new eigenvector technique for multivariate direct gradient analysis. Ecology 1986, 67, 1167–1179. [Google Scholar] [CrossRef] [Green Version]
- Peng, S.T.; Qin, X.B.; Shi, H.H.; Zhou, R.; Dai, M.X.; Ding, D.W. Distribution and controlling factors of phytoplankton assemblages in a semi-enclosed bay during spring and summer. Mar. Pollut. Bull. 2012, 64, 941–948. [Google Scholar] [CrossRef] [PubMed]
- Modabberi, A.; Noori, R.; Madani, K.; Ehsani, A.H.; Mehr, A.D.; Hooshyaripor, F.; Kløve, B. Caspian Sea is eutrophying: The alarming message of satellite Data. Environ. Res. Lett. 2020, 15, 124047. [Google Scholar] [CrossRef]
- Tolotti, M.; Thies, H.; Nickus, U.; Psenner, R. Temperature modulated effects of nutrients on phytoplankton changes in a mountain lake. Hydrobiologia 2012, 698, 61–75. [Google Scholar] [CrossRef]
- Paerl, H.W.; Hall, N.S.; Calandrino, E.S. Controlling harmful cyanobacterial blooms in a world experiencing anthropogenic and climatic-induced change. Sci. Total Environ. 2011, 409, 1739–1745. [Google Scholar] [CrossRef]
- Alam, M.G.M.; Jahan, N.; Thalib, L.; Wei, B.; Maekawa, T. Effects of environmental factors on the seasonally change of phytoplankton populations in a closed freshwater pond. Environ. Int. 2001, 27, 363–371. [Google Scholar] [CrossRef]
- Poste, A.E.; Hecky, R.E.; Guildford, S.J. Phosphorus enrichment and carbon depletion contribute to high Microcystis biomass and microcystin concentrations in Ugandan lakes. Limnol. Oceanogr. 2013, 58, 1075–1088. [Google Scholar] [CrossRef]
- Abirhire North, R.L.; Hunter, K.; Vandergucht, D.M.; Sereda, J.; Hudson, J.J. Environmental factors influencing phytoplankton communities in Lake Diefenbaker, Saskatchewan, Canada. J. Great Lakes Res. 2015, 41, 118–128. [Google Scholar] [CrossRef]
- Varol, M. Phytoplankton functional groups in a monomictic reservoir: Seasonal succession, ecological preferences, and relationships with environmental variables. Environ. Sci. Pollut. Res. 2019, 26, 20439–20453. [Google Scholar] [CrossRef]
- Cui, G.Y.; Wang, B.L.; Xiao, J.; Qiu, X.L.; Liu, C.Q.; Li, X.D. Water column stability driving the succession of phytoplankton functional groups in karst hydroelectric reservoirs. J. Hydrol. 2021, 592, 125607. [Google Scholar] [CrossRef]
- Ferreira, K.N.; Iverson, T.M.; Maghlaoui, K.; Barber, J.; Iwata, S. Architecture of the photosynthetic oxygen-evolving center. Science 2004, 303, 1831–1838. [Google Scholar] [CrossRef] [PubMed] [Green Version]
- Wang, Y.F.; Zhou, C.T.; Zhao, Z.H.; Lin, Z.H. Seasonal dynamics of phytoplankton and its relationship with the environmental factors in subtropical reservoirs. Acta Ecol. Sin. 2021, 41, 4010–4022. [Google Scholar]
- He, X.R.; Li, G.G. Community structure of phytoplankon and its relation with water quality in Xixi Wetland for the frist project aera, Hangzhou. J. Lake Sci. 2009, 21, 795–800. [Google Scholar]
- Arhonditsis, G.B.; Winder, M.; Brett, M.T.; Schindler, D.E. Patterns and mechanisms of phytoplankton variability in Lake Washington (USA). Water Res. 2004, 38, 4013–4027. [Google Scholar] [CrossRef] [PubMed]
- Wang, X.; Liu, L.S.; Li, L.; Zhou, J.; Wang, Y.; Xia, F.; Xia, Y. Correlation analysis of algae composition and environmental factors in Jingpo Lake. China Environ. Sci. 2015, 35, 3403–3413. [Google Scholar]
- Wilkinson, C.R.; Fay, P. Nitrogen fixation in coral reef sponges with symbiotic cyanobacteria. Nature 1979, 279, 527–529. [Google Scholar] [CrossRef]
- Mitsui, A.; Kumazawa, S.; Takahashi, A.; Ikemoto, H.; Cao, S.; Arai, T. Strategy by which nitrogen-fixing unicellular cyanobacteria grow photoautotrophically. Nature 1986, 323, 720–722. [Google Scholar] [CrossRef]
- Bohme, H. Regulation of nitrogen fixation in heterocyst-forming cyanobacteria. Trends Plant Sci. 1998, 3, 346–351. [Google Scholar] [CrossRef]
- Moore, L.R.; Post, A.F.; Rocap, G.; Chisholm, S.W. Utilization of different nitrogen sources by the marine cyanobacteria Prochlorococcus and Synechococcus. Limnol. Oceanogr. 2002, 47, 989–996. [Google Scholar] [CrossRef]
- Vahtera, E.; Conley, D.J.; Gustafsson, B.G.; Kuosa, H.; Pitkänen, H.; Savchuk, O.P.; Tamminen, T.; Viitasalo, M.; Voss, M.; Wasmund, N.; et al. Internal ecosystem feedbacks enhance nitrogen-fixing cyanobacteria blooms and complicate management in the Baltic Sea. AMBIO A J. Hum. Environ. 2007, 36, 186–194. [Google Scholar] [CrossRef]
- Redfield, A.C. The biological control of the chemical factors in the environment. Am. Sci. 1958, 46, 205–221. [Google Scholar]
- Vollenweider, R.A. Scientific Fundamentals of the Eutrophication of Lakes and Flowing Waters, with Particular References to Nitrogen and Phosphorus as Factors in Eutrophication; Organization for Economic Co-Operation and Development, Directorate for Scientific Affairs: Paris, France, 1968; pp. 1–183. [Google Scholar]
- Dillon, P.L.; Rigler, F.H. A simple method for predicting the capacity of a lake for development based on lake trophic status. J. Fish. Board Can. 1975, 32, 1519–1531. [Google Scholar] [CrossRef]
- Armstrong, R.A. An optimization-based model of iron-lightammonium co-limitation of nitrate uptake and phytoplankton growth. Limnol. Oceanogr. 1999, 44, 1436–1446. [Google Scholar] [CrossRef]
- Ernst, A.; Deicher, M.; Herman, P.M.J.; Wollenzien, U.I.A. Nitrate and phosphate affect cultivability of cyanobacteria from environments with low nutrient levels. Appl. Environ. Microb. 2005, 71, 3379–3383. [Google Scholar] [CrossRef] [Green Version]
- Liu, X.; Qian, K.M.; Chen, Y.W.; Gao, J.F. A comparison of factors influencing the summer phytoplankton biomass in China’s three largest freshwater lakes: Poyang, Dongting, and Taihu. Hydrobiologia 2017, 792, 283–302. [Google Scholar] [CrossRef]
- Haande, S.; Rohrlack, T.; Semyalo, R.P.; Brettum, P.; Edvardsen, B.; Lyche-Solheim, A.; Sørensen, K.; Larsson, P. Phytoplankton dynamics and cyanobacterial dominance in Murchison Bay of Lake Victoria (Uganda) in relation to environmental conditions. Limnologica 2011, 41, 20–29. [Google Scholar] [CrossRef] [Green Version]
- Cao, J.; Hou, Z.Y.; Li, Z.K.; Chu, Z.S.; Yang, P.P.; Zheng, B.H. Succession of phytoplankton functional groups and their driving factors in a subtropical plateau lake. Sci. Total Environ. 2018, 631–632, 1127–1137. [Google Scholar] [CrossRef]
- Wang, L.J.; Wang, X.; Liu, L.S.; Zheng, B.H.; Li, L.Q.; Huang, D.Z.; Tian, Q. Multivariate analysis of water factors in Dongting Lake. Res. Environ. Sci. 2013, 26, 1–7. [Google Scholar]






| WT (°C) | pH | Cond (ms/m) | DO (mg/L) | CODMn (mg/L) | BOD5 (mg/L) | CODCr (mg/L) | NH4–N (mg/L) | TN (mg/L) | TP (mg/L) | |
|---|---|---|---|---|---|---|---|---|---|---|
| Mean ± SD | ||||||||||
| March 2017 | 12.864 ± 0.767 | 7.619 ± 0.146 | 26.033 ± 5.051 | 9.298 ± 0.453 | 2.133 ± 0.891 | 2.176 ± 1.027 | 9.200 ± 4.970 | 0.279 ± 0.128 | 1.983 ± 0.383 | 0.068 ± 0.018 |
| June 2017 | 24.021 ± 0.929 | 7.507 ± 0.122 | 23.080 ± 4.620 | 6.965 ± 0.582 | 2.411 ± 0.726 | 1.857 ± 0.548 | 9.789 ± 3.591 | 0.160 ± 0.223 | 1.878 ± 0.291 | 0.070 ± 0.020 |
| September 2017 | 26.586 ± 1.041 | 7.528 ± 0.120 | 23.913 ± 4.925 | 6.771 ± 0.539 | 2.438 ± 1.019 | 1.803 ± 0.778 | 10.077 ± 5.729 | 0.147 ± 0.127 | 1.560 ± 0.311 | 0.089 ± 0.021 |
| December 2017 | 12.586 ± 1.473 | 7.539 ± 0.114 | 26.267 ± 4.398 | 9.037 ± 1.138 | 2.169 ± 0.764 | 1.620 ± 0.936 | 11.174 ± 4.225 | 0.288 ± 0.130 | 1.911 ± 0.333 | 0.078 ± 0.026 |
| March 2018 | 12.629 ± 3.411 | 7.809 ± 0.398 | 25.013 ± 6.837 | 9.460 ± 0.893 | 2.060 ± 0.938 | 1.283 ± 0.581 | 8.607 ± 4.029 | 0.303 ± 0.193 | 1.762 ± 0.649 | 0.073 ± 0.020 |
| June 2018 | 23.171 ± 2.152 | 7.583 ± 0.357 | 23.933 ± 4.120 | 7.125 ± 0.545 | 2.347 ± 0.803 | 1.049 ± 0.654 | 9.633 ± 4.064 | 0.080 ± 0.056 | 1.956 ± 0.432 | 0.067 ± 0.016 |
| September 2018 | 29.564 ± 1.874 | 7.509 ± 0.330 | 24.873 ± 5.187 | 6.646 ± 0.808 | 2.313 ± 0.434 | 1.225 ± 0.814 | 8.520 ± 3.309 | 0.095 ± 0.065 | 1.464 ± 0.289 | 0.063 ± 0.009 |
| December 2018 | 15.121 ± 2.346 | 7.406 ± 0.549 | 25.447 ± 7.462 | 8.879 ± 1.144 | 2.120 ± 0.885 | 1.419 ± 0.802 | 7.867 ± 4.809 | 0.143 ± 0.114 | 1.663 ± 0.266 | 0.070 ± 0.029 |
| March 2019 | 10.293 ± 1.532 | 7.439 ± 0.528 | 23.953 ± 4.367 | 10.854 ± 1.236 | 2.173 ± 0.626 | 1.547 ± 0.884 | 7.867 ± 3.681 | 0.245 ± 0.173 | 1.947 ± 0.367 | 0.063 ± 0.015 |
| June 2019 | 23.879 ± 2.064 | 7.638 ± 0.221 | 21.380 ± 5.805 | 7.647 ± 0.681 | 2.373 ± 1.209 | 1.453 ± 1.135 | 8.800 ± 7.292 | 0.078 ± 0.060 | 1.549 ± 0.222 | 0.066 ± 0.018 |
| September 2019 | 28.100 ± 2.644 | 7.593 ± 0.520 | 25.033 ± 6.039 | 6.883 ± 0.652 | 2.487 ± 1.141 | 1.440 ± 1.041 | 10.000 ± 7.635 | 0.090 ± 0.086 | 1.650 ± 0.341 | 0.065 ± 0.027 |
| December 2019 | 12.714 ± 1.671 | 7.751 ± 0.337 | 27.693 ± 6.328 | 9.069 ± 1.031 | 2.100 ± 0.637 | 1.713 ± 0.610 | 8.333 ± 5.205 | 0.165 ± 0.117 | 1.629 ± 0.346 | 0.068 ± 0.017 |
Publisher’s Note: MDPI stays neutral with regard to jurisdictional claims in published maps and institutional affiliations. |
© 2022 by the authors. Licensee MDPI, Basel, Switzerland. This article is an open access article distributed under the terms and conditions of the Creative Commons Attribution (CC BY) license (https://creativecommons.org/licenses/by/4.0/).
Share and Cite
Yin, X.; Yan, G.; Wang, X.; Huang, D.; Li, L. Spatiotemporal Distribution Pattern of Phytoplankton Community and Its Main Driving Factors in Dongting Lake, China—A Seasonal Study from 2017 to 2019. Water 2022, 14, 1674. https://doi.org/10.3390/w14111674
Yin X, Yan G, Wang X, Huang D, Li L. Spatiotemporal Distribution Pattern of Phytoplankton Community and Its Main Driving Factors in Dongting Lake, China—A Seasonal Study from 2017 to 2019. Water. 2022; 14(11):1674. https://doi.org/10.3390/w14111674
Chicago/Turabian StyleYin, Xueyan, Guanghan Yan, Xing Wang, Daizhong Huang, and Liqiang Li. 2022. "Spatiotemporal Distribution Pattern of Phytoplankton Community and Its Main Driving Factors in Dongting Lake, China—A Seasonal Study from 2017 to 2019" Water 14, no. 11: 1674. https://doi.org/10.3390/w14111674
APA StyleYin, X., Yan, G., Wang, X., Huang, D., & Li, L. (2022). Spatiotemporal Distribution Pattern of Phytoplankton Community and Its Main Driving Factors in Dongting Lake, China—A Seasonal Study from 2017 to 2019. Water, 14(11), 1674. https://doi.org/10.3390/w14111674
