Distribution of Carbon and Nitrogen as Indictors of Environmental Significance in Coastal Sediments of Weizhou Island, Beibu Gulf
Abstract
1. Introduction
2. Materials and Methods
2.1. Sample Collection
2.2. Sample Analysis
3. Results
3.1. Inorganic Proxies of Costal Sediments on Weizhou Island
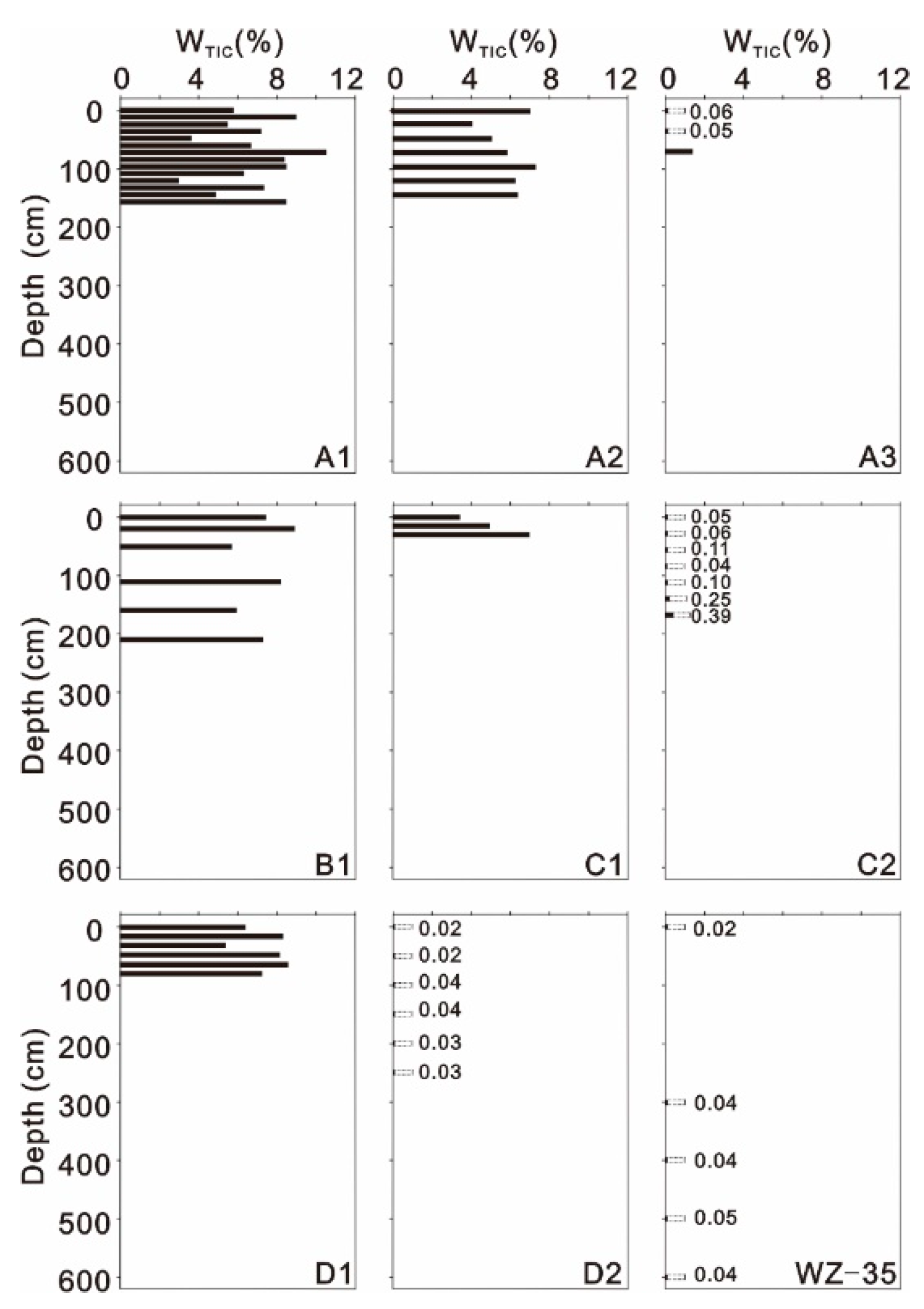
3.1.1. Distribution of TIC in Coastal Sediments
3.1.2. The Distribution of δ13Ccarb and δ18Ocarb in the Coastal Sediments
3.2. Organic Proxies of Coastal Sediments on Weizhou Island
3.2.1. Distributions of TOC and TN in the Coastal Sediments
3.2.2. Sediment δ13CTOC and δ15NTN Distributions
3.3. AMS Radiocarbon Dating Analysis
4. Discussion
4.1. Environmental Significance of Inorganic Proxies under Evaporation
4.1.1. Source analysis of TIC content
4.1.2. Ocean Influence Dominated the Area of Distributions of δ13Ccarb and δ18Ocarb
4.2. Organic Matter Sources of Coastal Sediment on Weizhou Island
4.2.1. Source Analysis of Organic Carbon and Nitrogen
4.2.2. Correlation of δ13CTOC and δ15NTN and Their Environmental Significance
4.3. The Regression of the Coastal Environment on Weizhou Island
5. Conclusions
Author Contributions
Funding
Acknowledgments
Conflicts of Interest
References
- De Haas, H.; van Weering, T.C.E.; de Stieger, H. Organic carbon in shelf seas: Sinks or sources, processes and products. Cont. Shelf Res. 2002, 22, 691–717. [Google Scholar] [CrossRef]
- Yang, Q.C.; Zhang, X.S.; Xu, X.Y.; Asrar, G.R. An Analysis of Terrestrial and Aquatic Environmental Controls of Riverine Dissolved Organic Carbon in the Conterminous United States. Water 2017, 9, 838. [Google Scholar] [CrossRef]
- Meyers, P.A. Organic geochemical proxies of paleoceanographic, paleolimnologic, and paleoclimatic processes. Org. Geochem. 1997, 27, 213–250. [Google Scholar] [CrossRef]
- Yu, F.L.; Zong, Y.Q.; Lloyd, J.M.; Huang, G.Q.; Leng, M.J.; Kendrick, C.; Lamb, A.L.; Yim, W.W.S. Bulk organic delta C-13 and C/N as indicators for sediment sources in the Pearl River delta and estuary, southern China. Estuar. Coast. Shelf Sci. 2010, 87, 618–630. [Google Scholar] [CrossRef]
- Li, Y.X.; Zhang, L.J.; Xue, L.; Fan, W.H.; Liu, F.W.; Yang, H. Spatial Variation in Aragonite Saturation State and the Influencing Factors in Jiaozhou Bay, China. Water 2020, 12, 825. [Google Scholar] [CrossRef]
- Lupon, A.; Catalan, N.; Marti, E.; Bernal, S. Influence of Dissolved Organic Matter Sources on In-Stream Net Dissolved Organic Carbon Uptake in a Mediterranean Stream. Water 2020, 12, 1722. [Google Scholar] [CrossRef]
- Zhang, Y.F.; Li, D.W.; Wang, K.; Xue, B. Contribution of Biological Effects to the Carbon Sources/Sinks and the Trophic Status of the Ecosystem in the Changjiang (Yangtze) River Estuary Plume in Summer as Indicated by Net Ecosystem Production Variations. Water 2019, 11, 1264. [Google Scholar] [CrossRef]
- Li, X.G.; Song, J.M.; Yuan, H.A. Inorganic carbon of sediments in the Yangtze River Estuary and Jiaozhou Bay. Biogeochemistry 2006, 77, 177–197. [Google Scholar] [CrossRef]
- Xie, X.L.; Wang, Y.Z.; Zhang, P.Y.; Gao, X.L. Fractionation of inorganic carbon in surface sediments of Daya Bay and Sishili Bay areas. Environ. Chem. 2011, 6, 1108–1113. (In Chinese) [Google Scholar]
- Zhang, D.H.; Zhao, L.S. Geochemistry; Zhang, B.R., Chen, Y.L., Mao, S.D., Yang, Z.F., Hou, Q.Y., Yuan, G.L., Eds.; Geological Publishing House: Beijing, China, 2013; pp. 388–394. (In Chinese) [Google Scholar]
- Lamb, A.L.; Wilson, G.P.; Leng, M.J. A review of coastal palaeoclimate and relative sea-level reconstructions using delta C-13 and C/N ratios in organic material. Earth Sci. Rev. 2006, 75, 29–57. [Google Scholar] [CrossRef]
- Sampei, Y.; Matsumoto, E. C/N ratios in a sediment core from Nakaumi Lagoon, southwest Japan—Usefulness as an organic source indicator. Geochem. J. 2001, 35, 189–205. [Google Scholar] [CrossRef]
- Brodie, C.R.; Casford, J.S.L.; Lloyd, J.M.; Leng, M.J.; Heaton, T.H.E.; Kendrick, C.P.; Zong, Y.Q. Evidence for bias in C/N, delta C-13 and delta N-15 values of bulk organic matter, and on environmental interpretation, from a lake sedimentary sequence by pre-analysis acid treatment methods. Quat. Sci. Rev. 2011, 30, 3076–3087. [Google Scholar] [CrossRef]
- Perdue, E.M.; Koprivnjak, J.F. Using the C/N ratio to estimate terrigenous inputs of organic matter to aquatic environments. Estuar. Coast. Shelf Sci. 2007, 73, 65–72. [Google Scholar] [CrossRef]
- Krull, E.; Haynes, D.; Lamontagne, S.; Gell, P.; McKirdy, D.; Hancock, G.; McGowan, J.; Smernik, R. Changes in the chemistry of sedimentary organic matter within the Coorong over space and time. Biogeochemistry 2009, 92, 9–25. [Google Scholar] [CrossRef]
- Rumolo, P.; Barra, M.; Gherardi, S.; Marsella, E.; Sprovieri, M. Stable isotopes and C/N ratios in marine sediments as a tool for discriminating anthropogenic impact. J. Environ. Monit. 2011, 13, 3399–3408. [Google Scholar] [CrossRef]
- Tang, H.J.; Ke, Z.X.; Yan, M.T.; Wang, W.J.; Nie, H.Y.; Li, B.X.; Zhang, J.P.; Xu, X.R.; Wang, J. Concentrations, Distribution, and Ecological Risk Assessment of Heavy Metals in Daya Bay, China. Water 2018, 10, 780. [Google Scholar] [CrossRef]
- Liu, X.T.; Ge, C.D.; Zhou, X.Q.; Huang, M.; Tang, M.; Li, Y.L. Nitrogen geochemical characteristics and their implications on environmental change in the lagoon sediments of the Dongdao Island of Xisha Island in South China Sea. Haiyang Xuebao 2017, 39, 43–54. (In Chinese) [Google Scholar]
- Gao, X.L.; Yang, Y.W.; Wang, C.Y. Geochemistry of organic carbon and nitrogen in surface sediments of coastal Bohai Bay inferred from their ratios and stable isotopic signatures. Mar. Pollut. Bull. 2012, 64, 1148–1155. [Google Scholar] [CrossRef]
- Bejugam, P.; Nayak, G.N. Source and depositional processes of the surface sediments and their implications on productivity in recent past off Mahanadi to Pennar River mouths, western Bay of Bengal. Paleogeogr. Paleoclimatol. Paleoecol. 2017, 483, 58–69. [Google Scholar] [CrossRef]
- Zhan, Q.; Wang, Z.H.; Xie, Y.; Xie, J.L.; He, Z.F. Assessing C/N and delta C-13 as indicators of Holocene sea level and freshwater discharge changes in the subaqueous Yangtze delta, China. Holocene 2012, 22, 697–704. [Google Scholar] [CrossRef]
- Liu, J.H.; Li, G.Z.; Nong, H.Q. Features of geomorphy and Quaternaty geology of the Weizhou Island. J. Guangxi Acad. Sci. 1991, 1, 27–36. (In Chinese) [Google Scholar]
- Qi, F.Q.; Li, G.Z.; Sun, Y.F.; Liang, W.; Du, J. Basic geomorphologic features of the Weizhou Island of the Beibu Bay. Adv. Mar. Sci. 2003, 1, 41–50. (In Chinese) [Google Scholar]
- Li, C.N.; Wang, F.Z. Holocene volcanic effusion in Weizhou Island and its geological significance. Miner. Petrol. 2004, 4, 28–34. (In Chinese) [Google Scholar]
- Zheng, Z.Y.; Li, G.X.; Tang, C.L.; Zhou, X. Mean sea level changes near Weizhou island from 1969 to 2010. J. Ocean Univ. China 2014, 13, 369–374. [Google Scholar] [CrossRef]
- Ning, Z.M.; Yu, K.F.; Wang, Y.H.; Huang, X.Y.; Han, M.W.; Zhang, J. Carbon and nutrient dynamics of permeable carbonate and silicate sands adjacent to coral reefs around Weizhou Island in the northern South China Sea. Estuar. Coast. Shelf Sci. 2019, 225, 9. [Google Scholar] [CrossRef]
- Xu, S.D.; Yu, K.F.; Zhang, Z.N.; Chen, B.A.; Qin, Z.J.; Huang, X.Y.; Jiang, W.; Wang, Y.X.; Wang, Y.H. Intergeneric differences in trophic status of Scleractinian Corals from Weizhou Island, northern South China Sea: Implication for their different environmental stress tolerance. J. Geophys. Res. Biogeosci. 2020, 125, 14. [Google Scholar] [CrossRef]
- Yu, Z.T.; Wang, X.j.; Zhao, C.Y.; Lan, H.Y. Spatial variations of inorganic carbon and isotopes in the surface sediment of the Lake Bosten. J. Lake Sci. 2015, 27, 250–257. (In Chinese) [Google Scholar]
- Gao, Y.K.; Wang, H.Y.; Cheng, Y.; Liu, H.Y.; Zhu, C.Y. Climatic and environment changes in more than the past 1800 years as recorded by isotopic carbon and nitrogen in organic matter of sediments from western Foye Chi (Buddha Pond) on Taibai Mountain. Acta Sci. Nat. Univ. Pek. 2018, 56, 94–104. (In Chinese) [Google Scholar]
- Ji, W.H.; Guo, N.C.; Xu, J.; Yu, H.; Niu, Y. Carbon and nitrogen isotope characterization and source analysis of sediments from shallow lakes in the middle of Yangtze River. J. Hydroecol. 2018, 39, 8–15. (In Chinese) [Google Scholar]
- Li, X.G.; Song, J.M. Source, removal and transformation of carbon in marine sediments. Stud. Mar. Sci. 2004, 46, 106–117. (In Chinese) [Google Scholar]
- Cao, H.S.; Zhang, Z.P.; He, W.T.; Huang, X.; Pu, S.Q. Study on the change process of the ecological encironment in the Zhanjiang Bay through the organic carbon isotope technique. J. Ocean. Technol. 2020, 39, 57–63. (In Chinese) [Google Scholar]
- Prahl, F.G.; Ertel, J.R.; Goni, M.A.; Sparrow, M.A.; Eversmeyer, B. Terrestrial organic-carbon contributions to sediments on the Washington Margin. Geochim. Cosmochim. Acta 1994, 58, 3035–3048. [Google Scholar] [CrossRef]
- Bordovskiy, O.K. Sources of organic matter in marine basins. Mar. Geol. 1965, 3, 5–31. [Google Scholar] [CrossRef]
- Chen, M.; Zeng, J.; Yang, W.F. The eco-environmental changes in China coastal seas elucidated from isotope tracers. Haiyang Xuebao 2018, 40, 32–41. (In Chinese) [Google Scholar]
- Maksymowska, D.; Richard, P.; Piekarek-Jankowska, H.; Riera, P. Chemical and isotopic composition of the organic matter sources in the Gulf of Gdansk (Southern Baltic Sea). Estuar. Coast. Shelf Sci. 2000, 51, 585–598. [Google Scholar] [CrossRef]
- Lin, G.H. Stable Isotope Ecology; Higher Education Press: Beijing, China, 2013; pp. 37–266. (In Chinese) [Google Scholar]
- Emerson, S.; Hedges, J.I. Processes controlling the organic carbon content of open ocean sediments. Paleoceanography 1988, 3, 621–634. [Google Scholar] [CrossRef]
- Thimdee, W.; Deein, G.; Sangrungruang, C.; Nishioka, J.; Matsunaga, K. Sources and fate of organic matter in Khung Krabaen Bay (Thailand) as traced by delta C-13 and C/N atomic ratios. Wetlands 2003, 23, 729–738. [Google Scholar] [CrossRef]
- Oleary, M.H. Carbon isotopes in photosynthesis. Bioscience 1988, 38, 328–336. [Google Scholar] [CrossRef]
- Ruiz-Fernandez, A.C.; Hillaire-Marcel, C.; Ghaleb, B.; Soto-Jimenez, M.; Paez-Osuna, F. Recent sedimentary history of anthropogenic impacts on the Culiacan River Estuary, northwestern Mexico: Geochemical evidence from organic matter and nutrients. Environ. Pollut. 2002, 118, 365–377. [Google Scholar] [CrossRef]
- Owens, N.J.P. Natural Variations in 15 N in the Marine Environment. Adv. Mar. Biol. 1988, 24, 389–451. [Google Scholar]
- Vizzini, S.; Savona, B.; Caruso, M.; Savona, A.; Mazzola, A. Analysis of stable carbon and nitrogen isotopes as a tool for assessing the environmental impact of aquaculture: A case study from the western Mediterranean. Aquac. Int. 2005, 13, 157–165. [Google Scholar] [CrossRef]
- Xiong, H.X.; Zong, Y.Q.; Qian, P.; Huang, G.Q.; Fu, S.Q. Holocene sea-level history of the northern coast of South China Sea. Quat. Sci. Rev. 2018, 194, 12–26. [Google Scholar] [CrossRef]
- Yao, Y.T.; Harff, J.; Meyer, M.; Zhan, W.H. Reconstruction of paleocoastlines for the northwestern South China Sea since the Last Glacial Maximum. Sci. China Earth Sci. 2009, 52, 1127–1136. [Google Scholar] [CrossRef]
- Zhao, N.; Shen, D.S.; Shen, J.W. Formation Mechanism of Beach Rocks and Its Controlling Factors in Coral Reef Area, Qilian Islets and Cays, Xisha Islands, China. J. Earth Sci. 2019, 30, 728–738. [Google Scholar] [CrossRef]
- Shen, J.W.; Wang, Y.; Zhao, N.; Yang, H.Q.; Fu, F.X.; Jin, Y.B. Carbonate sedimentary characteristics of the beach rocks around Qilian Islets and Cays, Xisha Islands: Implication for coral reef development and decline. Paleogeogr. Paleoclimatol. Paleoecol. 2017, 474, 264–278. [Google Scholar] [CrossRef]
- Mo, Y.J. Development of coastal landform in Weizhou Island. Trop. Geog. 1989, 3, 243–248. (In Chinese) [Google Scholar]
- Jiwarungrueangkul, T.; Liu, Z.F.; Zhao, Y.L. Terrigenous sediment input responding to sea level change and East Asian monsoon evolution since the last deglaciation in the southern South China Sea. Glob. Planet. Chang. 2019, 174, 127–137. [Google Scholar] [CrossRef]













| Core | Depth (cm) | Number of Sample | Measured Analysis | Location |
|---|---|---|---|---|
| A1 | 156 | 14 | TIC, TOC, TN and 14C age | 21°03’55.86” N, 109°06’20.40” E |
| A2 | 144 | 7 | TIC, TOC and TN | 21°03’48.07” N, 109°06’22.31” E |
| A3 | 70 | 3 | TIC, TOC and TN | 21°03’45.54” N, 109°06’33.56” E |
| B1 | 210 | 6 | TIC, TOC, TN and 14C age | 21°03’40.10” N, 109°08’16.04” E |
| C1 | 30 | 3 | TIC, TOC, TN and 14C age | 21°01’42.93” N, 109°07’47.41” E |
| C2 | 168 | 7 | TIC, TOC and TN | 21°01’42.97” N, 109°07’36.08” E |
| D1 | 80 | 6 | TIC, TOC, TN and 14C age | 21°01’46.72” N, 109°05’11.11” E |
| D2 | 250 | 6 | TIC, TOC and TN | 21°01’59.91” N, 109°05’25.48” E |
| WZ-35 | 600 | 5 | TIC, TOC and TN | 21°02’19.40” N, 109°05’12.25” E |
| Sample Code | Depth (cm) | Sample Number | AGE(BP) (Years) | Material Measured |
|---|---|---|---|---|
| A1-1 | 0 | 470544 | 720 ± 30 | coral |
| A1-8 | 84 | 470541 | 1000 ± 30 | coral |
| B1-2 | 20 | 470547 | 1290 ± 30 | coral |
| B1-5 | 160 | 470545 | 2310 ± 30 | coral |
| C1-1 | 0 | 470549 | 450 ± 30 | coral |
| C1-2 | 15 | 470538 | 1490 ± 30 | coral |
| C1-3 | 30 | 470537 | 2750 ± 30 | coral |
| D1-1 | 0 | 470552 | 1220 ± 30 | coral |
| D1-4 | 48 | 470551 | 1200 ± 30 | coral |
| D1-5 | 64 | 470550 | 1050 ± 30 | coral |
| Sample Code | Depth (cm) | C/N | Sample Code | Depth (cm) | C/N | Sample Code | Depth (cm) | C/N |
|---|---|---|---|---|---|---|---|---|
| A1-1 | 84 | 11.38 | B1-5 | 160 | 6.32 | D1-4 | 48 | 7.45 |
| A1-7 | 156 | 14.42 | C1-1 | 0 | 4.21 | D2-1 | 0 | 7.55 |
| A2-1 | 48 | 7.55 | C1-2 | 15 | 3.92 | D2-2 | 50 | 5.92 |
| A2-2 | 72 | 7.96 | C1-3 | 30 | 4.59 | D2-3 | 100 | 4.87 |
| A2-4 | 120 | 9.94 | C2-1 | 0 | 8.21 | D2-4 | 150 | 0.90 |
| A2-5 | 144 | 9.55 | C2-2 | 28 | 7.21 | D2-5 | 200 | 6.48 |
| A3-1 | 0 | 6.92 | C2-3 | 56 | 7.32 | D2-6 | 250 | 7.19 |
| A3-2 | 35 | 6.67 | C2-4 | 84 | 7.58 | WZ35-1 | 0 | 3.50 |
| A3-3 | 70 | 8.22 | C2-5 | 112 | 8.46 | WZ35-2 | 300 | 4.94 |
| B1-1 | 0 | 8.73 | C2-6 | 140 | 8.73 | WZ35-3 | 400 | 5.08 |
| B1-2 | 20 | 5.47 | C2-7 | 168 | 8.28 | WZ35-4 | 500 | 5.03 |
| B1-3 | 50 | 6.94 | D1-3 | 32 | 8.77 | WZ35-5 | 600 | 6.31 |
Publisher’s Note: MDPI stays neutral with regard to jurisdictional claims in published maps and institutional affiliations. |
© 2020 by the authors. Licensee MDPI, Basel, Switzerland. This article is an open access article distributed under the terms and conditions of the Creative Commons Attribution (CC BY) license (http://creativecommons.org/licenses/by/4.0/).
Share and Cite
Tang, Z.; Cao, C.; Tang, K.; Qi, H.; Sun, Y.; Yang, J. Distribution of Carbon and Nitrogen as Indictors of Environmental Significance in Coastal Sediments of Weizhou Island, Beibu Gulf. Water 2020, 12, 3285. https://doi.org/10.3390/w12113285
Tang Z, Cao C, Tang K, Qi H, Sun Y, Yang J. Distribution of Carbon and Nitrogen as Indictors of Environmental Significance in Coastal Sediments of Weizhou Island, Beibu Gulf. Water. 2020; 12(11):3285. https://doi.org/10.3390/w12113285
Chicago/Turabian StyleTang, Zhiyi, Chao Cao, Kunxian Tang, Hongshuai Qi, Yuanmin Sun, and Jiangbo Yang. 2020. "Distribution of Carbon and Nitrogen as Indictors of Environmental Significance in Coastal Sediments of Weizhou Island, Beibu Gulf" Water 12, no. 11: 3285. https://doi.org/10.3390/w12113285
APA StyleTang, Z., Cao, C., Tang, K., Qi, H., Sun, Y., & Yang, J. (2020). Distribution of Carbon and Nitrogen as Indictors of Environmental Significance in Coastal Sediments of Weizhou Island, Beibu Gulf. Water, 12(11), 3285. https://doi.org/10.3390/w12113285

