Glacier Mapping Based on Random Forest Algorithm: A Case Study over the Eastern Pamir
Abstract
1. Introduction
2. Research Area
3. Datasets
3.1. Pre-Processing
3.1.1. Spectral Features
3.1.2. Textural Features
3.1.3. Temperature Features
3.1.4. Topographic Features
3.1.5. Movement Velocity Features
3.1.6. Verification Features
3.2. Analysis Features
4. Random Forest Classification
4.1. Selection of Classification Samples
4.2. Selection of Experimental Scheme
5. Results
5.1. Accuracy Assessment
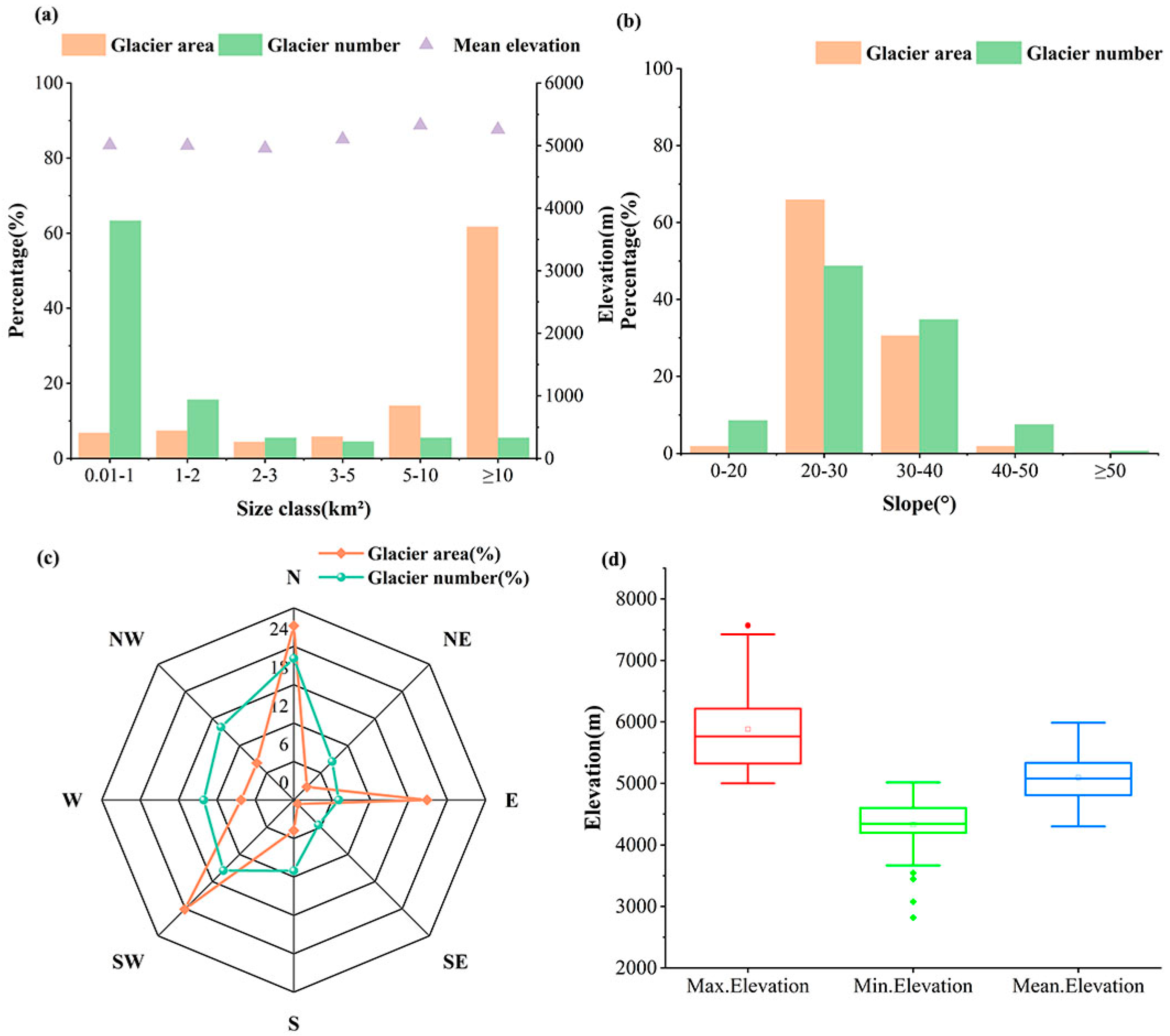
5.2. Spatial Characteristics of Mountain Glaciers
6. Discussion
6.1. Uncertainties and Limitations in Mapping Glacier Outlines
6.2. Comparison with Previous Glacier Classification Methods and Glacier Inventories
7. Conclusions
Author Contributions
Funding
Acknowledgments
Conflicts of Interest
References
- Immerzeel, W.W.; Van Beek, L.P.H.; Bierkens, M.F.P. Climate Change Will Affect the Asian Water Towers. Science 2010, 328, 1382–1385. [Google Scholar]
- Gardner, A.S.; Moholdt, G.; Cogley, J.G.; Wouters, B.; Arendt, A.A.; Wahr, J.; Berthier, E.; Hock, R.; Pfeffer, W.T.; Kaser, G.; et al. A Reconciled Estimate of Glacier Contributions to Sea Level Rise: 2003 to 2009. Science 2013, 340, 852–857. [Google Scholar] [CrossRef] [PubMed]
- Andreas, K.; Etienne, B.; Christopher, N.; Julie, G.; Yves, A. Contrasting patterns of early twenty-first-century glacier mass change in the Himalayas. Nature 2012, 488, 495–498. [Google Scholar]
- Kääb, A.; Treichler, D.; Nuth, C.; Berthier, E. Brief Communication: Contending estimates of 2003–2008 glacier mass balance over the Pamir–Karakoram–Himalaya. Cryosphere 2015, 9, 557–564. [Google Scholar] [CrossRef]
- Lamsal, D.; Sawagaki, T.; Watanabe, T.; Byers, A.C. Assessment of glacial lake development and prospects of outburst susceptibility: Chamlang South Glacier, eastern Nepal Himalaya. Geomat. Nat. Hazards Risk 2016, 7, 403–423. [Google Scholar] [CrossRef]
- Zhao, L.; Ding, R.; Moore, J.C. The High Mountain Asia glacier contribution to sea-level rise from 2000 to 2050. Ann. Glaciol. 2016, 57, 223–231. [Google Scholar] [CrossRef]
- Kraaijenbrink, P.D.A.; Shea, J.M.; Pellicciotti, F.; de Jong, S.M.; Immerzeel, W.W. Object-based analysis of unmanned aerial vehicle imagery to map and characterise surface features on a debris-covered glacier. Remote Sens. Environ. 2016, 186, 581–595. [Google Scholar] [CrossRef]
- Kääb, A.; Bolch, T.; Casey, K.; Heid, T.; Kargel, J.S.; Leonard, G.J.; Paul, F.; Raup, B.H. Glacier Mapping and Monitoring Using Multispectral Data. In Global Land Ice Measurements from Space; Kargel, J.S., Leonard, G.J., Bishop, M.P., Kääb, A., Raup, B.H., Eds.; Springer Praxis Books; Springer: Berlin/Heidelberg, Germany, 2014; pp. 75–112. ISBN 978-3-540-79818-7. [Google Scholar]
- Williams, R.S.; Hall, D.K.; Sigurðsson, O.; Chien, J.Y.L. Comparison of satellite-derived with ground-based measurements of the fluctuations of the margins of Vatnajökull, Iceland, 1973–92. Ann. Glaciol. 1997, 24, 72–80. [Google Scholar] [CrossRef]
- Burns, P.; Nolin, A. Using atmospherically-corrected Landsat imagery to measure glacier area change in the Cordillera Blanca, Peru from 1987 to 2010. Remote Sens. Environ. 2014, 140, 165–178. [Google Scholar] [CrossRef]
- Singh, D.K.; Thakur, P.K.; Naithani, B.P.; Kaushik, S. Quantifying the sensitivity of band ratio methods for clean glacier ice mapping. Spat. Inf. Res. 2020. [Google Scholar] [CrossRef]
- Pope, A.; Rees, W.G. Impact of spatial, spectral, and radiometric properties of multispectral imagers on glacier surface classification. Remote Sens. Environ. 2014, 141, 1–13. [Google Scholar] [CrossRef]
- Gjermundsen, E.F.; Mathieu, R.; Kääb, A.; Chinn, T.; Fitzharris, B.; Hagen, J.O. Assessment of multispectral glacier mapping methods and derivation of glacier area changes, 1978–2002, in the central Southern Alps, New Zealand, from ASTER satellite data, field survey and existing inventory data. J. Glaciol. 2011, 57, 667–683. [Google Scholar] [CrossRef]
- Paul, F. Changes in glacier area in Tyrol, Austria, between 1969 and 1992 derived from Landsat 5 Thematic Mapper and Austrian Glacier Inventory data. Int. J. Remote Sens. 2002, 23, 787–799. [Google Scholar] [CrossRef]
- Guo, W.; Liu, S.; Xu, J.; Wu, L.; Shangguan, D.; Yao, X.; Wei, J.; Bao, W.; Yu, P.; Liu, Q.; et al. The second Chinese glacier inventory: Data, methods and results. J. Glaciol. 2015, 61, 357–372. [Google Scholar] [CrossRef]
- Liu, S.; Yao, X.; Guo, W.; Xu, J.; Shangguan, D.; Wei, J.; Bao, W.; Wu, L. The contemporary glaciers in China based on the Second Chinese Glacier Inventory. Acta Geogr. Sin. 2015, 70, 3–16. [Google Scholar] [CrossRef]
- Paul, F.; Huggel, C.; Kääb, A. Combining satellite multispectral image data and a digital elevation model for mapping debris-covered glaciers. Remote Sens. Environ. 2004, 89, 510–518. [Google Scholar] [CrossRef]
- Winsvold, S.H.; Kääb, A.; Nuth, C.; Andreassen, L.M.; van Pelt, W.J.J.; Schellenberger, T. Using SAR satellite data time series for regional glacier mapping. Cryosphere 2018, 12, 867–890. [Google Scholar] [CrossRef]
- Karimi, N.; Farokhnia, A.; Karimi, L.; Eftekhari, M.; Ghalkhani, H. Combining optical and thermal remote sensing data for mapping debris-covered glaciers (Alamkouh Glaciers, Iran). Cold Reg. Sci. Technol. 2012, 71, 73–83. [Google Scholar] [CrossRef]
- Wang, X.; Gao, X.; Zhang, X.; Wang, W.; Yang, F. An Automated Method for Surface Ice/Snow Mapping Based on Objects and Pixels from Landsat Imagery in a Mountainous Region. Remote Sens. 2020, 12, 485. [Google Scholar] [CrossRef]
- Bolch, T. Climate change and glacier retreat in northern Tien Shan (Kazakhstan/Kyrgyzstan) using remote sensing data. Glob. Planet. Chang. 2007, 56, 1–12. [Google Scholar] [CrossRef]
- Wang, P.; Li, Z.; Li, H.; Zhang, Z.; Xu, L.; Yue, X. Glaciers in Xinjiang, China: Past Changes and Current Status. Water 2020, 12, 2367. [Google Scholar] [CrossRef]
- Mölg, N.; Bolch, T.; Rastner, P.; Strozzi, T.; Paul, F. A consistent glacier inventory for Karakoram and Pamir derived from Landsat data: Distribution of debris cover and mapping challenges. Earth Syst. Sci. Data 2018, 10, 1807–1827. [Google Scholar] [CrossRef]
- Ye, Q.; Zong, J.; Tian, L.; Cogley, J.G.; Song, C.; Guo, W. Glacier changes on the Tibetan Plateau derived from Landsat imagery: Mid-1970s–2000–13. J. Glaciol. 2017, 63, 273–287. [Google Scholar] [CrossRef]
- Azzoni, R.S.; Sarıkaya, M.A.; Fugazza, D. Turkish glacier inventory and classification from high-resolution satellite data. Med. Geosc. Rev. 2020, 2, 153–162. [Google Scholar] [CrossRef]
- Marochov, M.; Carbonneau, P.; Stokes, C. Automated image classification of outlet glaciers in Greenland using deep learning. In Proceedings of the EGU General Assembly Conference Abstracts, Göttingen, Germany, 4–8 May 2020; Volume 22, p. 19996. [Google Scholar]
- Alifu, H.; Vuillaume, J.-F.; Johnson, B.A.; Hirabayashi, Y. Machine-learning classification of debris-covered glaciers using a combination of Sentinel-1/-2 (SAR/optical), Landsat 8 (thermal) and digital elevation data. Geomorphology 2020, 369, 107365. [Google Scholar] [CrossRef]
- Speiser, J.L.; Miller, M.E.; Tooze, J.; Ip, E. A comparison of random forest variable selection methods for classification prediction modeling. Expert Syst. Appl. 2019, 134, 93–101. [Google Scholar] [CrossRef]
- Dong, X.; Yu, Z.; Cao, W.; Shi, Y.; Ma, Q. A survey on ensemble learning. Front. Comput. Sci. 2020, 14, 241–258. [Google Scholar] [CrossRef]
- Hillebrand, E.; Lukas, M.; Wei, W. Bagging weak predictors. Int. J. Forecast. 2020, S0169207020300649. [Google Scholar] [CrossRef]
- Belgiu, M.; Drăguţ, L. Random forest in remote sensing: A review of applications and future directions. ISPRS J. Photogramm. Remote Sens. 2016, 114, 24–31. [Google Scholar] [CrossRef]
- Pal, M. Random forest classifier for remote sensing classification. Int. J. Remote Sens. 2005, 26, 217–222. [Google Scholar] [CrossRef]
- Schoppa, L.; Disse, M.; Bachmair, S. Evaluating the performance of random forest for large-scale flood discharge simulation. J. Hydrol. 2020, 590, 125531. [Google Scholar] [CrossRef]
- Pham, L.T.; Luo, L.; Finley, A.O. Evaluation of Random Forest for short-term daily streamflow forecast in rainfall and snowmelt driven watersheds. Hydrol. Earth Syst. Sci. Discuss. 2020, 1–33. [Google Scholar] [CrossRef]
- Mosavi, A.; Hosseini, F.S.; Choubin, B.; Goodarzi, M.; Dineva, A.A. Groundwater Salinity Susceptibility Mapping Using Classifier Ensemble and Bayesian Machine Learning Models. IEEE Access 2020, 8, 145564–145576. [Google Scholar] [CrossRef]
- Melesse, A.M.; Khosravi, K.; Tiefenbacher, J.P.; Heddam, S.; Kim, S.; Mosavi, A.; Pham, B.T. River Water Salinity Prediction Using Hybrid Machine Learning Models. Water 2020, 12, 2951. [Google Scholar] [CrossRef]
- Band, S.S.; Janizadeh, S.; Pal, S.C.; Chowdhuri, I.; Siabi, Z.; Norouzi, A.; Melesse, A.M.; Shokri, M.; Mosavi, A. Comparative Analysis of Artificial Intelligence Models for Accurate Estimation of Groundwater Nitrate Concentration. Sensors 2020, 20, 5763. [Google Scholar] [CrossRef] [PubMed]
- Mosavi, A.; Golshan, M.; Janizadeh, S.; Choubin, B.; Melesse, A.M.; Dineva, A.A. Ensemble models of GLM, FDA, MARS, and RF for flood and erosion susceptibility mapping: A priority assessment of sub-basins. Geocarto Int. 2020, 1–20. [Google Scholar] [CrossRef]
- Mosavi, A.; Sajedi-Hosseini, F.; Choubin, B.; Taromideh, F.; Rahi, G.; Dineva, A.A. Susceptibility Mapping of Soil Water Erosion Using Machine Learning Models. Water 2020, 12, 1995. [Google Scholar] [CrossRef]
- Choubin, B.; Borji, M.; Hosseini, F.S.; Mosavi, A.; Dineva, A.A. Mass wasting susceptibility assessment of snow avalanches using machine learning models. Sci. Rep. 2020, 10, 18363. [Google Scholar] [CrossRef]
- Mosavi, A.; Shirzadi, A.; Choubin, B.; Taromideh, F.; Hosseini, F.S.; Borji, M.; Shahabi, H.; Salvati, A.; Dineva, A.A. Towards an Ensemble Machine Learning Model of Random Subspace Based Functional Tree Classifier for Snow Avalanche Susceptibility Mapping. IEEE Access 2020, 8, 145968–145983. [Google Scholar] [CrossRef]
- Zhang, J.; Jia, L.; Menenti, M.; Hu, G. Glacier Facies Mapping Using a Machine-Learning Algorithm: The Parlung Zangbo Basin Case Study. Remote Sens. 2019, 11, 452. [Google Scholar] [CrossRef]
- Khan, A.A.; Jamil, A.; Hussain, D.; Taj, M.; Jabeen, G.; Malik, M.K. Machine-Learning Algorithms for Mapping Debris-Covered Glaciers: The Hunza Basin Case Study. IEEE Access 2020, 8, 12725–12734. [Google Scholar] [CrossRef]
- Kaplan, G.; Avdan, U. Monthly Analysis of Wetlands Dynamics Using Remote Sensing Data. ISPRS Int. J. Geoinf. 2018, 7, 411. [Google Scholar] [CrossRef]
- Tian, S.; Zhang, X.; Tian, J.; Sun, Q. Random Forest Classification of Wetland Landcovers from Multi-Sensor Data in the Arid Region of Xinjiang, China. Remote Sens. 2016, 8, 954. [Google Scholar] [CrossRef]
- Wang, L.; Dong, T.; Zhang, G.; Niu, Z. LAI Retrieval using PROSAIL Model and Optimal Angle Combination of Multi-Angular Data in Wheat. IEEE J. Sel. Top. Appl. Earth Obs. Remote Sens. 2013, 6, 1730–1736. [Google Scholar] [CrossRef]
- Wu, K.; Liu, S.; Zhu, Y.; Liu, Q.; Jiang, Z. Dynamics of glacier surface velocity and ice thickness for maritime glaciers in the southeastern Tibetan Plateau. J. Hydrol. 2020, 590, 125527. [Google Scholar] [CrossRef]
- Guo, L.; Li, J.; Li, Z.; Wu, L.; Li, X.; Hu, J.; Li, H.; Li, H.; Miao, Z.; Li, Z. The Surge of the Hispar Glacier, Central Karakoram: SAR 3-D Flow Velocity Time Series and Thickness Changes. J. Geophys. Res. Solid Earth 2020, 125. [Google Scholar] [CrossRef]
- Jiskoot, H.; DeJong, E.; Van Wychen, W.; Cooley, J. The need for global glacier speed to combine measured velocity with balance velocity. In Proceedings of the EGU General Assembly Conference Abstracts, Göttingen, Germany, 4–8 May 2020; Volume 22, p. 12515. [Google Scholar]
- Greene, C.A.; Gardner, A.S.; Andrews, L.C. Detecting seasonal ice dynamics in satellite images. Cryosphere Discuss. 2020, 1–21. [Google Scholar] [CrossRef]
- Shangguan, D.; Liu, S.; Ding, Y.; Guo, W.; Xu, B.; Xu, J.; Jiang, Z. Characterizing the May 2015 Karayaylak Glacier surge in the eastern Pamir Plateau using remote sensing. J. Glaciol. 2016, 62, 944–953. [Google Scholar] [CrossRef]
- Paul, F.; Bolch, T.; Briggs, K.; Kääb, A.; McMillan, M.; McNabb, R.; Nagler, T.; Nuth, C.; Rastner, P.; Strozzi, T.; et al. Error sources and guidelines for quality assessment of glacier area, elevation change, and velocity products derived from satellite data in the Glaciers_cci project. Remote Sens. Environ. 2017, 203, 256–275. [Google Scholar] [CrossRef]
- Defries, R.S.; Townshend, J.R.G. NDVI-derived land cover classifications at a global scale. Int. J. Remote Sens. 2007, 15, 3567–3586. [Google Scholar] [CrossRef]
- Hao, Z.; AghaKouchak, A. Multivariate Standardized Drought Index: A parametric multi-index model. Adv. Water Resour. 2013, 57, 12–18. [Google Scholar] [CrossRef]
- Yan, D.; Huang, C.; Ma, N.; Zhang, Y. Improved Landsat-Based Water and Snow Indices for Extracting Lake and Snow Cover/Glacier in the Tibetan Plateau. Water 2020, 12, 1339. [Google Scholar] [CrossRef]
- Haralick, R.M.; Shanmugam, K.; Dinstein, I. Textural Features for Image Classification. IEEE Trans. Syst. Man Cybern. 1973, SMC-3, 610–621. [Google Scholar] [CrossRef]
- Song, T.; Duan, Z.; Liu, J.; Shi, J.; Yan, F.; Sheng, S.; Huang, J.; Wu, W. Comparison of four algorithms to retrieve land surface temperature using Landsat 8 satellite. Yaogan Xuebao/J. Remote Sens. 2015, 19, 451–464. [Google Scholar]
- Barsi, J.A.; Barker, J.L.; Schott, J.R. An Atmospheric Correction Parameter Calculator for a single thermal band earth-sensing instrument. In Proceedings of the IGARSS 2003 IEEE International Geoscience and Remote Sensing Symposium, Proceedings (IEEE Cat. No.03CH37477), Toulouse, France, 21–25 July 2003; Volume 5, pp. 3014–3016. [Google Scholar]
- Barsi, J.A.; Schott, J.R.; Palluconi, F.D.; Hook, S.J. Validation of a web-based atmospheric correction tool for single thermal band instruments. In Proceedings of the Earth Observing Systems X, Washington, DC, USA, 22 August 2005; International Society for Optics and Photonics: Washington, DC, USA; Volume 5882, p. 58820E. [Google Scholar]
- Toutin, T. ASTER DEMs for geomatic and geoscientific applications: A review. Int. J. Remote Sens. 2008, 29, 1855–1875. [Google Scholar] [CrossRef]
- Gardner, A.S.; Moholdt, G.; Scambos, T.; Fahnstock, M.; Ligtenberg, S.; van den Broeke, M.; Nilsson, J. Increased West Antarctic and unchanged East Antarctic ice discharge over the last 7 years. Cryosphere 2018, 12, 521–547. [Google Scholar] [CrossRef]
- Ji, X.; Chen, Y.; Luo, X. Study on the Identification Method of Glacier in Mountain Shadows Based on Landsat 8 OLI Image. Spectrosc. Spect. Anal. 2018, 38, 3857–3863. [Google Scholar]
- Luis, A.J.; Singh, S. High-resolution multispectral mapping facies on glacier surface in the Arctic using WorldView-3 data. Czech. Polar Rep. 2020, 10, 23–36. [Google Scholar] [CrossRef]
- Sahu, R.; Gupta, R.D. Glacier mapping and change analysis in Chandra basin, Western Himalaya, India during 1971–2016. Int. J. Remote Sens. 2020, 41, 6914–6945. [Google Scholar] [CrossRef]
- Liao, H.; Liu, Q.; Zhong, Y.; Lu, X. Landsat-Based Estimation of the Glacier Surface Temperature of Hailuogou Glacier, Southeastern Tibetan Plateau, Between 1990 and 2018. Remote Sens. 2020, 12, 2105. [Google Scholar] [CrossRef]
- Leo Breiman Random Forests. Mach. Learn. 2001, 45, 5–32. [CrossRef]
- Liang, G.; Zhu, X.; Zhang, C. An empirical study of bagging predictors for different learning algorithms. In Proceedings of the Twenty-Fifth AAAI Conference on Artificial Intelligence, San Francisco, CA, USA, 7–11 August 2011; AAAI Press: San Francisco, CA, USA; pp. 1802–1803. [Google Scholar]
- Wang, F.; Li, Y.; Liao, F.; Yan, H. An ensemble learning based prediction strategy for dynamic multi-objective optimization. Appl. Soft Comput. 2020, 96, 106592. [Google Scholar] [CrossRef]
- Du, W.; Li, J.; Bao, A. Information Extraction Method of Alpine Glaciers with Multitemporal and Multiangle Remote Sensing. Acta Geod. Et Cartogr. Sin. 2015, 44, 59–66. [Google Scholar] [CrossRef]
- Breiman, L. Bagging predictors. Mach. Learn. 1996, 24, 123–140. [Google Scholar] [CrossRef]
- Prasad, S. Remotely Sensed Data Characterization, Classification, and Accuracies. Ph.D. Thesis, United States Geological Survey (USGS), Reston, VA, USA, 2015. [Google Scholar]
- Frey, H.; Paul, F.; Strozzi, T. Compilation of a glacier inventory for the western Himalayas from satellite data: Methods, challenges, and results. Remote Sens. Environ. 2012, 124, 832–843. [Google Scholar] [CrossRef]
- Racoviteanu, A.; Williams, M.W. Decision Tree and Texture Analysis for Mapping Debris-Covered Glaciers in the Kangchenjunga Area, Eastern Himalaya. Remote Sens. 2012, 4, 3078–3109. [Google Scholar] [CrossRef]
- Tielidze, L.G.; Bolch, T.; Wheate, R.D.; Kutuzov, S.S.; Lavrentiev, I.I.; Zemp, M. Supra-glacial debris cover changes in the Greater Caucasus from 1986 to 2014. Cryosphere 2020. [Google Scholar] [CrossRef]
- Rastner, P.; Strozzi, T.; Paul, F. Fusion of Multi-Source Satellite Data and DEMs to Create a New Glacier Inventory for Novaya Zemlya. Remote Sens. 2017, 9, 1122. [Google Scholar] [CrossRef]
- Ke, L.; Ding, X.; Zhang, L.; Hu, J.; Shum, C.K.; Lu, Z. Compiling a new glacier inventory for southeastern Qinghai–Tibet Plateau from Landsat and PALSAR data. J. Glaciol. 2016, 62, 579–592. [Google Scholar] [CrossRef]















| Band | Landsat-8 Operational Land Imagers (OLI) & Thermal Infrared Sensor (TIRS) | ||
|---|---|---|---|
| Name | Wavelength (micrometres) | Resolution (meter) | |
| 1 | Coastal/Aerosol | 0.435–0.451 | 30 |
| 2 | Blue | 0.452–0.512 | 30 |
| 3 | Green | 0.533–0.590 | 30 |
| 4 | Red | 0.636–0.673 | 30 |
| 5 | NIR | 0.851–0.879 | 30 |
| 6 | SWIR1 | 1.566–1.651 | 30 |
| 7 | SWIR2 | 2.107–2.294 | 30 |
| 8 | PAN | 0.503–0.676 | 15 |
| 9 | Cirrus | 1.363–1.384 | 30 |
| 10 | TIR1 | 10.60–11.19 | 100 |
| 11 | TIR2 | 11.50–12.51 | 100 |
| Data | Date | Resolution (m) | Utilization |
|---|---|---|---|
| Landsat-8 OLI&TIRS | 20 October 2017 | 30 | Glacier delineation |
| 27 April 2017 | |||
| 13 May 2017 | |||
| ASTER GDEM V2 | 2009 | 30 | Estimation of glacier elevation |
| ITS_LIVE | 1985–2018 | 120,240 | Glacier delineation |
| The second glacier inventory dataset of China (CGI2) | 2006–2011 | Estimation of glacier area change | |
| Tibetan Plateau glacier data—TPG2017 | 2017 | Estimation of glacier area change | |
| Glacier inventory of the Pamir and Karakoram (CCI) | 2018 | Estimation of glacier area change |
| Name | Explanation | Value |
|---|---|---|
| n_estimators | Maximum number of weak learners (decision trees). | 100 |
| criterion | Criteria for evaluating features when dividing decision trees. The options are “Gini” of Gini Impurity and “entropy” of information gain. | Gini |
| max_features | Maximum number of features considered when dividing. | None |
| max_depth | Decision tree maximum depth. | None |
| min_samples_split | Minimum number of samples required for internal node subdivision. | 10 |
| min_samples_leaf | Minimum number of samples for leaf nodes. | 1 |
| Experimental Scheme | Feature Combination |
|---|---|
| Scheme 1 | Spectral features + Textural features + Temperature features |
| Scheme 2 | Spectral features + Textural features + Temperature features + Topographic features |
| Scheme 3 | Spectral features + Textural features + Temperature features + Topographic features + Movement velocity features |
| Classification | Scheme 1 | Scheme 2 | Scheme 3 | |
|---|---|---|---|---|
| Overall Accuracy (%) | 97.42 | 97.43 | 97.60 | |
| Kappa Coefficient | 0.9596 | 0.9598 | 0.9624 | |
| Bare Soil | PA (%) | 96.77 | 96.70 | 96.80 |
| UA (%) | 99.16 | 99.09 | 99.39 | |
| Vegetation | PA (%) | 98.95 | 98.87 | 99.22 |
| UA (%) | 95.93 | 96.00 | 95.84 | |
| Debris | PA (%) | 96.20 | 96.46 | 97.17 |
| UA (%) | 90.19 | 89.82 | 91.59 | |
| Glacier | PA (%) | 96.22 | 96.73 | 96.84 |
| UA (%) | 95.11 | 95.16 | 95.43 | |
| Shadow | PA (%) | 93.13 | 93.81 | 93.36 |
| UA (%) | 96.40 | 97.24 | 97.19 | |
| Water | PA (%) | 99.71 | 99.89 | 99.87 |
| UA (%) | 99.72 | 99.57 | 99.56 | |
| Land Cover Class | Area (km2) | Percent (%) |
|---|---|---|
| Bare Soil | 1626.82 | 66.34 |
| Vegetation | 28.27 | 1.15 |
| Debris | 135.46 | 5.52 |
| Glacier | 372.23 | 15.18 |
| Shadow | 283.19 | 11.55 |
| Water | 6.23 | 0.25 |
| Total | 2452.30 | 100 |
Publisher’s Note: MDPI stays neutral with regard to jurisdictional claims in published maps and institutional affiliations. |
© 2020 by the authors. Licensee MDPI, Basel, Switzerland. This article is an open access article distributed under the terms and conditions of the Creative Commons Attribution (CC BY) license (http://creativecommons.org/licenses/by/4.0/).
Share and Cite
Lu, Y.; Zhang, Z.; Huang, D. Glacier Mapping Based on Random Forest Algorithm: A Case Study over the Eastern Pamir. Water 2020, 12, 3231. https://doi.org/10.3390/w12113231
Lu Y, Zhang Z, Huang D. Glacier Mapping Based on Random Forest Algorithm: A Case Study over the Eastern Pamir. Water. 2020; 12(11):3231. https://doi.org/10.3390/w12113231
Chicago/Turabian StyleLu, Yijie, Zhen Zhang, and Danni Huang. 2020. "Glacier Mapping Based on Random Forest Algorithm: A Case Study over the Eastern Pamir" Water 12, no. 11: 3231. https://doi.org/10.3390/w12113231
APA StyleLu, Y., Zhang, Z., & Huang, D. (2020). Glacier Mapping Based on Random Forest Algorithm: A Case Study over the Eastern Pamir. Water, 12(11), 3231. https://doi.org/10.3390/w12113231

