Interaction between Strong Sound Waves and Aerosol Droplets: Numerical Simulation
Abstract
1. Introduction
2. Methodology
2.1. Physics Definition
2.2. Mechanical Modelling
2.3. Determination of Box-Relevant Parameters
3. Parameter Calibration
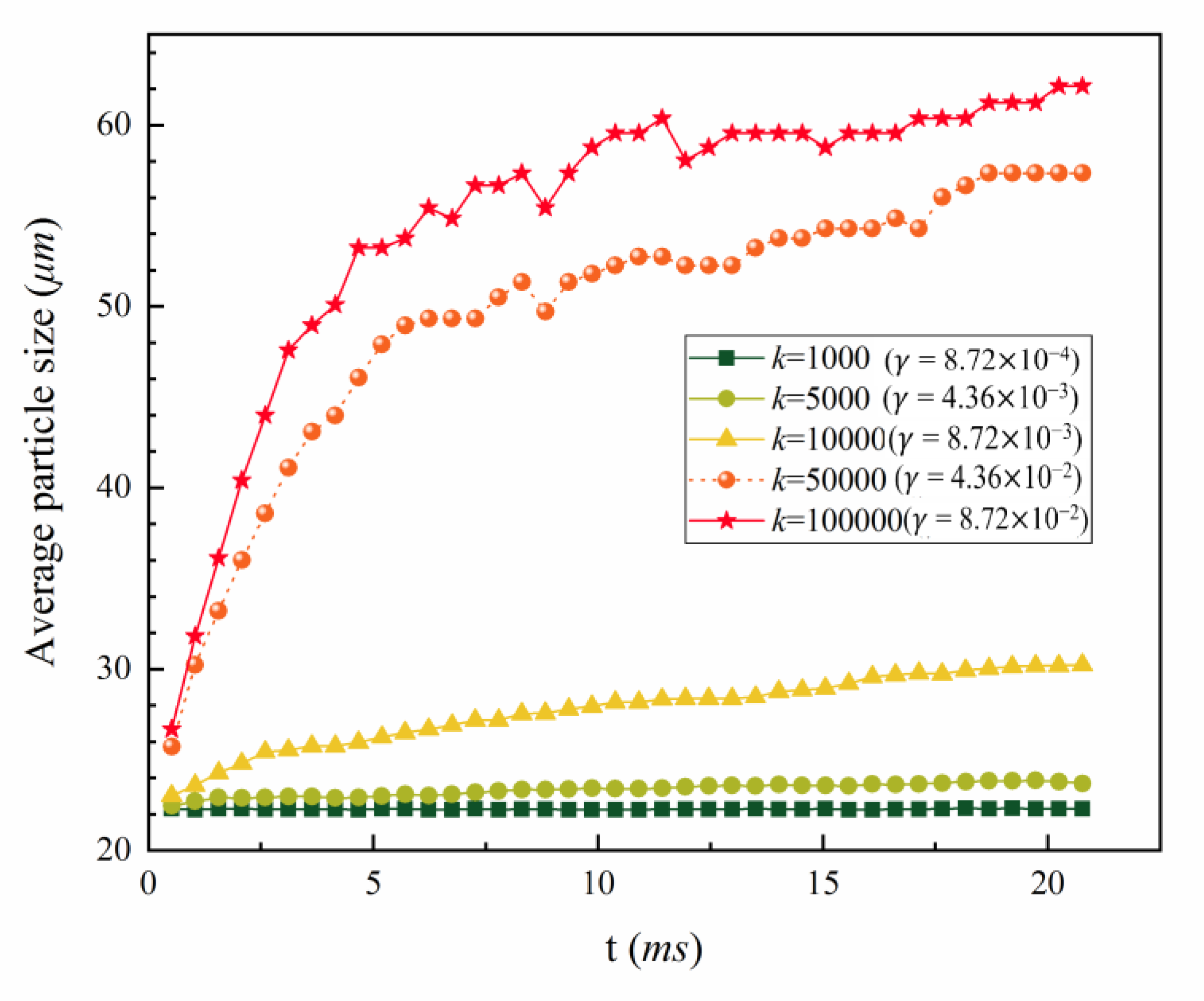
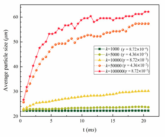
3.1. Calibration of Surface Energy of the Particles
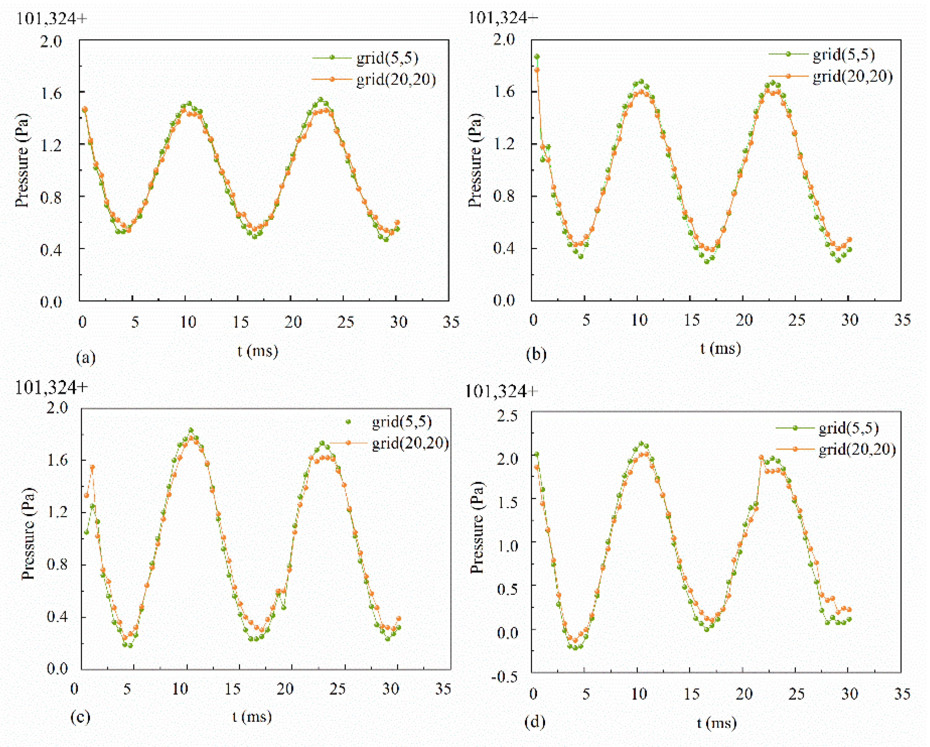
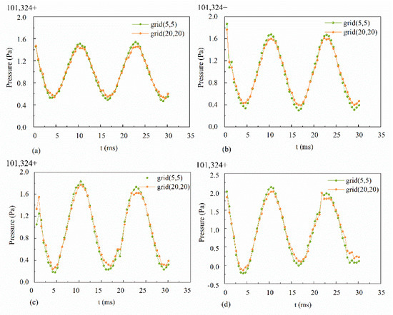
3.2. Calibration of Fluid Grid
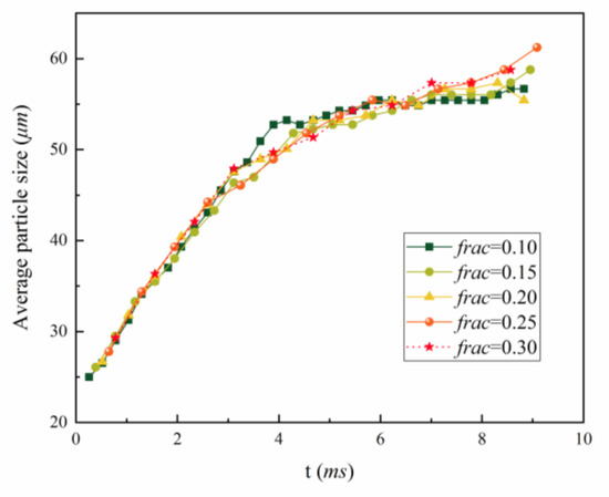
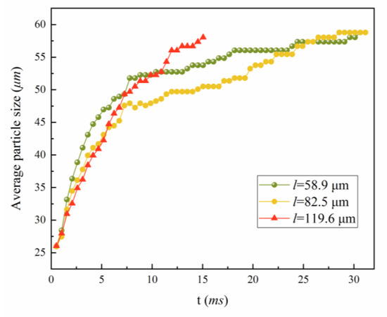
3.3. Calibration of the Time Fraction
4. Results
4.1. Equivalent Sound Waves Produced by Box Vibration
4.2. Acoustic Agglomeration
4.3. Effect of Sound Frequency on the Agglomeration of Aerosol Droplets
4.4. Effect of SPL on the Agglomeration of Aerosol Droplets
4.5. Effect of Particle Spacing on the Agglomeration of Aerosol Droplets
5. Discussion
6. Conclusions
Author Contributions
Funding
Data Availability Statement
Conflicts of Interest
References
- Hoffmann, T.L.; Chen, W.; Koopmann, G.H.; Scaroni, A.W.; Song, L. Experimental and Numerical Analysis of Bimodal Acoustic Agglomeration. J. Vib. Acoust. 1993, 115, 232–240. [Google Scholar] [CrossRef]
- Tiwary, R.; Reethof, G.; Mcdaniel, O.H. Acoustically Generated Turbulence and Its Effect on Acoustic Agglomeration. J. Acoust. Soc. Am. 1984, 76, 841–849. [Google Scholar] [CrossRef]
- Patterson, H.S.; Cawood, W. Cawood, Phenomena in a sounding tube. Nature 1931, 127, 667. [Google Scholar] [CrossRef]
- Gallego-Juárez, J.A.; De Sarabia, E.R.-F.; Rodríguez-Corral, G.; Hoffmann, T.L.; Gálvez-Moraleda, J.C.; Rodríguez-Maroto, J.J.; Gómez-Moreno, F.J.; Bahillo-Ruiz, A.; Martín-Espigares, M.; Acha, M. Application of acoustic agglomeration to reduce fine particle emissions from coal combustion plants. Environ. Sci. Technol. 1999, 33, 3843–3849. [Google Scholar] [CrossRef]
- Fan, F.X.; Zhang, M.J.; Kim, C.N. Numerical simulation of interaction between two PM2.5 particles under acoustic travelling wave conditions. AIP Conf. Proc. 2013, 1542, 855–858. [Google Scholar]
- Wei, J.; Qiu, J.; Li, T.; Huang, Y.; Qiao, Z.; Cao, J.; Zhong, D.; Wang, G. Cloud and precipitation interference by strong low-frequency sound wave. Sci. China Technol. Sci. 2020, 64, 261–272. [Google Scholar] [CrossRef]
- Mednikov, E.P. Acoustic Coagulation and Precipitation of Aerosols; Consultants Bureau: New York, NY, USA, 1965. [Google Scholar]
- Maknickas, A.; Markauskas, D.; Kacianauskas, R. Discrete element simulating the hydrodynamic effects in acoustic agglomeration of micron-sized particles. Part. Sci. Technol. 2016, 34, 453–460. [Google Scholar] [CrossRef]
- Aktas, M.K.; Farouk, B. Numerical simulation of acoustic streaming generated by finite-amplitude resonant oscillations in an enclosure. J. Acoust. Soc. Am. 2004, 116, 2822–2831. [Google Scholar] [CrossRef]
- Otto, E.; Fissan, H. Brownian coagulation of submicron particles. Adv. Powder Technol. 1999, 10, 1–20. [Google Scholar] [CrossRef]
- Zhang, G.; Liu, J.; Wang, J.; Zhou, J.; Cen, K. Numerical simulation of acoustic wake effect in acoustic agglomeration under Oseen flow condition. Chin. Sci. Bull. 2012, 57, 2404–2412. [Google Scholar] [CrossRef]
- Knoop, C.; Fritsching, U. Dynamic forces on agglomerated particles caused by high-intensity ultrasound. Ultrasonics 2014, 54, 763–769. [Google Scholar] [CrossRef] [PubMed]
- Sepehrirahnama, S.; Lim, K.-M.; Chau, F.S. Numerical Analysis of the Acoustic Radiation Force and Acoustic Streaming Around a Sphere in an Acoustic Standing Wave. Phys. Procedia 2015, 70, 80–84. [Google Scholar] [CrossRef][Green Version]
- Li, F.-F.; Jia, Y.-H.; Wang, G.-Q.; Qiu, J. Mechanism of Cloud Droplet Motion under Sound Wave Actions. J. Atmos. Ocean. Technol. 2020, 37, 1539–1550. [Google Scholar] [CrossRef]
- Jia, Y.-H.; Li, F.-F.; Fang, K.; Wang, G.-Q.; Qiu, J. Interaction between Strong Sound Waves and Cloud Droplets: Theoretical Analysis. J. Appl. Meteorol. Climatol. 2021, 60, 1373–1386. [Google Scholar] [CrossRef]
- Zhou, D.; Luo, Z.; Jiang, J.; Chen, H.; Lu, M.; Fang, M. Experimental study on improving the efficiency of dust removers by using acoustic agglomeration as pretreatment. Powder Technol. 2016, 289, 52–59. [Google Scholar] [CrossRef]
- Amiri, M.; Sadighzadeh, A.; Falamaki, C. Experimental Parametric Study of Frequency and Sound Pressure Level on the Acoustic Coagulation and Precipitation of PM2.5 Aerosols. Aerosol Air Qual. Res. 2016, 16, 3012–3025. [Google Scholar] [CrossRef]
- Sadighzadeh, A.; Mohammadpour, H.; Omidi, L.; Jafari, M.J. Application of acoustic agglomeration for removing sulfuric acid mist from air stream. Sustain. Environ. Res. 2018, 28, 20–24. [Google Scholar] [CrossRef]
- Cao, H.; Li, F.-F.; Zhao, X.; Liu, Z.-L.; Wang, G.-Q.; Qiu, J. Micro-droplet deposition and growth on a glass slide driven by acoustic agglomeration. Exp. Fluids 2021, 62, 127. [Google Scholar] [CrossRef]
- Qiu, J.; Tang, L.-J.; Cheng, L.; Wang, G.-Q.; Li, F.-F. Interaction between strong sound waves and cloud droplets: Cloud chamber experiment. Appl. Acoust. 2021, 176, 107891. [Google Scholar] [CrossRef]
- Markauskas, D.; Kačianauskas, R.; Maknickas, A. Numerical particle-based analysis of the effects responsible for acoustic particle agglomeration. Adv. Powder Technol. 2015, 26, 698–704. [Google Scholar] [CrossRef]
- Kacianauskas, R.; Maknickas, A.; Vainorius, D. DEM analysis of acoustic wake agglomeration for mono-sized microparticles in the presence of gravitational effects. Granul. Matter 2017, 19, 48. [Google Scholar] [CrossRef]
- Shi, Y.; Wei, J.; Qiu, J.; Chu, H.; Bai, W.; Wang, G. Numerical study of acoustic agglomeration process of droplet aerosol using a three-dimensional CFD-DEM coupled model. Powder Technol. 2019, 362, 37–53. [Google Scholar] [CrossRef]
- Sujith, R.I.; Waldherr, G.A.; Jagoda, J.I.; Zinn, B.T. A Theoretical Investigation of the Behavior of Droplets in Axial Acoustic Fields. J. Vib. Acoust. 1999, 121, 286–294. [Google Scholar] [CrossRef]
- Behbahani, M.; Behr, M.; Hormes, M.; Steinseifer, U.; Arora, D.; Coronado, O.; Pasquali, M. A review of computational fluid dynamics analysis of blood pumps. Eur. J. Appl. Math. 2009, 20, 363–397. [Google Scholar] [CrossRef]
- Di Felice, R. The voidage function for fluid-particle interaction systems. Int. J. Multiph. Flow 1994, 20, 153–159. [Google Scholar] [CrossRef]
- Johnson, K.L.; Kendall, K.; Roberts, A.D.; Tabor, D. Surface energy and the contact of elastic solids. Proc. R. Soc. Lond. A Math. Phys. Sci. 1971, 324, 301–313. [Google Scholar]
- Guo, Y. A Coupled DEM/CFD Analysis of Die Filling Process. Ph.D. Thesis, University of Birmingham, Birmingham, UK, 2010. [Google Scholar]
- Li, Q. Experiments and Numerical Simulation of the PM2.5 Particle Coagulation in Acoustic Field. Master’s Thesis, North China Electric Power University, Beijing, China, 2007. (In Chinese). [Google Scholar]
- Hoffmann, T.L. Environmental implications of acoustic aerosol agglomeration. Ultrasonics 2000, 38, 353–357. [Google Scholar] [CrossRef]
- Sujith, R.I. Behavior of Droplets in Axial Acoustic Fields. Ph.D. Thesis, Georgia Institute of Technology, Atlanta, GA, USA, 1994. [Google Scholar]
- Wang, J. Study of Combined Acoustic Agglomeration with Other Means to Remove Coal-Fired Fine Particles. Ph.D. Thesis, Zhejiang University, Zhejiang, China, 2012. [Google Scholar]
- East, T.W.R.; Marshall, J.S. Turbulence in Clouds as a Factor in Precipitation. Q. J. R. Meteorol. Soc. 1954, 80, 26–47. [Google Scholar] [CrossRef]














| A (μm) | 60 | 80 | 100 | 150 | 200 | 300 | 400 | 600 | 800 | 
|---|---|---|---|---|---|---|---|---|---|
| f = 60 Hz | |||||||||
| Δp (Pa) | 0.59 | 0.77 | 0.94 | 1.34 | 1.72 | 3.41 | 3.92 | 7.47 | 12.00 | 
| SPL (dB) | 89.40 | 91.71 | 93.44 | 96.49 | 98.69 | 104.63 | 105.83 | 111.45 | 115.53 | 
| f = 80 Hz | |||||||||
| Δp (Pa) | 1.00 | 1.27 | 1.59 | 2.25 | 2.99 | 4.61 | 6.45 | 8.45 (A = 500μm) | |
| SPL (dB) | 93.08 | 96.06 | 98.01 | 101.00 | 103.48 | 107.24 | 110.16 | 112.52 | |
| A (μm) | 5 | 7 | 10 | 13 | 30 | 85 | 131 | 240 | 
|---|---|---|---|---|---|---|---|---|
| f (Hz) | 1000 | 800 | 500 | 400 | 200 | 100 | 80 | 60 | 
| Δp (Pa) | 1.915 | 1.935 | 2.075 | 2.015 | 2.135 | 2.05 | 2.035 | 1.945 | 
| SPL (dB) | 99.62 | 99.71 | 100.32 | 100.06 | 100.57 | 100.21 | 100.15 | 99.76 | 
| Frac | 0.10 | 0.15 | 0.20 | 0.25 | 0.30 | 
|---|---|---|---|---|---|
| Calculated average particle size (μm) | 55.43 | 56.04 | 56.68 | 57.34 | 57.34 | 
| Relative errors with frac = 0.10 | 1.10% | 2.25% | 3.45% | 3.45% | 
| Parameters | Surface Energy | Fluid Grid Size | Time Fraction | 
|---|---|---|---|
| Value | 4.36 × 10−2 J/m2 | 82.5 μm | 0.20 | 
| Publisher’s Note: MDPI stays neutral with regard to jurisdictional claims in published maps and institutional affiliations. | 
© 2022 by the authors. Licensee MDPI, Basel, Switzerland. This article is an open access article distributed under the terms and conditions of the Creative Commons Attribution (CC BY) license (https://creativecommons.org/licenses/by/4.0/).
Share and Cite
Li, F.; Cao, H.; Jia, Y.; Guo, Y.; Qiu, J. Interaction between Strong Sound Waves and Aerosol Droplets: Numerical Simulation. Water 2022, 14, 1661. https://doi.org/10.3390/w14101661
Li F, Cao H, Jia Y, Guo Y, Qiu J. Interaction between Strong Sound Waves and Aerosol Droplets: Numerical Simulation. Water. 2022; 14(10):1661. https://doi.org/10.3390/w14101661
Chicago/Turabian StyleLi, Fangfang, Han Cao, Yinghui Jia, Yu Guo, and Jun Qiu. 2022. "Interaction between Strong Sound Waves and Aerosol Droplets: Numerical Simulation" Water 14, no. 10: 1661. https://doi.org/10.3390/w14101661
APA StyleLi, F., Cao, H., Jia, Y., Guo, Y., & Qiu, J. (2022). Interaction between Strong Sound Waves and Aerosol Droplets: Numerical Simulation. Water, 14(10), 1661. https://doi.org/10.3390/w14101661
 
         
                                                




 
       