Identification of the Space-Time Variability of Hydrological Drought in the Arid Region of Northwestern China
Abstract
:1. Introduction
2. Data and Methodology
2.1. Study Area and Data
2.2. Methods
2.2.1. Calculation of the SSI and SPEI
2.2.2. Definition of Drought Severity and Duration
2.2.3. Separating Effects of Climate Change from Human Activities on Streamflow
3. Results
3.1. Selection of Best Probability Distribution Functions for Monthly Streamflow
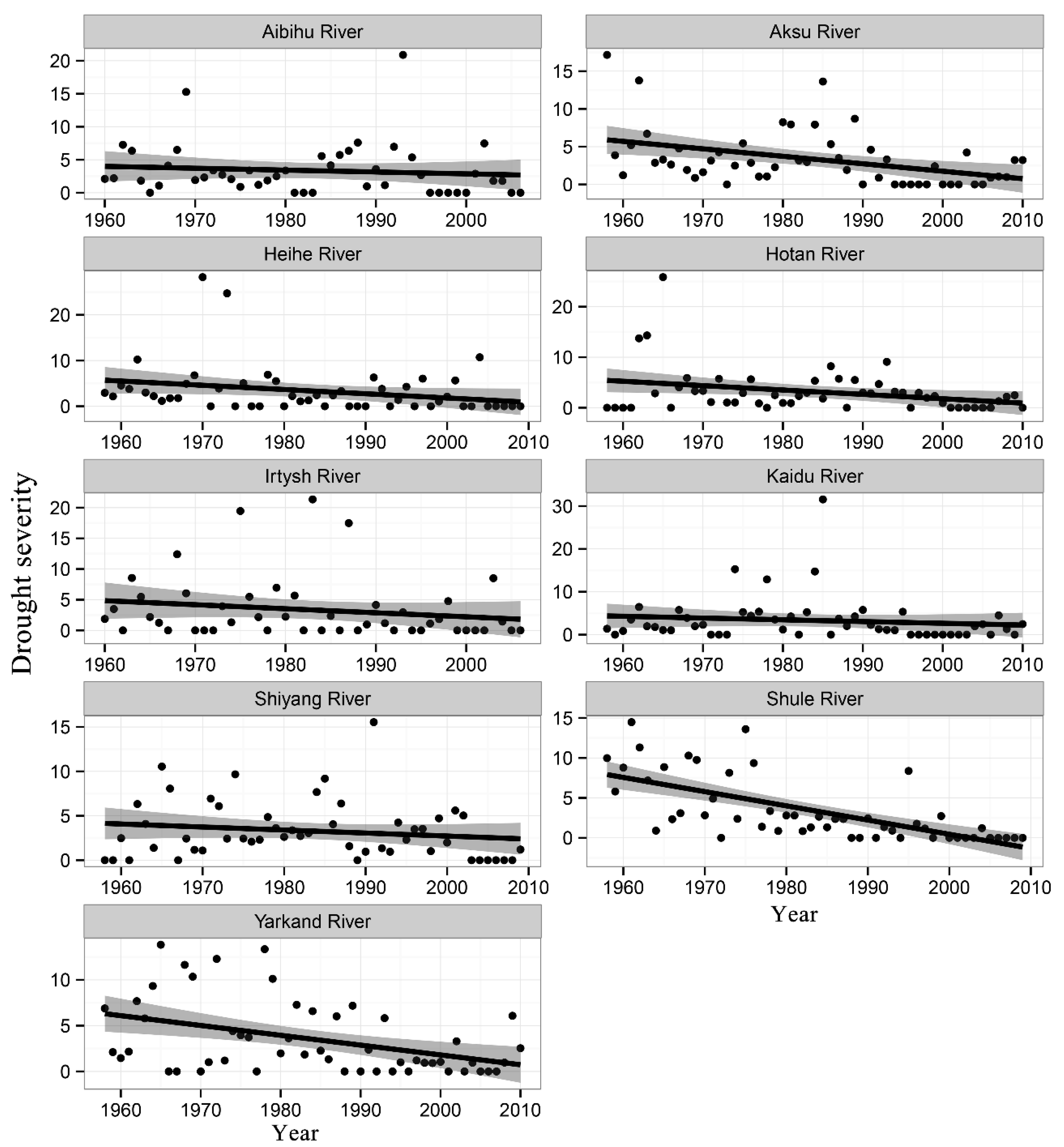
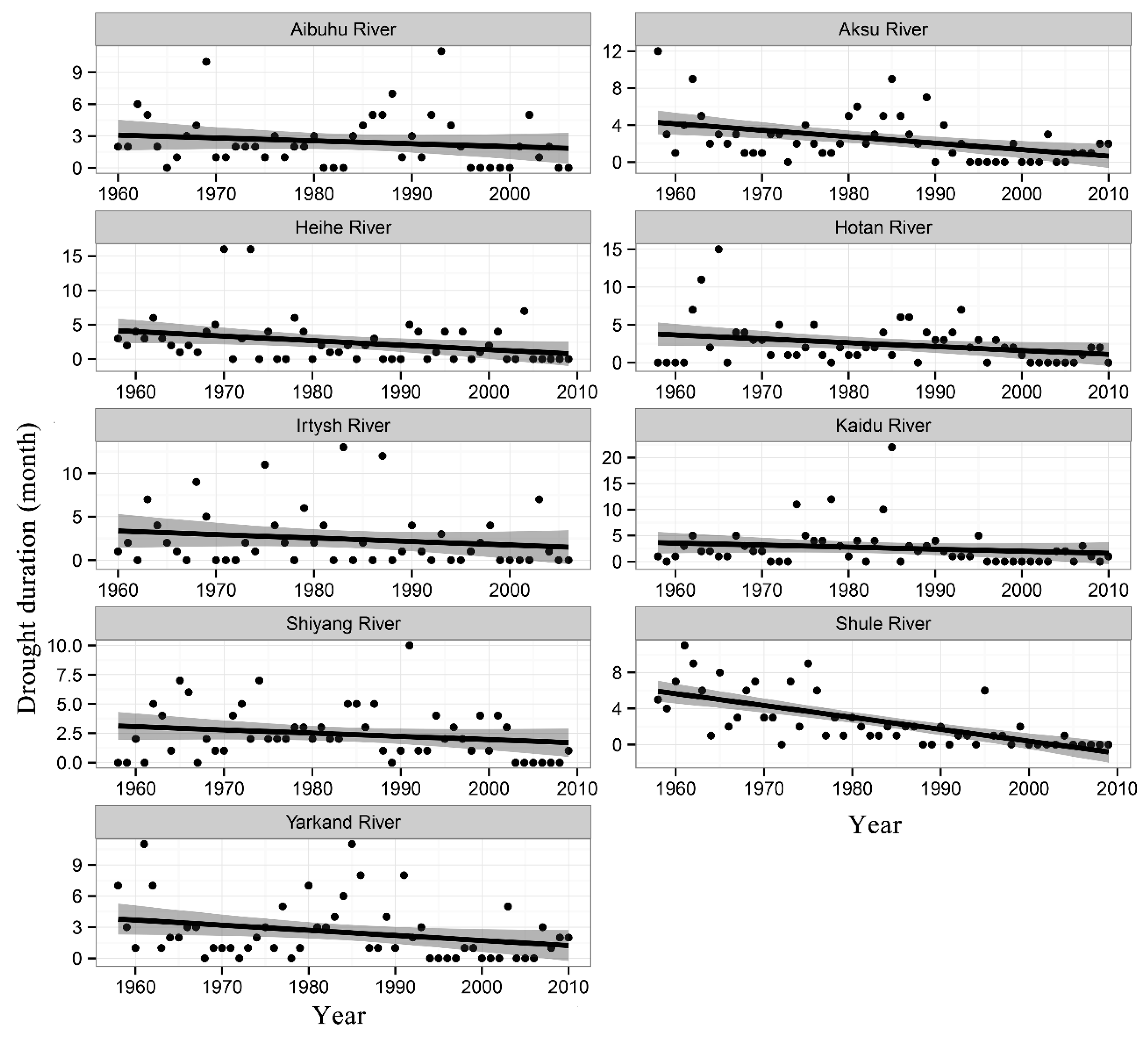
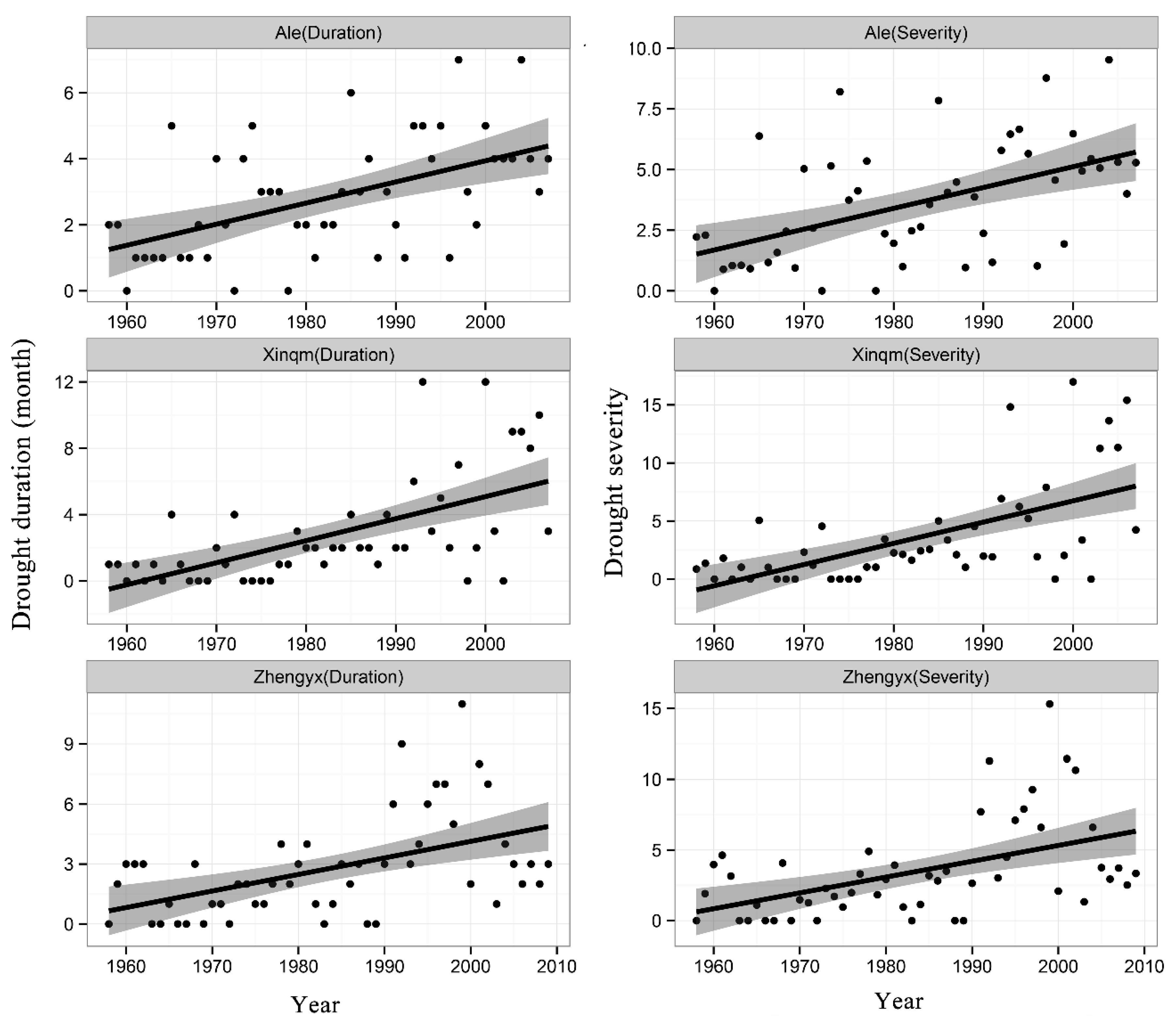
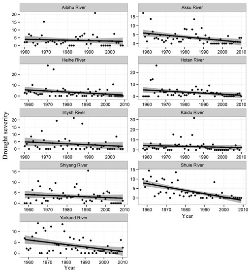
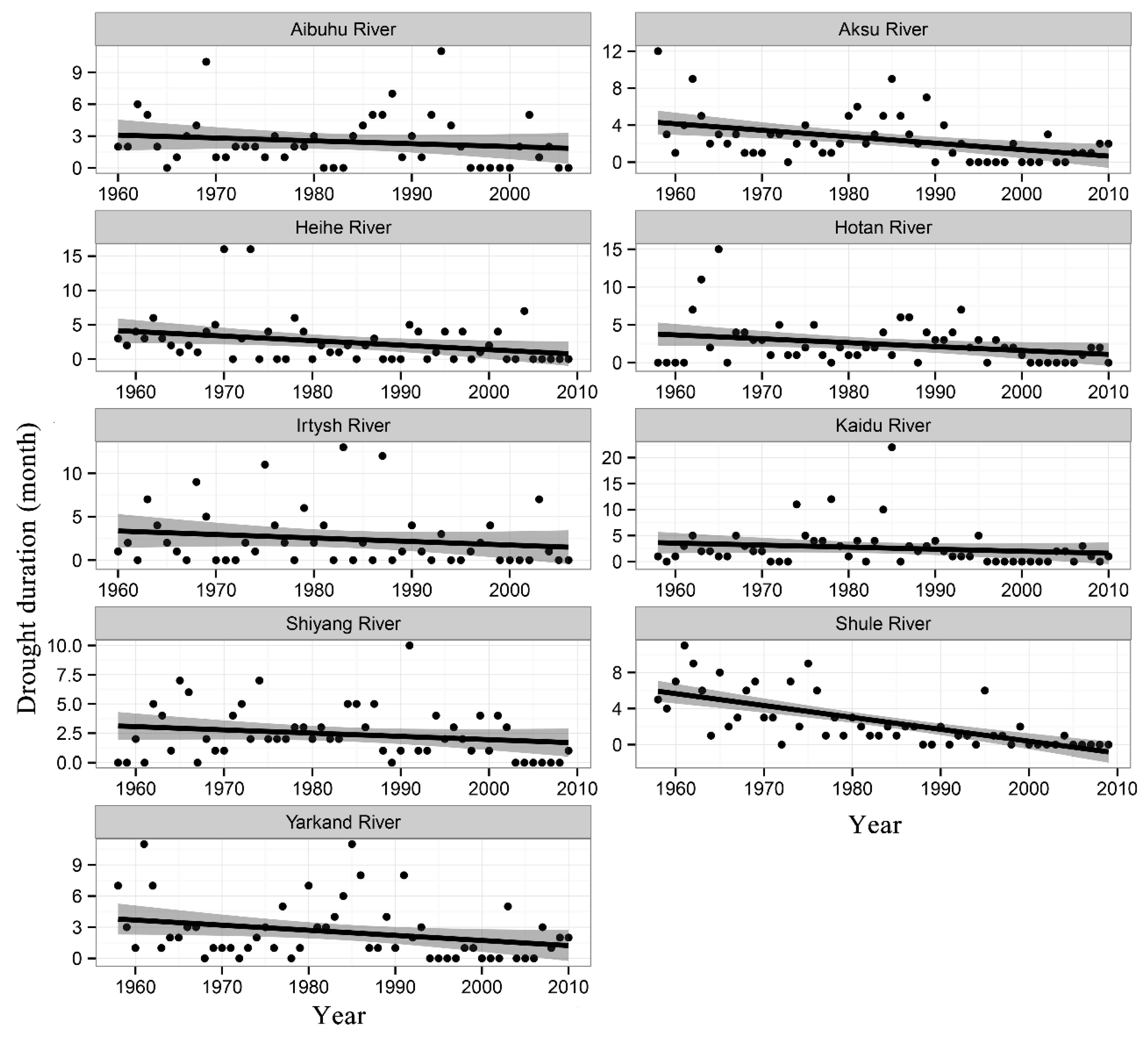
3.2. Changes of Hydrological Drought Severity and Duration
3.3. Correlation between Hydrological (SSI) and Meteorological Drought (SPEI)
3.4. Effect of Human Activities on Drought Evolutions
4. Conclusions
Supplementary Materials
Author Contributions
Funding
Acknowledgments
Conflicts of Interest
References
- Wilhite, D.A. Drought as a natural hazard: Concepts and definitions. In Drought A Global Assessment; Routledge: London, UK, 2000; pp. 3–18. [Google Scholar]
- Van Lanen, H.A.J.V.; Wanders, N.; Tallaksen, L.M.; Loon, A.F.V. Hydrological drought across the world: Impact of climate and physical catchment structure. Hydrol. Earth Syst. Sci. 2013, 17, 1715–1732. [Google Scholar] [CrossRef]
- Van Loon, A.F.; Laaha, G. Hydrological drought severity explained by climate and catchment characteristics. J. Hydrol. 2015, 526, 3–14. [Google Scholar] [CrossRef]
- Van Loon, A.F.; Gleeson, T.; Clark, J.; Dijk, A.I.J.M.V.; Stahl, K.; Hannaford, J.; Baldassarre, G.D.; Teuling, A.J.; Tallaksen, L.M.; Uijlenhoet, R. Drought in the Anthropocene. Nat. Geosci. 2016, 9, 89–91. [Google Scholar] [CrossRef]
- Mishra, A.K.; Singh, V.P. A review of drought concepts. J. Hydrol. 2010, 391, 202–216. [Google Scholar] [CrossRef]
- Mendicino, G.; Senatore, A.; Versace, P. A groundwater resource index (gri) for drought monitoring and forecasting in a mediterranean climate. J. Hydrol. 2008, 357, 282–302. [Google Scholar] [CrossRef]
- McKee, T.B.; Doesken, N.J.; Kleist, J. The relationship of drought frequency and duration to time scales. In Proceedings of the Eighth Conference on Applied Climatology, Anaheim, CA, USA, 17–22 January 1993; pp. 179–184. [Google Scholar]
- Palmer, W.C. Meteorological Drought, Research Paper No. 45; Office of Climatology, Weather Bureau: Washington, DC, USA, 1965; Volume 58. [Google Scholar]
- Vicente-Serrano, S.M.; Begueria, S.; Lopez-Moreno, J.I. A multiscalar drought index sensitive to global warming: The standardized precipitation evapotranspiration index. J. Clim. 2010, 23, 1696–1718. [Google Scholar] [CrossRef]
- Haas, J.C.; Birk, S. Characterizing the spatiotemporal variability of groundwater levels of alluvial aquifers in different settings using drought indices. Hydrol. Earth Syst. Sci. 2017, 21, 2421–2448. [Google Scholar] [CrossRef]
- Vicente-Serrano, S.M.; Lopez-Moreno, J.I.; Begueria, S.; Lorenzo-Lacruz, J.; Azorin-Molina, C.; Moran-Tejeda, E. Accurate computation of a streamflow drought index. J. Hydrol. Eng. 2012, 17, 318–332. [Google Scholar] [CrossRef]
- Dai, A.G. Characteristics and trends in various forms of the palmer drought severity index during 1900–2008. J. Geophys. Res.-Atmos. 2011, 116. [Google Scholar] [CrossRef]
- Choi, M.; Jacobs, J.M.; Anderson, M.C.; Bosch, D.D. Evaluation of drought indices via remotely sensed data with hydrological variables. J. Hydrol. 2013, 476, 265–273. [Google Scholar] [CrossRef]
- Van Loon, A.F.; Van Lanen, H.A.J. A process-based typology of hydrological drought. Hydrol. Earth Syst. Sci. 2012, 16, 1915–1946. [Google Scholar] [CrossRef]
- Van Loon, A.F.; Ploum, S.W.; Parajka, J.; Fleig, A.K.; Garnier, E.; Laaha, G.; Van Lanen, H.A.J. Hydrological drought types in cold climates: Quantitative analysis of causing factors and qualitative survey of impacts. Hydrol. Earth Syst. Sci. 2015, 19, 1993–2016. [Google Scholar] [CrossRef]
- Talaee, P.H.; Tabari, H.; Ardakani, S.S. Hydrological drought in the west of Iran and possible association with large-scale atmospheric circulation patterns. Hydrol. Process. 2014, 28, 764–773. [Google Scholar] [CrossRef]
- Lorenzo-Lacruz, J.; Moran-Tejeda, E.; Vicente-Serrano, S.M.; Lopez-Moreno, J.I. Streamflow droughts in the Iberian Peninsula between 1945 and 2005: Spatial and temporal patterns. Hydrol. Earth Syst. Sci. 2013, 17, 119–134. [Google Scholar] [CrossRef]
- Modarres, R. Streamflow drought time series forecasting. Stoch. Environ. Res. Risk Assess. 2007, 21, 223–233. [Google Scholar] [CrossRef]
- Telesca, L.; Lovallo, M.; Lopez-Moreno, I.; Vicente-Serrano, S. Investigation of scaling properties in monthly streamflow and Standardized Streamflow Index (SSI) time series in the Ebro Basin (Spain). Phys. A Stat. Mech. Appl. 2012, 391, 1662–1678. [Google Scholar] [CrossRef]
- Thomas, T.; Jaiswal, R.K.; Nayak, P.C.; Ghosh, N.C. Comprehensive evaluation of the changing drought characteristics in Bundelkhand region of central India. Meteorol. Atmos. Phys. 2015, 127, 163–182. [Google Scholar] [CrossRef]
- Tao, H.; Borth, H.; Fraedrich, K.; Su, B.; Zhu, X. Drought and wetness variability in the Tarim River Basin and connection to large-scale atmospheric circulation. Int. J. Climatol. 2014, 34, 2678–2684. [Google Scholar] [CrossRef]
- Wang, H.J.; Chen, Y.N.; Pan, Y.P.; Li, W.H. Spatial and temporal variability of drought in the arid region of China and its relationships to teleconnection indices. J. Hydrol. 2015, 523, 283–296. [Google Scholar] [CrossRef]
- Wang, H.J.; Pan, Y.P.; Chen, Y.N. Comparison of three drought indices and their evolutionary characteristics in the arid region of northwestern China. Atmos. Sci. Lett. 2017, 18, 132–139. [Google Scholar] [CrossRef]
- Sen, P.K. Estimates of the regression coefficient based on Kendall’s Tau. J. Am. Stat. Assoc. 1968, 63, 1379–1389. [Google Scholar] [CrossRef]
- Budyko, M.I. Climate and Life; Academic Press: San Diego, CA, USA, 1974; p. 508. [Google Scholar]
- Choudhury, B.J. Evaluation of an empirical equation for annual evaporation using field observations and results from a biophysical model. J. Hydrol. 1999, 216, 99–110. [Google Scholar] [CrossRef]
- Yang, H.B.; Yang, D.W.; Lei, Z.D.; Sun, F.B. New analytical derivation of the mean annual water-energy balance equation. Water Resour. Res. 2008, 44. [Google Scholar] [CrossRef]
- Zhang, L.; Potter, N.; Hickel, K.; Zhang, Y.; Shao, Q. Water balance modeling over variable time scales based on the Budyko framework-model development and testing. J. Hydrol. 2008, 360, 117–131. [Google Scholar] [CrossRef]
- Yang, Z. Glacier Water Resources in China; Gansu Science and Technology Press: Lanzhou, China, 1991. [Google Scholar]
- Li, F.P.; Zhang, G.X.; Xu, Y.J. Separating the impacts of climate variation and human activities on runoff in the Songhua River Basin, northeast China. Water 2014, 6, 3320–3338. [Google Scholar] [CrossRef]
- Zhang, Q.; Zhang, J.; Sun, G.W.; Di, X.H. Research on water-vapor distribution in the air over Qilian Mountains. J. Meteorol. Res. 2008, 22, 107–118. [Google Scholar]
- Shi, Y.; Shen, Y.; Kang, E.; Li, D.; Ding, Y.; Zhang, G.; Hu, R. Recent and future climate change in northwest China. Clim. Chang. 2007, 80, 379–393. [Google Scholar] [CrossRef]
- Shen, Y.P.; Su, H.C.; Wang, G.Y.; Mao, W.Y.; Wang, S.D.; Han, P.; Wang, N.L.; Li, Z.Q. The responses of glaciers and snow cover to climate change in Xinjiang (i): Hydrological process. J. Glaciol. Geocryol. 2013, 35, 513–527. [Google Scholar]
- López-Moreno, J.I.; Vicente-Serrano, S.M.; Zabalza, J.; Beguería, S.; Lorenzo-Lacruz, J.; Azorin- Molina, C. Hydrological response to climate variability at different time scales: A study in the Ebro Basin. J. Hydrol. 2013, 477, 175–188. [Google Scholar] [CrossRef]
- Lorenzo-Lacruz, J.; Vicente-Serrano, S.M.; Gonzalez-Hidalgo, J.C.; Lopez-Moreno, J.I.; Cortesi, N. Hydrological drought response to meteorological drought in the Iberian Peninsula. Clim. Res. 2013, 58, 117–131. [Google Scholar] [CrossRef]
- Vicente-serrano, S.M.; López-Moreno, J.I. Hydrological response to different time scales of climatological drought: An evaluation of the standardized precipitation index in a mountainous Mediterranean Basin. Hydrol. Earth Syst. Sci. 2005, 9, 523–533. [Google Scholar] [CrossRef]
- Zhang, Y.; You, Q.; Lin, H.; Chen, C. Analysis of dry/wet conditions in the Gan River Basin, China, and their association with large-scale atmospheric circulation. Glob. Planet. Chang. 2015, 133, 309–317. [Google Scholar] [CrossRef]
- Xu, C.; Chen, Y.; Yang, Y.; Hao, X.; Shen, Y. Hydrology and water resources variation and its response to regional climate change in Xinjiang. J. Geogr. Sci. 2010, 20, 599–612. [Google Scholar] [CrossRef]
- Xu, Z.; Liu, Z.; Fu, G.; Chen, Y. Trends of major hydroclimatic variables in the Tarim River Basin during the past 50 years. J. Arid Environ. 2010, 74, 256–267. [Google Scholar] [CrossRef]
- Qiu, L.; Peng, D.; Xu, Z.; Liu, W. Identification of the impacts of climate changes and human activities on runoff in the upper and middle reaches of the Heihe River Basin, China. J. Water Clim. Chang. 2016, 7, 251–262. [Google Scholar] [CrossRef]
- Li, X.; Cheng, G.; Ge, Y.; Li, H.; Han, F.; Hu, X.; Tian, W.; Tian, Y.; Pan, X.; Nian, Y.; et al. Hydrological cycle in the Heihe River Basin and its implication for water resource management in endorheic basins. J. Geophys. Res.-Atmos. 2018, 123, 890–914. [Google Scholar] [CrossRef]
- Liu, X.; Shen, Y. Quantification of the impacts of climate change and human agricultural activities on oasis water requirements in an arid region: A case study of the Heihe River Basin, China. Earth Syst. Dyn. 2018, 9, 211–225. [Google Scholar] [CrossRef]
- Ma, F.; Luo, L.; Ye, A.; Duan, Q. Drought characteristics and propagation in the semiarid Heihe River Basin in northwestern China. J. Hydrometeorol. 2019, 20, 59–77. [Google Scholar] [CrossRef]
- Ye, M.; Xu, H.L.; Song, Y.D. The utilization of water resources and its variation tendency in Tarim River Basin. Chin. Sci. Bull. 2006, 51, 16–24. [Google Scholar] [CrossRef]
- Xue, L.; Yang, F.; Yang, C.; Chen, X.; Zhang, L.; Chi, Y.; Yang, G. Identification of potential impacts of climate change and anthropogenic activities on streamflow alterations in the Tarim River Basin, China. Sci. Rep. 2017, 7, 8254. [Google Scholar] [CrossRef]
- Yang, F.; Xue, L.; Wei, G.; Chi, Y.; Yang, G. Study on the dominant causes of streamflow alteration and effects of the current water diversion in the Tarim River Basin, China. Hydrol. Process. 2018, 32, 3391–3401. [Google Scholar] [CrossRef]
- Sun, M.; Li, Z.; Yao, X.; Jin, S. Rapid shrinkage and hydrological response of a typical continental glacier in the arid region of northwest China &Ndash; taking Urumqi Glacier No.1 as an example. Ecohydrology 2013, 6, 909–916. [Google Scholar]
- Duan, K. In Simulation and prediction of equilibrium line altitude of glaciers in the eastern Tibetan Plateau. In Proceedings of the EGU General Assembly Conference, Vienna, Austria, 23–28 April 2017. [Google Scholar]
- Chen, Z.; Chen, Y.; Li, B. Quantifying the effects of climate variability and human activities on;runoff for Kaidu River Basin in arid region of northwest China. Theor. Appl. Climatol. 2013, 111, 537–545. [Google Scholar] [CrossRef]
- Ye, B.S.; Ding, Y.J.; Jiao, K.Q.; Shen, Y.P.; Zhang, J. The response of river discharge to climate warming in cold region over China. Quat. Sci. 2012, 32, 103–110. [Google Scholar]







| No. | Station | River | Drainage Basin | Relative Position | Catchment Area (km2) | Lat. (°E) | Lon. (°N) | Gauging Elevation (m a.s.l.) | Time Period |
|---|---|---|---|---|---|---|---|---|---|
| 1 | Altai | Irtysh | Irtysh River drainage | Mountain pass | 5.70 × 104 | 88.1 | 47.82 | 988 | 1960–2007 |
| 2 | Jiangjm | Aibihu | Juggar drainage | Mountain pass | 5.06 × 104 | 84.72 | 44.08 | 1402 | 1960–2007 |
| 3 | Kaq | Yarkand | Tarim River drainage | Mountain pass | 9.89 × 104 | 76.9 | 37.98 | 1370 | 1960–2010 |
| 4 | Xiehl | Aksu | Tarim River drainage | Mountain pass | 5.20 × 104 | 79.62 | 41.57 | 1427 | 1960–2010 |
| 5 | Shaliglk | Aksu | Tarim River drainage | Mountain pass | 5.20 × 104 | 78.6 | 40.95 | 1909 | 1960–2010 |
| 6 | Tongzlk | Hotan | Tarim River drainage | Mountain pass | 4.89 × 104 | 79.92 | 36.82 | 1650 | 1960–2010 |
| 7 | Wulwt | Hotan | Tarim River drainage | Mountain pass | 4.89 × 104 | 79.43 | 36.87 | 1800 | 1960–2010 |
| 8 | Ale | Tarim | Tarim River drainage | Upstream | 102 × 104 | 81.32 | 40.53 | 1098 | 1960–2007 |
| 9 | Xinqm | Tarim | Tarim River drainage | Upstream | 102 × 104 | 82.72 | 41.03 | 970 | 1960–2007 |
| 10 | Dask | Kaidu | Tarim River drainage | Mountain pass | 2.20 × 104 | 85.73 | 42.22 | 1340 | 1960–2010 |
| 11 | Dangcw | Shule | Hexi drainage | Mountain pass | 4.13 × 104 | 94.88 | 39.5 | 2192 | 1960–2009 |
| 12 | Changmb | Shule | Hexi drainage | Mountain pass | 4.13 × 104 | 96.85 | 39.82 | 2096 | 1960–2009 |
| 13 | Yinglx | Heihe | Hexi drainage | Mountain pass | 14.3 × 104 | 100.18 | 38.8 | 1674 | 1960–2009 |
| 14 | Zhengyx | Heihe | Hexi drainage | Midstream | 14.3 × 104 | 99.47 | 39.8 | 1358 | 1960–2009 |
| 15 | Zams | Shiyang | Hexi drainage | Mountain pass | 4.16 × 104 | 102.57 | 37.7 | 2042 | 1960–2009 |
| 16 | Shags | Shiyang | Hexi drainage | Mountain pass | 4.16 × 104 | 101.95 | 38.02 | 2335 | 1960–2009 |
| River | Gamma | Gen. Log. | GEV | Log-Log. | Log-Norm. | LP3 | Weib. |
|---|---|---|---|---|---|---|---|
| Irtysh | 12 | 12 | 12 | 12 | 12 | 12 | 11 |
| Aibihu | 12 | 12 | 12 | 12 | 12 | 12 | 11 |
| Kaidu | 10 | 12 | 12 | 12 | 12 | 12 | 9 |
| Aksu | 8 | 12 | 12 | 12 | 9 | 11 | 6 |
| Yarkand | 12 | 12 | 12 | 12 | 12 | 12 | 11 |
| Hotan | 9 | 12 | 12 | 12 | 11 | 12 | 11 |
| Tarim (Ale) | 12 | 12 | 12 | 12 | 12 | 12 | 11 |
| Tarim (Xinqm) | 11 | 12 | 12 | 12 | 10 | 12 | 11 |
| Shiyang | 12 | 12 | 12 | 12 | 12 | 12 | 11 |
| Shule | 12 | 12 | 12 | 12 | 12 | 12 | 11 |
| Heihe (Yinglx) | 12 | 12 | 12 | 12 | 12 | 12 | 11 |
| Heihe (Zhengyx) | 11 | 12 | 12 | 11 | 9 | 11 | 11 |
| River | Gamma | Gen.Log. | GEV | Log-Log. | Log-Norm. | LP3 | Weib. |
|---|---|---|---|---|---|---|---|
| Irtysh | 0.1026 | 0.0784 | 0.0875 | 0.0795 | 0.0905 | 0.0945 | 0.1354 |
| Aibihu | 0.1032 | 0.0759 | 0.0800 | 0.0845 | 0.0955 | 0.0843 | 0.1403 |
| Kaidu | 0.1452 | 0.0861 | 0.0887 | 0.1043 | 0.1237 | 0.0959 | 0.1598 |
| Aksu | 0.1597 | 0.0832 | 0.0866 | 0.0969 | 0.1388 | 0.1223 | 0.1997 |
| Yarkand | 0.0967 | 0.0782 | 0.0789 | 0.0817 | 0.0919 | 0.0807 | 0.1165 |
| Hotan | 0.1566 | 0.0884 | 0.0930 | 0.1048 | 0.1430 | 0.1161 | 0.1779 |
| Tarim (Ale) | 0.1128 | 0.0943 | 0.0991 | 0.0976 | 0.1171 | 0.1020 | 0.1141 |
| Tarim (Xinqm) | 0.1280 | 0.0990 | 0.0994 | 0.1091 | 0.1315 | 0.1072 | 0.1276 |
| Shiyang | 0.0970 | 0.0801 | 0.0882 | 0.0825 | 0.0920 | 0.0949 | 0.1269 |
| Shule | 0.1081 | 0.0749 | 0.0769 | 0.0831 | 0.0980 | 0.0800 | 0.1426 |
| Heihe (Yinglx) | 0.1037 | 0.0748 | 0.0813 | 0.0805 | 0.0950 | 0.0882 | 0.1382 |
| Heihe (Zhengyx) | 0.1234 | 0.0947 | 0.0905 | 0.1072 | 0.1410 | 0.1143 | 0.1084 |
| Region | River | Severity | Duration | ||
|---|---|---|---|---|---|
| Trend | p | Trend | p | ||
| North Xinjiang | Irtysh | −0.0108 | 0.0222 | −0.0400 | 0.0472 |
| Aibuhu | −0.0313 | 0.2210 | −0.0270 | 0.2790 | |
| South Xinjiang | Kaidu | −0.0267 | 0.1032 | −0.0244 | 0.0855 |
| Aksu | −0.0686 | 0.0428 | −0.0476 | 0.0322 | |
| Yarkand | −0.0798 | 0.0002 | −0.0294 | 0.2577 | |
| Hotan | −0.0249 | 0.1001 | 0.0490 | 0.1954 | |
| Tarim (Ale) | 0.0719 | 0.0177 | 0.0476 | 0.0270 | |
| Tarim (Xinqm) | 0.0916 | 0.0100 | 0.0714 | 0.0017 | |
| Hexi Corridor | Shule | −0.1262 | 0.0000 | −0.1000 | 0.0000 |
| Heihe (Yinglx) | −0.0465 | 0.0017 | −0.0400 | 0.0008 | |
| Heihe (Zhengyx) | 0.0836 | 0.0126 | 0.0800 | 0.0002 | |
| Shiyang | −0.0315 | 0.1326 | −0.0102 | 0.0648 | |
| River | Severity | Duration | ||||||||
|---|---|---|---|---|---|---|---|---|---|---|
| 1960s | 1970s | 1980s | 1990s | 2000s | 1960s | 1970s | 1980s | 1990s | 2000s | |
| Irtysh | 3.93 | 4.15 | 5.19 | 1.18 | 1.65 | 3.00 | 2.80 | 3.60 | 1.10 | 1.33 |
| Aibuhu | 4.65 | 2.37 | 3.39 | 3.70 | 2.32 | 3.40 | 1.90 | 2.80 | 2.30 | 1.67 |
| Kaidu | 2.98 | 4.79 | 7.15 | 1.10 | 1.27 | 2.60 | 4.00 | 5.20 | 1.00 | 1.00 |
| Aksu | 4.36 | 3.08 | 5.51 | 1.12 | 0.89 | 3.10 | 2.30 | 4.20 | 0.90 | 0.75 |
| Yarkand | 6.08 | 5.20 | 3.61 | 1.33 | 0.65 | 3.10 | 2.10 | 4.20 | 1.50 | 1.13 |
| Hotan | 7.33 | 2.18 | 3.58 | 3.10 | 0.44 | 4.90 | 1.90 | 2.90 | 2.70 | 0.38 |
| Tarim (Ale) | 2.15 | 3.35 | 3.33 | 4.85 | 4.95 | 1.80 | 2.40 | 2.70 | 3.80 | 3.75 |
| Tarim (Xinqm) | 1.12 | 1.35 | 2.68 | 6.40 | 7.40 | 0.90 | 1.20 | 2.20 | 5.10 | 5.25 |
| Shule | 7.10 | 4.68 | 1.61 | 1.63 | 0.15 | 5.60 | 3.50 | 1.30 | 1.20 | 0.13 |
| Heihe (Yinglx) | 6.38 | 4.60 | 1.27 | 2.49 | 2.04 | 4.30 | 3.30 | 1.10 | 2.10 | 1.38 |
| Heihe (Zhengyx) | 1.44 | 2.12 | 1.82 | 7.48 | 5.37 | 1.10 | 1.80 | 1.70 | 6.00 | 3.75 |
| Shiyang | 3.51 | 4.30 | 3.90 | 3.91 | 1.33 | 2.70 | 3.20 | 2.70 | 2.90 | 0.88 |
| Region | River | Precipitation (%) | Glacier Melt Water (%) | Groundwater (%) |
|---|---|---|---|---|
| North Xinjiang | Irtysh River | 71 | 1.0 | 28 |
| Aibuhu | 65.6 | 24.4 | 10 | |
| South Xinjiang | Kaidu River | 44 | 15.2 | 40.8 |
| Aksu River | 45.1 | 24.7 | 30.2 | |
| Yarkand River | 26.4 | 53 | 20.6 | |
| Hotan River | 35.75 | 52.5 | 11.75 | |
| Hexi Corridor | Shule River | 34.8 | 32.8 | 32.4 |
| Heihe River | 73 | 5.2 | 21.8 | |
| Shiyang River | 53.5 | 5.65 | 30.85 |
| River | Time Period | Runoff Depth (mm) | (mm) | (mm) | (%) | (mm) | (%) |
|---|---|---|---|---|---|---|---|
| Heihe | 1960–1989 | 30.10 | - | - | - | - | - |
| 1990–1999 | 21.72 | −8.38 | 2.47 | −29.49 | −10.85 | 129.49 | |
| 2000–2009 | 27.91 | −2.19 | 4.21 | −192.36 | −6.40 | 292.36 | |
| Tarim | 1960–1969 | 34.94 | - | - | - | - | - |
| 1970–1979 | 30.23 | −4.71 | −2.13 | 45.22 | −2.58 | 54.78 | |
| 1980–1989 | 30.44 | −4.50 | 2.49 | −55.33 | −6.99 | 155.33 | |
| 1990–1999 | 28.94 | −6.00 | 11.95 | −199.17 | −17.95 | 299.17 | |
| 2000–2009 | 27.16 | −7.78 | 9.22 | −118.51 | −17.00 | 218.51 |
© 2019 by the authors. Licensee MDPI, Basel, Switzerland. This article is an open access article distributed under the terms and conditions of the Creative Commons Attribution (CC BY) license (http://creativecommons.org/licenses/by/4.0/).
Share and Cite
Wang, H.; Chen, Z.; Chen, Y.; Pan, Y.; Feng, R. Identification of the Space-Time Variability of Hydrological Drought in the Arid Region of Northwestern China. Water 2019, 11, 1051. https://doi.org/10.3390/w11051051
Wang H, Chen Z, Chen Y, Pan Y, Feng R. Identification of the Space-Time Variability of Hydrological Drought in the Arid Region of Northwestern China. Water. 2019; 11(5):1051. https://doi.org/10.3390/w11051051
Chicago/Turabian StyleWang, Huaijun, Zhongsheng Chen, Yaning Chen, Yingping Pan, and Ru Feng. 2019. "Identification of the Space-Time Variability of Hydrological Drought in the Arid Region of Northwestern China" Water 11, no. 5: 1051. https://doi.org/10.3390/w11051051
APA StyleWang, H., Chen, Z., Chen, Y., Pan, Y., & Feng, R. (2019). Identification of the Space-Time Variability of Hydrological Drought in the Arid Region of Northwestern China. Water, 11(5), 1051. https://doi.org/10.3390/w11051051

