Numerical Simulation of Shallow Geothermal Field in Operating of a Ground Source Heat Pump System—A Case Study in Nan Cha Village, Ping Gu District, Beijing
Abstract
1. Introduction
2. Materials and Methods
2.1. Geological Profile of the Study Area
2.2. Heat Transfer Experiment
3. Numerical Simulation
3.1. Mathematical Model
- (1)
 - The governing equation of heat transfer in non-isothermal pipe flow iswhere ρ is the fluid density in the pipe, kg/m3; A is the pipe cross-sectional area, m2; is the isobaric heat capacity of fluid, J/(kg·K); is the tangential velocity of the circulation fluid, m/s; is the friction coefficient; is the mean hydraulic diameter, m; is the heat source, W/m3; T is the temperature of the fluid, K; is the heat exchange on the pipe wall. The calculation formula is as follows [54]:where is the effective, total thermal resistance of the pipe wall, W/(m·K), which includes the thermal resistance of the pipe and the thermal resistances of the inner and outer pipe wall with the convection layer; Text is the external temperature outside the pipe, K; and is the fluid temperature inside the pipe, K [40].
 - (2)
 - The governing equations of heat transfer in porous media are expressed aswhere ρ is the fluid density, kg/m3; is the isobaric heat capacity of fluid, J/(kg·K); q is the heat flux, W/m2; is the groundwater flow velocity, m/s; is the equivalent thermal conductivity, W/(m·K); (1−), is the thermal conductivity of solids and is the thermal conductivity of liquid, W/(m·K); is porosity, %; is the heat source or heat sink, W/m3.
 - (3)
 - The governing equations of groundwater flow arewhere ρ is the fluid density, kg/m3; is porosity, %; k denotes the permeability of the porous medium, m2; p is the pressure, Pa; is a mass source term, kg/(m3·s); is the Darcy velocity, m/s; is the dynamic viscosity of the fluid, Pa·s. Porosity is defined as the fraction of the control volume that is occupied by pores. Thus, the porosity can vary from zero for pure solid regions to unity for domains of free flow.
 
3.2. Geometric Model and Parameters
3.3. Initial and Boundary Conditions
3.4. Discretization of Time and Space
3.5. Model Verification
4. Results and Discussion
4.1. Results Analysis
4.1.1. Analysis of Thermal Equilibrium in the Validation Period
4.1.2. Analysis of the Influence of Hydraulic Gradient on Heat Exchange
4.1.3. Analysis of the Influence of Backfill Material Outlet Temperature
4.2. The Prediction Analysis of Different Scenarios
4.2.1. Three Scenarios and Their Simulated Operating Conditions
4.2.2. Analysis of Thermal Influence Radius
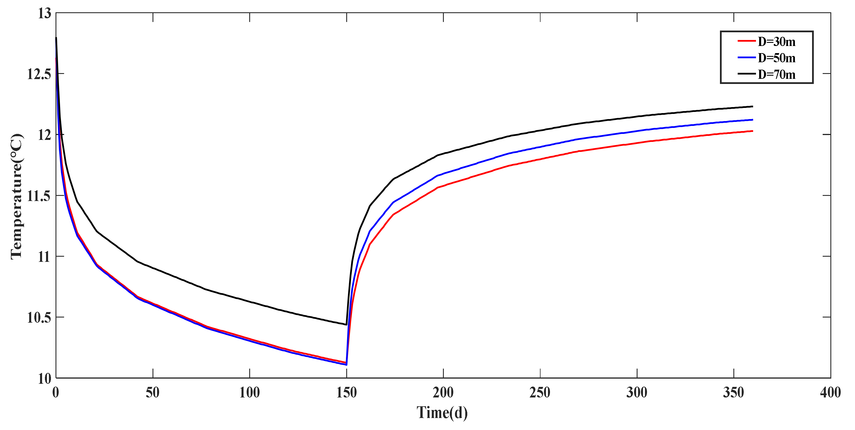
4.2.3. Analysis of Temperature Change Trend
- (1)
 - Analysis of temperature changes at different positions from the buried pipe
 
- (2)
 - Analysis of temperature variation at different depths
 
4.2.4. Analysis of the Temperature Change Rule of the Buried Pipe Outlet
4.2.5. Analysis of Thermal Equilibrium
4.2.6. Preferred Solution
5. Conclusions
- (1)
 - The increase of hydraulic gradient has a positive impact on heat transfer. The outlet temperature of buried pipe decreases with the increase of the hydraulic gradient under summer working condition. It can be concluded that the increase of hydraulic gradient can improve the efficiency of heat exchange for GSHPS.
 - (2)
 - The backfill material plays a significant role in the process of heat transfer. Within a certain range, as the thermal conductivity of backfill material increases, the outlet temperature of buried pipe decreases gradually and GSHPS shows an efficient performance. It is concluded that the mixture of sand and barite powder is recognized as a more efficient and economical backfill material.
 - (3)
 - The variation of ground temperature at different depths is mainly affected by the thermal conductivity of the formation and initial value of ground temperature. In the horizontal direction, the closer to the buried pipe, the greater the difference between initial ground temperature and ground temperature at the end of the system, and the longer the distance is, the smaller the change. The two have a negative correlation.
 - (4)
 - The heat interaction radius of Scheme 1 is 5 m, and the heat interaction radius of Scheme 2 and Scheme 3 are both 3.9 m. The heat transfer between different boreholes in the three operating modes mutually interferes, but the effect of heat interference in Schemes 2 and 3 is small.
 - (5)
 - According to the change rule of the shallow geothermal field, the ground temperature in Scheme 1 and Scheme 2 continuously decreases with time and is lower than the initial value, which causes the volume of heat exchange to decrease gradually. However, the ground temperature before the beginning of each heating season in Scheme 3 is higher than its initial value, so the heat transfer efficiency of buried pipe is relatively high.
 - (6)
 - Through the calculation of heat equilibrium, the thermal equilibrium of Scheme 1 is −728 × 106 KJ, the thermal equilibrium of Scheme 2 is −269 × 106 KJ, and the thermal equilibrium of Scheme 3 is +514 × 106 KJ. This shows that cold accumulation occurs around the buried pipes in Scheme 1 and Scheme 2. Therefore, after comprehensively considering the heat interaction radius, ground temperature and thermal equilibrium, Scheme 3 is more reasonable.
 - (7)
 - The semi-coupling model established in this study did not consider the optical radiation physical field. The solar system has not been characterized in detail, but parameters have been set through calculations and measured data. The uncertainty analysis of each parameter on the shallow geothermal field can be further studied.
 
Author Contributions
Funding
Acknowledgments
Conflicts of Interest
References
- Cai, W.; Wang, F.; Liu, J.; Wang, Z.; Ma, Z. Experimental and numerical investigation of heat transfer performance and sustainability of deep borehole heat exchangers coupled with ground source heat pump systems. Appl. Therm. Eng. 2019, 149, 975–986. [Google Scholar] [CrossRef]
 - Fridleifsson, I.B. Geothermal energy for the benefit of the people. Renew. Sustain. Energy Rev. 2001, 5, 299–312. [Google Scholar] [CrossRef]
 - Barbier, E. Geothermal energy technology and current status: An overview. Renew. Sustain. Energy Rev. 2002, 6, 3–65. [Google Scholar] [CrossRef]
 - Abesser, C.; Lewis, M.A.; Marchant, A.P.; Hulbert, A.G. Mapping suitability for open-loop ground source heat pump systems: A screening tool for England and Wales, UK. Q. J. Eng. Geol. Hydrogeol. 2014, 47, 373–380. [Google Scholar] [CrossRef]
 - Farabi, H.; Chapman, A.; Itaoka, K.; Noorollahi, Y. Ground source heat pump status and supportive energy policies in Japan. Proceedings of 10th International Conference on Applied Energy (ICAE 2018), Hong Kong, China, 22–25 August 2018. [Google Scholar]
 - Lee, J.Y. Current status of ground source heat pumps in Korea. Renew. Sustain. Energ. Rev. 2011, 13, 1560–1568. [Google Scholar] [CrossRef]
 - Lu, Q.; Narsilio, G.A.; Aditya, G.R.; Johnston, I.W. Economic analysis of vertical ground source heat pump systems in Melbourne. Energy 2017, 125, 107–117. [Google Scholar] [CrossRef]
 - Santos, A.F.; De Souza, H.J.L.; Cantao, M.P.; Gaspar, P.D. Analysis of geothermal temperatures for heat pumps application in Paraná (Brasil). Open Eng. 2016, 1, 485–491. [Google Scholar] [CrossRef]
 - Busby, J.; Lewis, M.; Reeves, H.; Lawley, R. Initial geological considerations before installing ground source heat pump systems. Q. J. Eng. Geol. Hydrogeol. 2009, 42, 295–306. [Google Scholar] [CrossRef]
 - Choi, H.; Kim, J.; Shim, B.O.; Kim, D. Characterization of aquifer hydrochemistry from the operation of a shallow geothermal system. Water 2020, 12, 1377. [Google Scholar] [CrossRef]
 - Garcia-Gil, A.; Vazquez-Sune, E.; Garrido Schneider, E.; Angel Sanchez-Navarro, J.; Mateo-Lazaro, J. Relaxation factor for geothermal use development-criteria for a more fair and sustainable geothermal use of shallow energy resources. Geothermics 2015, 56, 128–137. [Google Scholar] [CrossRef]
 - Lund, J.W.; Boyd, T.L. Direct utilization of geothermal energy 2015 worldwide review. Geothermics 2016, 60, 66–93. [Google Scholar] [CrossRef]
 - Zhu, J.; Hu, K.; Lu, X.; Huang, X.; Liu, K.; Wu, X. A review of geothermal energy resources, development, and applications in China: Current status and prospects. Energy 2015, 93, 466–483. [Google Scholar] [CrossRef]
 - García-Gil, A.; Abesser, C.; Gasco Cavero, S.; Marazuela, M.Á.; Mateo Lázaro, J.; Vázquez-Suñé, E.; Hughes, A.G.; Mejías Moreno, M. Defining the exploitation patterns of groundwater heat pump systems. Sci. Total Environ. 2020, 710, 136425. [Google Scholar] [CrossRef]
 - García-Gil, A.; Muela Maya, S.; Garrido Schneider, E.; Mejías Moreno, M.; Vázquez-Suñé, E.; Marazuela, M.Á.; Mateo Lázaro, J.; Sánchez-Navarro, J.Á. Sustainability indicator for the prevention of potential thermal interferences between groundwater heat pump systems in urban aquifers. Renew. Energy 2019, 134, 14–24. [Google Scholar] [CrossRef]
 - Burté, L.; Cravotta, C.A.; Bethencourt, L.; Farasin, J.; Pédrot, M.; Dufresne, A.; Gérard, M.-F.; Baranger, C.; Le Borgne, T.; Aquilina, L. Kinetic Study on clogging of a geothermal pumping well triggered by mixing-induced biogeochemical reactions. Environ. Sci. Technol. 2019, 53, 5848–5857. [Google Scholar] [CrossRef] [PubMed]
 - Bonte, M.; Röling, W.F.M.; Zaura, E.; van der Wielen, P.W.J.J.; Stuyfzand, P.J.; van Breukelen, B.M. Impacts of shallow geothermal energy production on redox processes and microbial communities. Environ. Sci. Technol. 2013, 47, 14476–14484. [Google Scholar] [CrossRef]
 - Bonte, M.; Stuyfzand, P.J.; van den Berg, G.A.; Hijnen, W.A.M. Effects of aquifer thermal energy storage on groundwater quality and the consequences for drinking water production: A case study from the Netherlands. Water Sci. Technol. 2011, 63, 1922–1931. [Google Scholar] [CrossRef] [PubMed]
 - Brons, H.J.; Griffioen, J.; Appelo, C.A.J.; Zehnder, A.J.B. (Bio)geochemical reactions in aquifer material from a thermal energy storage site. Water Res. 1991, 25, 729–736. [Google Scholar] [CrossRef]
 - Ferguson, G. Unfinished Business in Geothermal Energy. Ground Water 2009, 47, 167. [Google Scholar] [CrossRef]
 - Zuurbier, K.G.; Hartog, N.; Valstar, J.; Post, V.E.A.; van Breukelen, B.M. The impact of low-temperature seasonal aquifer thermal energy storage (SATES) systems on chlorinated solvent contaminated groundwater: Modeling of spreading and degradation. J. Contam. Hydrol. 2013, 147, 1–13. [Google Scholar] [CrossRef]
 - Nouri, G.; Noorollahi, Y.; Yousefi, H. Solar assisted ground source heat pump systems—A review. Appl. Therm. Eng. 2019, 163, 114351. [Google Scholar] [CrossRef]
 - Aranzabal, N.; Martos, J.; Montero, Á.; Monreal, L.; Soret, J.; Torres, J.; García-Olcina, R. Extraction of thermal characteristics of surrounding geological layers of a geothermal heat exchanger by 3D numerical simulations. Appl. Therm. Eng. 2016, 99, 92–102. [Google Scholar] [CrossRef]
 - Raymond, J.; Therrien, R.; Gosselin, L.; Lefebvre, R. Numerical analysis of thermal response tests with a groundwater flow and heat transfer model. Renew. Energy 2011, 36, 315–324. [Google Scholar] [CrossRef]
 - Wang, H.; Qi, C.; Du, H.; Gu, J. Thermal performance of borehole heat exchanger under groundwater flow: A case study from Baoding. Energy Build. 2009, 41, 1368–1373. [Google Scholar] [CrossRef]
 - Zhang, W.; Yang, H.; Lu, L.; Fang, Z. Investigation on heat transfer around buried coils of pile foundation heat exchangers for ground-coupled heat pump applications. Int. J. Heat Mass Transf. 2012, 55, 6023–6031. [Google Scholar] [CrossRef]
 - Cortes, D.D.; Nasirian, A.; Dai, S. Smart Ground-Source Borehole Heat Exchanger Backfills: A Numerical Study; Springer: Berlin/Heidelberg, Germany, 2019; pp. 27–34. [Google Scholar] [CrossRef]
 - Fu, C.-Z.; Si, W.-R.; Quan, L.; Yang, J. Numerical study of heat transfer in trefoil buried cable with fluidized thermal backfill and laying parameter optimization. Math. Probl. Eng. 2019, 2019, 1–13. [Google Scholar] [CrossRef]
 - Liu, L.; Cai, G.; Liu, X.; Liu, S.; Puppala, A.J. Evaluation of thermal-mechanical properties of quartz sand–bentonite–carbon fiber mixtures as the borehole backfilling material in ground source heat pump. Energy Build. 2019, 202, 109407. [Google Scholar] [CrossRef]
 - Song, X.-Q.; Jiang, M.; Qin, P. Numerical investigation of the backfilling material thermal conductivity impact on the heat transfer performance of the buried pipe heat exchanger. IOP Conf. Ser. Earth Environ. Sci. 2019, 267, 042010. [Google Scholar] [CrossRef]
 - Yang, W.; Xu, R.; Yang, B.; Yang, J. Experimental and numerical investigations on the thermal performance of a borehole ground heat exchanger with PCM backfill. Energy 2019, 174, 216–235. [Google Scholar] [CrossRef]
 - Koohi-Fayegh, S.; Rosen, M. A review of the modelling of thermally interacting multiple boreholes. Sustainability 2013, 5, 2519–2536. [Google Scholar] [CrossRef]
 - Cui, Y.; Zhu, J.; Twaha, S.; Riffat, S. A comprehensive review on 2D and 3D models of vertical ground heat exchangers. Renew. Sustain. Energy Rev. 2018, 94, 84–114. [Google Scholar] [CrossRef]
 - Laferrière, A.; Cimmino, M.; Picard, D.; Helsen, L. Development and validation of a full-time-scale semi-analytical model for the short- and long-term simulation of vertical geothermal bore fields. Geothermics 2020, 86, 101788. [Google Scholar] [CrossRef]
 - Nouri, G.; Noorollahi, Y.; Yousefi, H. Designing and optimization of solar assisted ground source heat pump system to supply heating, cooling and hot water demands. Geothermics 2019, 82, 212–231. [Google Scholar] [CrossRef]
 - Koohi-Fayegh, S.; Rosen, M.A. Three-dimensional analysis of the thermal interaction of multiple vertical ground heat exchangers. Int. J. Green Energy 2015, 12, 1144–1150. [Google Scholar] [CrossRef]
 - Perego, R.; Guandalini, R.; Fumagalli, L.; Aghib, F.S.; De Biase, L.; Bonomi, T. Sustainability evaluation of a medium scale GSHP system in a layered alluvial setting using 3D modeling suite. Geothermics 2016, 59, 14–26. [Google Scholar] [CrossRef]
 - Yue, G.; Zhao, Z.; Wang, W. Numerical simulation study on soil temperature field influenced by GSHP: A case study in Beijing. China Sci. 2017, 12, 1049–1053. [Google Scholar]
 - Deng, D. Thermo-hydro coupling simulation of BHE and shallow geothermal energy geological suitability assessment. Ph.D. Thesis, China University Geosciences, Beijing, China, 2015. [Google Scholar]
 - Kong, Y.; Huang, Y.; Zheng, T.; Lu, R.; Pan, S.; Shao, H.; Pang, Z. Principle and application of OpenGeoSys for geothermal energy sustainable utilization. Earth Sci. Front. 2020, 27, 170–177. [Google Scholar] [CrossRef]
 - Lei, X.; Zheng, X.; Duan, C.; Ye, J.; Liu, K. Three-dimensional numerical simulation of geothermal field of buried pipe group coupled with heat and permeable groundwater. Energies 2019, 12, 3698. [Google Scholar] [CrossRef]
 - Li, M.; Lai, A.C.K. Review of analytical models for heat transfer by vertical ground heat exchangers (GHEs): A perspective of time and space scales. Appl. Energy 2015, 151, 178–191. [Google Scholar] [CrossRef]
 - Song, Z.; Hou, C.; Xu, L. Numerical simulation on a combined solar-ground source heat pump system. Build. Energy Effic. 2016, 44, 23–28. [Google Scholar] [CrossRef]
 - Li, C.; Guan, Y.; Wang, X.; Li, G.; Zhou, C.; Xun, Y. Experimental and numerical studies on heat transfer characteristics of vertical deep-buried U-bend pipe to supply heat in buildings with geothermal energy. Energy 2018, 142, 689–701. [Google Scholar] [CrossRef]
 - Noorollahi, Y.; Saeidi, R.; Mohammadi, M.; Amiri, A.; Hosseinzadeh, M. The effects of ground heat exchanger parameters changes on geothermal heat pump performance—A review. Appl. Therm. Eng. 2018, 129, 1645–1658. [Google Scholar] [CrossRef]
 - Narei, H.; Ghasempour, R.; Noorollahi, Y. The effect of employing nanofluid on reducing the bore length of a vertical ground-source heat pump. Energy Convers. Manag. 2016, 123, 581–591. [Google Scholar] [CrossRef]
 - Noorollahi, Y.; Gholami Arjenaki, H.; Ghasempour, R. Thermo-economic modeling and GIS-based spatial data analysis of ground source heat pump systems for regional shallo-w geothermal mapping. Renew. Sustain. Energy Rev. 2017, 72, 648–660. [Google Scholar] [CrossRef]
 - Kasaeian, A.; Nouri, G.; Ranjbaran, P.; Wen, D. Solar collectors and photovoltaics as combined heat and power systems: A critical review. Energy Convers. Manag. 2018, 156, 688–705. [Google Scholar] [CrossRef]
 - Saeidi, R.; Noorollahi, Y.; Esfahanian, V. Numerical simulation of a novel spiral type ground heat exchanger for enhancing heat transfer performance of geothermal heat pump. Energy Convers. Manag. 2018, 168, 296–307. [Google Scholar] [CrossRef]
 - Han, C.; Yu, X. Sensitivity analysis of a vertical geothermal heat pump system. Appl. Energy 2016, 170, 148–160. [Google Scholar] [CrossRef]
 - Wagner, V.; Bayer, P.; Kübert, M.; Blum, P. Numerical sensitivity study of thermal response tests. Renew. Energy 2012, 41, 245–253. [Google Scholar] [CrossRef]
 - Yu, Y.; Liu, G.; Jiang, B. Finite element analysis of ground source heat pump based on non-isothermal pipe flow. J. Zhejiang Univ. Sci. Technol. 2015, 27, 218–224. [Google Scholar] [CrossRef]
 - Li, N.; Liu, A.; Zhang, J.; Li, X.; Du, J.; Li, F. Experimental study of barite powder for improving thermal conductivity as backfill materials of ground heat exchanger. J. Hebei Univ. Technol. 2018, 47, 112–115. [Google Scholar] [CrossRef]
 - Spitler, J.D.; Gehlin, S.E.A. Thermal response testing for ground source heat pump systems-an historical review. Renew. Sustain. Energ. Rev. 2015, 50, 1125–1137. [Google Scholar] [CrossRef]
 














| Items | Unit | Number | 
|---|---|---|
| The depth of the hole | m | 102 | 
| The depth of buried pipe | m | 100 | 
| The diameter of the drilling | mm | 152 | 
| Outer diameter of buried pipe | mm | 32 | 
| Inner diameter of buried pipe | mm | 26 | 
| Flow rate of circulating fluid | m3/h | 1.50 | 
| Thermal conductivity of U-tube | W/(m·K) | 0.42 | 
| Thermal conductivity of sand and barite powder | W/(m·K) | 2.20 | 
| Thermal conductivity of cement mortar | W/(m·K) | 1.76 | 
| Thermal conductivity of sand | W/(m·K) | 1.10 | 
| Layer | Depth  m  | Lithology | Thermal Conductivity  W/(m·K)  | Specific  Heat Capacity M/(m3·K)  | Thermal  Diffusion Coefficient mm2/s  | Density  kg/m3  | Porosity | Penetration Rate  m2  | 
|---|---|---|---|---|---|---|---|---|
| 1 | 0–6.8 | Clayey soil | 1.57 | 2.60 | 0.66 | 1900 | 0.60 | 5 × 10−6 | 
| 2 | 6.8–9.4 | Clayey soil with detritus | 2.1 | 2.03 | 0.72 | 1900 | 0.55 | 5 × 10−6 | 
| 3 | 9.4–10.3 | Gravel | 2.1 | 2.03 | 0.72 | 1900 | 0.50 | 5 × 10−6 | 
| 4 | 10.3–14 | Clayey soil with detritus | 2.1 | 2.03 | 0.72 | 1900 | 0.55 | 5 × 10−6 | 
| 5 | 14–15 | Gravel | 2.1 | 2.03 | 0.72 | 1900 | 0.50 | 5 × 10−6 | 
| 6 | 15–23 | Siltite | 2.07 | 1.41 | 1.48 | 2200 | 0.02 | 5 × 10−10 | 
| 7 | 23–25 | Mud rock | 1.59 | 1.69 | 0.94 | 2200 | 0.06 | 5 × 10−10 | 
| 8 | 25–40 | Siltite | 2.07 | 1.41 | 1.48 | 2200 | 0.02 | 5 × 10−10 | 
| 9 | 40–45 | Argillaceous siltite | 1.59 | 1.43 | 0.75 | 2200 | 0.02 | 5 × 10−10 | 
| 10 | 45–54.8 | Siltite and sand rock | 2.07 | 1.86 | 1.11 | 2200 | 0.02 | 5 × 10−10 | 
| 11 | 54.8–59.4 | Quartz sand rock | 1.95 | 1.67 | 1.17 | 2500 | 0.01 | 6 × 10−10 | 
| 12 | 59.4–68 | Siltite | 2.07 | 2.36 | 1.32 | 2200 | 0.02 | 5 × 10−10 | 
| 13 | 68–71 | Quartz sand rock | 3.95 | 1.85 | 2.13 | 2500 | 0.01 | 6 × 10−10 | 
| 14 | 71–75 | Argillaceous siltite | 1.59 | 1.43 | 0.75 | 2200 | 0.02 | 5 × 10−10 | 
| 15 | 75–77 | Siltite | 1.88 | 1.53 | 1.23 | 2200 | 0.02 | 5 × 10−10 | 
| 16 | 77–80 | Argillaceous siltite | 1.59 | 1.43 | 0.75 | 2200 | 0.02 | 5 × 10−10 | 
| 17 | 80–92 | Siltite | 1.88 | 1.53 | 1.23 | 2200 | 0.02 | 5 × 10−10 | 
| 18 | 92–100 | Quartz sand rock | 2.5 | 1.85 | 2.13 | 2500 | 0.01 | 6 × 10−10 | 
| 19 | 100–120 | Quartz sand rock | 2.5 | 1.85 | 2.13 | 2500 | 0.01 | 5 × 10−10 | 
| Depth (m) | 10 | 20 | 30 | 40 | 50 | 60 | 70 | 80 | 90 | 100 | 110 | 120 | 
|---|---|---|---|---|---|---|---|---|---|---|---|---|
| Temperature (°C) | 12.83 | 12.68 | 12.63 | 12.60 | 12.80 | 12.58 | 12.80 | 12.88 | 12.83 | 12.93 | 13.00 | 13.00 | 
| Scheme | Unit | Scenario 1 | Scenario 2 | Scenario 3 | 
|---|---|---|---|---|
| Operation season | - | winter | winter | winter and summer | 
| Operation period | month | 5 | 5 | 6 | 
| Recovery time | month | 7 | 7 | 6 | 
| Prediction time | year | 10 | 10 | 10 | 
| With or without solar heating | - | without | with | with | 
| Inlet temperature under heating condition | °C | 7 | 9.58 | 9.58 | 
| Inlet temperature under cooling condition | °C | - | - | 20 | 
| Fluid flow rate under operation condition | m3/h | 1.5 | 1.5 | 1.5 | 
| Fluid flow rate under closing condition | m3/h | 0 | 0 | 0 | 
| Year | 1 | 2 | 3 | 4 | 5 | 6 | 7 | 8 | 9 | 10 | |
|---|---|---|---|---|---|---|---|---|---|---|---|
| Outlet temperature | Scheme 1 | 7.75 | 7.69 | 7.65 | 7.63 | 7.61 | 7.59 | 7.57 | 7.55 | 7.54 | 7.53 | 
| Scheme 2 | 9.98 | 9.95 | 9.93 | 9.92 | 9.90 | 9.89 | 9.88 | 9.87 | 9.86 | 9.85 | |
| Scheme 3 | 9.98 | 9.97 | 9.97 | 9.96 | 9.95 | 9.95 | 9.94 | 9.94 | 9.94 | 9.93 | |
Publisher’s Note: MDPI stays neutral with regard to jurisdictional claims in published maps and institutional affiliations.  | 
© 2020 by the authors. Licensee MDPI, Basel, Switzerland. This article is an open access article distributed under the terms and conditions of the Creative Commons Attribution (CC BY) license (http://creativecommons.org/licenses/by/4.0/).
Share and Cite
Zhang, Y.; Zheng, J.; Liu, A.; Zhang, Q.; Shao, J.; Cui, Y. Numerical Simulation of Shallow Geothermal Field in Operating of a Ground Source Heat Pump System—A Case Study in Nan Cha Village, Ping Gu District, Beijing. Water 2020, 12, 2938. https://doi.org/10.3390/w12102938
Zhang Y, Zheng J, Liu A, Zhang Q, Shao J, Cui Y. Numerical Simulation of Shallow Geothermal Field in Operating of a Ground Source Heat Pump System—A Case Study in Nan Cha Village, Ping Gu District, Beijing. Water. 2020; 12(10):2938. https://doi.org/10.3390/w12102938
Chicago/Turabian StyleZhang, Yaobin, Jia Zheng, Aihua Liu, Qiulan Zhang, Jingli Shao, and Yali Cui. 2020. "Numerical Simulation of Shallow Geothermal Field in Operating of a Ground Source Heat Pump System—A Case Study in Nan Cha Village, Ping Gu District, Beijing" Water 12, no. 10: 2938. https://doi.org/10.3390/w12102938
APA StyleZhang, Y., Zheng, J., Liu, A., Zhang, Q., Shao, J., & Cui, Y. (2020). Numerical Simulation of Shallow Geothermal Field in Operating of a Ground Source Heat Pump System—A Case Study in Nan Cha Village, Ping Gu District, Beijing. Water, 12(10), 2938. https://doi.org/10.3390/w12102938
        